Next Article in Journal
A Multi-Mode Recognition Method for Broadband Oscillation Based on CS-OMP and Adaptive VMD
Previous Article in Journal
Green Hydrogen—Production and Storage Methods: Current Status and Future Directions
 
 
Font Type:
Arial Georgia Verdana
Font Size:
Aa Aa Aa
Line Spacing:
Column Width:
Background:
Article

A Study on the Influence of Different Inflow Conditions on the Output Power and Dynamic Response Characteristics of a Variable Pitch Wind Turbine Structure

by
Daorina Bao
1,*,
Zhongyu Shi
1,
Chengze Li
2,
Aoxiang Jiang
1,
Qingsong Han
1,
Yongshui Luo
3 and
Shaohua Zhang
4
1
School of Energy and Power Engineering, Inner Mongolia University of Technology, Hohhot 010010, China
2
Department of Mechanics, Inner Mongolia Open University, Hohhot 010010, China
3
Yunda Energy Technology Group Co., Ltd., Hangzhou 311106, China
4
Inner Mongolia Hengdong Group Huilong Coal Co., Ltd., Hohhot 010010, China
*
Author to whom correspondence should be addressed.
Energies 2024, 17(23), 5818; https://doi.org/10.3390/en17235818
Submission received: 3 October 2024 / Revised: 22 October 2024 / Accepted: 14 November 2024 / Published: 21 November 2024
(This article belongs to the Section A3: Wind, Wave and Tidal Energy)

Abstract

This paper introduces a novel pitch adjustment device applicable to small wind turbines. To validate its feasibility under high wind speeds and analyze the impact of pitch angle on the power output characteristics of small wind turbines, a prototype model was manufactured for wind tunnel experiments. Additionally, we conducted simulations to analyze the stress and displacement responses of key components under uniform airflow, shear airflow, and Extreme Operated Gust conditions. The numerical simulation results were compared with experimental results based on actual measurement points in the wind tunnel experiment, demonstrating that the simulation data accurately reflect the experimental test results, with an overall discrepancy of around 10%, thereby validating the accuracy of the load and constraint settings in the transient dynamics analysis. This study found that, as the pitch angle increased, the structural dynamic response of key wind turbine components under uniform airflow conditions exhibited a decreasing trend, which was proportional to wind speed. Under shear airflow conditions, the response of key components was positively correlated with the shear index, while Extreme Operated Gust significantly increased the amplitude of the response fluctuations. Furthermore, this research revealed that, with an increase in pitch angle, the maximum stress value of the gear under uniform airflow conditions decreased from 27.42 MPa to 7.64 MPa, a reduction of 72.1%. Under shear airflow conditions, the root stress of the gear decreased from 14.441 MPa to 8.879 MPa, a reduction of 49.60%. Under Extreme Operated Gust conditions, the maximum stress of the gear decreased from 17.82 MPa to 15.18 MPa, a reduction of 22.99%.

