Sign in to use this feature.

Years

Between: -

Subjects

remove_circle_outline
remove_circle_outline
remove_circle_outline
remove_circle_outline
remove_circle_outline
remove_circle_outline
remove_circle_outline
remove_circle_outline

Journals

Article Types

Countries / Regions

Search Results (35)

Search Parameters:
Keywords = extreme gust speed

Order results
Result details
Results per page
Select all
Export citation of selected articles as:
32 pages, 7651 KB  
Article
Comparative Experimental Performance of an Ayanz Screw-Blade Wind Turbine and a Conventional Three-Blade Turbine Under Urban Gusty Wind Conditions
by Ainara Angulo, Unai Nazabal, Fabian Rodríguez, Izaskun Rojo, Ander Zarketa, David Cabezuelo and Gonzalo Abad
Smart Cities 2026, 9(1), 11; https://doi.org/10.3390/smartcities9010011 - 9 Jan 2026
Viewed by 287
Abstract
To address the scientific gap concerning optimal urban wind turbine morphology, this work presents an experimental performance comparison between two small-scale wind turbine designs: a conventional three-blade horizontal-axis wind turbine (HAWT) and a duct-equipped Ayanz-inspired screw-blade turbine. Both configurations were tested in a [...] Read more.
To address the scientific gap concerning optimal urban wind turbine morphology, this work presents an experimental performance comparison between two small-scale wind turbine designs: a conventional three-blade horizontal-axis wind turbine (HAWT) and a duct-equipped Ayanz-inspired screw-blade turbine. Both configurations were tested in a controlled wind tunnel under steady and transient wind conditions, including synthetic gusts designed to emulate urban wind patterns. The analysis focuses on power output, aerodynamic efficiency (via the power coefficient CP), dynamic responsiveness, and integration suitability. A key novelty of this study lies in the full-scale experimental comparison between a non-conventional Ayanz screw-blade turbine and a standard three-blade turbine, since experimental data contrasting these two geometries under both steady and gusty urban wind conditions are extremely scarce in the literature. Results show that while the three-blade turbine achieves a higher CP  peak and greater efficiency near its optimal operating point, the Ayanz turbine exhibits a broader performance plateau and better self-starting behavior under low and fluctuating wind conditions. The Ayanz model also demonstrated smoother power build-up and higher energy capture under specific gust scenarios, especially when wind speed offsets were low. Furthermore, a methodological contribution is made by comparing the CP  vs. tip speed ratio λ curves at multiple wind speeds, providing a novel framework (plateau width analysis) for realistically assessing turbine adaptability and robustness to off-design conditions. These findings provide practical insights for selecting turbine types in variable or urban wind environments and contribute to the design of robust small wind energy systems for deployments in cities. Full article
Show Figures

Figure 1

18 pages, 6793 KB  
Article
Incorporating Short-Term Forecast Mean Winds and NWP Maximum Gusts into Effective Wind Speed for Extreme Weather-Aware Wildfire Spread Prediction
by Seungmin Yoo, Sohyun Lee, Chungeun Kwon and Sungeun Cha
Fire 2026, 9(1), 31; https://doi.org/10.3390/fire9010031 - 8 Jan 2026
Viewed by 334
Abstract
Because wildfire spread is strongly influenced by instantaneous gusts, models that use only mean wind speed typically underestimate spread. In contrast, incorporating suppression effects often leads to overestimation. To reduce these errors, this paper newly proposes the concepts of an effective wind speed [...] Read more.
Because wildfire spread is strongly influenced by instantaneous gusts, models that use only mean wind speed typically underestimate spread. In contrast, incorporating suppression effects often leads to overestimation. To reduce these errors, this paper newly proposes the concepts of an effective wind speed (EWS) and an EWS coefficient that jointly account for short-range forecast mean wind speed and the maximum gust from numerical weather prediction. The EWS is defined as an EWS coefficient-weighted average of the mean wind speed and maximum gust, so that the simulated perimeter matches the observed wildfire perimeter as closely as possible. Here, EWS refers exclusively to near-surface horizontal wind speed; vertical wind components are not considered. The EWS coefficient is modeled as a function of elapsed time since ignition, thereby implicitly reflecting the level of suppression resource deployment. The proposed frameworks are described in detail using time-stamped perimeters from multiple large-scale wildfires that occurred concurrently in South Korea during a specific period. On this basis, an EWS coefficient suitable for operational use in South Korea is derived. Using the derived EWS for spread prediction, the Sørensen index increased by up to 0.4 compared with predictions based on maximum gust alone. Incorporating the proposed EWS and coefficient into Korean wildfire spread simulators can improve the accuracy and robustness of predictions under extreme weather conditions, supporting safer and more efficient wildfire response. Full article
Show Figures

