Next Article in Journal
Linear Ensembles for WTI Oil Price Forecasting
Previous Article in Journal
Direct Sonochemical Leaching of Li, Co, Ni, and Mn from Mixed Li-Ion Batteries with Organic Acids
 
 
Font Type:
Arial Georgia Verdana
Font Size:
Aa Aa Aa
Line Spacing:
Column Width:
Background:
Article

The Study of Structural Dynamic Response of Wind Turbine Blades under Different Inflow Conditions for the Novel Variable-Pitch Wind Turbine

by
Daorina Bao
1,*,
Aoxiang Jiang
1,
Chengze Li
1,2,
Zhongyu Shi
1,
Qingsong Han
1,
Yongshui Luo
3 and
Shaohua Zhang
4
1
School of Energy and Power Engineering, Inner Mongolia University of Technology, Hohhot 010010, China
2
Department of Mechanics, Inner Mongolia Open University, Hohhot 010010, China
3
Yunda Energy Technology Group Co., Ltd., Hangzhou 311106, China
4
Inner Mongolia Hengdong Group Huilong Coal Co., Ltd., Hohhot 010010, China
*
Author to whom correspondence should be addressed.
Energies 2024, 17(16), 4057; https://doi.org/10.3390/en17164057
Submission received: 23 July 2024 / Revised: 10 August 2024 / Accepted: 13 August 2024 / Published: 15 August 2024
(This article belongs to the Section A3: Wind, Wave and Tidal Energy)

Abstract

To ensure the safe and stable operation of small and medium-sized wind turbine generators within distributed energy systems, a new active pitch adjustment method for a 1.5 kW distributed pitch wind turbine generator is proposed in this article. The stress and displacement responses of blades under uniform inflow and extreme operating gust inflow conditions were calculated and analyzed using a two-way fluid–structure coupling method. The results showed that under the two different flow conditions, as the pitch angle increased, the stress and displacement responses of the wind turbine blades both significantly decreased, and the decrease was greater with increasing wind speed. The feasibility of the proposed variable-pitch adjustment for blade load reduction under different inflow conditions was further illustrated. The peak of the blade stress response was located at the leading-edge position in the middle of the blades (0.55R) for the different inflow conditions, while the displacement response of the blades was mainly along the waving direction. Through comparative analysis of the blade stress and displacement responses at the same wind speed under different flow conditions, it was found that the maximum mean ratio of the blade displacement and stress responses reached 1.66 and 1.67, respectively.

1. Introduction

In rural areas, islands, mountains, grasslands, and other areas where power system coverage is difficult to achieve, residential electricity problems persist. However, due to the long distances from land and dispersed populations, constructing a power grid is difficult and costly, and the conditions for extending the power supply are unavailable [1]. Therefore, an increasing number of installations in these areas rely on wind and solar power generation as the primary sources, supplemented by energy storage batteries from distributed power supply systems to meet electricity demands. Distributed energy systems are defined as smaller-scale generating units. Photovoltaic systems generate electricity efficiently under good light conditions but do not work when there is no light, whereas wind power is not affected by light and can operate as long as there is wind [2,3]. Therefore, wind turbines are widely used in distributed energy systems, with two main types: horizontal-axis wind turbines and vertical-axis wind turbines. The main advantage of horizontal-axis wind turbines is their high efficiency in wind energy utilization and low maintenance costs, while the main advantage of vertical-axis wind turbines is that they do not need to be aligned with the wind and are easy to maintain [4]. This puts forward certain application requirements for small- and medium-sized wind turbines [5,6,7,8,9,10].
The safe and stable operation of small- and medium-sized wind turbines is crucial to the stability of distributed energy systems. Wind turbines work year-round in a complex environment of natural incoming currents, with large random fluctuations in wind speed, subjecting the blades to unstable loads and affecting the stability and power generation efficiency of the unit [11]. An analysis of damage reports for wind turbines revealed that blade failures account for approximately 12–19% of reported cases [12,13,14]. Therefore, it is necessary and meaningful to investigate the structural dynamic response characteristics of blades under different incoming wind conditions. This paper is the next step in research based on the design of a novel pitch regulator mechanism. Design validation and optimization of the novel pitch mechanism have been carried out through simulations and experiments in the literature [15]. On this basis, this paper further investigates the structural dynamic response of the blade structure of a new variable-pitch wind turbine under different incoming wind conditions by means of simulation calculations.
In recent years, many scholars have conducted extensive research on the dynamic response characteristics of wind turbine structures under different inflow conditions in nature. The study of the dynamic response characteristics of wind turbine structures under uniform inflow and extreme operating gusts of incoming wind is mainly based on the fixed wind speeds and extreme operating gusts specified in IEC61400-1 or the GL guidelines as the incoming wind speeds. Santo et al., taking 5 MW wind turbine blades as their research object, carried out a dynamic load and stress analysis using the transient fluid–solid coupling simulation method, highlighting the effects of the atmospheric boundary layer, gravity load, and internal structure on the dynamic response of the wind turbine blade structure [16]. Abbas Ebrahimi et al. conducted an aeroelastic analysis of the NERL 5 MW large wind turbine to study its transient performance under extreme wind conditions such as gusts and rapid yaw changes [17]. Gazi et al. established a full-size NREL 5 MW wind turbine model and used the ANSYS Static Structure module to calculate the structural response of the applied dynamic loads under uniform inflow conditions, focusing on analyzing the stress and displacement responses of the blades under different angles of attack and wind speed conditions [18]. Fernandez et al. proposed an automated procedure for calculating the overall and local stress and strain results of wind turbine blades under normal and extreme operating wind conditions and calculated the stress–strain distribution of the blades under wind loading [19]. Yassen et al. conducted a study on horizontal-axis wind turbine blades and analyzed their structural properties, such as modal and total deformation under steady-state wind inflow conditions, using single- and bi-directional FSI methods, ultimately finding good accuracy and consistency for both methods [20]. Menegozzo et al. studied the effects of extreme operating gusts (EOGs) on the aerodynamic and structural performance of small wind turbines using the CFD method [21]. Kamran Shirzadeh et al. studied the power generation and dynamic response of horizontal-axis wind turbines under extreme wind shear (EWS) and extreme operating gusts. The results indicated that extreme wind conditions not only affect the output power and power generation of wind turbines but also cause severe fatigue loads on the blade surface [22].
The study of the dynamic response characteristics of wind turbine structures under turbulent and shear wind inflow conditions is based on the extreme wind shear and turbulent wind requirements specified in IEC61400-1 or the GL guidelines as the incoming wind speed. Li et al. proposed a high-fidelity method for numerical simulation of wind turbine aeroelasticity for the NREL 5 MW wind turbine and analyzed its structural dynamic response characteristics when wind shear and atmospheric wind turbulence are added to the simulation [23]. Junkai Guo et al. explored the effects of multiple loads acting together on the structural components of wind turbines under steady-state and turbulent wind conditions through fluid–structure coupling simulations and experiments. The fluctuating nature of turbulent wind variations increased the loads on the structure compared with steady-state winds [24]. Research has also been conducted on blade materials. Karpenko et al. combined the finite element method used in numerical simulation with experimental measurements based on frequency response optimization to achieve the modeling of composite materials commonly used in the production of blades. The numerical model of composite structures was also validated by means of numerical simulation combined with frequency response analysis, demonstrating that this approach can be used for the modeling of blade materials [25].
Currently, the traditional pitch control method for small- and medium-sized wind turbines mostly adopts the passive pitch method. Meng et al. proposed a new horizontal-axis wind turbine to maintain a constant power output by changing the swept area and aerodynamic characteristics of the blades through blade folding, thus changing the pitch angle of the blades [26]. Chen et al. proposed a passive variable-pitch system for small wind turbines, which uses a disc pulley as an actuator; this pulley moves outward under rotating centrifugal force, which drives the bearing combination to adjust the blade pitch angle [27]. Compared with passive adjustable pitch, a new variable-pitch wind turbine with active adjustable pitch demonstrated higher speed regulation accuracy and reliability and could efficiently realize the control of output power, with the ability to better integrate distributed energy systems.
In the Introduction, this study introduced the methodology for investigating the structural dynamic response characteristics of wind turbines under several different inflow conditions and described the variables involved. A significant effect of turbulence characteristics on the dynamic response of wind turbine blade structures under extreme operating gust wind conditions can be found. Therefore, it is necessary to study the structural dynamic response of new pitch wind turbines under steady-state wind and extreme operating gust inflow conditions.
In summary, the new type of variable-pitch wind turbine studied in this article differs from most small and medium-sized fixed-pitch wind turbines. It adopts a unified pitch adjustment method and can efficiently control the output power. At present, research on the structural dynamic response characteristics of wind turbines under complex inflow conditions in nature mainly focuses on large wind turbines, while there is relatively little research on distributed small and medium-sized turbines. Therefore, this paper adopted the transient fluid–structure coupling simulation method to investigate in depth the dynamic response law of the new variable-pitch wind turbine blades under different wind speeds and pitch angle changes. This study helps to more accurately assess the effects of different wind conditions on the performance of wind turbine blades and provides a theoretical basis and technical support for the structural design and performance optimization of small- and medium-sized wind turbines in variable wind environments.

