Due to scheduled maintenance work on our servers, there may be short service disruptions on this website between 11:00 and 12:00 CEST on March 28th.
Sign in to use this feature.

Years

Between: -

Subjects

remove_circle_outline
remove_circle_outline
remove_circle_outline
remove_circle_outline
remove_circle_outline
remove_circle_outline
remove_circle_outline
remove_circle_outline
remove_circle_outline

Journals

remove_circle_outline
remove_circle_outline
remove_circle_outline
remove_circle_outline
remove_circle_outline
remove_circle_outline
remove_circle_outline
remove_circle_outline
remove_circle_outline
remove_circle_outline
remove_circle_outline
remove_circle_outline
remove_circle_outline
remove_circle_outline
remove_circle_outline
remove_circle_outline
remove_circle_outline
remove_circle_outline
remove_circle_outline
remove_circle_outline
remove_circle_outline
remove_circle_outline
remove_circle_outline
remove_circle_outline
remove_circle_outline
remove_circle_outline
remove_circle_outline
remove_circle_outline
remove_circle_outline
remove_circle_outline

Article Types

Countries / Regions

remove_circle_outline
remove_circle_outline
remove_circle_outline
remove_circle_outline
remove_circle_outline
remove_circle_outline
remove_circle_outline

Search Results (5,193)

Search Parameters:
Keywords = failure distribution

Order results
Result details
Results per page
Select all
Export citation of selected articles as:
24 pages, 2997 KB  
Article
A Controllability-Based Reliability Framework for Mechanical Systems with Scenario-Driven Performance Evaluation
by Daniel Osezua Aikhuele and Shahryar Sorooshian
Appl. Syst. Innov. 2026, 9(4), 72; https://doi.org/10.3390/asi9040072 (registering DOI) - 27 Mar 2026
Abstract
In classical reliability engineering, failure is a probabilistic structural failure based on lifetime distributions of Weibull models. However, in the control-critical mechanical systems, it is possible that functional failure of the system happens before material failure occurs as a result of control power [...] Read more.
In classical reliability engineering, failure is a probabilistic structural failure based on lifetime distributions of Weibull models. However, in the control-critical mechanical systems, it is possible that functional failure of the system happens before material failure occurs as a result of control power loss. This paper proposes a Controllability–Reliability Coupling (CRC) model, which redefines the concept of reliability as the stabilizability in the face of progressive degradation. The actuators’ deterioration is modeled using the time-varying input effectiveness factor α(t), and the actuator is said to be in failure when the minimum singular value of the finite-horizon controllability Gramian becomes less than a stabilizability threshold ε. The performance of the simulation indicates that the functional failure is a precursor of structural failure in several degradation conditions. A baseline comparison shows that the CRC metric forecasts loss of controllability at TCRC=17.0 s, but the classical Weibull reliability never attains the structural failure threshold even in the time horizon of 20 s. The system retains margins of Lyapunov stability and H infinity robustness are not lost, and it is still stable and attenuates disturbances even when control authority is lost. In practical degradation scenarios, the forecasted CRC failure times are 21.5 s (linear wear), 13.1 s (accelerated fatigue), 23.7 s (intermittent faults), and 24.4 s (shock damage), whereas maintenance recovery abated functional failure completely. In a case study of an industrial robotic joint, at 27.0 s, functional collapse occurred, and at the same time, structural reliability was still above the failure threshold. The findings support the hypothesis that structural survival and functional controllability are distinct concepts. The proposed CRC framework is an approach to control-conscious reliability measure, which can detect early failures and offer proactive maintenance advice in the context of a cyber–physical system. Full article
Show Figures