Figure 1

21 pages, 2267 KB  
Article
Detection, Taxonomic Characterization, and Modeling of Extreme Operational Gusts in La Ventosa, Oaxaca, Mexico
by Ángel D. J. Guillén-Olivera, Efraín Dueñas-Reyes, Emmanuel Hernández-Mayoral, Isaac Montoya De Los Santos, Ricardo Carreño-Aguilera and O. A. Jaramillo
Computation 2025, 13(11), 268; https://doi.org/10.3390/computation13110268 - 13 Nov 2025
Viewed by 772
Abstract
Extreme Operational Gusts (EOGs) are critical for assessing the effects of extreme winds on Wind Energy Conversion Systems (WECSs). In regions like La Ventosa, Oaxaca, Mexico—characterized by strong and frequent gusts—the performance and reliability of low-power WECSs can be severely impacted. Traditionally, EOG [...] Read more.
Extreme Operational Gusts (EOGs) are critical for assessing the effects of extreme winds on Wind Energy Conversion Systems (WECSs). In regions like La Ventosa, Oaxaca, Mexico—characterized by strong and frequent gusts—the performance and reliability of low-power WECSs can be severely impacted. Traditionally, EOG effects have been analyzed using mathematical models from the IEC 61400-2 standard, which assumes a symmetric gust taxonomy. However, field data have revealed inconsistencies with this model, leading to the development of new asymmetrical taxonomies, such as Manwell’s. This study presents a taxonomic characterization of EOGs in La Ventosa using 1 Hz wind speed data collected over one year (December 2017–November 2018), during which 1655 events were detected. A dedicated detection method was implemented to capture gusts with amplitudes and durations exceeding the IEC range, allowing systematic classification of previously unrecognized patterns. Based on these results, a new taxonomy and a mathematical model were developed to simulate any identified gust. These tools provide more realistic simulations for improving WECS protection under extreme conditions. The analysis shows that Manwell’s taxonomy represents 50.39% of events, the proposed classification 37.04%, and IEC 61400-2 only 12.57%, underscoring its limited applicability to high-wind sites like La Ventosa. Full article
(This article belongs to the Section Computational Engineering)
Show Figures

Figure 1

23 pages, 4948 KB  
Article
Dynamic Analysis of a Spar-Type Floating Offshore Wind Turbine Under Extreme Operation Gust
by Yizhan Li, Wei Yin, Shudong Leng, Yanpeng Meng and Yanru Zhang
Sustainability 2025, 17(12), 5655; https://doi.org/10.3390/su17125655 - 19 Jun 2025
Cited by 3 | Viewed by 1585
Abstract
Extreme sea conditions, particularly extreme operation gusts (EOGs), present a substantial threat to structures like floating offshore wind turbines (FOWTs) due to the intense loads they exert. In this work, we simulate EOGs and analyze the dynamic response of floating wind turbines. We [...] Read more.
Extreme sea conditions, particularly extreme operation gusts (EOGs), present a substantial threat to structures like floating offshore wind turbines (FOWTs) due to the intense loads they exert. In this work, we simulate EOGs and analyze the dynamic response of floating wind turbines. We conduct separate analyses of the operational state under the rated wind speed, the operational state, and the shutdown state under the EOG, focusing on the motion of the floating platform and the tension of the mooring lines of the FOWT. The results of our study indicate that under the influence of EOGs, the response of the FOWT changes significantly, especially in terms of the range of response variations. After the passage of an EOG, there are notable differences in the average response of each component of the wind turbine under the shutdown strategy. When compared to normal operation during EOGs, the shutdown strategy enables the FOWT to reach the extreme response value more rapidly. Subsequently, it also recovers response stability more quickly. However, a FOWT operating under normal conditions exhibits a larger extreme response value. Regarding pitch motion, the maximum response can reach 10.52 deg, which may lead to overall instability of the structure. Implementing a stall strategy can effectively reduce the swing amplitude to 6.09 deg. Under the action of EOGs, the maximum mooring tension reaches 1376.60 kN, yet no failure or fracture occurs in the mooring system. Full article
(This article belongs to the Topic Wind, Wave and Tidal Energy Technologies in China)
Show Figures