2. The Working Principle of the New Type of Variable-Pitch Wind Turbine

The overall structure of the new variable-pitch wind turbine is shown in Figure 1 [15]. Among the components, the synchronous disc, gear wheel, rack, and blade connectors are the main innovative parts. The drive mechanism includes thrust bearings, guide rails, and motorized actuators [28].
As shown in Figure 2 [15], when power adjustment is required, the controller controls the action of the drive mechanism so that the motorized actuator moves back and forth axially and drives the transmission rod back and forth through the bi-directional thrust bearing. The transmission rod is connected to the rack synchronous disc in the pitch adjustment mechanism to drive the rack to move axially, resulting in gear rotation. The gear is fixed with the parts connecting the blades, thus achieving the purpose of changing the blade pitch angle. According to the working principle of the pitch mechanism, changes in the pitch angle of the blades during the pitch process are related to the direction of motion of the electric push rod and the initial installation position between the blade connectors, gears, and racks.

3. Calculation Model Establishment of the New Variable-Pitch Wind Turbine

3.1. Model Parameters

The blades in the wind turbine model of this study were designed according to the rated power of 1.5 kW. The blade airfoil was NACA4412, the total length of the blades was 1380 mm, and the diameter of the wind wheel was 3060 mm. The specific parameters are shown in Table 1. The model was built using the 3D modeling software SolidWorks 2023, and components such as the tower, drive mechanism, and guide rails were omitted. In this paper, a total of four pitch angles of 6°, 9°, 12°, and 15° were established for comparative analysis.

3.2. Boundary Condition Settings and Grid Validity Verification of the Flow Field Analysis

The boundary conditions of the computational domain are set, as shown in Figure 3. Because ANSYS 21.0 software was used for the simulation calculations, a flow field model, including the internal rotation and external computational domains, was created in the geometry module of ANSYS Workbench. The inlet of the calculation domain was set to different sizes according to the working conditions. The outlet was set to the pressure outlet, the outlet pressure was 0 Pa, and the wall was set to the non-slip wall. The rotational domain was established with the wind turbine spindle as the rotational center to simulate the rotational state of the wind turbine, and the contact surface between the internal rotational and external computational domains was set as the interface boundary condition to achieve data exchange between the two.
In numerical simulations, the mesh size parameter directly affects the accuracy and speed of the calculation, while the mesh quality has a greater impact on the overall quality of the simulation results. The external computational domain, internal rotational domain, and surface of the wind turbine were defined using different mesh division methods and sizes. After calculation and analysis, it was found that the size of the grid cells in the stationary and rotating domains has less influence on the calculation results, and it is enough to choose the appropriate grid size.
As shown in Figure 4, during the meshing process, structured grids are used for the computational domain, while unstructured grids are used for the rotation and surface refinement domains of wind turbines. As shown in Figure 5, by dividing into different grid sizes and using the spindle torque of wind turbines under the same operating conditions as the indicator, the spindle torque tends to stabilize when there are 4 million grids. Considering the accuracy, computational load, and speed of the calculation, a mesh model with a total of 4 million was chosen [29].

3.3. Mesh Division and Boundary Condition Settings for the Structural Field Analysis

On the premise of ensuring that the overall structural load characteristics of the simulation are not affected, the fine structures in the wind turbine model, such as bolt holes and chamfers, were appropriately simplified so as to optimize the number of meshes and improve the mesh quality. Hexahedral meshing was used for key components such as hubs, synchro discs, gears, and blade connectors to ensure that the geometric features of the structure were accurately captured. For the generator, push rod, rack, blades, and other components, the tetrahedral mesh division method was applied to adapt to its complex geometry. In addition, to simulate the stress concentration areas more accurately, a local mesh encryption strategy was implemented for critical areas such as blades and hubs. The meshing results of the structural field are shown in Figure 6.
Figure 7 shows a schematic diagram of the load and constraint settings for the dynamics analysis. The gravity load was applied to the wind turbine as a whole by means of “Standard Earth Gravity”. The centrifugal force load was applied by defining the rotational velocity around the main axis of the wind turbine’s “Rotational Velocity”. The wind pressure calculated by Fluent was applied to the surface of the blades by means of the “Fluid Solid Interface”. The gravity load was applied to the wind turbine as a whole by means of “Standard Earth Gravity”. The centrifugal force load was applied by defining the rotational velocity around the main axis of the wind turbine’s “Rotational Velocity”. The wind pressure calculated by Fluent was applied to the surface of the blades by means of the “Fluid Solid Interface”.
Based on the actual operating conditions of the wind turbine, the constraints for each component were set as follows: the generator was rigidly connected to the nacelle base, so fixed constraints were applied. The main shaft of the generator rotates synchronously with the wind turbine, thus imposing cylindrical support constraints at the hub. The drive rod reciprocates linearly along the main shaft of the generator, imposing frictionless constraints. The rack and pinion mechanism moves linearly and synchronously with the drive rod, also imposing frictionless constraints. The blades rotate along with the pitch bearings, so cylindrical support constraints are imposed on the pitch bearings. These constraints were set to accurately reflect the dynamic response characteristics of the wind turbine in actual operation.
Before the kinetic analysis of the blades, it is necessary to define the material parameters of each component of the wind turbine so that the simulation results are as realistic as possible. The blades were made of wood composite material, while the gears, rack, hubs, and other parts used 45# ordinary carbon structural steel. The material characteristic parameters of the parts are shown in Table 2 [15].

