Sign in to use this feature.

Years

Between: -

Subjects

remove_circle_outline
remove_circle_outline
remove_circle_outline
remove_circle_outline
remove_circle_outline
remove_circle_outline
remove_circle_outline
remove_circle_outline
remove_circle_outline

Journals

Article Types

Countries / Regions

Search Results (20)

Search Parameters:
Keywords = feelings of crowding

Order results
Result details
Results per page
Select all
Export citation of selected articles as:
24 pages, 7469 KB  
Article
Visitor Behavioral Preferences at Cultural Heritage Museums: Evidence from Social Media Data
by Wenjie Peng, Chunyuan Gao, Bingmiao Zhu, Xun Zhu and Quan Jing
Buildings 2025, 15(20), 3756; https://doi.org/10.3390/buildings15203756 - 17 Oct 2025
Viewed by 1232
Abstract
Cultural heritage museums, as integral components of the urban built environment and public cultural space, not only preserve historical memory but also subtly shape visitors’ psychological experiences and well-being. Yet the mechanisms linking museum environmental quality with visitor mental experiences remain insufficiently explored. [...] Read more.
Cultural heritage museums, as integral components of the urban built environment and public cultural space, not only preserve historical memory but also subtly shape visitors’ psychological experiences and well-being. Yet the mechanisms linking museum environmental quality with visitor mental experiences remain insufficiently explored. Drawing on 10,684 visitor reviews collected from Dianping, Weibo, and Ctrip, this study applies text mining and semantic analysis to construct an evaluation framework of visitor behavioral preferences and psychological experiences in heritage museums. The findings show that attention to spatial remains, historical artifacts, and cultural symbols is closely associated with positive emotions such as mystery, awe, and beauty, while adverse environmental conditions such as queuing and crowding often trigger negative feelings including fatigue, disappointment, and boredom. Further analysis reveals a clear pathway linking objects, behaviors, and experiences: spatial remains evoke psychological resonance through immersive perceptions of authenticity; artifacts are primarily linked to visual pleasure and emotional comfort; and cultural symbols are transformed into cognitive gains and spiritual meaning through interpretation and learning. Cross-regional comparison highlights significant differences among museums with distinct cultural backgrounds in terms of architectural aesthetics, educational value, and emotional resonance. This study not only offers a practical framework for the refined management and spatial optimization of heritage museums, but also demonstrates that high-quality cultural environments can promote mental health and emotional restoration. The results extend the interdisciplinary framework of museum research and provide empirical evidence for environmental improvement and public health promotion in cultural heritage spaces in the digital era. Full article
Show Figures

Figure 1

15 pages, 248 KB  
Article
General Practitioners’ Perceptions on Prescribing Coastal Visits for Mental Health in Flanders (Belgium)
by Alexander Hooyberg, Luka De Wever Van der Heyden, Marine I. Severin, Stefaan De Henauw and Gert Everaert
Healthcare 2025, 13(13), 1599; https://doi.org/10.3390/healthcare13131599 - 3 Jul 2025
Viewed by 1133
Abstract
Background: Increasing evidence suggests that visiting the coast benefits mental health and that coastal prescribing is a promising societal endpoint. General practitioners (GPs) are the pivotal access point for patients to receive diagnosis and treatment, but little is known about their perspective on [...] Read more.
Background: Increasing evidence suggests that visiting the coast benefits mental health and that coastal prescribing is a promising societal endpoint. General practitioners (GPs) are the pivotal access point for patients to receive diagnosis and treatment, but little is known about their perspective on recommending patients to visit the coast. Methods: This study applied qualitative semi-structured interviews to explore GPs’ perspectives on coastal prescribing in Flanders. We interviewed eleven GPs (aged 32–69 years) and inspected their responses using inductive thematic analysis. Results: Results show that the interviewed GPs generally believed in the therapeutic benefits of the coast, but also acknowledged risks associated with crowding and patient-specific effects. Six barriers were identified for coastal prescribing: feasibility concerns, lack of awareness, prioritizing physical exercise or visiting nearby green nature, anticipating low motivation of the patient, feeling pressure to prescribe medication, and needing more scientific evidence. As solutions, they proposed gathering more scientific evidence and raising awareness. Finally, the GPs regarded their field expertise as valuable in helping to recruit patients for follow-up research on the health effects of the coast. Conclusions: Our findings highlight the importance of engaging GPs, patients, and other stakeholders to identify key knowledge gaps before co-creating coastal prescribing in healthcare. Full article
Show Figures