Figure 1

34 pages, 12326 KB  
Article
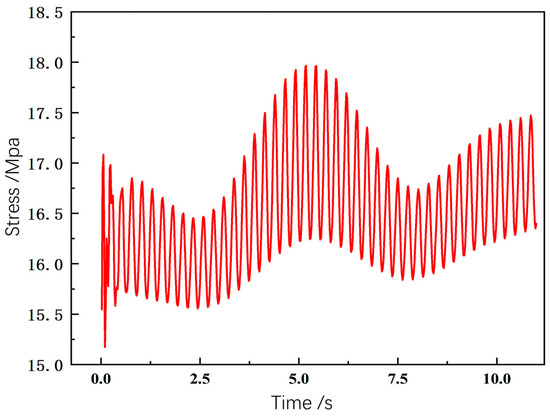
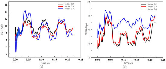
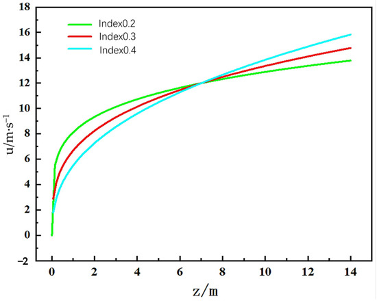
A Study on the Influence of Different Inflow Conditions on the Output Power and Dynamic Response Characteristics of a Variable Pitch Wind Turbine Structure
by Daorina Bao, Zhongyu Shi, Chengze Li, Aoxiang Jiang, Qingsong Han, Yongshui Luo and Shaohua Zhang
Energies 2024, 17(23), 5818; https://doi.org/10.3390/en17235818 - 21 Nov 2024
Cited by 3 | Viewed by 1439
Abstract
This paper introduces a novel pitch adjustment device applicable to small wind turbines. To validate its feasibility under high wind speeds and analyze the impact of pitch angle on the power output characteristics of small wind turbines, a prototype model was manufactured for [...] Read more.
This paper introduces a novel pitch adjustment device applicable to small wind turbines. To validate its feasibility under high wind speeds and analyze the impact of pitch angle on the power output characteristics of small wind turbines, a prototype model was manufactured for wind tunnel experiments. Additionally, we conducted simulations to analyze the stress and displacement responses of key components under uniform airflow, shear airflow, and Extreme Operated Gust conditions. The numerical simulation results were compared with experimental results based on actual measurement points in the wind tunnel experiment, demonstrating that the simulation data accurately reflect the experimental test results, with an overall discrepancy of around 10%, thereby validating the accuracy of the load and constraint settings in the transient dynamics analysis. This study found that, as the pitch angle increased, the structural dynamic response of key wind turbine components under uniform airflow conditions exhibited a decreasing trend, which was proportional to wind speed. Under shear airflow conditions, the response of key components was positively correlated with the shear index, while Extreme Operated Gust significantly increased the amplitude of the response fluctuations. Furthermore, this research revealed that, with an increase in pitch angle, the maximum stress value of the gear under uniform airflow conditions decreased from 27.42 MPa to 7.64 MPa, a reduction of 72.1%. Under shear airflow conditions, the root stress of the gear decreased from 14.441 MPa to 8.879 MPa, a reduction of 49.60%. Under Extreme Operated Gust conditions, the maximum stress of the gear decreased from 17.82 MPa to 15.18 MPa, a reduction of 22.99%. Full article
(This article belongs to the Section A3: Wind, Wave and Tidal Energy)
Show Figures