3.4. Extreme Operating Gust Model

The wind has turbulent characteristics, and the wind direction and speed constantly change, even in a very short period. Usually, a sudden change in wind speed of 50% or higher in a short time is called a gust [30]. From the perspective of safety, wind turbine design should not only pay attention to conventional performance but also fully consider the potential impact of extreme wind conditions. Although extreme winds are infrequent, they have great destructive power. For example, typhoons and cold waves occur frequently under the complex meteorological conditions in China. Their destructive power is huge and needs special attention.
In order to optimize wind turbine design for the best utilization effect, the wind turbine was classified according to wind speed and turbulence intensity as outlined in the IEC61400-1 standard [31]. Through this classification method, the applicability of the wind turbine was significantly improved, making it suitable for a wider range of site conditions. The basic parameters of wind turbine grade are shown in Table 3.
The extreme gust model can simulate extreme gust wind speed changes in a 1- or 50-year repetition period at a specified height under the conditions of known hub height, wind speed at hub height, wind wheel diameter, wind shear index, normal safety level, and turbulence type. Therefore, in the design and performance evaluation of wind turbines, it is particularly important to accurately simulate and predict extreme operating gusts, and the IEC and GL standards both define the extreme operating gust model [31,32]. In calculating the gust value at the hub height, the extreme operating gust model in the GL standard was used to simulate and predict the performance of the wind turbine under extreme gusts more accurately, providing an important basis for design, optimization, and operation. The parameters in the turbulence model are crucial for describing the wind conditions. For standard wind turbine grades, the standard deviation of turbulence σ 1 and the longitudinal turbulence scale parameter Λ1 can be calculated and determined using Equations (1) and (2). The gust amplitude at hub height can be calculated using Equation (3).
σ 1 = I r e f 15 + a v h u b / a + 1
Λ 1 = 0.7 z h u b z h u b < 30   m             21   z h u b > 30   m
where Iref is the characteristic value of turbulence intensity at 15 m/s; a is the slope parameter; z h u b is the hub height; and v h u b is the average wind speed of 10 min at the height of the hub.
v g u s t N = β · σ 1 1 + 0.1 D Λ 1
where N = 1, β = 4.8; N = 50, β = 6.4; Λ1 is the turbulence scale parameter; D is the diameter of the wind wheel; and σ 1 is the standard deviation of turbulent wind speed.
Extreme operational gusts can be calculated as per Equation (4).
v ( z , t ) = v ( z ) 0.37 V g u s t N sin ( 3 π t / T ) ( 1 cos ( 2 π t / T ) 0 t T v ( z ) t < 0 & t > T  
v ( z ) = v h u b z / z h u b α
where v(z) is the vertical shear function of velocity; t is a gust cycle; one-year extreme gust T1 = 10.4 s; 50-year extreme gust T50 = 14 s; and α is the wind shear index.
This simulation selected the rated wind speed of 12 m/s at the hub height. The wind turbine grade was IA, the turbulence intensity characteristic value I15 = 0.18, the slope a = 2, the turbulence scale parameter Λ1 = 21 m, and the gust amplitude Vgust1 = 4.156 m/s and Vgust50 = 5.528 m/s. From Equations (4) and (5) and the data, the calculation formula for extreme operating gusts once a year can be obtained as follows:
V ( z , t ) = 12 z / 7 0.2 1.53772 sin 3 π t / 10.5 1 cos 2 π t / 10.5 0 t 10.5 12 t > 10.5
Similarly, the formula for calculating extreme operational gusts once in 50 years can be obtained as follows:
V ( z , t ) = 12 z / 7 0.2 2.0454 sin 3 π t / 14 1 cos 2 π t / 14 0 t 14 12 t > 14
Fluent was used to compile User-DefinedFunction (UDF) programs for the once-a-year and once-in-50-years EOG models. Additionally, to verify the accuracy of the compiled program, CFD simulations were completed in the Fluent module, and the speed at the entrance was monitored. Figure 8 shows a comparison between the theoretical and monitored values of extreme operational gusts.
The data in Figure 8 show that the inflows exhibit the typical characteristics of decreasing, then increasing, and then decreasing for both the once-a-year and once-in-50-years extreme operational gust models. For the once-a-year EOG, it reached a minimum of 10.85 m/s at 2.51 and 7.92 s, a maximum of 15.14 m/s at 5.25 s, and a return to the initial wind speed of 12 m/s at 10.2 s. As for the once-in-50-years EOG, the minimum value was 10.066 m/s at 3.27 and 10.74 s, the maximum value was 15.42 m/s at 7.02 s, and the initial wind speed was restored at 13.6 s. The theoretical values in the graphs are in high agreement with the monitored values, proving the accuracy of the UDF procedure.

4. Results

The design standard of small- and medium-sized wind turbines is mainly for fixed-pitch wind turbines. For small- and medium-sized wind turbines with active power control, the load of key components is generally calculated using a simplified model combined with extensive experimental test data for empirical analysis [33]. In this paper, the two-way fluid–solid coupling method was used to simulate and calculate the displacement and stress of blades under uniform inflow and extreme operating gusts, and the influence of pitch angle and wind speed on the dynamic response characteristics of the blade structure was explored. Compared with the simplified load calculation method, the dynamic response characteristics of blade structure can be analyzed more intuitively.

4.1. Analysis of the Blade Stress Response under Uniform Inflow

Figure 9 shows the stress response cloud diagrams for the working conditions of 6°, 9°, 12°, and 15° pitch angles at a 14 m/s wind speed. As shown in the figure, the blade stress is concentrated in the leading-edge region in the middle of the blades, while the maximum value of the stress is also located in this region. This is because the blade pressure surface was subjected to bending tensile stress, the suction surface was subjected to bending compressive stress, and the blade cross-section size decreased along the spreading direction, resulting in the concentration of blade stress in this region. The maximum value of blade stress response decreased from 14.094 to 10.032 MPa as the pitch angle increased from 6° to 15°.
The maximum blade stress response values at other incoming wind speeds are shown in Table 4. The maximum blade stress response value at the same pitch angle increased as the incoming wind speed increased. Under wind speeds of 12, 14, and 16 m/s, when the pitch angle changed from 6° to 15°, the maximum stress decreased by 2.372, 4.062, and 6.169 MPa, respectively, representing decreases of 21.93%, 28.82%, and 29.33%. The decrease in the maximum stress response increased as the pitch angle increased.
The time course curve of the blade spreading stress response of the wind turbine under a 14 m/s wind speed is shown in Figure 10. In the figure, the stress responses at different spreading positions show periodic fluctuations, and the fluctuation amplitude decreases as the pitch angle increases. Under different pitch angle conditions, the stress response of the blades shows an increase and then a decrease along the blade root to the tip spreading direction. The maximum value occurs at the middle of the blades near the leading edge at 0.55R along the spreading direction, and the minimum value occurs at the tip of the blades. Observing the time course curves of the stress response of the blades at different positions along the spreading direction, it can be seen that the maximum stress during the rotational period occurs around 0.05 s (corresponding to the azimuth angle near 90°).
Figure 11 shows the time course curve of the stress response at the middle leading edge of the blades for different pitch angle conditions, which shows an approximate trigonometric periodic change. The amplitude of the curve decreased as the pitch angle increased. The fluctuation amplitude of the stress response in these parts of the blades reached 14.104 MPa during the rotational cycle for a 6° pitch angle, and the fluctuation amplitude in these parts of the blades dropped to 10.063 MPa for a 15° pitch angle, representing a decrease of 28.7% with increasing pitch angle under these wind speed conditions.
The variation in the stress response with time under different pitch angle conditions is shown in Table 5. According to the table, the goodness of fit R2 > 0.8 reflects a better-fitting degree of the stress time history curve. It can be observed that different pitch angles were affected by the rotation of the wind wheel, better reflecting the fluctuation trend of the sine function. The stress response time–course curve is similar to the displacement response time–course curve because of the flutter vibration of the wind turbine at the initial stage, leading to fluctuation of the stress response time–course curve. The main deviation was concentrated in the initial stage, and the initial phase and vibration amplitude of the curve were also negatively correlated with the pitch angle. With increasing pitch angle, the aerodynamic load on the blades decreased, and the stress response of the blades showed an attenuation tendency.
Figure 12 shows the standard deviation and average values of the leading-edge position in the middle of the blades under different pitch angles. It can be seen from the figure that the mean and standard deviation of the stress response of the leading edge in the middle of the blades decreases as the pitch angle increases. The decrease in the mean and standard deviation of the stress response increased as the wind speed increased. Under wind speeds of 12, 14, and 16 m/s, when the pitch angle changed from 6° to 15°, the mean value of the stress response in the blades decreased by 17.14%, 28.74%, and 45.14%, and the standard deviation decreased by 25.4%, 37.5%, and 44.12%.
The decrease in the mean and standard deviation of the equivalent stress at the leading edge of the middle of the blades is mainly attributed to the decrease in the normal and tangential forces on the blade surface during the pitch process of the wind turbine. When the wind speed is high, the increase in aerodynamic load makes the decrease in the mean and standard deviation of the stress response more obvious. This shows that increasing the pitch angle can effectively reduce the stress of the leading edge of the blades, and this effect is more significant under over-rated wind speed conditions.