1. Introduction

Under the dual impetus of global energy transition and environmental protection, wind power generation, as a clean and renewable energy source, has become increasingly significant. With continuous technological advancements and the expansion of its application scope, wind power generation has emerged as a focal point in the field of energy science. Currently, the development of microgrid systems that integrate small and medium-sized wind turbines with other forms of energy necessitates a smooth and stable power output from these turbines when connected to the grid. However, most small wind turbines use a fixed pitch method, which does not allow for power regulation. In contrast, the active independent pitch control used in large wind turbines is not cost-effective for small and medium-sized turbines in the 10–100 kW power range. Additionally, a notable drawback of small and medium-sized wind turbines is their poor safety protection and power control performance at wind speeds exceeding the rated value [1]. To enhance the safe and stable operation of small and medium-sized wind turbines at high wind speeds, numerous scholars have conducted research on power control for these turbines.
As shown in Figure 1. Xie [2] proposed a wind turbine that controls the power output by folding the outer section of the blades, and wind tunnel tests showed that blade folding reduces energy conversion efficiency, leading to decreased power output performance. Sung [3] introduced a hinged pitch power control system suitable for small wind turbines, and its power control performance was evaluated through simulation analysis and wind tunnel experiments. Chen J [4] designed a disc pulley-type passive pitch mechanism and conducted wind tunnel tests on a prototype, demonstrating that it effectively reduces turbine speed and produces a more stable power output at high wind speeds. Dong [5] developed a power regulation device for a small island wind turbine that deflects the tail vane from the wind direction, and field experiments on a 15 kW prototype validated its effectiveness. Costa [6] constructed a field test prototype to study the impact of different blade pitch angles on the performance of small wind turbines in urban environments, confirming that pitch control is also an effective method for small wind turbines. Meng [7] proposed a novel downwind horizontal axis wind turbine with forward-folding blades that control pitch and cone angles to maintain a constant power output.
Dynamic response refers to the displacement of a structure under external forces, resulting in stress and strain in various internal parts. Numerous scholars have conducted extensive and in-depth research through theoretical analysis, experimental investigation, and numerical simulation. In the realm of wind turbine structural dynamics, Kallesoe [8] optimized blade model design by considering the interactions of gravity, pitch effects, and rotor speed, deriving differential equations for blade motion. Acar [9] developed a blade dynamics model, clarifying the specific forms of potential and kinetic energy by examining the positional changes in blade cross-section points before and after deformation. They further utilized Lagrange equations to derive differential equations for coupled bending and torsion motion, providing an in-depth analysis of the centrifugal and gravitational effects on blade modes.
In experimental research, Matsubara [10] discovered through wind tunnel tests that the combined effects of flange diffusers and yaw angles significantly impact blade performance, particularly in the dynamic strain at the blade root. As the yaw angle increases, the strain tends to decrease. Wu [11] developed a novel wind turbine blade health monitoring technology based on the three-dimensional digital image correlation (3D-DIC) principle, which comprehensively captures the dynamic displacement and strain parameters of the blades, effectively monitoring the operational health of wind turbine blades. Baqersad [12] constructed a validated finite element model and proposed a new technique to infer the dynamic strain of wind turbine structures using limited measurement data, successfully capturing dynamic strain under arbitrary excitations by applying limited displacement information to the model [13].
In numerical simulations, researchers typically use Computational Fluid Dynamics (CFD) and other numerical methods to study the structural dynamic response of key wind turbine components. Gazi [14] established a full-scale NREL 5 MW wind turbine model and used the ANSYS Static Structure module to calculate the structural response to dynamic wind loads, focusing on the stress and displacement responses of blades under different angles of attack and wind speed conditions. Wang [15] employed a bidirectional fluid–structure interaction method to study the coupled deformation, equivalent stress, and strain distribution of the NREL 5 MW wind turbine under various operating conditions and internal blade structures. The results indicated that the maximum equivalent stress and strain of beam-structured wind turbine blades are located at the leading edge, whereas those of shell-structured blades are at the root leading edge, with the danger zone being smaller for the shell structure.
Yassen [16] investigated the GE1.5-XLE horizontal axis wind turbine blade using both unidirectional and bidirectional FSI (fluid–structure interaction) methods to analyze structural performance such as modal and total deformation, finding that both FSI methods yielded accurate and consistent numerical simulation results. Fernandez [17] proposed an automated program for calculating the overall and local stress and strain results of wind turbine blades under normal and extreme wind conditions. Using a 5 MW wind turbine blade as the study object, they analyzed the aeroelastic response and calculated the stress–strain distribution under wind loads through numerical simulation.
Santo [18] conducted dynamic load and stress analysis on a 5 MW wind turbine blade using transient fluid–structure coupling simulation methods, examining the effects of atmospheric boundary layer, gravitational loads, and internal structure on stress–strain and displacement responses. Seralathan [19] used finite element analysis software Ansys for the structural analysis of wind turbines, testing the static mechanical properties of magnesium and aluminum alloy materials, and comparing the maximum stress, equivalent stress, and total deformation characteristics of the two materials. Goroshko [20] explored the impact of different composite materials and their ply structures on the dynamic characteristics of horizontal axis blades. They employed finite element modeling and analysis on composite skin rotor blades with various structures and stiffeners, investigating the dynamic response under uniformly applied sinusoidal pulse pressure on the lower half of the blade. Sayed [21] proposed an aeroelastic simulation technique based on fluid–structure coupling, combining CFD and CSD solvers Carat++ to simulate the aerodynamic loads and elastic deformation of blades. The study showed that this method significantly reduced the vibration amplitude of flexible blades, with a maximum reduction of 22% at 90% of the blade length from the root. Lee [22] integrated airfoil pressure coefficients from Xfoil to obtain aerodynamic loads, applying them to a 3D finite element model of the blade and iteratively calculating the structural response. Zhao [23] investigated the multiphase shear thickening polishing process, focusing on the impact of microbubbles on the interfacial evolution and erosion mechanisms. The findings from Zhao’s work provide critical insights into the flow–solid interactions, which are vital for understanding and enhancing the performance of wind turbine blades under different operational conditions. Wang [24] researched multiphase vortices and their impact on turbine performance. A fluid–structure mechanic optimization model with dynamic mesh technology was employed to investigate the multiphase vortex-induced vibration (MVIV) dynamic behaviors. The study reveals the internal relationship between displacement responses and the multiphase flow state.
Complex wind conditions in nature, such as wind shear and extreme wind conditions, reflect the real wind field’s spatial and temporal variations. Vertical wind shear, as a primary cause of load variation on horizontal axis wind turbine blades, results in uneven load distribution, leading to structural instability, increased fatigue loads on the rotor, and, consequently, the reduced lifespan of the wind turbine [25].
Zhang [26] conducted fluid–structure coupling numerical calculations on blade vibration characteristics under wind shear and fluctuating wind conditions. The results indicated that wind shear significantly increases the maximum displacement and stress of the blades, with structural response increasing with incoming wind speed. Li [27] observed that wind shear has a significant impact on local loads on individual blades, increasing the ultimate load and fatigue damage load at the blade root. Kang [28] used nonlinear aeroelastic modeling to simulate and compare the response of 10 MW upwind and downwind wind turbine blades under shear wind conditions. The results showed that the moment and tip deformation of downwind turbine blades are smaller than those of upwind turbine blades, with load and deformation fluctuations increasing with wind shear. Castro [29] proposed a high-fidelity method for the aeroelastic numerical simulation of wind turbines, conducting numerical simulations on the NREL 5MW wind turbine to analyze structural dynamic response characteristics when wind shear and atmospheric turbulence are included in the simulation. Peeters [30] analyzed the impact of gusts on large horizontal axis wind turbine blades through fluid–structure coupling simulation, simulating two different gust shapes and analyzing the load and structural response of blades under gust impact. Shirzadeh [31] studied the power generation and dynamic response of horizontal axis wind turbines under extreme wind shear (EWS) and Extreme Operated Gust (EOG). The results indicated that extreme wind conditions affect the output power and generation capacity of wind turbines while causing severe fatigue loads on the blade surface. Rakib [32] used FAST to simulate the response of small horizontal axis wind turbines during gusts, predicting wind turbine performance during gust events using the IEC-specified EOG model. They input ideal gust models and measured gust data into the FAST model, finding that the maximum energy obtained by the wind turbine during gusts is 36% lower than that obtained from assumed ideal gusts. Menegozzo [33] used CFD methods to study the impact of EOG on the aerodynamic and structural performance of small wind turbines. Sun [34] used the modal superposition method to calculate the dynamic response of wind turbine units under turbulent wind, showing that, under extreme conditions, the lateral vibration of wind turbine units increases significantly, with tip vibration increasing by 190.41% and hub vibration by 137.5% compared to steady-state conditions, highlighting the need for careful consideration in wind turbine design.
In summary, current research on the dynamic response characteristics of wind turbine structures extensively employs numerical simulation methods, integrating relevant wind turbine theories. Techniques such as GH Bladed and ANSYS software are commonly used. While there is substantial research on large wind turbines under complex wind conditions, studies on small to medium-sized turbines are limited. These turbines often operate in environments with high turbulence intensity and complex variations in wind speed and direction, necessitating higher reliability for safe operation.
This paper proposes a novel pitch adjustment mechanism applicable to small wind turbines [35]. To verify the feasibility of this device, a prototype model was manufactured and subjected to wind tunnel experiments. This study analyzed the impact of different pitch angles on the power output performance of the small wind turbine, establishing the control rules for pitch angles to achieve constant power output at high wind speeds. Additionally, the actual load borne by the pitch adjustment mechanism was assessed. Given that small and medium-sized wind power generation equipment in distributed grid systems is typically installed at low hub heights and close to the user side, the wind speed and direction variations are more complex, necessitating higher reliability for the safe operation of wind turbines. Wind shear, particularly vertical wind shear, can lead to uneven blade load distribution, increasing the risk of structural instability and fatigue damage, thereby shortening the turbine’s lifespan. Extreme wind conditions, such as gusts exceeding the design wind speed, may cause structural overload, blade damage, or even complete failure, posing significant threats to the safe operation of wind turbines. Consequently, this study employs transient fluid–structure interaction simulations to systematically investigate the structural dynamic response characteristics of the pitch-adjustable wind turbine under three different inflow conditions: uniform inflow, shear inflow, and Extreme Operated Gust (EOG).