Figure 1

24 pages, 1839 KB  
Article
Variational Bayesian-Based Reliability Evaluation of Nonlinear Structures by Active Learning Gaussian Process Modeling
by Wei-Chao Hou, Yu Xin, Ding-Tang Wang, Zuo-Cai Wang and Zong-Zu Liu
Infrastructures 2026, 11(4), 118; https://doi.org/10.3390/infrastructures11040118 - 27 Mar 2026
Abstract
In this study, variational Bayesian inference (VBI) with Gaussian mixture models is applied to update models of nonlinear structures, and then, the calibrated model is employed to estimate the failure probability of structures using a subset simulation (SS) algorithm. To improve the computation [...] Read more.
In this study, variational Bayesian inference (VBI) with Gaussian mixture models is applied to update models of nonlinear structures, and then, the calibrated model is employed to estimate the failure probability of structures using a subset simulation (SS) algorithm. To improve the computation efficiency of probabilistic nonlinear model updating, a Gaussian Process (GP) model is used to construct a surrogate likelihood function in Bayesian inference using an active learning algorithm, and then, Gaussian mixture models (GMMs) are employed to approximate the unknown posterior probabilistic density functions (PDFs) of model parameters. The optimized hyperparameters of GMMs can be obtained by maximizing the evidence lower bound (ELBO), and the stochastic gradient search method is used to solve this optimization problem. Based on the optimized hyperparameters, the posterior distributions of model parameters can be approximated using a combination of multiple Gaussian components. Subsequently, the SS algorithm is used to calculate the earthquake-induced failure probability of structures based on the calibrated nonlinear model. To verify the feasibility and effectiveness of the proposed method, a numerical simulation of a two-span bridge structure subjected to seismic excitations was developed. Moreover, the proposed strategy is further applied to estimate the failure probability of a scaled monolithic column structure subjected to bi-directional earthquake excitations. Both numerical and experimental results indicate that the proposed method is feasible and effective for probabilistic nonlinear model updates, and the updated model can significantly enhance the accuracy of structural failure probability predictions. Full article
(This article belongs to the Section Infrastructures and Structural Engineering)
28 pages, 12296 KB  
Article
Macroscopic Failure Behavior and Crack Evolution of Random Fissured Sandstone of Random Fissured Sandstone: A Multi-Parameter Numerical Analysis
by Xiaowei Liu, Wenyao Yan, Li Zhang, Jiayuan Li, Yaoyao Meng, Xueliang Zhu, Feng Li and Yajuan Xin
Processes 2026, 14(7), 1074; https://doi.org/10.3390/pr14071074 - 27 Mar 2026
Abstract
The presence of random fissures significantly alters the mechanical properties and failure mechanisms of rocks. To systematically investigate the impact of fissures on the failure behavior of sandstone, a multivariable random fissure numerical model was developed based on the Weibull distribution probability density [...] Read more.
The presence of random fissures significantly alters the mechanical properties and failure mechanisms of rocks. To systematically investigate the impact of fissures on the failure behavior of sandstone, a multivariable random fissure numerical model was developed based on the Weibull distribution probability density function, in combination with a random fissure generation algorithm and cohesive element embedding method. This study primarily focuses on analyzing the influence of fissure ratio (R), fissure dip angle interval (A), fissure length interval (L), and fissure width interval (W) on the sandstone failure process. The results show that the failure modes change with variations in R, A, L, and W, specifically manifested as the formation of “X”-shaped, “Y”-shaped, or inverted “Y”-shaped primary cracks; the increase in fissure ratio significantly reduces both peak stress and total damage dissipated energy (ALLDMD), and promotes the propagation of tensile cracks; the increase in L leads to more complex failure patterns, but its effect on peak stress and peak strain fluctuates non-linearly, the ALLDMD remains insensitive to this change, while the number of tensile cracks decreases as L increases; conversely, an increase in W results in a failure mode characterized by a single crack path, the peak stress first increases and then decreases, and the ALLDMD exhibits an “N”-shaped fluctuation, though the overall variation is limited. Full article
12 pages, 300 KB  
Article
On Syntactical Simplification of Temporal Operators in Negation-Free Metric Temporal Logic
by Mathijs van Noort, Femke Ongenae and Pieter Bonte
Mathematics 2026, 14(7), 1124; https://doi.org/10.3390/math14071124 - 27 Mar 2026
Abstract
Temporal reasoning in dynamic, data-intensive environments increasingly demands expressive yet tractable logical frameworks. Traditional approaches often rely on negation to express absence or contradiction. In such contexts, negation-as-failure is commonly used to infer negative information from the lack of positive evidence. However, for [...] Read more.
Temporal reasoning in dynamic, data-intensive environments increasingly demands expressive yet tractable logical frameworks. Traditional approaches often rely on negation to express absence or contradiction. In such contexts, negation-as-failure is commonly used to infer negative information from the lack of positive evidence. However, for open and distributed systems such as IoT networks and the Semantic Web, negation-as-failure semantics become unreliable due to incomplete and asynchronous data. This has led to growing interest in negation-free fragments of temporal rule-based systems, which preserve monotonicity and enable scalable reasoning. This paper investigates the expressive power of negation-free Metric Temporal Logic (MTL), a temporal logic framework designed for rule-based reasoning over time. We show that the “always” operators ⊞ and ⊟, often treated as syntactic sugar for combinations of other temporal constructs, can be eliminated using “once”, “since” and “until” operators. Remarkably, even the “once” operators can be removed, yielding a fragment based solely on “until” and “since”. These results challenge the assumption that negation is necessary for expressing universal temporal constraints and reveal a robust fragment capable of capturing both existential and invariant temporal patterns. Furthermore, the results induce a reduction in the syntax of MTL, which, in turn, can provide benefits for both theoretical study as well as for implementation efforts. Full article
(This article belongs to the Special Issue Formal Methods in Computer Science: Theory and Applications)
Show Figures