4.2. Uniform Inflow Displacement Response Analysis

Figure 13 shows the time–distance curves of the blade tips in the waving and oscillation directions under the rated wind speed. It can be seen from the figure that the displacement response of the blade tips in the waving and oscillation directions have maximum wave peaks in the rotational period at approximately 0.05 s (near the azimuth angle of 90°). The displacement response of the blade tips in the waving and pendulum oscillation directions all decreased with increasing pitch angle. This is because the aerodynamic properties of the wind turbine surface decreased when the pitch angle increased, resulting in a decrease in the tangential and normal forces, making the blade displacement response less volatile. Meanwhile, the blade tip displacement response decreased significantly more in the waving direction than in the shimmy direction during the change in pitch angle. The blade tip-waving displacement response decreased by 47.77% during the change of pitch angle from 6° to 15°, and the shimmy displacement response decreased by 16.6%. More attention should be paid to the blade tip-waving direction displacement response in wind turbine design and operation.
The maximum values of blade displacement response for different incoming wind speeds are given in Table 6. It can be observed that the maximum value of the blade displacement response at the same pitch angle increases as the incoming wind speed increases. Under wind speeds of 12, 14, and 16 m/s, when the pitch angle changed from 6° to 15°, the maximum displacement decreased by 17.985, 18.92, and 31.046 mm, respectively.
The results of the blade displacement time history curves under different wind speed and pitch angle conditions are shown in Table 7. The goodness of fit of R2 > 0.8 in the table reflects a better fitting degree of the tip displacement time history curve. It can be seen from the table that the main deviation is concentrated in the initial stage, which is due to the unstable fluctuation of the wind wheel in the initial stage, and the position of the blades receiving the incoming wind is constantly changing. The initial phase and vibration amplitude of the curve were negatively correlated with the pitch angle. Therefore, different pitch angles under the action of wind turbine rotation can better reflect the trend of sine function fluctuations. With an increasing pitch angle, the aerodynamic load of the blades decreased, and the displacement response of the blade tip showed an attenuation trend.
Figure 14 shows the standard deviation and average values of the tip-waving displacement response under uniform inflow wind conditions. It can be seen from the figure that with increasing incoming wind speed, the standard deviation and average values of the blade tip-waving displacement response increases under the same pitch angle conditions. With an increasing pitch angle, the standard deviation and average values of the blade tip-waving displacement decreased at the same wind speed.
As the pitch angle increased from 6° to 15°, the decreases in the mean values of the blade tip-waving displacement were 17.02%, 7.52%, and 29.73%, and the decreases in the standard deviation of the blade tip displacement response were 17.4%, 9.6%, and 24.4%, respectively. The standard deviation of the leaf tip displacement and the decrease in mean values increased with increasing wind speed. The decreases in the mean values of the leaf tip-waving displacement were 34.3%, 37.5%, and 45.83%, and the decreases in the standard deviation of the leaf tip displacement response were 19.16%, 26.6%, and 38.4% under wind speeds of 12, 14, and 16 m/s, respectively. The main reason for the decrease in the standard deviation and average values of the tip displacement response with increasing pitch angle is that the increase in pitch angle led to a decrease in the angle of attack, the aerodynamic performance of the blades, and fluctuation of the blade surface caused by the aerodynamic load. This shows that an increasing pitch angle not only reduces the mean value of the displacement response but also slows down the fluctuation of the displacement response with time.

4.3. Analysis of the Blade Stress Response under Extreme Wind Conditions

Figure 15 and Figure 16 show the maximum value cloud plots of the blade stress response for the two extreme operating gust wind conditions. As per the figure, the blade stress is concentrated in the middle leading-edge position, while the maximum stress value is also located in this region. The maximum stress response value at the middle leading edge of the blades decreased as the pitch angle increased. The blade stress under extreme operational gusts once a year was reduced from 14.01 to 11.85 MPa, a decrease of 15.42%. The blade stress under extreme operational gusts once in 50 years was reduced from 15.89 to 12.54 MPa, a decrease of 21.08%. The stress response at the middle leading edge of the wind turbine blades is negatively correlated with the pitch angle, and the stress of the blades can still be effectively reduced by adjusting the pitch angle under gust conditions. Comparing the stress response of the leading edge of the blades under the two different extreme operating gusts at the same pitch angle, the extreme operating gust once in 50 years is greater than the extreme operating gust once a year.
Figure 17 shows the stress response time–course curves of the middle leading edge of the blades for the two extreme operating gust conditions. As per the figure, the stress response time–course curve of the middle leading edge of the blades shows a similarity to the wind speed time–course curve. This is mainly because the sudden change in wind speed had a significant effect on the blades, resulting in a large change in the amplitude of the stress response curve of the middle leading edge of the blades during the fluctuation period. Under the once-a-year extreme operating gust conditions, the stress response of the blades reached a maximum value of 14.21 MPa at 5.26 s. Under the once-in-50-years extreme operating gust conditions, the stress response of the blades reached a maximum value of 15.88 MPa at 6.93 s.

4.4. Analysis of the Blade Displacement Response under Extreme Operational Gusts of Wind

Figure 18 and Figure 19 show the maximum value cloud plots of the blade tip displacement response for the two extreme operating gust wind conditions. As per the figure, the maximum value of the tip displacement response decreases with increasing pitch angle, and the tip displacement response decreases from 55.156 to 47.044 mm for the once-a-year extreme operating gust wind condition, representing a decrease of 10.99%. The displacement response of the blade tip under the once-in-50-years extreme operating gust wind condition decreases from 57.322 to 48.859 mm, representing a decrease of 17.76%. Under the same pitch angle, the deformation of the once-in-50-years extreme operating gust wind condition is more obvious. Therefore, under extreme gust conditions, the deformation of the blades can be effectively reduced by adjusting the pitch angle.
Figure 20 compares the blade tip-waving and shimmy displacement response under the two extreme operating gusts with a 6° pitch angle. As can be seen in the figure, the time–range curves of the leaf tip-waving and pendulum oscillation displacements under the extreme operating gusts demonstrated similarities with the wind speed time–range curves. Figure 20a,b show the displacement response under the once-a-year extreme operational gust wind condition, where the overall fluctuation amplitude is positively correlated with the wind speed, and the waving displacement peaks at 5.23 s. Except for the initial unstable fluctuation, the maximum waving displacement is 52.46 mm, and the maximum shimmy displacement is 10.01 mm under the once-a-year extreme operating gust wind condition. Figure 20c,d show the displacement response under the once-in-50-years extreme operating gust wind condition. Under this wind condition, the waving displacement response reaches the maximum value at 7.72 s, which is 0.1 s earlier than the shimmy displacement response. The maximum value of waving displacement is 55.74 mm, and the maximum value of shimmy displacement is 10.56 mm under the once-in-50-years extreme operating gust. Compared with the once-a-year extreme operating gust, the maximum response of blade tip-waving displacement increases by 6.25%, and the maximum response of shimmy displacement increases by 5.49%.

4.5. Comparison of the Structural Dynamic Response under the Two Inflow Conditions

By selecting five specific time points for analysis, the wind speed corresponding to times a and c is 12 m/s, to times b and e is 14 m/s, and to time d is based on the once-a-year extreme operating gust wind speed amplitude, namely, 14.8 m/s. The method used in this research is based on the mean value of the dynamic response of the wind wheel in the unit rotation period under uniform flow conditions as the reference (denominator) and the stress response value of a specific wind speed point under EOG conditions is taken as the comparison object (molecule), so as to calculate the structural dynamic response ratio under different flow conditions. Figure 21 shows the comparative analysis results of blade displacement and stress responses under the two different wind conditions.
It can be seen from the figure that the stress and displacement responses of the blades at different time points show significant dynamic changes. As the wind speed increased, the blade surface encountered a stall, resulting in a decrease in their aerodynamic performance, so that the stress response ratios observed at time points a and b are lower than those at time points c and d. At the five specific time points, the structural dynamic response of the blades was significantly higher than that under uniform inflow conditions. The maximum stress ratio response reached 1.87, and the maximum ratio of the displacement response reached 1.73. This phenomenon reveals the significant influence of turbulence characteristics on the dynamic response of wind turbine blade structures under extreme gust conditions. Due to the high-frequency fluctuation of aerodynamics caused by extreme gusts, the load on the blades increased significantly. Therefore, when designing key components of small wind turbines, it is necessary to fully consider the possible impact of extreme meteorological conditions on the blades and pitch adjustment mechanism to ensure the reliability and durability of the wind turbine.