2. The Basic Structure of the New Variable Pitch Wind Turbine

Figure 2a,c illustrates the overall structure of the new variable pitch wind turbine, which primarily comprises the pitch control mechanism, the drive mechanism, the generator, and the transmission rod. The generator is equipped with a hollow shaft, and the pitch control mechanism includes a rack connection plate, a pitch bearing, and a gear-rack mechanism. The drive mechanism consists of a worm gear reducer and a thrust bearing. Figure 2b,d provides a schematic of the pitch adjustment structure. When power adjustment is required, the drive mechanism activates the transmission rod, causing the thrust force F of the transmission rod to overcome the blade torque T and move along the hollow shaft of the generator. The transmission rod is connected to the rack connection plate and the rack, driving the axial movement of the rack and the rotation of the gear. The gear, which is fixedly connected to the blade through the pitch bearing, adjusts the pitch angle accordingly.
Furthermore, during the stable operation of the unit, the pitch adjustment structure remains inactive, and the thrust force F of the transmission rod should balance the blade torque T. This pitch adjustment device employs a more reliable gear-rack transmission, simplifying the control logic and reducing the likelihood of mechanical dead points, as compared to the hinged structure described in Reference [2]. Additionally, the manufacturing cost is lower. The new variable pitch wind turbine also features a pitch drive device installed on one side of the nacelle behind the generator. Compared to the actuators mounted on the hub as described in References [3,4], this configuration is more flexible and simplifies the power supply for the drive device.

3. Wind Tunnel Experiment

3.1. Objectives and Introduction to the Wind Tunnel Experiment

The primary objective of the wind tunnel experiment for the novel variable pitch wind turbine is to test its rotational speed and output power under different pitch angles. Additionally, the experiment aims to assess the loads experienced by the pitch adjustment mechanism, thereby providing a basis for subsequent simulation studies. The wind tunnel used for this experiment is the HF-1 large-scale multi-purpose recirculating wind tunnel provided by Huifeng Energy Technology Co., Ltd. in Zibo, China.
The wind tunnel has a centerline length of 230 m and a maximum height of 16 m. For the experiment, a 6 m × 6 m open test section was selected, with a test section length of 25 m and a maximum wind speed exceeding 30 m/s. The power section has a maximum power capacity of 450 kW. The swept area of the test wind turbine rotor is 20% of the cross-sectional area of the wind tunnel’s open test section, which meets standard requirements.
Wind speed in the open section is controlled by a variable frequency drive system powered by a motor with a maximum power of 450 kW, allowing for a wind speed range of 2.5 to 30 m/s. Wind speed measurements are taken using a Pitot tube anemometer installed at the outlet. Pitot tube anemometer is manufactured by Shanghai Shourong Industrial Equipment Co., Ltd., located in Shanghai, China. The turbulence intensity at the airflow center in the model area is less than 0.5%, and the temperature rise of the airflow does not exceed 15 °C per hour. The wind tunnel laboratory is depicted in Figure 3.
This wind tunnel is characterized by high-quality flow fields and low energy dissipation. The monitoring and control system of the wind tunnel can measure basic parameters such as wind speed, atmospheric pressure, and temperature, and can adjust wind speed through the variable frequency drive.