Figure 1

25 pages, 845 KB  
Article
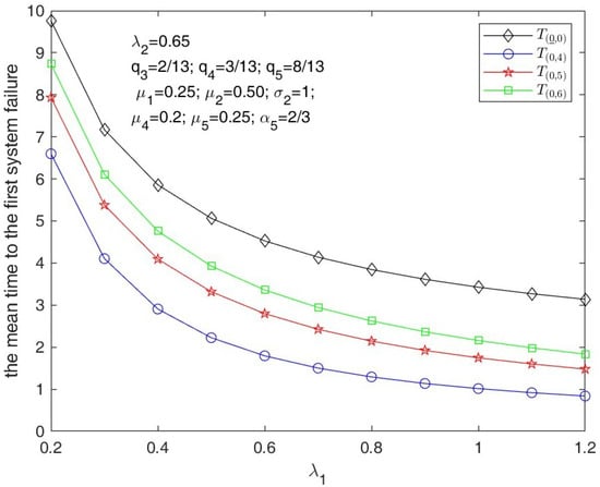
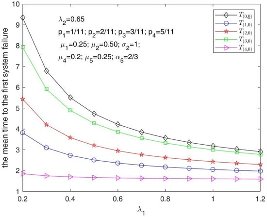
Analysis of a Semi-Markov Cold Standby System with Two Heterogeneous Components Considering Multiple Failure Modes
by Ping Zhang, Jinsong Hu and Wenqing Wu
Axioms 2026, 15(4), 251; https://doi.org/10.3390/axioms15040251 - 27 Mar 2026
Abstract
In this paper, a cold standby repairable system comprising two heterogeneous components, each characterized by multiple types of mutually independent failure modes, is investigated. The operational lifetimes of the components follow exponential distributions, while their repair times after failure are governed by general [...] Read more.
In this paper, a cold standby repairable system comprising two heterogeneous components, each characterized by multiple types of mutually independent failure modes, is investigated. The operational lifetimes of the components follow exponential distributions, while their repair times after failure are governed by general distributions. By applying the theory of the Markov renewal process together with the Laplace and the Laplace–Stieltjes transform techniques, we derive analytical expressions for the time to the first system failure, system availability, and the rate of occurrence of system failures. Some results for these reliability measures under several special cases are also presented. Finally, numerical examples are provided under different repair time distributions to analyze the influence of model parameters on the system’s reliability performance. Full article
Show Figures