5. Conclusions

In this paper, the blades of a 1.5 kW new variable-pitch wind turbine were taken as the research object. The influence of wind speed and pitch angle on the dynamic response characteristics of the blade structures of this new wind turbine was analyzed using numerical simulation, and the following conclusions can be drawn.
Under the condition of uniform inflow, the overall fluctuation amplitude of the time–range curve of the blade stress response during the rotational cycle showed a tendency of first increasing and then decreasing along the blade spreading direction. The maximum value occurred at the leading-edge position in the middle of the blades (0.55R). The amplitude of the time–range curve of the stress response at the leading edge of the middle of the blades decreased with increasing pitch angle. Under conditions with a 14 m/s wind speed, the fluctuation amplitude of a 6° pitch angle was 14.104 MPa, and the fluctuation amplitude of a 15° pitch angle was 10.063 MPa. With increasing pitch angle, the fluctuation amplitude decreased by 28.7%.
Under uniform inflow conditions, the reduction in the displacement response of the blade tip in the waving direction was significantly greater than that in the swinging direction when the pitch angle was changed. The maximum displacements decreased by 17.98, 18.92, and 31.046 mm in the process of changing the pitch angle from 6° to 15° at wind speeds of 12, 14, and 16 m/s, respectively. The time–distance curves of the blade tip displacement and blade mid-leaf leading edge stress response under uniform inflow conditions can be fitted as trigonometric functions, and the goodness-of-fit was greater than 0.8, reflecting a good degree of fitting.
Under the action of extreme operating gusts, because of the blade stall phenomenon caused by the sudden change of wind speed, the blade structural dynamic response time curve produced large fluctuations, which is also closely related to the change of wind speed over time. Under extreme operating gusts, increasing the pitch angle had a significant effect on reducing the stress of the wind turbine blades. For example, during the change of pitch angle from 6° to 15°, the blade stress under once-a-year extreme operational gusts was reduced from 14.01 to 11.85 MPa, representing a decrease of 15.42%, while the blade stress under once-in-50-years extreme operational gusts was reduced from 15.89 to 12.54 MPa, representing a decrease of 21.08%.
The sudden change of wind speed due to extreme operational gusts led to instability of the overall wind turbine system, and the structural dynamic response of a new variable-pitch wind turbine in extreme operational gusts is significantly higher than that of the uniform inflow conditions. The maximum mean ratios of blade displacement and stress response for the same wind speed under uniform flow and extreme operation gust wind conditions reached 1.73 and 1.87, respectively, which reveals the significant influence of turbulence on the structural dynamic response of wind turbine blades under extreme operation gust wind conditions.
It should be added that although a finite element model was established for numerical simulation using 3D modeling software in this paper, the simulation calculations were only transient calculations and analyses through the two-way fluid–structure coupling method. In the next step, wind tunnel tests should be carried out by fixing the pitch angle to study the selected pitch angle and wind speed conditions, and automatic control of the pitch angle can be achieved by adding a PLC control module to further study the structural dynamic response of the blades under the actual operation of the wind turbine.

Author Contributions

Conceptualization, D.B. and A.J.; methodology, A.J. and C.L.; software, A.J.; validation, C.L., Z.S. and D.B.; formal analysis, A.J.; investigation, Q.H. and Y.L.; writing—original draft preparation, A.J.; writing—review and editing, D.B., Z.S. and S.Z.; funding acquisition, D.B. All authors have read and agreed to the published version of the manuscript.

Funding

This research was funded by the National Natural Science Foundation of China (grant No. 52266013), the Major Special Project of Scientific and Technological Cooperation in Ordos (grant No. 2021EEDSCXQDFZ009), and the Inner Mongolia Autonomous Region “Listed and Commanded” Project (grant No. 2024JBGS0025).

Data Availability Statement

Data are contained within the article.

Conflicts of Interest

Author Yongshui Luo was employed by the Yunda Energy Technology Group Co., Ltd., Shaohua Zhang was employed by the Inner Mongolia Hengdong Group Huilong Coal Co., Ltd. The remaining authors declare that the research was conducted in the absence of any commercial or financial relationships that could be construed as a potential conflict of interest.