Figure 1

15 pages, 4075 KB  
Article
Impact of Meteorological Conditions on Overhead Transmission Line Outages in Lithuania
by Egidijus Rimkus, Edvinas Stonevičius, Indrė Gečaitė, Viktorija Mačiulytė and Donatas Valiukas
Atmosphere 2024, 15(11), 1349; https://doi.org/10.3390/atmos15111349 - 10 Nov 2024
Cited by 1 | Viewed by 2437
Abstract
This study investigates the impact of meteorological conditions on unplanned outages of overhead transmission lines (OHTL) in Lithuania’s 0.4–35 kV power grid from January 2013 to March 2023. Data from the Lithuanian electricity distribution network operator and the Lithuanian Hydrometeorological Service were integrated [...] Read more.
This study investigates the impact of meteorological conditions on unplanned outages of overhead transmission lines (OHTL) in Lithuania’s 0.4–35 kV power grid from January 2013 to March 2023. Data from the Lithuanian electricity distribution network operator and the Lithuanian Hydrometeorological Service were integrated to attribute outage events with weather conditions. A Bayesian change point analysis identified thresholds for these meteorological factors, indicating points at which the probability of outages increases sharply. The analysis reveals that wind gust speeds, particularly those exceeding 21 m/s, are significant predictors of increased outage rates. Precipitation also plays a critical role, with a 15-fold increase in the relative number of outages observed when 3 h accumulated rainfall exceeds 32 mm, and a more than 50-fold increase for 12 h snowfall exceeding 22 mm. This study underscores the substantial contribution of lightning discharges to the number of outages. In forested areas, the influence of meteorological conditions is more significant. Furthermore, the research emphasizes that combined meteorological factors, such as strong winds accompanied by rain or snow, significantly increase the risk of outages, particularly in these forested regions. These findings emphasize the need for enhanced infrastructure resilience and targeted preventive measures to mitigate the impact of extreme weather events on Lithuania’s power grid. Full article
(This article belongs to the Section Meteorology)
Show Figures

Figure 1

19 pages, 6791 KB  
Article
Height Control System for Wind Turbines Based on Critical Wind Speed Calculation
by Alina Fazylova, Teodor Iliev, Ivaylo Stoyanov and Eduard Siemens
Appl. Sci. 2024, 14(21), 9802; https://doi.org/10.3390/app14219802 - 27 Oct 2024
Cited by 5 | Viewed by 2028
Abstract
The increasing frequency of wind turbine failures due to extreme weather conditions necessitates the implementation of new solutions to enhance their operational reliability. This paper presents an automatic rotor drop system specifically designed for wind turbines equipped with the Onipko rotor. The system [...] Read more.
The increasing frequency of wind turbine failures due to extreme weather conditions necessitates the implementation of new solutions to enhance their operational reliability. This paper presents an automatic rotor drop system specifically designed for wind turbines equipped with the Onipko rotor. The system aims to protect turbines from damage caused by critical wind speeds, reducing maintenance costs and extending the equipment’s lifespan. The unique design of the Onipko rotor allows it to operate at wind speeds as low as 0.1 m/s. However, its high drag coefficient and lack of aerodynamic optimization make it susceptible to mechanical stress and structural instability under strong gusts, requiring additional protective measures. The paper presents a calculation of the critical wind speed at which protective measures must be initiated. Through mathematical modeling, this study demonstrates the effectiveness of the rotor drop system in ensuring safe operation at wind speeds reaching 23.5 m/s. The optimization of the PI controller parameters provides a rapid response and stability, significantly enhancing the resilience of wind turbines to adverse weather conditions. Full article
(This article belongs to the Special Issue Recent Advances in Wind Engineering and Applied Aerodynamics)
Show Figures