Graphical abstract

10 pages, 4214 KB  
Proceeding Paper
Color Images in Architecture for Stress-Relief
by Yung-Chia Chiu, Ming-Chyuan Ho, Jui-Che Tu and Zhi-Xuan Yang
Eng. Proc. 2024, 74(1), 18; https://doi.org/10.3390/engproc2024074018 - 28 Aug 2024
Viewed by 2377
Abstract
The emotional responses and perceptual preferences of individuals for urban public spaces are shaped by their interactions with the physical environment. Emotions and perceptions are inextricably linked, forming the basis of people’s spatial experience. For instance, the presence of dense city buildings can [...] Read more.
The emotional responses and perceptual preferences of individuals for urban public spaces are shaped by their interactions with the physical environment. Emotions and perceptions are inextricably linked, forming the basis of people’s spatial experience. For instance, the presence of dense city buildings can result in feelings of crowding and friction. By improving the urban landscape, it is possible to reduce the stress experienced by citizens. In this study, architectural styles and building facade colors were examined to explore design approaches and features of stress-relieving building facades and identify metrics that measure participants’ stress-relief when viewing buildings. The color of 600 buildings in Japan and Taiwan was analyzed to understand stress-relief from architecture. Semi-structured interviews were conducted with 70 participants who viewed images of 30 buildings. The semantic differential method with a seven-point image scale was employed to assess the stress-relieving potential of different architectural styles and colors. The findings of this study indicated that participants perceived that architectural colors influenced feelings of relief. Additionally, they anticipated variations in architectural colors contingent on architectural usage patterns. To substantiate this observation, three principles—city image, identity, and spiritual atmosphere—were identified as fundamental elements in designing cities for livability. The three principles are illustrated by several case studies for a detailed understanding of their applicability in biodesign practices. Full article
Show Figures

Figure 1

23 pages, 7800 KB  
Article
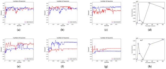
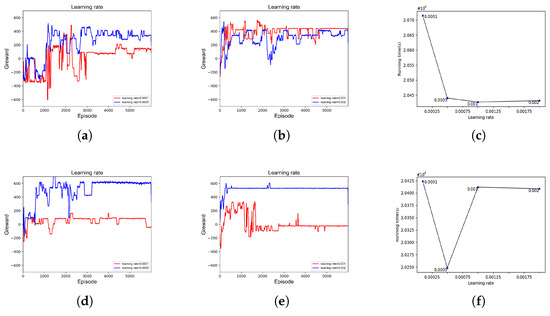
A Dynamic Task Allocation Framework in Mobile Crowd Sensing with D3QN
by Yanming Fu, Yuming Shen and Liang Tang
Sensors 2023, 23(13), 6088; https://doi.org/10.3390/s23136088 - 1 Jul 2023
Cited by 7 | Viewed by 3688
Abstract
With the coverage of sensor-rich smart devices (smartphones, iPads, etc.), combined with the need to collect large amounts of data, mobile crowd sensing (MCS) has gradually attracted the attention of academics in recent years. MCS is a new and promising model for mass [...] Read more.
With the coverage of sensor-rich smart devices (smartphones, iPads, etc.), combined with the need to collect large amounts of data, mobile crowd sensing (MCS) has gradually attracted the attention of academics in recent years. MCS is a new and promising model for mass perception and computational data collection. The main function is to recruit a large group of participants with mobile devices to perform sensing tasks in a given area. Task assignment is an important research topic in MCS systems, which aims to efficiently assign sensing tasks to recruited workers. Previous studies have focused on greedy or heuristic approaches, whereas the MCS task allocation problem is usually an NP-hard optimisation problem due to various resource and quality constraints, and traditional greedy or heuristic approaches usually suffer from performance loss to some extent. In addition, the platform-centric task allocation model usually considers the interests of the platform and ignores the feelings of other participants, to the detriment of the platform’s development. Therefore, in this paper, deep reinforcement learning methods are used to find more efficient task assignment solutions, and a weighted approach is adopted to optimise multiple objectives. Specifically, we use a double deep Q network (D3QN) based on the dueling architecture to solve the task allocation problem. Since the maximum travel distance of the workers, the reward value, and the random arrival and time sensitivity of the sensing tasks are considered, this is a dynamic task allocation problem under multiple constraints. For dynamic problems, traditional heuristics (eg, pso, genetics) are often difficult to solve from a modeling and practical perspective. Reinforcement learning can obtain sub-optimal or optimal solutions in a limited time by means of sequential decision-making. Finally, we compare the proposed D3QN-based solution with the standard baseline solution, and experiments show that it outperforms the baseline solution in terms of platform profit, task completion rate, etc., the utility and attractiveness of the platform are enhanced. Full article
(This article belongs to the Section Sensor Networks)
Show Figures