3.2. Experimental Prototype and Test Plan

The primary components of the experimental prototype were custom-manufactured by Baotou Tianlong Permanent Magnet Generator Manufacturing Co., Ltd. located in Baotou, China. The generator, a permanent magnet synchronous generator, was specifically designed by an electric motor company. The main shaft was hollowed out, and the basic parameters are listed in Table 1. The finite element model was established on a 1:1 scale based on the prototype model.
Figure 4 illustrates the experimental prototype used in the wind tunnel test. This test marked the first trial for the wind turbine, employing a constant wind speed test. To ensure the safety of the experiment, the wind speed was set between 5 and 16 m/s, and five pitch angles were tested: 6°, 9°, 12°, 15°, and 25°.
The permanent magnet generator in the wind turbine was connected to the load, and load adjustment was achieved by connecting and disconnecting different sizes of load equipment. The data acquisition and analysis system consisted of electronic components such as current transformers, voltage sensors, power transmitters, test chassis, and DAQ data acquisition cards. which were developed by National Instruments Corporation in USA. During the testing process, this system was connected to the load to collect and store parameters such as output voltage and current. The LabVIEW test program panel provided a real-time display of the collected data and processed parameters, including the output power, frequency, and rotational speed of the permanent magnet generator.
For load testing, the IMC load testing system was employed. produced by imc Test & Measurement GmbH in Berlin, Germany. The load measurement for rotating components such as blades was conducted using the DCB8 module of the testing system, with data transmitted wirelessly. The experiment utilized BF350-4FB resistance strain gauges manufactured by AVIC Electromechanical Instrument Co., Ltd., located in Beijing Economic-Technological Development Area, Beijing, China with a resistance value of 350.1 ± 0.3 Ω and a sensitivity coefficient of 2.11% ± 1%. The setup is illustrated in Figure 5.
During the experiment, the generator’s output voltage was maintained at the rated voltage of 56 V by adjusting the load. The output power of the generator and the thrust force of the pitch control mechanism were measured and recorded under various wind speeds and pitch angles. The tested pitch angles were 3°, 6°, 9°, 12°, 15°, and 25°, while the wind speeds were 5, 7, 9, 10, 11, 12, 14, 16, 18, and 20 m/s. To ensure accuracy and reliability, each condition was measured three times, and the average value was taken as the final result.

3.3. Analysis of Output Power Under Different Operating Conditions

Figure 6 illustrates that, when the pitch angle is set to 3°, the output power of the wind turbine exhibits a distinct trend compared to other conditions. Specifically, the power initially increases, then decreases, and subsequently increases again. Notably, at a wind speed of 11 m/s, the output power sharply drops from 987 W at 10 m/s to 675 W, representing a 32% reduction. For pitch angles fixed at 6°, 9°, 12°, 15°, and 25°, the output power is positively correlated with wind speed, increasing sharply as wind speed rises. This behavior is a primary factor compromising the high-wind-speed safety of conventional small fixed-pitch wind turbines.
To explain the abrupt drop in output power at a 3° pitch angle, it is essential to understand the two power regulation methods for variable pitch wind turbines: positive pitch and negative pitch. Positive pitch involves adjusting the pitch angle to reduce the angle of attack, thereby gradually decreasing the lift generated by the blades and controlling the power output. Conversely, negative pitch induces active stall by increasing the angle of attack, causing a significant drop in power output at certain wind speeds due to a small change in pitch angle [36]. The primary reason for the power drop due to stall is the reduction in aerodynamic torque generated by the blades. The stable operation of a wind turbine is a balance between the aerodynamic torque of the blades and the electromagnetic resistance torque of the generator. If the aerodynamic torque increases, the turbine accelerates; if it decreases, the turbine decelerates. We will further explain this phenomenon in the subsequent simulation section.

3.4. Variable Pitch Power Control Law

The ideal output power curve for a variable pitch wind turbine should ensure maximum power output at low wind speeds and maintain the output power at the rated value beyond the rated wind speed through pitch angle adjustment. However, achieving this ideal condition in practical engineering requires frequent actions of the pitch control system, accelerating mechanical wear and increasing maintenance costs. Therefore, in practical applications, it is sufficient to control the output power near the rated value after exceeding the rated wind speed [37]. This study uses a fluctuation range of ±3% as a boundary and employs interpolation and fitting methods based on wind tunnel test data to identify the corresponding pitch angles and wind speeds for maintaining the output power around 1400 W. The results are shown in Table 2. The minimum power value is 1363.25 W at a wind speed of 12 m/s and a pitch angle of 6°, while the maximum power value is 1437.20 W at a wind speed of 14 m/s and a pitch angle of 15°. The relative error between the minimum and maximum output power and the ideal output power is within ±3%.
Based on the wind tunnel test results for different pitch angles and Table 2, the variation of output power and pitch angle with wind speed under full wind speed conditions for the new variable pitch wind turbine is shown in Figure 7. As seen in Figure 7, when the wind speed is below 12 m/s, the wind turbine operates at the optimal pitch angle of 6°, with the output power increasing sharply with wind speed. When the wind speed exceeds 12 m/s, the output power is controlled to remain around 1400 W by adjusting the pitch angle. As the wind speed increases from 12 to 18 m/s in 2 m/s increments, the pitch angle shows a nonlinear growth trend, with values of 6°, 15°, 21°, and 25°, respectively. The pitch angle increment decreases as the wind speed increases. Thus, it can be concluded that the sensitivity of power control to pitch angle changes increases with higher wind speeds for the new variable pitch wind turbine.
Finally, a polynomial fitting method is used to fit the relationship between pitch angle and wind speed for maintaining the output power around 1400 W. The resulting relationship for the constant power output of the new variable pitch wind turbine is expressed by Equation (1):
{ β = 0.01682 V 3 1.08362 V 2 + 24.16381 V 157.12262 R 2 = 0.99992
where β is the pitch angle (°), V is the wind speed (m/s), and R2 is the correlation coefficient used to evaluate the fitting degree of the curve.