References

  1. Eras-Almeida, A.A.; Egido-Aguilera, M.A. Hybrid renewable mini-grids on non-interconnected small islands: Review of case studies. Renew. Sustain. Energy Rev. 2019, 116, 109417. [Google Scholar] [CrossRef]
  2. Rahman, A.H.; Majid, M.S.; Rezaee Jordehi, A.; Chin Kim, G.; Hassan, M.Y.; Fadhl, S.O. Operation and control strategies of integrated distributed energy resources: A review. Renew. Sustain. Energy Rev. 2015, 51, 1412–1420. [Google Scholar] [CrossRef]
  3. Fazylova, A.; Tultayev, B.; Iliev, T.; Stoyanov, I.; Beloev, I. Development of a Control Unit for the Angle of Attack of a Vertically Axial Wind Turbine. Energies 2023, 16, 5202. [Google Scholar] [CrossRef]
  4. Fazylova, A.; Iliev, T. A New Type of Wind Generator Blades Mechanical Automatic Control System. In Proceedings of the 2022 International Conference on Communications, Information, Electronic and Energy Systems (CIEES), Veliko Tarnovo, Bulgaria, 20–22 November 2024; pp. 1–5. [Google Scholar]
  5. Ioannidis, A.; Chalvatzis, K.J.; Li, X.; Notton, G.; Stephanides, P. The case for islands’ energy vulnerability: Electricity supply diversity in 44 global islands. Renew. Energy 2019, 143, 440–452. [Google Scholar] [CrossRef]
  6. Weir, T.; Kumar, M. Renewable energy can enhance resilience of small islands. Nat. Hazard. 2020, 104, 2719–2725. [Google Scholar] [CrossRef] [PubMed]
  7. Tummala, A.; Velamati, R.K.; Sinha, D.K.; Indraja, V.; Krishna, V.H. A review on small scale wind turbines. Renew. Sustain. Energy Rev. 2016, 56, 1351–1371. [Google Scholar] [CrossRef]
  8. Chagas, C.C.M.; Pereira, M.G.; Rosa, L.P.; da Silva, N.F.; Freitas, M.A.V.; Hunt, J.D. From megawatts to kilowatts: A review of small wind turbine applications, lessons from the US to Brazil. Sustainability 2020, 12, 2760. [Google Scholar] [CrossRef]
  9. Fazylova, A.; Malamatoudis, M.; Kogias, P. Optimization of the blade profile of a vertical axis wind turbine based on aerodynamic analysis. In E3S Web of Conferences; EDP Sciences: Les Ulis, France, 2023; p. 02002. [Google Scholar]
  10. Stoyanov, I.; Iliev, T.; Fazylova, A.; Yestemessova, G. A Dynamic Control Model of the Blades Position for the Vertical-Axis Wind Generator by a Program Method. Inventions 2023, 8, 120. [Google Scholar] [CrossRef]
  11. Tang, X.; Wang, X.; Yuan, K.; Peng, R. Quantitation study of influence of wind speed uncertainty on aerodynamic forces of wind turbine. Chin. J. Theor. Appl. Mech. 2020, 52, 51–59. [Google Scholar]
  12. Chou, J.-S.; Chiu, C.-K.; Huang, I.-K.; Chi, K.-N. Failure analysis of wind turbine blade under critical wind loads. Eng. Fail. Anal. 2013, 27, 99–118. [Google Scholar] [CrossRef]
  13. Reder, M.D.; Gonzalez, E.; Melero, J.J. Wind turbine failures-tackling current problems in failure data analysis. J. Phys. Conf. Ser. 2016, 75, 072027. [Google Scholar] [CrossRef]
  14. Rafiee, R.; Hashemi-Taheri, M.R. Failure analysis of a composite wind turbine blade at the adhesive joint of the trailing edge. Eng. Fail. Anal. 2021, 121, 105148. [Google Scholar] [CrossRef]
  15. Wang, P.; Bao, D.; Zhao, M.; Shi, Z.; Gao, F.; Han, F. The Design, Analysis, and Optimization of a New Pitch Mechanism for Small Wind Turbines. Energies 2023, 16, 6708. [Google Scholar] [CrossRef]
  16. Santo, G.; Peeters, M.; Van Paepegem, W.; Degroote, J. Fluid-structure interaction simulations of a wind gust impacting on the blades of a large horizontal axis wind turbine. Energies 2020, 13, 509. [Google Scholar] [CrossRef]
  17. Ebrahimi, A.; Sekandari, M. Transient response of the flexible blade of horizontal-axis wind turbines in wind gusts and rapid yaw changes. Energy 2018, 145, 261–275. [Google Scholar] [CrossRef]
  18. Raihan, G.A.; Chakravarty, U.K. Fluid-Structure Interaction Model of a Wind Turbine Blade. In Proceedings of the ASME International Mechanical Engineering Congress and Exposition, New Orleans, LA, USA, 29 October–2 November 2023; p. V004T005A011. [Google Scholar]
  19. Fernandez, G.; Usabiaga, H.; Vandepitte, D. An efficient procedure for the calculation of the stress distribution in a wind turbine blade under aerodynamic loads. J. Wind. Eng. Ind. Aerodyn. 2018, 172, 42–54. [Google Scholar] [CrossRef]
  20. El Yassen, S.Y.; Abdelhameed, A.S.; Elshorbagy, K.A. An examination of hub wind turbine utilizing fluid-structure interaction strategy. Alexandria Eng. J. 2023, 64, 1–11. [Google Scholar] [CrossRef]
  21. Menegozzo, L.; Dal Monte, A.; Benini, E.; Benato, A. Small wind turbines: A numerical study for aerodynamic performance assessment under gust conditions. Renew. Energy 2018, 121, 123–132. [Google Scholar] [CrossRef]
  22. Shirzadeh, K.; Hangan, H.; Crawford, C.; Hashemi Tari, P. Investigating the loads and performance of a model horizontal axis wind turbine under IEC extreme operational conditions. Wind. Energy Sci. Discuss. 2021, 6, 477–489. [Google Scholar] [CrossRef]
  23. Li, Y.; Castro, A.; Sinokrot, T.; Prescott, W.; Carrica, P. Coupled multi-body dynamics and CFD for wind turbine simulation including explicit wind turbulence. Renew. Energy 2015, 76, 338–361. [Google Scholar] [CrossRef]
  24. Guo, J.; Guo, Z.; Zhang, J.; Wang, J.; Zhao, S.; Yun, M. Research of dynamic structure response of small wind turbine blades with new airfoils. Acta Energiae Solaris Sin. 2021, 42, 183–188. [Google Scholar]
  25. Karpenko, M.; Stosiak, M.; Deptuła, A.; Urbanowicz, K.; Nugaras, J.; Królczyk, G.; Żak, K. Performance evaluation of extruded polystyrene foam for aerospace engineering applications using frequency analyses. Int. J. Adv. Manuf. Technol. 2023, 126, 5515–5526. [Google Scholar] [CrossRef]
  26. Meng, H.; Ma, Z.; Dou, B.; Zeng, P.; Lei, L. Investigation on the performance of a novel forward-folding rotor used in a downwind horizontal-axis turbine. Energy 2020, 190, 116384. [Google Scholar] [CrossRef]
  27. Chen, Y.; Shiah, Y. Experiments on the Performance of Small Horizontal Axis Wind Turbine with Passive Pitch Control by Disk Pulley. Energies 2016, 9, 353. [Google Scholar] [CrossRef]
  28. Wu, S.; Bao, D.; Zhang, S.; Bai, Z.; Liu, D. Wind tunnel experiment study of a new type pitch wind turbine. Acta Energiae Solaris Sin. 2023, 44, 492–498. [Google Scholar]
  29. Taghinezhad, J.; Abdoli, S.; Silva, V.; Sheidaei, S.; Alimardani, R.; Mahmoodi, E. Computational fluid dynamic and response surface methodology coupling: A new method for optimization of the duct to be used in ducted wind turbines. Heliyon 2023, 9, e17057. [Google Scholar] [CrossRef]
  30. Zhao, Z.; Wang, T.; Zheng, Y. Wind Turbine Principles; Beijing Book Co. Inc.: Beijing, China, 2016. [Google Scholar]
  31. IEC61400-1; Wind Energy Generation Systems—Part 1: Design Requirements. International Electrotechnical Commission: Geneva, Switzerland, 2019.
  32. Germanischer Lloyd Industrial Services Gmbh. Guideline for the Certification of Wind Turbines; Germanischer Lloyd Industrial Services Gmbh: Hamburg, Germany, 2010. [Google Scholar]
  33. Evans, S.; Dana, S.; Clausen, P.; Wood, D. A simple method for modelling fatigue spectra of small wind turbine blades. Wind Energy 2021, 24, 549–557. [Google Scholar] [CrossRef]
Figure 1. Schematic diagram of the overall structure of the new wind turbine.
Figure 1. Schematic diagram of the overall structure of the new wind turbine.
Energies 17 04057 g001
Figure 2. Schematic diagram of the pitch adjustment mechanism.
Figure 2. Schematic diagram of the pitch adjustment mechanism.
Energies 17 04057 g002
Figure 3. Calculation domain boundary condition settings.
Figure 3. Calculation domain boundary condition settings.
Energies 17 04057 g003
Figure 4. Results of the flow field meshing.
Figure 4. Results of the flow field meshing.
Energies 17 04057 g004
Figure 5. Grid independence verification.
Figure 5. Grid independence verification.
Energies 17 04057 g005
Figure 6. Structural field grid division results.
Figure 6. Structural field grid division results.
Energies 17 04057 g006
Figure 7. Schematic diagram of the load and constraint settings for the dynamic analysis.
Figure 7. Schematic diagram of the load and constraint settings for the dynamic analysis.
Energies 17 04057 g007
Figure 8. Comparison between theoretical and monitoring values of the EOG model. (a) Extreme operating gusts once a year; (b) extreme operating gusts once in 50 years.
Figure 8. Comparison between theoretical and monitoring values of the EOG model. (a) Extreme operating gusts once a year; (b) extreme operating gusts once in 50 years.
Energies 17 04057 g008
Figure 9. Cloud chart of the blade stress response at a 14 m/s inflow wind speed: (a) 6° pitch angle; (b) 9° pitch angle; (c) 12° pitch angle; and (d) 15° pitch angle.
Figure 9. Cloud chart of the blade stress response at a 14 m/s inflow wind speed: (a) 6° pitch angle; (b) 9° pitch angle; (c) 12° pitch angle; and (d) 15° pitch angle.