Figure 1

17 pages, 1015 KB  
Article
Elderly Users’ Emotional and Behavioral Responses to Self-Service Technology in Fast-Food Restaurants
by Jinyoung Nam, Seongcheol Kim and Yoonhyuk Jung
Behav. Sci. 2023, 13(4), 284; https://doi.org/10.3390/bs13040284 - 26 Mar 2023
Cited by 14 | Viewed by 8636
Abstract
While COVID-19 has accelerated digital transformation, increasing labor costs and 52-h workweek rules are replacing human labor with self-service technologies (SSTs). Self-service technology is increasingly being implemented in restaurant settings. However, the elderly, who have relatively lower levels of digital literacy, are being [...] Read more.
While COVID-19 has accelerated digital transformation, increasing labor costs and 52-h workweek rules are replacing human labor with self-service technologies (SSTs). Self-service technology is increasingly being implemented in restaurant settings. However, the elderly, who have relatively lower levels of digital literacy, are being excluded from services that can alleviate the economic and social difficulties of their daily lives. This study thus aims to explain how elderly users feel about and respond to SST in fast-food restaurants. An off-site survey was conducted with individuals who had experience using SST. We analyzed the data using the partial least squares structural equation modeling method by SmartPLS 3.0. The results showed that SST’s reduction, perceived ease of use of SST, and perceived time pressure significantly influenced users’ negative emotions toward the SST. However, perceived physical condition and perceived crowding did not have significant influences on users’ emotions. In empirically investigating individuals’ negative emotions toward and coping strategies for challenges posed by SST, this study emphasizes the development of a nationwide digital inclusion policy that can help bridge the digital divide. Full article
(This article belongs to the Special Issue Disruptive Economy, Digital Technologies and Consumption)
Show Figures