3.5. Load Analysis of the Variable Pitch Mechanism

For the wind tunnel load test of the new variable pitch wind turbine with a rotor swept area of 7.35 m2, the load measurement was conducted according to IEC61400-13 [38] mechanical load measurement standards, considering the unique variable pitch structure of the wind turbine. The measurement positions for the rack and rack connection plate of the pitch mechanism are shown in Figure 8. The test measured the load conditions at five different pitch angles, with strain gauges fixed at marked positions on the rack and rack connection plate engagement areas before the test.
The specific measurement positions for key component loads are shown in Figure 8. Strain gauges were installed on the root surface of the gear-rack engagement area to accurately capture the stress response of key components under different conditions.
The primary loads on the variable pitch mechanism of the wind turbine are aerodynamic loads and centrifugal force loads, generating pitch torque. The innovative design of the pitch mechanism concentrates loads mainly on the contact areas between components. Due to structural limitations, strain gauges could not be attached to these areas. Therefore, load tests were conducted on the rack and the rack connection plate components, with load changes reflected by voltage signal values at the measurement points.
Figure 9 shows the voltage signal values at the rack and rack connection plate measurement points under five pitch angles as wind speed varies. The load values at the measurement points increase with the incoming wind speed, with a slower growth trend near the rated wind speed. At the same wind speed, the load at a 9° pitch angle is significantly higher than at other angles. Under the same pitch angle, the load trends at the rack connection plate measurement point and the rack measurement point are consistent, but the load at the rack connection plate measurement point is significantly higher. This is because the load generated by the gear-rack mechanism is mainly concentrated on the engagement surface. To avoid damaging the strain gauge, the actual position of the rack measurement point is on the root surface of the engagement area, and the contact load generated during gear-rack engagement was not measured. The total engagement force at the engagement area generates torque at the rack connection plate measurement point, resulting in a higher load at this point.