Figure 1

17 pages, 1089 KB  
Article
Integration of Maintenance Strategies and Risk-Based Inspection in Offshore Platform Integrity Management
by Marko Jaric, Sanja Petronic, Zagorka Brat, Lazar Jeremic and Dubravka Milovanovic
J. Mar. Sci. Eng. 2026, 14(7), 618; https://doi.org/10.3390/jmse14070618 - 27 Mar 2026
Abstract
Offshore pipeline systems associated with floating platforms operate under complex environmental and operational conditions that significantly influence their structural integrity and inspection requirements. Limited accessibility, harsh marine environments, and time-dependent degradation mechanisms require inspection planning to be supported by structured decision-making frameworks capable [...] Read more.
Offshore pipeline systems associated with floating platforms operate under complex environmental and operational conditions that significantly influence their structural integrity and inspection requirements. Limited accessibility, harsh marine environments, and time-dependent degradation mechanisms require inspection planning to be supported by structured decision-making frameworks capable of explicitly accounting for both degradation processes and failure consequences. In this study, a Risk-Based Inspection (RBI)-driven integrity assessment is applied to three carbon steel pipeline systems associated with a SPAR offshore platform. The analysis integrates system description, identification of dominant damage mechanisms, and RBI quantification to evaluate probability of failure and consequence-related risk under offshore operating conditions. Internal corrosion is identified as the dominant long-term degradation mechanism for all analyzed pipelines, while external corrosion governs short-term inspection interval definition due to its higher growth rate and sensitivity to insulation characteristics and environmental exposure. Although all pipelines are classified within the same overall qualitative risk category, significant differences in failure probability, risk intensity, and consequence-driven risk behavior are observed, reflecting variations in system configuration, insulation systems, length, and functional role within the offshore production infrastructure. To enable meaningful comparison between pipeline systems of significantly different total lengths, normalized risk indicators per unit length are introduced. These indicators provide additional insight into local risk intensity and spatial risk distribution that are not evident from absolute risk values alone. The results highlight the importance of treating risk as a dynamic quantity rather than a static classification and demonstrate that RBI-based assessment supported by normalized risk metrics can enhance inspection prioritization and maintenance decision-making for SPAR-associated offshore pipeline systems. Full article
(This article belongs to the Special Issue Sustainability Practices and Failure Analysis of Offshore Pipelines)
Show Figures

Figure 1

14 pages, 1070 KB  
Article
Hemoglobin-to-Red Cell Distribution Width Ratio as a Prognostic Marker in Decompensated Heart Failure Patients: A Prospective Observational Study
by Ruxandra Maria Christodorescu, Călin Muntean, Minodora Andor, Daniel Lighezan, Adina Pop Moldovan, Andrei Blajevschi, Samuel Ardelean and Dan Darabanțiu
Life 2026, 16(4), 551; https://doi.org/10.3390/life16040551 - 27 Mar 2026
Abstract
Background and Methods: This prospective observational study investigated the prognostic value of the hemoglobin-to-red cell distribution width ratio (HRR) in 278 patients hospitalized with decompensated heart failure (HF). The primary endpoint was a composite of all-cause mortality or HF rehospitalization at 12 months. [...] Read more.
Background and Methods: This prospective observational study investigated the prognostic value of the hemoglobin-to-red cell distribution width ratio (HRR) in 278 patients hospitalized with decompensated heart failure (HF). The primary endpoint was a composite of all-cause mortality or HF rehospitalization at 12 months. Multivariable Cox regression was employed to adjust for risk factors including age, sex, NT-proBNP, LVEF, and eGFR. Results: The median HRR was 0.89. During follow-up, the primary endpoint occurred in 167 (60.1%) patients. Unadjusted analysis showed a lower HRR was significantly associated with reduced event-free survival (log-rank p = 0.027). However, after multivariable adjustment, this association was no longer statistically significant (p = 0.240). Older age and male sex remained independent predictors. Conclusions: In patients with decompensated HF, a lower baseline HRR correlates with increased risk but does not maintain independent prognostic value after adjusting for powerful confounders. HRR may serve as a simple, initial marker of risk rather than an independent predictor. Full article
Show Figures