Figure 1

13 pages, 743 KB  
Review
Mood Status Response to Physical Activity and Its Influence on Performance: Are Chronotype and Exercise Timing Affect?
by Hengxu Liu, Jiaqi Liang, Kun Wang, Tingran Zhang, Shiqi Liu and Jiong Luo
Int. J. Environ. Res. Public Health 2023, 20(4), 2822; https://doi.org/10.3390/ijerph20042822 - 5 Feb 2023
Cited by 7 | Viewed by 6251
Abstract
Purpose: It is well known that there is an obvious 24 h diurnal variation in the individual’s mood state and physiological activity, and training at different times of the day may lead to different exercise performance and metabolic outcomes; however, the time-dependent effect [...] Read more.
Purpose: It is well known that there is an obvious 24 h diurnal variation in the individual’s mood state and physiological activity, and training at different times of the day may lead to different exercise performance and metabolic outcomes; however, the time-dependent effect of emotional state on physical activity and the influence of its circadian rhythm on exercise performance are still not comprehensively understood. Based on this, this study summarizes the rhythmic experimental research in the field of sport psychology, and it aims to provide the basis for coaches to optimize sports training scientifically and to improve the mental health of the related crowd to the greatest extent. Methods: The systematic review was performed in accordance with the Preferred Reporting Items for Systematic Reviews and Meta-Analyses guidelines. We searched the PubMed, Web of Science, Medline, and CNKI databases for relevant literature; the search scope was research before September 2022. Results: 13 studies comprising 382 subjects examined the effects of exercise timing on mood responses to exercise or the effects of circadian rhythms of mood on exercise performance, which included 3 RCTs and 10 Non-RCTs. The subjects included athletes (both training or retired), college students, and healthy adults. Two studies were designed for long-term exercise intervention (aerobic training and RISE) and the rest for acute intervention (CrossFit training, HIIT, aerobic combined with muscle conditioning training, constant power exhaustion training, and cycling) or physical function tests (RSA + BTV tests, 30 s Wingate test, muscle strength + CMJ + swimming performance test, RSSJA, shooting accuracy tests + 10 × 20 m dribbling sprint, 200 m time trials). All trials reported specific exercise timing; of these, 10 studies reported subjects’ chronotypes, most commonly using the MEQ scale, while 1 recorded with the CSM. Mood responses were assessed with the POMS scale in 10 studies, while 3 other studies used the UMACL, PANAS, and GAS scales, respectively. Conclusion: There was much inconsistency between the results, with subjects likely to be exposed to more sunlight (the main timing factor of the circadian rhythm) during early morning exercise, resulting in feeling more positive emotions; however, following a night’s rest, delayed responses and poor functioning of the various organ systems of the human body may also lead to higher feelings of fatigue and negative emotions indirectly. Conversely, for athletes, their physical function tests are also more susceptible to the circadian rhythm of emotions, suggesting the importance of synchronizing them. In addition, night owls’ emotional state during physical activity seems to be more susceptible to exercise timing than that of early birds. In order to achieve the best emotional state, it is suggested that night owls arrange courses in the afternoon or evening in future training. Full article
(This article belongs to the Section Exercise and Health)
Show Figures

Figure 1

21 pages, 1383 KB  
Article
How to Alleviate Feelings of Crowding in a Working from Home Environment: Lessons Learned from the COVID-19 Pandemic
by So Yeon Park, Caroline Newton and Rachel Lee
Int. J. Environ. Res. Public Health 2023, 20(2), 1025; https://doi.org/10.3390/ijerph20021025 - 6 Jan 2023
Cited by 11 | Viewed by 3001
Abstract
The sudden adoption of working from home (WFH) during the COVID-19 pandemic has required the reconfiguration of home spaces to fit space for remote work into existing spaces already filled with other domestic functions. This resulted in blurring of home and work boundaries, [...] Read more.
The sudden adoption of working from home (WFH) during the COVID-19 pandemic has required the reconfiguration of home spaces to fit space for remote work into existing spaces already filled with other domestic functions. This resulted in blurring of home and work boundaries, the potential lack of space for telecommuting from home, and telecommuters’ feelings of crowding. Numerous studies have shown the negative effects of crowding feelings on workers’ responses. This study focused on the issue of crowding in the residential workspace. An online survey was conducted to investigate how features of the home workspace correlate with telecommuters’ feelings of crowding and how these feelings affect satisfaction, health, and productivity. As a result, we found that various environmental features of home workspaces (e.g., house size, purpose of workspace, accessible balcony, lighting, noise, etc.), as well as psychological aspects (e.g., individual control over space use), had significant effects on telecommuters’ feelings of crowdedness. It was also found that feelings of crowding in the WFH environment can directly and indirectly affect teleworkers’ satisfaction with work environments, well-being, and work performance. Based on the results, we offered various potential ways to alleviate overcrowding issues in the WFH context. Full article
Show Figures