4. Numerical Simulation

4.1. Numerical Simulation Modeling and Setup

A three-dimensional model of a pitch-regulated wind turbine was constructed to simulate its structural dynamic response characteristics under different inflow conditions using the fluid–structure interaction module in ANSYS software. The specific methodology involved several steps.
First, a three-dimensional geometric model was established based on the actual structure of the pitch-regulated wind turbine. As show in Figure 10, this model included key components such as blades, tower, pitch adjustment mechanism, drive mechanism, generator, and transmission rod.
The three-dimensional model of the blade, as illustrated in Figure 11, is constructed by importing the three-dimensional coordinate data of the airfoil and utilizing curve commands to generate each blade element. This process involves boundary blending and solidification to ultimately create the blade’s 3D model. The NACA4412 airfoil is selected for the wind turbine blade, which has a total length of 1380 mm and a rotor diameter of 3060 mm. Additionally, to ensure that the gear and rack mechanism accurately reflects real-world connections during structural load analysis, these components are developed parametrically. Initially, the pitch circle, addendum circle, and root circle of the gear are drawn, and the involute tooth profile is generated using the involute equation. The 3D model is then created through extrusion and array commands, with the rack’s 3D model being constructed in a similar manner. Once the 3D models of the components are completed, they are assembled according to their connection relationships. Dynamics simulation is conducted using Creo 8.0, and the results indicate that the mechanism can successfully perform blade pitch adjustment through the rack and pinion system driven by a push rod, with no motion interference observed, thereby validating the structural design’s rationality. The model is saved in “stp” format and imported into the Geometry module of ANSYS Workbench to create the computational domain. The established 3D models of the wind turbine include various pitch angles of 3°, 6°, 9°, 12°, 15°, and 25°.
The simulation process involves importing the complete wind turbine model into the DM module, followed by mesh generation, fluid analysis setup, structural analysis setup, computation, and, finally, result display. The structural analysis is conducted in Transient Structural, while the fluid analysis is performed in Fluent. The System Coupling module is used to link the fluid and structural analyses, facilitating data exchange. In the System Coupling module, the calculation sequence is set to prioritize the fluid field before the structural field. The control for calculation step size specifies a minimum of one iteration and a maximum of five iterations. The data transfer time step is consistent with the time steps for both the fluid and structural field calculations.
The computational domain was set with external stationary region dimensions of length 14D, width 4D, and height H + 2D (where D is the rotor diameter and H is the tower height). The diameter of the rotating region was set to 1.1D, with a distance of 2D from the inlet section. As show in Figure 12.
Figure 13 presents the results of the mesh independence verification for the flow field. In this study, meshes of varying densities—2 million, 2.5 million, 3 million, 4 million, and 5 million—were used to verify mesh independence, using the wind turbine torque at rated wind speed as the criterion. When the mesh size increased from 3 million to 4 million, the torque decreased from 48.8 N to 47.76 N. Beyond approximately 4 million meshes, the difference in calculated torque became negligible. As the mesh size continued to increase, the torque stabilized at around 47.8 N. Consequently, a mesh size of 4 million was selected for simulation. The mesh size for the computational domain was set at 220 mm, with the rotating domain at 45 mm. The mesh on the wind turbine surface was refined to 6 mm, and the average mesh quality was 0.85.
In numerical modeling, the parameter of mesh dimensions exerts a direct influence on both the precision and velocity of computations, while the standard of mesh quality plays a crucial role in determining the overall integrity of simulation outcomes. Various approaches and dimensions of mesh segmentation are adopted for the exterior computational space, the internal rotating region, and the wind turbine’s surface. The computational space utilizes structured meshes, whereas unstructured meshes are chosen for the rotating domain and the refined surface area of the wind turbine.
After conducting computations and assessments, it was noted that the dimensions of the mesh elements in both stationary and rotating zones exhibit minimal influence on the computational outcomes, suggesting that an adequately chosen mesh size suffices. By altering the mesh dimensions and utilizing the torque of wind turbine spindles under consistent operational conditions as a benchmark, the spindle torque attains stability once the mesh count attains 4 million. Hence, taking into account the equilibrium between the precision of calculations, computational burden, and processing velocity, a mesh model consisting of 4 million mesh elements was deemed appropriate.
The k-ω turbulence model, renowned for its robustness, simplicity in resolution, and cost-effectiveness in computation, was chosen for the numerical simulation. Regarding boundary conditions, the inflow direction in the stationary zone was designated as a velocity inlet, while the outlet was configured as a pressure boundary with a zero-relative pressure setting of 0 MPa. The wall boundaries were treated as frictionless, and the junction between the rotating and stationary zones was designated as an interface to streamline data transfer. The rotor’s rotation was modeled using the sliding mesh technique, with transient calculation sub-steps timed according to the rotor’s actual rotational velocity. Each step was allowed a maximum of 50 iterations, and a residual convergence threshold of 1 × 10−3 was established.
To maintain the fidelity of the overall structural load characteristics in the simulation, intricate details in the wind turbine model, including bolt holes, chamfers, and the internal architecture, were judiciously streamlined. This streamlining enhances the efficiency of mesh generation and elevates mesh quality. Hexahedral meshing is utilized for crucial parts like hubs, synchronizer disks, gears, and blade connectors to precisely depict their geometric attributes. For parts with more intricate shapes, such as the generator, push rod, rack, and blades, the tetrahedral mesh partitioning technique is adopted. Furthermore, to achieve a more precise simulation of stress concentration zones, a localized mesh refinement approach was implemented for vital areas like blades and hubs. The outcomes of the structural field meshing are depicted in Figure 14.
This study primarily investigates the stress and displacement responses of key components in a novel pitch-controlled wind turbine. To achieve this, displacement and stress responses are used as key indicators, necessitating a refinement of the mesh in the rotational domain of the wind turbine’s structural field. Additionally, a mesh independence verification is conducted. Table 3 illustrates the impact of varying mesh sizes on the computational results.
As shown in Table 3, when the minimum size of the structural dynamics model is reduced from 18 mm to 15 mm, the displacement responses at the blade tip in the flapwise and edgewise directions increase by 1.211 mm and 0.321 mm, respectively. The stress response increases by 0.306 MPa. When the minimum mesh size is further reduced to 12 mm, the displacement responses at the blade tip in the flapwise and edgewise directions increase by 0.267 mm and 0.07 mm, respectively, while the stress response at the leading edge of the blade increases by 0.521 MPa. The further reduction in the minimum mesh size below 12 mm results in changes of less than 0.01 in the displacement responses at the blade tip in both directions and in the equivalent stress at the leading edge, indicating that the structural dynamic response characteristics tend to stabilize. Considering both computational speed and accuracy, a minimum mesh size of 12 mm with a mesh count of 641,200 is selected for simulating the structural dynamic response.
In simulating the actual loading conditions of the wind turbine, gravity loads are applied to the entire wind turbine, and centrifugal force loads are applied to the rotor. The blade pitch bearings are subjected to “Cylindrical Support,” the rack of the pitch mechanism is subjected to “Frictionless Support”, and the tail end of the push rod is subjected to “Fixed Support”. Additionally, “Fixed Support” is applied at the base of the tower. The time step and total simulation duration in the structural field simulation settings must align with those in the flow field settings. Figure 15 illustrates the constraint conditions for the novel pitch-controlled wind turbine.
The blades were made of a wood composite material with a density of 0.9 g/cm3, an elastic modulus of 15 GPa, and a Poisson’s ratio of 0.3. Components such as the rack and synchronous fork were made of 45# high-quality carbon structural steel, with a density of 7.85 g/cm3, an elastic modulus of 210 GPa, and a Poisson’s ratio of 0.269. For constraint conditions, gravity loads were applied to the entire wind turbine, and centrifugal loads were applied to the rotor. Cylindrical supports were applied to the pitch bearings of the blades, frictionless supports to the rack of the pitch mechanism, fixed supports to the tail of the push rod, and fixed supports to the base of the tower.