Figure 1

22 pages, 9854 KB  
Article
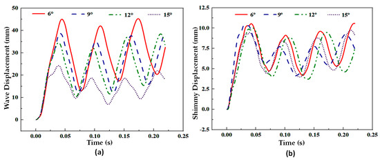
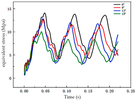
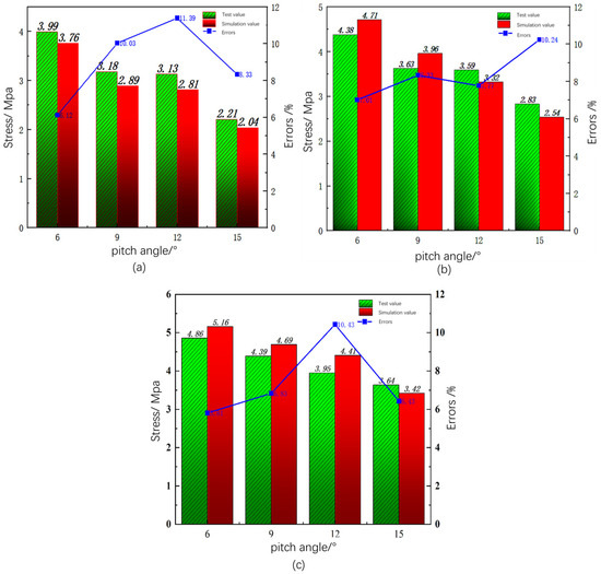
The Study of Structural Dynamic Response of Wind Turbine Blades under Different Inflow Conditions for the Novel Variable-Pitch Wind Turbine
by Daorina Bao, Aoxiang Jiang, Chengze Li, Zhongyu Shi, Qingsong Han, Yongshui Luo and Shaohua Zhang
Energies 2024, 17(16), 4057; https://doi.org/10.3390/en17164057 - 15 Aug 2024
Cited by 4 | Viewed by 2398
Abstract
To ensure the safe and stable operation of small and medium-sized wind turbine generators within distributed energy systems, a new active pitch adjustment method for a 1.5 kW distributed pitch wind turbine generator is proposed in this article. The stress and displacement responses [...] Read more.
To ensure the safe and stable operation of small and medium-sized wind turbine generators within distributed energy systems, a new active pitch adjustment method for a 1.5 kW distributed pitch wind turbine generator is proposed in this article. The stress and displacement responses of blades under uniform inflow and extreme operating gust inflow conditions were calculated and analyzed using a two-way fluid–structure coupling method. The results showed that under the two different flow conditions, as the pitch angle increased, the stress and displacement responses of the wind turbine blades both significantly decreased, and the decrease was greater with increasing wind speed. The feasibility of the proposed variable-pitch adjustment for blade load reduction under different inflow conditions was further illustrated. The peak of the blade stress response was located at the leading-edge position in the middle of the blades (0.55R) for the different inflow conditions, while the displacement response of the blades was mainly along the waving direction. Through comparative analysis of the blade stress and displacement responses at the same wind speed under different flow conditions, it was found that the maximum mean ratio of the blade displacement and stress responses reached 1.66 and 1.67, respectively. Full article
(This article belongs to the Section A3: Wind, Wave and Tidal Energy)
Show Figures

Figure 1

29 pages, 9906 KB  
Article
Extreme Convective Gusts in the Contiguous USA
by Nicholas John Cook
Meteorology 2024, 3(3), 281-309; https://doi.org/10.3390/meteorology3030015 - 9 Aug 2024
Cited by 1 | Viewed by 1484
Abstract
Most damage to buildings across the contiguous United States of America (USA) is caused by gusts in convective events associated with thunderstorms. Design rules for structures to resist these events rely on the integrity of meteorological observations and the methods of assessment. These [...] Read more.
Most damage to buildings across the contiguous United States of America (USA) is caused by gusts in convective events associated with thunderstorms. Design rules for structures to resist these events rely on the integrity of meteorological observations and the methods of assessment. These issues were addressed for the US Automated Surface Observation System (ASOS) in six preliminary studies published in 2022 and 2023, allowing this present study to focus on the analysis and reporting of gust events observed between 2000 and 2023 at 642 well-exposed ASOS stations distributed across the contiguous USA. It has been recently recognized that the response of buildings to convective gusts, which are non-stationary transient events, differs in character from the response to the locally stationary atmospheric boundary gusts, requiring gust events to be classified and assessed by type. This study sorts the mixture of all observed gust events exceeding 20 kn, but excluding contributions from hurricanes and tropical storms, into five classes of valid meteorological types and two classes of invalid artefacts. The valid classes are individually fitted to optimal sub-asymptotic models through extreme value analysis. Classes are recombined into a joint mixture model and compared with current design rules. Full article
Show Figures