Figure 1

19 pages, 43333 KB  
Article
Study on Subjective Evaluation of Acoustic Environment in Urban Open Space Based on “Effective Characteristics”
by Xiaodan Hong, Weichen Zhang, Yiping Chu and Wenying Zhu
Int. J. Environ. Res. Public Health 2022, 19(15), 9231; https://doi.org/10.3390/ijerph19159231 - 28 Jul 2022
Cited by 6 | Viewed by 2332
Abstract
With the continuous expansion of urban scale with dense population and traffic and the gradual improvement of residents’ requirements for environmental quality, the traditional evaluation method relying on acoustic energy is not enough to reflect the feelings of urban crowds about acoustic environment [...] Read more.
With the continuous expansion of urban scale with dense population and traffic and the gradual improvement of residents’ requirements for environmental quality, the traditional evaluation method relying on acoustic energy is not enough to reflect the feelings of urban crowds about acoustic environment quality. The acoustic environment quality evaluation method based on human subjective perception has gradually become one of the research focuses in the field of environmental noise control. In recent years, various subjective and objective acoustic characteristic parameters have been introduced into the study of acoustic environment assessment in the global literature. However, the extraction of “effective characteristics” from a large number of physical and psychoacoustic characteristics contained in acoustic signals and the creation of a scientific and efficient subjective evaluation model have always been key technical problems in the field of acoustic environment evaluation. Based on subjective human perceptions, the overall acoustic environment quality evaluation of urban open spaces is studied in this paper. Based on the “effective characteristic” parameters and the subjective characteristic proposed in the previous research, including equivalent continuous A-weighted sound pressure level (LA), the difference between median noise and ambient background noise (L50L90), Sharpness (Sh), as well as satisfaction (Sat), the multivariable linear regression algorithm is used to further study the intrinsic correlation between the proposed “effective characteristics” and subjective perception. Then, a satisfaction evaluation model of the acoustic environment based on “effective characteristics” is built in this paper. Furthermore, the soundwalk evaluation experiment and the MATLAB numerical simulation experiment are carried out, which verify that the prediction accuracy of the proposed model is more than 92%, the consistency of satisfaction level is more than 88%, as well as the changes in the values of Sh and L50L90 have a significant impact on the satisfaction prediction of the proposed model. It shows that the proposed “effective characteristics” more comprehensively describe the quality level of the regional acoustic environment in urban open space compared with a single LA index, and the proposed acoustic environment satisfaction evaluation model based on “effective characteristics” has significant accuracy superiority and regional applicability. Full article
(This article belongs to the Special Issue Understanding the Consequences of Noise Exposure Research)
Show Figures

Figure 1

21 pages, 1731 KB  
Article
Visual Sentiment Analysis from Disaster Images in Social Media
by Syed Zohaib Hassan, Kashif Ahmad, Steven Hicks, Pål Halvorsen, Ala Al-Fuqaha, Nicola Conci and Michael Riegler
Sensors 2022, 22(10), 3628; https://doi.org/10.3390/s22103628 - 10 May 2022
Cited by 44 | Viewed by 6142
Abstract
The increasing popularity of social networks and users’ tendency towards sharing their feelings, expressions, and opinions in text, visual, and audio content have opened new opportunities and challenges in sentiment analysis. While sentiment analysis of text streams has been widely explored in the [...] Read more.
The increasing popularity of social networks and users’ tendency towards sharing their feelings, expressions, and opinions in text, visual, and audio content have opened new opportunities and challenges in sentiment analysis. While sentiment analysis of text streams has been widely explored in the literature, sentiment analysis from images and videos is relatively new. This article focuses on visual sentiment analysis in a societally important domain, namely disaster analysis in social media. To this aim, we propose a deep visual sentiment analyzer for disaster-related images, covering different aspects of visual sentiment analysis starting from data collection, annotation, model selection, implementation, and evaluations. For data annotation and analyzing people’s sentiments towards natural disasters and associated images in social media, a crowd-sourcing study has been conducted with a large number of participants worldwide. The crowd-sourcing study resulted in a large-scale benchmark dataset with four different sets of annotations, each aiming at a separate task. The presented analysis and the associated dataset, which is made public, will provide a baseline/benchmark for future research in the domain. We believe the proposed system can contribute toward more livable communities by helping different stakeholders, such as news broadcasters, humanitarian organizations, as well as the general public. Full article
(This article belongs to the Section Sensing and Imaging)
Show Figures