Graphical abstract

17 pages, 598 KB  
Review
Mapping the Extended Pain Pathway: Human Genetic and Multi-Omic Strategies for Next-Generation Analgesics
by Ari-Pekka Koivisto
Int. J. Mol. Sci. 2026, 27(7), 3035; https://doi.org/10.3390/ijms27073035 - 26 Mar 2026
Abstract
The 2025 approval of the selective NaV1.8 blocker suzetrigine for acute pain marked a pivotal advance in analgesic drug development. Yet the subsequent failure of Vertex’s next-generation NaV1.8 inhibitor VX993 to demonstrate clinical analgesia underscores enduring challenges in translating mechanistic promise into patient [...] Read more.
The 2025 approval of the selective NaV1.8 blocker suzetrigine for acute pain marked a pivotal advance in analgesic drug development. Yet the subsequent failure of Vertex’s next-generation NaV1.8 inhibitor VX993 to demonstrate clinical analgesia underscores enduring challenges in translating mechanistic promise into patient benefit. This review examines why promising targets and compounds, spanning NaV and TRP channels, often falter and outlines a path toward more reliable target selection and validation. I first summarize the pain pathway, from nociceptor transduction through spinal processing to cortical perception, emphasizing how inflammation and peripheral sensitization reshape excitability. Historically serendipitous, pain drug discovery now prioritizes molecular precision. Most approved chronic pain therapies act in the CNS and are limited by modest efficacy and adverse effects. Nociceptor-enriched targets (NaV1.7/1.8/1.9; TRP channels) remain attractive, yet redundancy among NaV subtypes and the necessity of blocking targets at the correct anatomical sites complicate translation. Human genetics and multi-omics provide a powerful, unbiased engine for target discovery. Rare high-impact variants offer strong causal hypotheses, while common polygenic contributions illuminate broader susceptibility. Large biobanks increasingly reveal a mismatch between legacy pain targets and genetically supported candidates across neuronal and non-neuronal cells. Human DRG transcriptomics highlight NaV channel redundancy. Human in vitro electrophysiology and PK/PD analyses show suzetrigine achieves ~90–95% NaV1.8 engagement, yet neurons can still fire unless additional channels are blocked. Species differences and drug distribution (including BBB/PNS penetration and P-gp efflux) critically influence efficacy; centrally accessible blockade (e.g., for NaV1.7 or TRPA1) may be necessary to achieve robust analgesia, challenging peripherally restricted strategies. Osteoarthritis illustrates how obesity-driven metabolic inflammation, synovial immune activation, subchondral bone remodeling, and specific nociceptor subtypes converge to drive mechanical pain. Multi-omic integration across diseased human tissues can pinpoint causal processes and cell types, enabling more selective and safer target choices. I propose a practical framework for target validation that integrates: (i) rigorous human genetic support; (ii) cell-type and site-of-action mapping; (iii) human-relevant electrophysiology and PK/PD with verified target engagement; (iv) species-appropriate models; (v) consideration of modality (small molecule, biologic, RNA, targeted protein degradation). Advancing genetically and anatomically aligned targets, tested at the right sites and exposures, offers the best path to genuinely effective, better-tolerated pain therapeutics. Full article
(This article belongs to the Special Issue Pain Pathways Rewired: Moving past Peripheral Ion Channel Strategies)
22 pages, 16845 KB  
Article
Fracture Behavior of Rocks with Different Grain Sizes Based on the Boundary Effect Model: Insights from AE and DIC
by Zhe Dong, Zhonghui Li, Enyuan Wang, Xin Zhou and Quancong Zhang
Appl. Sci. 2026, 16(7), 3209; https://doi.org/10.3390/app16073209 - 26 Mar 2026
Abstract
Rock fracture behavior is strongly influenced by grain size and boundary effects, which complicate the determination of fracture parameters and the interpretation of size-dependent failure. This study investigates the fracture behavior of sandstone and diorite within the framework of the boundary effect model [...] Read more.
Rock fracture behavior is strongly influenced by grain size and boundary effects, which complicate the determination of fracture parameters and the interpretation of size-dependent failure. This study investigates the fracture behavior of sandstone and diorite within the framework of the boundary effect model (BEM) using three-point bending tests, acoustic emission (AE), and digital image correlation (DIC). By varying the prefabricated crack length, different values of the structural geometric parameters ae were obtained, and the fracture toughness KIC and tensile strength ft were identified by regression analysis. The results show that KIC = 0.6841 MPa·m0.5 and ft = 4.5625 MPa for sandstone, whereas KIC = 2.7233 MPa·m0.5 and ft = 21.8218 MPa for diorite. Increasing the prefabricated crack length reduces the peak load and prolongs the pre-peak damage evolution stage. Diorite, with a larger average grain size, exhibits higher AE energy release, a higher proportion of high-energy AE events, and a larger fracture process zone (FPZ) than sandstone. Moreover, the AE energy distribution along the crack propagation direction shows a distinct “three-stage” characteristic, consistent with the non-uniform distribution of local fracture energy gf predicted by boundary effect theory. The results indicate that BEM can reasonably characterize the fracture behavior of rocks with different grain sizes, and the identified material parameters can be used to construct a BEM-based structural failure curve for estimating nominal failure stress over a wider range of structural geometric parameters. Full article
(This article belongs to the Special Issue Advances in Smart Underground Construction and Tunneling Design)
Show Figures