Figure 1

19 pages, 2904 KB  
Article
A Comparative Study on Load Assessment Methods for Offshore Wind Turbines Using a Simplified Method and OpenFAST Simulations
by Satish Jawalageri, Subhamoy Bhattacharya, Soroosh Jalilvand and Abdollah Malekjafarian
Energies 2024, 17(9), 2189; https://doi.org/10.3390/en17092189 - 2 May 2024
Cited by 4 | Viewed by 3352
Abstract
Simplified methods are often used for load estimations during the initial design of the foundations of offshore wind turbines (OWTs). However, the reliability of simplified methods for designing different OWTs needs to be studied. This paper provides a comparative study to evaluate the [...] Read more.
Simplified methods are often used for load estimations during the initial design of the foundations of offshore wind turbines (OWTs). However, the reliability of simplified methods for designing different OWTs needs to be studied. This paper provides a comparative study to evaluate the reliability of simplified approaches. The foundation loads are calculated for OWTs at the mudline level using a simplified approach and OpenFAST simulations and compared. Three OWTs, NREL 5 MW, DTU 10 MW, and IEA 15 MW, are used as reference models. An Extreme Turbulence Model wind load at a rated wind speed, combined with a 50-year Extreme Wave Height (EWH) and Extreme Operating Gust (EOG) wind load and a 1-year maximum wave height are used as the load combinations in this study. In addition, the extreme loads are calculated using both approaches for various metocean data from five different wind farms. Further, the pile penetration lengths calculated using the mudline loads via two methods are compared. The results show that the simplified method provides conservative results for the estimated loads compared to the OpenFAST results, where the extent of conservativism is studied. For example, the bending moment and shear force at the mudline using the simplified approach are 23% to 69% and 32% to 53% higher compared to the OpenFAST results, respectively. In addition, the results show that the simplified approach can be effectively used during the initial phases of monopile foundation design by using factors such as 1.5 and 2 for the shear force and bending moment, respectively. Full article
(This article belongs to the Special Issue Offshore Wind Support Structure Design)
Show Figures

Figure 1

27 pages, 7550 KB  
Article
The Expected Dynamics for the Extreme Wind and Wave Conditions at the Mouths of the Danube River in Connection with the Navigation Hazards
by Alina Beatrice Răileanu, Liliana Rusu, Andra Marcu and Eugen Rusu
Inventions 2024, 9(2), 41; https://doi.org/10.3390/inventions9020041 - 12 Apr 2024
Cited by 5 | Viewed by 3595
Abstract
The entrance in the Sulina channel in the Black Sea is the target area of this study. This represents the southern gate of the seventh Pan-European transport corridor, and it is usually subjected to high navigation traffic. The main objective of the work [...] Read more.
The entrance in the Sulina channel in the Black Sea is the target area of this study. This represents the southern gate of the seventh Pan-European transport corridor, and it is usually subjected to high navigation traffic. The main objective of the work is to provide a more comprehensive picture concerning the past and future expected dynamics of the environmental matrix in this coastal area, including especially the extreme wind and wave conditions in connection with the possible navigation risks. The methodology considered assumes analyses performed at three different levels. First, an analysis of some in situ measurements at the zero-kilometer point of the Danube is carried out for the 15-year period of 2009–2023. Together with the maximum wind speed and the maximum value of the wind gusts, the water level variation was analyzed at this point. As a second step, the analysis is based on wind speed data provided by regional climate models. Two periods, each spanning 30 years, are considered. These are the recent past (1976–2005), when comparisons with ERA5 reanalysis data were also performed, and the near future (2041–2070), when two different models and three climate scenarios were considered. The focus was on the extreme wind speed values, performing comparisons between the past and future expected extreme winds. Finally, the third analysis is related to the wave conditions. Thus, using as a forcing factor each of the wind fields that was previously analyzed, simulations employing a spectral wave model were carried out. The wave modeling system was focused using three different computational domains with increasing resolution towards the target area, and the nearshore wave conditions were evaluated. The results show that both the extreme wind and wave conditions are expected to slightly increase in the future. Especially in the wintertime, strong wind fields are often expected in this area, with wind gusts exceeding more than 70% of the hourly average wind velocity. With regard to the waves, due to the complex nearshore phenomena, considerable enhancements in terms of significant wave heights are induced, and there is also an elevated risk of the occurrence of rogue waves. This work is still ongoing, and taking into account the high navigation risks highlighted, the next step would be to elaborate the risk assessment of severe shipping conditions, particularly related to the likelihood or probability of adverse conditions with the potential of generating hazardous situations in this coastal environment. Full article
Show Figures