Figure 1

19 pages, 756 KB  
Article
Public Transport COVID-19-Safe: New Barriers and Policies to Implement Effective Countermeasures under User’s Safety Perspective
by Shanna Trichês Lucchesi, Virginia Bergamaschi Tavares, Miriam Karla Rocha and Ana Margarita Larranaga
Sustainability 2022, 14(5), 2945; https://doi.org/10.3390/su14052945 - 3 Mar 2022
Cited by 33 | Viewed by 5037
Abstract
The COVID-19 emergency forced cities worldwide to adopt measures to restrict travel and implement new urban public transport solutions. The discontinuity and reduction of services made users recognize public transport systems as contamination vectors, and the decrease in the number of passengers can [...] Read more.
The COVID-19 emergency forced cities worldwide to adopt measures to restrict travel and implement new urban public transport solutions. The discontinuity and reduction of services made users recognize public transport systems as contamination vectors, and the decrease in the number of passengers can already be seen in several places. Thus, this study assessed the impact of the COVID-19 pandemic on urban public transport. We used hybrid choice models (HCMs) to identify the new barriers and potential solutions to increase users’ perception of safety, considering preexistent perceptions of public transportation quality. We used data from an online survey with users of public transportation in a metropolitan area in southern Brazil. We identified that the main barriers to using public transport during virus transmission are related to the system characteristics that force constant interaction with other passengers. Crowded vehicles and crowded stops/stations were considered the most detrimental factor in feeling safe while riding in the COVID-19 outbreak. Countermeasures that reduce the contact with other passengers—directly (limit the number of passengers in vehicles) or indirectly (operate with large vehicles)—and increase offers are possible solutions to make users feel safe while riding. The results of this research might help reduce passenger evasion and migration to more unsustainable transport modes. Full article
Show Figures

Figure 1

18 pages, 1490 KB  
Article
Can Senior Travelers Save Japanese Hot Springs? A Psychographic Segmentation of Visitors and Their Intention to Visit Onsen Establishments during COVID-19
by Isabell Handler
Sustainability 2022, 14(4), 2306; https://doi.org/10.3390/su14042306 - 17 Feb 2022
Cited by 6 | Viewed by 4956
Abstract
To develop tourism products and campaigns that will not just help Japanese hot springs survive but revive and sustain them in the future, it is imperative to understand the behavioral intentions of its visitors during the coronavirus disease (COVID-19) pandemic. This study aims [...] Read more.
To develop tourism products and campaigns that will not just help Japanese hot springs survive but revive and sustain them in the future, it is imperative to understand the behavioral intentions of its visitors during the coronavirus disease (COVID-19) pandemic. This study aims to investigate how the important market of senior Japanese visitors is characterized by their attitudes and feelings toward visiting hot springs during the COVID-19 pandemic. In addition, it explores whether external travel incentives can increase seniors’ intention to visit. A market research study was conducted on Japanese nationals, using 507 questionnaires. A factor analysis generated five attitude dimensions: (1) response efficacy, (2) perceived COVID-19 infectability, (3) self-efficacy, (4) crowding perception and feeling, and (5) perceived threat severity. Through k-means cluster analysis, the segmentation produced three distinct tourist segments: trusting seniors, concerned seniors, and indifferent seniors. Each segment is clearly described in terms of attitudes, considering distinct sociodemographic characteristics. Practical suggestions on managing and targeting these segments are also discussed. Full article
(This article belongs to the Topic Sustainability in Hospitality and Tourism Management)
Show Figures