Figure 1

64 pages, 10028 KB  
Article
Critical Regimes of Systemic Risk: Flow Network Cascades in the U.S. Banking System
by Samuel Montañez Jacquez, Luis Alberto Quezada Téllez, Rodrigo Morales Mendoza, Ernesto Moya-Albor, Guillermo Fernández Anaya and Milagros Santos Moreno
Risks 2026, 14(4), 73; https://doi.org/10.3390/risks14040073 - 26 Mar 2026
Abstract
Systemic risk in banking systems arises from losses transmitted through networks of contractual exposures. Yet, most widely used measures rely on market-implied volatility and equity prices rather than structural balance sheet fragilities. This paper develops a flow network framework that models systemic risk [...] Read more.
Systemic risk in banking systems arises from losses transmitted through networks of contractual exposures. Yet, most widely used measures rely on market-implied volatility and equity prices rather than structural balance sheet fragilities. This paper develops a flow network framework that models systemic risk as a capacity-constrained loss-diffusion process governed by flow conservation, contractual seniority, and interbank topology. Using regulatory balance sheet data for four major U.S. banks across six quarters of the 2007–2008 financial crisis, we simulate millions of unit-consistent cascade scenarios to characterize the distribution of bank failures and aggregate losses. Despite severe macro-financial stress, the system remains in a subcritical contagion regime, exhibiting frequent single-bank failures, virtually no multi-bank cascades, and quasi-stationary aggregate losses concentrated around USD 420–430B.We extend the model to a stochastic setting in which the initial shock magnitude is randomized while propagation mechanics remain deterministic. The resulting loss distribution remains tightly concentrated and scales approximately linearly with shock size, suggesting that uncertainty in shock realizations does not induce nonlinear cascade amplification. Applying an efficient network benchmark, we estimate that 10–23% of expected systemic loss is attributable to suboptimal network architecture, implying potential gains from structural policy intervention. A comparison with SRISK reveals early divergence and convergence only at peak stress, highlighting the complementary roles of structural and market-based systemic risk measures. Finally, a graph neural network trained on synthetic flow network data fails to reproduce threshold-driven cascade dynamics, underscoring the importance of considering network structures vis-à-vis data-driven approaches. Full article
20 pages, 2288 KB  
Article
Reproductive Processes Do Not Constrain the Western Range Limit of Gelsemium sempervirens (Gelsemiaceae)
by John B. Pascarella
Forests 2026, 17(4), 413; https://doi.org/10.3390/f17040413 - 26 Mar 2026
Abstract
Range limits are often hypothesized to arise from reduced reproductive success at distributional margins, yet direct tests integrating pollination and post-pollination processes remain uncommon. Whether reproductive failure constrains the distylous Gelsemium sempervirens at its western range edge in eastern Texas was investigated by [...] Read more.
Range limits are often hypothesized to arise from reduced reproductive success at distributional margins, yet direct tests integrating pollination and post-pollination processes remain uncommon. Whether reproductive failure constrains the distylous Gelsemium sempervirens at its western range edge in eastern Texas was investigated by quantifying flowering phenology, floral visitation, pollinator effectiveness, and seed fate over two flowering seasons. Flowering timing differed markedly between years due to freeze events, but flowering effort and morph synchrony remained high. Although multiple floral visitors were recorded, fruit set was overwhelmingly associated with the southeastern blueberry bee (Habropoda laboriosa), which dominated visitation and remained active throughout the flowering period. No evidence of autonomous self-pollination or breakdown of functional distyly was detected. Seed set in unattacked fruits was high and comparable to values reported from central-range populations. In contrast, post-pollination seed loss due to cryptic fruit herbivory substantially reduced seed survival, though herbivory patterns did not differ qualitatively from those documented elsewhere in the species’ range. Together, these results indicate that reproductive failure does not explain the abrupt western range limit of G. sempervirens and instead suggest that ecological transitions associated with the forest–prairie ecotone, rather than pollination or early seed development, may play a more important role in shaping the species’ distribution. Full article
(This article belongs to the Section Forest Biodiversity)
Show Figures