4.2. Comparison and Validation of Numerical Simulation and Wind Tunnel Experiment

The numerical simulation results of the pitch adjustment mechanism were compared with the experimental results and with the simulation data based on the actual measurement points in the wind tunnel experiment. The equivalent stress at the corresponding measurement points on the rack was used for the numerical simulation results. The comparison of experimental and simulation values under different conditions is shown in Figure 16. It can be observed that the overall trend of the rack stress response is consistent with the experimental values and is negatively correlated with the pitch angle. As the inflow wind speed increases, the average simulated stress at the rack measurement points per rotation cycle gradually increases. However, there are certain discrepancies between the simulated and experimental stress responses of the rack. Specifically, at a wind speed of 12 m/s, the differences for pitch angles of 9° and 12° are 10.03% and 11.39%, respectively. At a wind speed of 14 m/s, the difference for a pitch angle of 15° is 10.24%, and at a wind speed of 16 m/s, the difference for a pitch angle of 12° is 10.43%.
Several factors contribute to the discrepancies between the numerical simulation and experimental results. Firstly, the choice of turbulence model in the transient fluid–structure interaction module (Fluent) differs from the actual turbulence conditions in the wind tunnel. This discrepancy arises because the turbulence models used in simulations often involve assumptions and simplifications that may not fully capture the complex real-world turbulent flows experienced in the wind tunnel environment.
Secondly, the rotational speed data in the experiment are based on the average value under constant wind speed and stable rotor operation, leading to differences in the aerodynamic and centrifugal loads applied in the transient dynamics module compared to the wind tunnel experiment.
Additionally, the finite element simulation model is idealized and does not account for the assembly errors of various components. In real-world experiments, minor misalignments, material inconsistencies, and assembly imperfections can occur, which are often ignored in the simulation model. These idealized models assume perfect conditions that rarely occur in practice, thereby introducing discrepancies when comparing them with experimental results.
Furthermore, the transient dynamics analysis in simulations involves setting specific load and boundary conditions, which may not precisely replicate the experimental setup. Despite these factors, the overall difference between the experimental and simulation values is around 10%, indicating a relatively small discrepancy. This discrepancy is acceptable within engineering tolerances and validates the accuracy of the load and constraint settings used in the transient dynamics analysis.
In the operation of wind turbine rotors, the rotational power is determined by the pressure differential across the airfoil surfaces, which is closely linked to the flow characteristics of the airfoil. When natural wind flows over the blade surface, the angle formed between the direction of the relative wind speed and the airfoil chord line is known as the angle of attack. Variations in the angle of attack significantly influence the flow characteristics over the airfoil surface. As depicted in Figure 17, the flow characteristics under two different angles of attack are illustrated. In Figure 17a, the airfoil exhibits a smaller angle of attack, resulting in airflow that adheres closely to the surface, thereby enhancing the aerodynamic performance of the blade. Conversely, in Figure 17b, a larger angle of attack causes the airflow to detach from the surface at the trailing edge on the leeward side, leading to the formation of irregular separation vortices and flow separation. This phenomenon results in blade stall and a decline in aerodynamic performance. The closer the flow separation point is to the leading edge, the larger the stall region becomes, further deteriorating the airfoil’s aerodynamic efficiency.
During wind tunnel experiments with a novel variable pitch wind turbine, it was observed that, when the blade pitch angle was set to 3°, the turbine’s power output significantly decreased once the incoming wind speed exceeded 11 m/s. To rationalize the aerodynamic characteristics of the blades under this pitch angle, a flow field simulation was conducted using the ANSYS CFX module, reflecting the aerodynamic properties during turbine operation. Figure 18 presents the streamlines on the leeward side of the blade at a 3° pitch angle under varying wind speeds.
From Figure 18a, it is evident that, at a wind speed of 7 m/s, the streamlines on the leeward side of the blade adhere well, with only minor lateral flow occurring at the blade root, and no flow separation is observed elsewhere. As the wind speed increases, lateral flow begins to emerge progressively from the blade root towards the tip, leading to flow separation at the blade element sections. The higher the wind speed, the larger the lateral flow region on the blade becomes, with the flow separation line moving closer to the leading edge, thereby expanding the stall region. At a wind speed of 9 m/s, noticeable flow separation occurs at both the root and mid-span regions, although the primary power-producing tip region remains unaffected. However, beyond a wind speed of 11 m/s, lateral flow is observed across the entire leeward surface, with varying degrees of flow separation occurring at the blade element sections, resulting in blade stall. This is the primary reason for the observed power output reduction in the wind tunnel experiments at a 3° pitch angle and wind speeds exceeding 11 m/s.

4.3. Stress Characteristics Analysis and Strength Verification of Pitch Control Mechanism Components Under Uniform Inflow Conditions