Figure 1

14 pages, 1819 KB  
Article
Maternal Mental Health under COVID-19 Pandemic in Thailand
by Wachiranun Sirikul, Krongporn Ongprasert, Chanodom Piankusol and Penprapa Siviroj
Int. J. Environ. Res. Public Health 2022, 19(1), 347; https://doi.org/10.3390/ijerph19010347 - 29 Dec 2021
Cited by 4 | Viewed by 3086
Abstract
Numerous nations have implemented lockdown measures in response to the COVID-19 pandemic. As a consequence of the lockdown on daily living, social participation, and health service accessibility, vulnerable people, for example, new mothers, may experience an increase in mental health problems. This cross-sectional [...] Read more.
Numerous nations have implemented lockdown measures in response to the COVID-19 pandemic. As a consequence of the lockdown on daily living, social participation, and health service accessibility, vulnerable people, for example, new mothers, may experience an increase in mental health problems. This cross-sectional survey was conducted to investigate the impact of the COVID-19 pandemic lockdown on Thai new mothers and the variables affecting their mental health. The survey data were collected from 903 Thai mothers with infants aged 0–12 months using an online platform and a face-to-face interview questionnaire survey between 17 July and 17 October 2020, during the first nationwide COVID-19 lockdown period. For the final analysis, there were 862 participants who completed all of the questions. The full exploratory analysis was performed by multivariable linear regression to identify the variables influencing maternal mental health. Our study demonstrated that new mothers reported feeling a high extent to some extent of worry (44.9%), increased appetite (40.4%), becoming easily annoyed or irritable (39.1%), and feeling down (33.5%), whereas 82.7% felt able to cope with the first lockdown situation. Practiced relaxation techniques were associated with positive maternal mental health (adjusted β = 1.05, 95% CI 0.57 to 1.52, p < 0.001). The perceived impact of the COVID-19 lockdown was on the household’s ability to pay for rent, to make mortgage payments (adjusted β = −1.59, 95% CI −2.87 to −0.36, p = 0.011), the household’s ability to pay for other essentials, such as utilities and medication (adjusted β = −1.99, 95% CI −3.16 to −0.81, p = 0.001), household crowding after lockdown (adjusted β = −3.46, 95% CI −4.86 to −2.06, p < 0.001), and not going outside or doing outdoor activities (adjusted β = −2.22, 95% CI −3.35 to −1.08, p < 0.001). These impacts were significantly associated with negative mental health. In conclusion, our results emphasize the critical need for continuous monitoring of maternal mental health and developing an effective response strategy and activity for promoting maternal mental health under the stress of repetitive lockdowns and increased economic pressures. Full article
Show Figures

Figure 1

19 pages, 5856 KB  
Article
Social Connectivity, Sentiment and Participation on Twitter during COVID-19
by Andrea Castro-Martinez, Paula Méndez-Domínguez, Aimiris Sosa Valcarcel and Joaquín Castillo de Mesa
Int. J. Environ. Res. Public Health 2021, 18(16), 8390; https://doi.org/10.3390/ijerph18168390 - 8 Aug 2021
Cited by 9 | Viewed by 5244
Abstract
In a transnational context defined by the irruption of COVID-19 and the social isolation it has generated around the world, social networking sites are essential channels for communicating and developing new forms of social coexistence based on connectivity and interaction. This study analyzes [...] Read more.
In a transnational context defined by the irruption of COVID-19 and the social isolation it has generated around the world, social networking sites are essential channels for communicating and developing new forms of social coexistence based on connectivity and interaction. This study analyzes the feelings expressed on Twitter through the hashtags #YoMeQuedoEnCasa, #stayhome, #jeresteàlamaison, #restealamaison, #stoacasa, #restaacasa, #ficaemcasa, #euficoemcasa, #ichbleibezuHause and #Bleibzuhause, and the communicative and social processes articulated from network participation, during the lockdown in 2020. Through Gephi software, the aspects underlying the communicative interaction and the distribution of the network at a global level are studied, with the identification of leaderships, communities and connectivity nodes. As a result of this interaction, the emergence of social and organizational links derived from community participation and motivated by the common interest of preserving health and general wellbeing through collective action is detected. The study notes the presence of feelings of solidarity, a sense of community and social support among connected crowds who, despite being in geographically dispersed settings, share similar concerns about the virus effect. Full article
(This article belongs to the Special Issue COVID-19 Global Threat: Information or Panic)
Show Figures