Figure 1

17 pages, 294 KB  
Article
Unheard but Uncompromising: Quiet Politics and Parental Resistance Among Chinese Immigrant Families of Autistic Children in the U.S
by Yue Xu, Liya Lin and Yu-Shiuan Sun
Societies 2026, 16(4), 108; https://doi.org/10.3390/soc16040108 - 26 Mar 2026
Abstract
Background: Chinese immigrant families of autistic children in the United States face intersecting barriers related to language, culture, immigration, and fragmented service systems. Yet little is known about how Chinese immigrant parents engage in advocacy or how such efforts relate to disability and [...] Read more.
Background: Chinese immigrant families of autistic children in the United States face intersecting barriers related to language, culture, immigration, and fragmented service systems. Yet little is known about how Chinese immigrant parents engage in advocacy or how such efforts relate to disability and human rights. Methods: This qualitative study draws on in-depth interviews with fourteen Chinese immigrant parents of autistic children across multiple U.S. regions. Data were triangulated with analyses of publicly recorded advocacy events and parent-produced textual materials. Reflexive thematic analysis was used to examine motivations for advocacy, advocacy practices, and structural, linguistic, and cultural constraints. Results: Advocacy rarely emerged as an intentional or identity-driven pursuit. Instead, parents were compelled into advocacy through institutional exclusion, service denial, and unmet care needs. Parents engaged in diverse forms of advocacy, including migration, negotiation within institutions, information translation, community-building, and grassroots organizational leadership. Cultural norms shaped advocacy strategies, producing quiet, relational, and collective forms of action often overlooked in dominant rights-based models. Conclusions: Interpreted through a disability justice lens, parental advocacy functions as burdened and unequally distributed labor compensating for systemic failures. Findings underscore the need for institutional reforms that reduce reliance on families’ capacity to fight for access, dignity, and care. Full article
(This article belongs to the Special Issue Neurodivergence and Human Rights)
32 pages, 23614 KB  
Article
A DAS-Based Multi-Sensor Fusion Framework for Feature Extraction and Quantitative Blockage Monitoring in Coal Gangue Slurry Pipelines
by Chenyang Ma, Jing Chai, Dingding Zhang, Lei Zhu and Zhi Li
Sensors 2026, 26(7), 2048; https://doi.org/10.3390/s26072048 - 25 Mar 2026
Abstract
Long-distance coal gangue slurry transportation pipelines are critical components of underground coal mine green backfilling systems, yet blockage failures severely threaten their safe and efficient operation. Existing distributed acoustic sensing (DAS)-based monitoring methods for such pipelines suffer from three key limitations: insufficient fixed-point [...] Read more.
Long-distance coal gangue slurry transportation pipelines are critical components of underground coal mine green backfilling systems, yet blockage failures severely threaten their safe and efficient operation. Existing distributed acoustic sensing (DAS)-based monitoring methods for such pipelines suffer from three key limitations: insufficient fixed-point quantitative accuracy, lack of verified blockage-specific characteristic indicators, and limited quantitative severity assessment capability. To address these gaps, this paper proposes a novel feature-level fusion monitoring method integrating DAS, fiber Bragg grating (FBG), and piezoelectric accelerometers for accurate blockage identification and quantitative evaluation in coal gangue slurry pipelines. A slurry pipeline circulation test platform with gradient blockage simulation (0% to 76.42%) and a synchronous multi-sensor monitoring system were developed. Through multi-domain signal analysis, three blockage-correlated characteristic frequencies were identified and cross-validated by synchronous multi-sensor data: 1.5 Hz (system background vibration), 26 Hz (blockage-induced fluid–structure resonance, verified by the Euler–Bernoulli beam theory with a theoretical value of 25.7 Hz), and 174 Hz (transient flow impact). The DAS phase change rate exhibited a unimodal nonlinear response to blockage degree, with the peak occurring at 40.94% blockage. On this basis, a sine-fitting quantitative inversion model was developed, achieving a high goodness of fit (R2 = 0.985), and leave-one-out cross-validation confirmed its excellent robustness with a mean relative prediction error of 3.77%. Finally, a collaborative monitoring framework was built to fully leverage the complementary advantages of each sensor, realizing full-process blockage monitoring covering global blockage localization, precise quantitative severity calibration, and high-frequency transient risk early warning. The proposed method provides a robust experimental and technical foundation for real-time early warning, precise localization, and quantitative diagnosis of long-distance slurry pipeline blockages and holds important engineering application value for the safe and efficient operation of underground coal mine green backfilling systems. Full article
(This article belongs to the Special Issue Advanced Sensor Fusion in Industry 4.0)
Show Figures