Energies 17 04057 g009
Figure 10. Time history curve of the stress response at the leading edge of the wind turbine blades at a wind speed of 14 m/s. (a) Blade spreading stress response at a 6° pitch angle; (b) blade spreading stress response at a 9° pitch angle; (c) blade spreading stress response at a 12° pitch angle; (d) blade spreading stress response at a 15° pitch angle.
Figure 10. Time history curve of the stress response at the leading edge of the wind turbine blades at a wind speed of 14 m/s. (a) Blade spreading stress response at a 6° pitch angle; (b) blade spreading stress response at a 9° pitch angle; (c) blade spreading stress response at a 12° pitch angle; (d) blade spreading stress response at a 15° pitch angle.
Energies 17 04057 g010
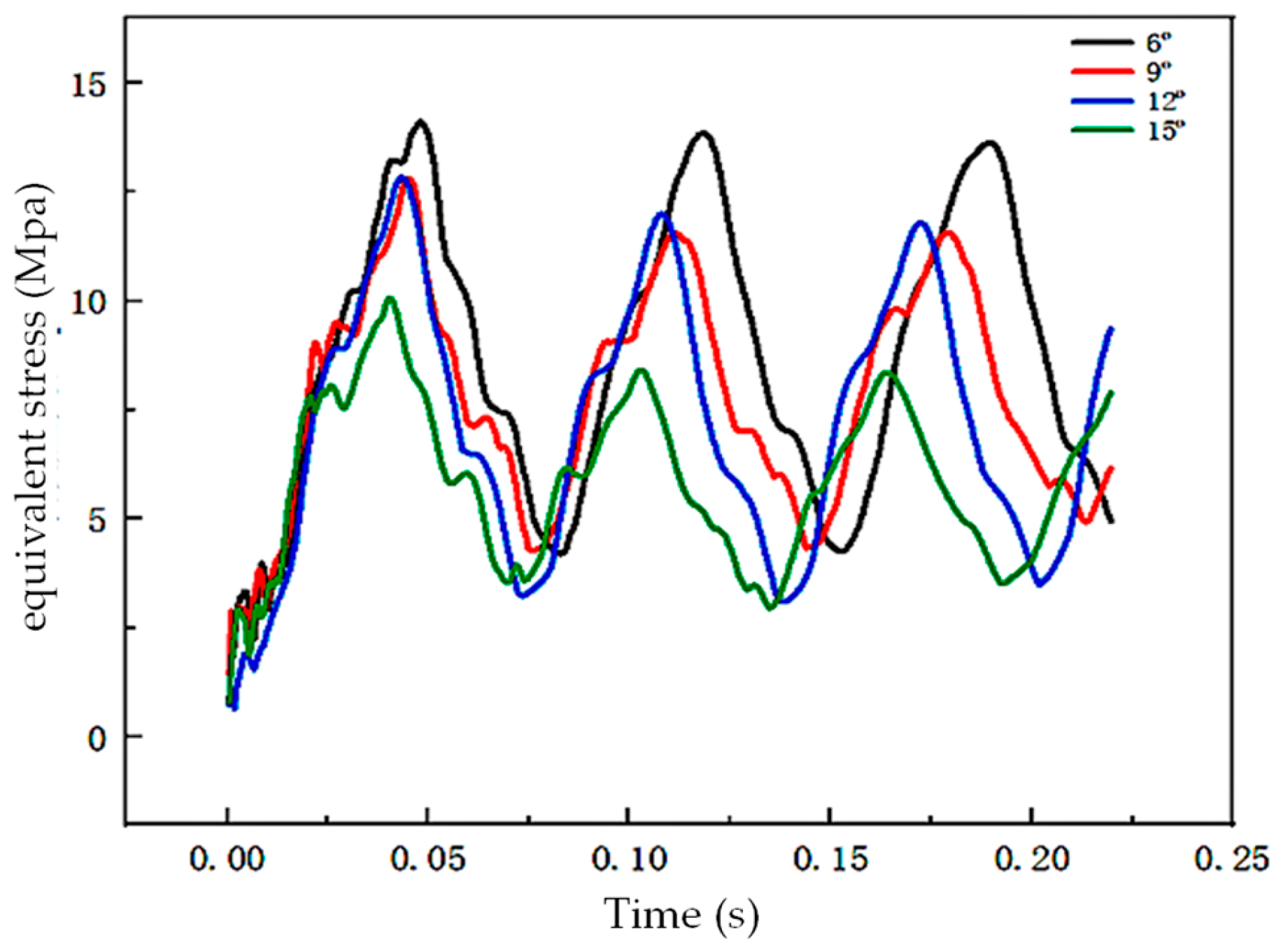
Figure 11. Time course curves of the stress response in the middle of wind turbine blades at a wind speed of 14 m/s.
Figure 11. Time course curves of the stress response in the middle of wind turbine blades at a wind speed of 14 m/s.
Energies 17 04057 g011
Figure 12. Stress response characteristics of the leading edge in blades under different operating conditions. (a) Mean value of the stress response at the leading edge of the middle of the blades; (b) standard deviation of the stress response at the leading edge of the middle of the blades.
Figure 12. Stress response characteristics of the leading edge in blades under different operating conditions. (a) Mean value of the stress response at the leading edge of the middle of the blades; (b) standard deviation of the stress response at the leading edge of the middle of the blades.
Energies 17 04057 g012
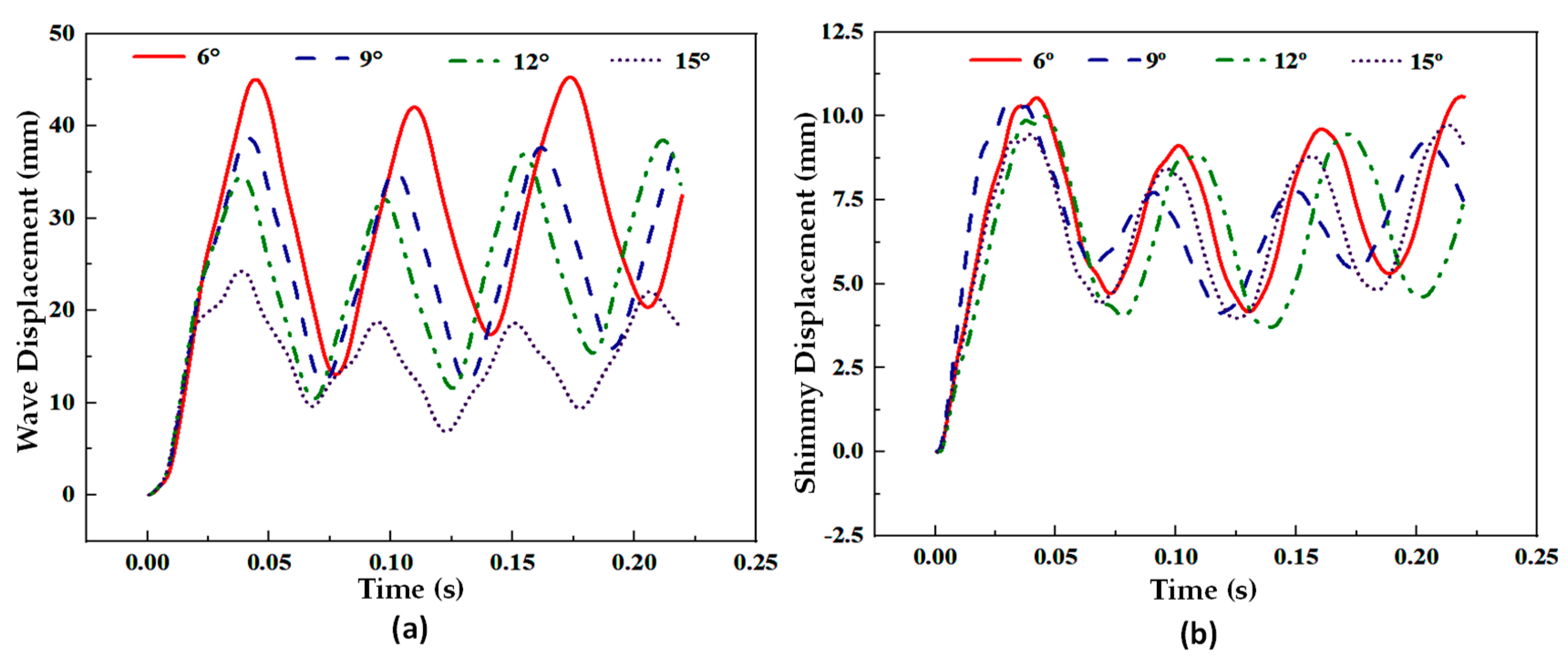
Figure 13. Time history curves of the stress response at the leading edge of wind turbine blades at a wind speed of 12 m/s. (a) Time–course curve of the displacement response in the leaf tip-waving direction; (b) time–course curve of the displacement response in the direction of leaf tip oscillations.
Figure 13. Time history curves of the stress response at the leading edge of wind turbine blades at a wind speed of 12 m/s. (a) Time–course curve of the displacement response in the leaf tip-waving direction; (b) time–course curve of the displacement response in the direction of leaf tip oscillations.
Energies 17 04057 g013
Figure 14. Blade tip displacement response characteristics. (a) Mean value of the tip displacement response; (b) blade tip displacement response standard deviation.
Figure 14. Blade tip displacement response characteristics. (a) Mean value of the tip displacement response; (b) blade tip displacement response standard deviation.
Energies 17 04057 g014
Figure 15. Cloud diagram of the blade stress response under once-a-year extreme operational gust conditions: (a) 6° pitch angle; (b) 9° pitch angle; (c) 12° pitch angle; (d) 15° pitch angle.
Figure 15. Cloud diagram of the blade stress response under once-a-year extreme operational gust conditions: (a) 6° pitch angle; (b) 9° pitch angle; (c) 12° pitch angle; (d) 15° pitch angle.
Energies 17 04057 g015
Figure 16. Cloud diagram of the blade stress response under once-in-50-years extreme operational gust conditions: (a) 6° pitch angle; (b) 9° pitch angle; (c) 12° pitch angle; (d) 15° pitch angle.
Figure 16. Cloud diagram of the blade stress response under once-in-50-years extreme operational gust conditions: (a) 6° pitch angle; (b) 9° pitch angle; (c) 12° pitch angle; (d) 15° pitch angle.
Energies 17 04057 g016
Figure 17. Time–course curves of the stress response at the middle leading edge. (a) Extreme operating gust once a year; (b) extreme operational gust once in 50 years.
Figure 17. Time–course curves of the stress response at the middle leading edge. (a) Extreme operating gust once a year; (b) extreme operational gust once in 50 years.
Energies 17 04057 g017
Figure 18. Contour of the blade displacement response to the once-a-year EOG under different pitch angle different pitch angles: (a) 6° pitch angle; (b) 9° pitch angle; (c) 12° pitch angle; (d) 15° pitch angle.
Figure 18. Contour of the blade displacement response to the once-a-year EOG under different pitch angle different pitch angles: (a) 6° pitch angle; (b) 9° pitch angle; (c) 12° pitch angle; (d) 15° pitch angle.
Energies 17 04057 g018
Figure 19. Contour of the blade displacement response to the once-in-50-years EOG under different pitch angles: (a) 6° pitch angle; (b) 9° pitch angle; (c) 12° pitch angle; (d) 15° pitch angle.
Figure 19. Contour of the blade displacement response to the once-in-50-years EOG under different pitch angles: (a) 6° pitch angle; (b) 9° pitch angle; (c) 12° pitch angle; (d) 15° pitch angle.
Energies 17 04057 g019
Figure 20. Extreme operating gust blade tip displacement response time–course curves. (a) Time–course curve of the leaf tip-waving displacement response under the once-a-year EOG; (b) time–course curve of the leaf tip shimmy displacement response under the once-a-year EOG; (c) time–course curve of the leaf tip-waving displacement response under the once-in-50-years EOG; (d) time–course curve of the leaf tip shimmy displacement response under the once-in-50-years EOG.
Figure 20. Extreme operating gust blade tip displacement response time–course curves. (a) Time–course curve of the leaf tip-waving displacement response under the once-a-year EOG; (b) time–course curve of the leaf tip shimmy displacement response under the once-a-year EOG; (c) time–course curve of the leaf tip-waving displacement response under the once-in-50-years EOG; (d) time–course curve of the leaf tip shimmy displacement response under the once-in-50-years EOG.
Energies 17 04057 g020
Figure 21. Comparison of the dynamic response mean values of blade structures under different inflow conditions. (a) Displacement response comparison; (b) stress response comparison.
Figure 21. Comparison of the dynamic response mean values of blade structures under different inflow conditions. (a) Displacement response comparison; (b) stress response comparison.
Energies 17 04057 g021
Table 1. Blade parameters.
Table 1. Blade parameters.
Section NumberDistance from Leaf Root (mm)Chord Length (mm)Torsional Angle (°)
116022919.7
229619717.8
343115613.1
45671326.6
57021154.2
68381023.8
7973892.8
81109801.8
91244681
101380350
Table 2. Material properties.
Table 2. Material properties.
MaterialDensity (kg·m−3)Elastic Modulus (Gpa)Poisson Ratio
Wood composite900150.3
Carbon steel SAE 104578502100.269
Table 3. Wind turbine levels.
Table 3. Wind turbine levels.
Wind Turbine RatingIIIIIIS
Vref (m/s)5042.537.5Designated by the designer
Vave (m/s)108.57.5
A I15 (-)0.180.180.18
a (-)222
B I15 (-)0.160.160.16
a (-)333
Table 4. Maximum stress response values of the blades under different incoming wind speeds.
Table 4. Maximum stress response values of the blades under different incoming wind speeds.
Pitch Angle (MPa)12°15°
Maximum stress at 12 m/s10.8149.6889.3878.442
Maximum stress at 14 m/s14.09412.81611.91510.032
Maximum stress at 16 m/s21.03319.24317.28514.864
Table 5. Fitting results of the stress response time history curves.
Table 5. Fitting results of the stress response time history curves.
Pitch AngleStress Response (MPa)R2
8 . 81591 ± 4 . 45675 sin ( ( t - 0 . 02691 ) π / 0.03556 ) 0.91
7 . 7965 ± 5 . 68615 sin ( ( t - 0 . 02684 ) π / 0 . 0366 ) 0.86
12° 7 . 4594 ± 4 . 04635 sin ( ( t - 0 . 02481 ) π / 0.03214 ) 0.83
15° 6 . 01513 ± 2 . 42262 sin ( ( t - 0 . 02167 ) π / 0.03144 ) 0.87
Table 6. Maximum values of blade displacement response under different incoming wind speeds.
Table 6. Maximum values of blade displacement response under different incoming wind speeds.
Pitch Angle (°)12°15°
Maximum displacement at 12 m/s45.69939.29636.79427.714
Maximum displacement at 14 m/s60.02650.56045.29641.106
Maximum displacement at 16 m/s88.29376.60671.9957.247
Table 7. Fitting results of the blade tip displacement response time history curves.
Table 7. Fitting results of the blade tip displacement response time history curves.
Pitch Angle (°)Displacement Response (mm)R2
y = 29.23996 ± 14.5108 sin ( ( t 0.0268 ) π / 0.03249 ) 0.86
y = 24.75143 ± 12.34733 sin ( ( t 0.0352 ) π / 0.03026 ) 0.91
12° y = 23.20237 ± 11.92326 sin ( ( t 0.0231 ) π / 0.02985 ) 0.93
15° y = 14.4894 ± 6.0735 sin ( ( t 0.02165 ) π / 0.02874 ) 0.84
Disclaimer/Publisher’s Note: The statements, opinions and data contained in all publications are solely those of the individual author(s) and contributor(s) and not of MDPI and/or the editor(s). MDPI and/or the editor(s) disclaim responsibility for any injury to people or property resulting from any ideas, methods, instructions or products referred to in the content.