Figure 1

27 pages, 29423 KB  
Article
Modeling Climate Change Effects on Genetic Diversity of an Endangered Horse Breed Using Canonical Correlations
by Carmen Marín Navas, Juan Vicente Delgado Bermejo, Amy Katherine McLean, José Manuel León Jurado, María Esperanza Camacho Vallejo and Francisco Javier Navas González
Animals 2024, 14(5), 659; https://doi.org/10.3390/ani14050659 - 20 Feb 2024
Cited by 1 | Viewed by 2287
Abstract
The historical increase in the occurrence of extreme weather events in Spain during the last thirty years makes it a perfect location for the evaluation of climate change. Modeling the effects of climate change on domestic animals’ genetic diversity may help to anticipate [...] Read more.
The historical increase in the occurrence of extreme weather events in Spain during the last thirty years makes it a perfect location for the evaluation of climate change. Modeling the effects of climate change on domestic animals’ genetic diversity may help to anticipate challenging situations. However, animal populations’ short life cycle and patent lack of historical information during extended periods of time drastically compromise the evaluation of climate change effects. Locally adapted breeds’ gene pool is the base for their improved resilience and plasticity in response to climate change’s extreme climatic conditions. The preservation of these domestic resources offers selection alternatives to breeders who seek such improved adaptability. The Spanish endangered autochthonous Hispano-Arabian horse breed is perfectly adapted to the conditions of the territory where it was created, developed, and widespread worldwide. The possibility to trace genetic diversity in the Hispano-Arabian breed back around seven decades and its global ubiquity make this breed an idoneous reference subject to act as a model for other international populations. Climate change’s shaping effects on the genetic diversity of the Hispano-Arabian horse breed’s historical population were monitored from 1950 to 2019 and evaluated. Wind speed, gust speed, or barometric pressure have greater repercussions than extreme temperatures on genetic diversity. Extreme climate conditions, rather than average modifications of climate, may push breeders/owners to implement effective strategies in the short to medium term, but the effect will be plausible in the long term due to breed sustainability and enhanced capacity of response to extreme climate events. When extreme climatic conditions occur, breeders opt for mating highly diverse unrelated individuals, avoiding the production of a large number of offspring. People in charge of domestic population conservation act as catalyzers of the regulatory changes occurring during breeds’ climate change adaptive process and may identify genes conferring their animals with greater adaptability but still maintaining enhanced performance. This model assists in determining how owners of endangered domestic populations should plan their breeding strategies, seeking the obtention of animals more resilient and adapted to climate-extreme conditions. This efficient alternative is focused on the obtention of increased profitability from this population and in turn ensuring their sustainability. Full article
(This article belongs to the Special Issue Adaptive Responses of Vertebrates to Climate Change)
Show Figures

Figure 1

19 pages, 5293 KB  
Article
Prediction and Early Warning of Extreme Winds for High-Speed Railway Bridge Construction Using Machine-Learning Methods
by Yishun Xie, Xiangyu Chang, Jianxiao Mao, Youhao Ni and Hao Wang
Sustainability 2023, 15(24), 16921; https://doi.org/10.3390/su152416921 - 17 Dec 2023
Cited by 7 | Viewed by 2439
Abstract
Measuring the impact of extreme winds is important in high-speed railway bridge construction to avoid the risk of engineering accidents. This study presents an early-warning framework for high-speed railway (HSR) bridge construction under extreme wind conditions, using a long-span continuous beam bridge constructed [...] Read more.
Measuring the impact of extreme winds is important in high-speed railway bridge construction to avoid the risk of engineering accidents. This study presents an early-warning framework for high-speed railway (HSR) bridge construction under extreme wind conditions, using a long-span continuous beam bridge constructed in a typhoon-prone area as a case study. Specifically, on-site wind environment measurements during a typhoon are utilized, and parameters such as fluctuating wind turbulence intensity, gust factor, turbulence integral scale, and power spectral density are employed to characterize the wind environment. Multi-step prediction of gust wind speed during the bridge construction is performed using the hybrid Back Propagation-Genetic Algorithm (BP-GA). Hierarchical warnings and control actions are proposed and implemented based on the prediction results. The analysis results of wind parameters revealed a discrepancy between the measured and specified typhoon turbulence intensities, with the windward turbulence intensity being lower than specified. The longitudinal average gust factor exceeded the transverse value. The prediction curve based on the BP-GA algorithm closely resembles the actual curve, meeting accuracy requirements. Notably, the one-step prediction provided the most accurate results. Based on the predicted wind speed trend for the upcoming half-hour, appropriate hierarchical warnings and control measures were conducted. Full article
Show Figures