Figure 1

18 pages, 3757 KB  
Article
Fractal Evolution of Acoustic-Emission Dynamics in Green Sandstone Subjected to Wetting–Air-Drying Cycles: Correlation Dimension and Failure-Mode Transition
by Shuyu Du, Shenggen Cao, Yang Liu, Changzheng Zhao, Chiyuan Che, Jiang Li and Kaifei Wang
Fractal Fract. 2026, 10(4), 212; https://doi.org/10.3390/fractalfract10040212 - 25 Mar 2026
Abstract
Wetting–air-drying cycling significantly alters the internal damage evolution and failure behavior of sandstone, and identifying reliable acoustic-emission (AE) precursors during loading is important for understanding the rupture mechanism of water-affected rock. In this study, uniaxial compression tests with AE monitoring were conducted on [...] Read more.
Wetting–air-drying cycling significantly alters the internal damage evolution and failure behavior of sandstone, and identifying reliable acoustic-emission (AE) precursors during loading is important for understanding the rupture mechanism of water-affected rock. In this study, uniaxial compression tests with AE monitoring were conducted on green sandstone subjected to different numbers of wetting–air-drying cycles. Ringing counts, RA–AF parameters, b-value evolution, AE spatial localization, and the correlation dimension D2 were jointly used to characterize mechanical deterioration, failure-mode transition, and fractal dynamic evolution. The results show that increasing cycling causes a progressive decrease in peak stress and elastic modulus, while AE activity evolves from a relatively dispersed state to stronger pre-peak concentration. The RA–AF distributions indicate that the dominant AE population gradually shifts from tensile-feature dominance toward mixed/shear-involved behavior, suggesting increasing shear participation during failure. The b-value captures stage-dependent damage evolution but exhibits relatively strong fluctuations under increasingly nonstationary event distributions. In contrast, D2 shows a clearer pre-peak turning feature, and the corresponding stress level remains relatively consistent among different cycling groups. These results indicate that wetting–air-drying cycling not only accelerates the mechanical degradation of green sandstone, but also substantially modifies its rupture dynamics. The D2 feature may therefore serve as a potential precursor parameter for characterizing pre-peak complexity transition in water-affected sandstone. Full article
Show Figures

Figure 1

21 pages, 2156 KB  
Article
Dynamic Cascading Simulations of Hybrid AC/DC Power Systems in PSS/E
by Saeed Rezaeian-Marjani, Lukas Sigrist and Aurelio García-Cerrada
Energies 2026, 19(7), 1611; https://doi.org/10.3390/en19071611 - 25 Mar 2026
Viewed by 44
Abstract
Power system blackouts remain a major concern for modern electricity networks, as they often result from cascading failures that lead to substantial load shedding and widespread service disruptions. This paper presents a dynamic resilience assessment of hybrid AC/DC power systems and investigates the [...] Read more.
Power system blackouts remain a major concern for modern electricity networks, as they often result from cascading failures that lead to substantial load shedding and widespread service disruptions. This paper presents a dynamic resilience assessment of hybrid AC/DC power systems and investigates the effectiveness of voltage-source-converter-based high-voltage direct current (VSC-HVDC) technology in enhancing system resilience under outage contingencies. The study contributes by integrating protection devices and their settings into the analysis and by providing a quantitative evaluation of the system response to N-2 and N-3 contingencies using PSS®E simulations. The demand not served index is used as a measure of resilience, and its cumulative distribution functions are computed to compare the performance of AC and DC interconnections. The results underscore the importance of VSC-HVDC links in mitigating cascading failures, highlighting their potential as a resilience-enhancing component in modern power grids. Full article
(This article belongs to the Section F1: Electrical Power System)
Show Figures

Figure 1

Back to TopTop