Figure 1

18 pages, 3796 KB  
Article
Perceiving Residents’ Festival Activities Based on Social Media Data: A Case Study in Beijing, China
by Bingqing Wang, Bin Meng, Juan Wang, Siyu Chen and Jian Liu
ISPRS Int. J. Geo-Inf. 2021, 10(7), 474; https://doi.org/10.3390/ijgi10070474 - 10 Jul 2021
Cited by 12 | Viewed by 6136
Abstract
Social media data contains real-time expressed information, including text and geographical location. As a new data source for crowd behavior research in the era of big data, it can reflect some aspects of the behavior of residents. In this study, a text classification [...] Read more.
Social media data contains real-time expressed information, including text and geographical location. As a new data source for crowd behavior research in the era of big data, it can reflect some aspects of the behavior of residents. In this study, a text classification model based on the BERT and Transformers framework was constructed, which was used to classify and extract more than 210,000 residents’ festival activities based on the 1.13 million Sina Weibo (Chinese “Twitter”) data collected from Beijing in 2019 data. On this basis, word frequency statistics, part-of-speech analysis, topic model, sentiment analysis and other methods were used to perceive different types of festival activities and quantitatively analyze the spatial differences of different types of festivals. The results show that traditional culture significantly influences residents’ festivals, reflecting residents’ motivation to participate in festivals and how residents participate in festivals and express their emotions. There are apparent spatial differences among residents in participating in festival activities. The main festival activities are distributed in the central area within the Fifth Ring Road in Beijing. In contrast, expressing feelings during the festival is mainly distributed outside the Fifth Ring Road in Beijing. The research integrates natural language processing technology, topic model analysis, spatial statistical analysis, and other technologies. It can also broaden the application field of social media data, especially text data, which provides a new research paradigm for studying residents’ festival activities and adds residents’ perception of the festival. The research results provide a basis for the design and management of the Chinese festival system. Full article
(This article belongs to the Special Issue Geovisualization and Social Media)
Show Figures

Figure 1

14 pages, 356 KB  
Article
Sexuality in Patients with Hidradenitis Suppurativa: Beliefs, Behaviors and Needs
by Carlos Cuenca-Barrales and Alejandro Molina-Leyva
Int. J. Environ. Res. Public Health 2020, 17(23), 8808; https://doi.org/10.3390/ijerph17238808 - 27 Nov 2020
Cited by 20 | Viewed by 3091
Abstract
Little is known about the impact of hidradenitis suppurativa (HS) on patients’ sexuality. The aim of this research is to investigate the impact of HS on several previously unexplored aspects of sexuality. In March 2018, we conducted a crowd-sourced cross-sectional online survey hosted [...] Read more.
Little is known about the impact of hidradenitis suppurativa (HS) on patients’ sexuality. The aim of this research is to investigate the impact of HS on several previously unexplored aspects of sexuality. In March 2018, we conducted a crowd-sourced cross-sectional online survey hosted by the Spanish association of patients with HS (ASENDHI) and available in Spanish. A panel of experts and patients from ASENDHI designed various questions in order to explore the extent to which HS influenced participants’ sex lives. The final sample consisted of 386 participants, 79.27% (306/386) of which were women and 20.73% (80/306) of which were men. Seventy-seven point one percent (236/306) of women and 67.5% (54/80) of men were in stable relationships; the rest of the participants were single. Forty-seven point nine percent (185/386) admitted to feeling fear of rejection. Pain was the symptom that most interfered with sexual relations in women and suppuration in men. Forty-four point three percent (171/386) of the participants considered themselves to be less attractive than average. Considering the participants in a stable relationship, women described receiving more emotional support from their partners, while men received more help with lesion dressing in intimate areas. Seventy-one point four percent (207/290) of participants stated that HS negatively affected their relationship. Among single patients, women experienced greater fear of rejection and were less willing to meet new people because of HS. Ninety-four point three percent (66/70) of women and 80.8% (21/26) of men stated that HS had a negative influence on their chances of having a relationship or sexual relations. In conclusion, HS has a significant, unrecognized and misunderstood impact on sexuality which must be addressed. Full article
(This article belongs to the Special Issue Inflammatory Diseases and Its Impact on Quality of Life)
Back to TopTop