Figure 1

19 pages, 379 KB  
Article
Bayes Inference of Structural Safety under Extreme Wind Loads Based upon a Peak-Over-Threshold Process of Exceedances
by Elio Chiodo, Fabio De Angelis, Bassel Diban and Giovanni Mazzanti
Math. Comput. Appl. 2023, 28(6), 111; https://doi.org/10.3390/mca28060111 - 30 Nov 2023
Cited by 1 | Viewed by 2027
Abstract
In the present paper, the process of estimating the important statistical properties of extreme wind loads on structures is investigated by considering the effect of large variability. In fact, for the safety design and operating conditions of structures such as the ones characterizing [...] Read more.
In the present paper, the process of estimating the important statistical properties of extreme wind loads on structures is investigated by considering the effect of large variability. In fact, for the safety design and operating conditions of structures such as the ones characterizing tall buildings, wind towers, and offshore structures, it is of interest to obtain the best possible estimates of extreme wind loads on structures, the recurrence frequency, the return periods, and other stochastic properties, given the available statistical data. In this paper, a Bayes estimation of extreme load values is investigated in the framework of structural safety analysis. The evaluation of extreme values of the wind loads on the structures is performed via a combined employment of a Poisson process model for the peak-over-threshold characterization and an adequate characterization of the parent distribution which generates the base wind load values. In particular, the present investigation is based upon a key parameter for assessing the safety of structures, i.e., a proper safety index referred to a given extreme value of wind speed. The attention is focused upon the estimation process, for which the presented procedure proposes an adequate Bayesian approach based upon prior assumptions regarding (1) the Weibull probability that wind speed is higher than a prefixed threshold value, and (2) the frequency of the Poisson process of gusts. In the last part of the investigation, a large set of numerical simulations is analyzed to evaluate the feasibility and efficiency of the above estimation method and with the objective to analyze and compare the presented approach with the classical Maximum Likelihood method. Moreover, the robustness of the proposed Bayes estimation is also investigated with successful results, both with respect to the assumed parameter prior distributions and with respect to the Weibull distribution of the wind speed values. Full article
20 pages, 7791 KB  
Article
Wind-Induced Vibrations and Gust Response Factors of the Cabin–Cable–Tower System
by De-Xiu Mo, Hong-Nan Li and Qing-Wei Li
Symmetry 2023, 15(11), 1965; https://doi.org/10.3390/sym15111965 - 24 Oct 2023
Viewed by 6423
Abstract
A large-scale radio astronomical telescope is a typical complex coupled system, consisting of a feed cabin, cables, and supporting structures. The system is extremely sensitive to wind loads, especially the feed cabin, which has high requirements for vibration displacement during operation, and excessive [...] Read more.
A large-scale radio astronomical telescope is a typical complex coupled system, consisting of a feed cabin, cables, and supporting structures. The system is extremely sensitive to wind loads, especially the feed cabin, which has high requirements for vibration displacement during operation, and excessive vibration may affect normal operation. To investigate the wind-induced vibration characteristics of such coupled systems, this study takes the Five-hundred-meter Aperture Spherical Radio Telescope (FAST) as an example to conduct research. First, a refined finite element model of FAST is established, and a dynamic analysis using simulated random wind loads is conducted. The influence of the cable boundary on the time–frequency domain responses of the feed cabin is particularly considered. Then, the gust response factor (GRF) for different structural components within the coupled system is calculated. Finally, the evolution law of the GRF under various wind speeds and directions is revealed by parametric analysis. The parameter analysis only considers the wind directions ranging from 0° to 60°, because FAST is a symmetric structure. The results indicate that obvious differences are observed in both the rotational and translational displacements of the feed cabin under northward wind, especially the results along the east–west axis. When the supporting towers are considered, there is no change in the power spectral density (PSD) of the feed cabin in the low-frequency range. However, in the high-frequency range, taking the supporting towers into account leads to an increase in PSD and a resonance near the first-order natural frequency of the supporting tower. The GRF based on the dynamic response exhibits substantial deviations compared to those obtained from design codes, highlighting the need for an independent analysis when determining GRF for such coupled systems. Full article
(This article belongs to the Special Issue Advances in Structural Mechanics and Symmetry/Asymmetry)
Show Figures

Figure 1

Back to TopTop