Share and Cite

MDPI and ACS Style

Bao, D.; Jiang, A.; Li, C.; Shi, Z.; Han, Q.; Luo, Y.; Zhang, S. The Study of Structural Dynamic Response of Wind Turbine Blades under Different Inflow Conditions for the Novel Variable-Pitch Wind Turbine. Energies 2024, 17, 4057. https://doi.org/10.3390/en17164057

AMA Style

Bao D, Jiang A, Li C, Shi Z, Han Q, Luo Y, Zhang S. The Study of Structural Dynamic Response of Wind Turbine Blades under Different Inflow Conditions for the Novel Variable-Pitch Wind Turbine. Energies. 2024; 17(16):4057. https://doi.org/10.3390/en17164057

Chicago/Turabian Style

Bao, Daorina, Aoxiang Jiang, Chengze Li, Zhongyu Shi, Qingsong Han, Yongshui Luo, and Shaohua Zhang. 2024. "The Study of Structural Dynamic Response of Wind Turbine Blades under Different Inflow Conditions for the Novel Variable-Pitch Wind Turbine" Energies 17, no. 16: 4057. https://doi.org/10.3390/en17164057

APA Style

Bao, D., Jiang, A., Li, C., Shi, Z., Han, Q., Luo, Y., & Zhang, S. (2024). The Study of Structural Dynamic Response of Wind Turbine Blades under Different Inflow Conditions for the Novel Variable-Pitch Wind Turbine. Energies, 17(16), 4057. https://doi.org/10.3390/en17164057

Note that from the first issue of 2016, this journal uses article numbers instead of page numbers. See further details here.

Article Metrics

Back to TopTop