To ensure the safe operation of the pitch control mechanism under extreme conditions, the initial load conditions should be based on the wind turbine operating at an over-rated power. Additionally, it is crucial to identify the hazardous operating conditions of the wind turbine under high wind speeds for the strength verification of each component. Therefore, a high wind speed of 16 m/s was selected for analysis.
Through static analysis, the stress distribution of the hub and pitch control mechanism under different conditions was obtained, and the maximum stress was analyzed.
Figure 19 shows the maximum stress contour of the hub. The figure indicates that, under various loads, the hub exhibits certain stress concentration phenomena. The maximum stress of the hub occurs in the transition area between the hub body and the blade flange, with a maximum stress value of 17.38 MPa.
Figure 20 shows the maximum stress contour of the rack connection plate. The maximum stress of the rack connection plate is 5.37 MPa.
Figure 21 illustrates the maximum stress contour of the blade connector. The maximum stress of the blade connector is 25.04 MPa.
Figure 22 presents the maximum stress contour of the gear-rack mechanism. The figure shows that multiple teeth engage during gear transmission, with stress concentration occurring mainly on the gear teeth. The maximum equivalent stress obtained from the analysis is 28.83 MPa.
In Figure 23, the contour of contact stress on the gear surface is displayed. The peak contact stress manifests on the gear surface that initiates contact with the rack, forming a band across the tooth width, reaching a maximum of 38.40 MPa. Conversely, Figure 24 depicts the contour of bending stress at the gear root. The bending stress of the gear teeth is predominantly governed by the tensile force arising from the torque in the gear’s tangential direction. Consequently, the equivalent stress on the tensile portion of the gear root serves as the foundation for assessing the bending stress at the gear root, with a maximum bending stress value of 18.13 MPa.
As depicted in Figure 25 and Table 4., the peak stress values for each component exhibited a decline as the pitch angle increased. It is noteworthy that, at any given pitch angle, the gear’s maximum stress was considerably greater than that of the other components. More specifically, as the pitch angle rose, the maximum stress in the gear dropped from 27.42 MPa to 7.64 MPa, marking a 72.1% reduction. In a similar fashion, the maximum stress in the rack decreased from 21.20 MPa to 5.75 MPa, representing a 72.9% decline. The hub saw a reduction in maximum stress from 17.83 MPa to 5.75 MPa, which translates to a 72.8% decrease. Furthermore, the maximum stress in the blade connector fell from 25.04 MPa to 6.88 MPa, marking a 72.5% reduction. These findings suggest that, as the pitch angle increased, the maximum stress values for all components decreased in a relatively uniform manner.
In summary, this section conducted a strength verification for each component of the pitch adjustment mechanism. The verification formula is presented in Equation (2).
σ m a x < σ 0 / n
In the equation, σmax represents the maximum equivalent stress value of each component (MPa), while σ0 denotes the yield strength of the material (MPa). The safety factor, n, is determined according to the IEC 61400-2 standards [39] for small wind turbine design. Specifically, a safety factor of 1.25 is used for fatigue strength verification, and a factor of 1.1 is applied for ultimate strength verification [37]. Based on the maximum equivalent stress values of each component under various working conditions, the strength verification results are summarized in Table 5.
The data presented in the table indicate that the maximum stresses experienced by each component of the hub and pitch adjustment mechanism are significantly lower than the allowable yield strength of the materials used, thereby confirming the safety of these components. Within the pitch adjustment mechanism, the gear-rack mechanism and the pitch bearing stand out as distinct from the other components. The gear-rack mechanism, in particular, serves as the primary transmission component, which is primarily responsible for bearing the blade pitch torque load. Consequently, future research will focus predominantly on the gear-rack mechanism [35].

4.4. Analysis of Structural Dynamic Response of Pitch-Controlled Wind Turbine Under Shear Inflow Conditions

Wind speed distribution mainly includes exponential and logarithmic forms. The exponential rate distribution is favored for its simplicity in calculating wind profiles, and most current studies also tend to use exponential rate distribution to depict the variation of average wind speed with height. Therefore, this study introduces the classical atmospheric exponential wind profile model to construct a wind shear mathematical model, defining the characteristics of wind shear inflow variation along the vertical direction. The specific expression is as follows:
U i n ( z ) = U ( z ) = U r e f ( z Z r e f ) α
where Uin is the wind speed at height z (m/s), z is the height of the varying wind speed (m), Zref is the tower height (5.5 m), Uref is the known wind speed at Zref (6 m/s), and α is the wind shear index.
The wind shear index measures the change in wind speed with height and is related to the location, terrain, topography, and roughness where the wind turbine is situated. The shear index can be classified into five levels: very small (<0), small (0–0.1), moderate (0.1–0.2), large (0.2–0.3), and very large (>0.3). Since the shear index has a minor impact on the structural dynamic response of the key components of pitch-controlled wind turbines within a small range, this study investigates shear inflows with a shear index of 0, 0.2, 0.3, and 0.4 (where a shear index of 0 represents uniform inflow).
The boundary conditions are set similarly to the uniform inflow wind condition simulation, with the difference being in the boundary condition settings at the inlet. This study compiles a custom wind shear inflow function (UDF) to implement shear inflow at the velocity inlet. To verify the accuracy of the UDF velocity inlet compilation, the theoretical values of wind profile functions with different shear indexes were obtained, as shown in Figure 26. It can be seen that the wind speed increases with the height of the vertical inflow wind direction, and, at the same height, the inflow wind speed increases with the shear index. Figure 27 compares the theoretical values with the monitored values for a wind speed model with a shear index of 0.2, showing a high degree of agreement, thus verifying the accuracy of the UDF-compiled shear inflow model.
Under shear inflow conditions, the wind speed varies with height, leading to uneven load distribution on key components of the wind turbine. Numerical simulation results show that, with an increase in the shear index, the stress response at the gear root significantly increases. For example, with a pitch angle of 6°, when the shear index increases from 0 to 0.4, the average stress response at the gear root increases by 26.81%, and the standard deviation increases by 16.14%. This indicates that shear inflow significantly affects the structural dynamic response of wind turbines and needs to be considered in actual design. The uneven load distribution caused by shear inflow is transmitted to the gear-rack mechanism connected to the blade connector, accelerating fatigue damage and reducing the service life of the wind turbine. To understand the impact of shear inflow on the pitch control mechanism, stress response contours were extracted for analysis. Similar to uniform inflow, the stress response under this wind condition is concentrated at the gear root.
To further study the impact of shear inflow on the stress response at the gear root, time–history curves of the stress response at the gear root under different conditions with a shear index of 0, 0.2, 0.3, and 0.4 were extracted, along with the average and standard deviation of the stress response at the gear root within a wind wheel rotation cycle. Figure 28 shows the time–history curves of the stress response at the gear root under different shear indexes. The data indicate that, with the increase in pitch angle, the stress response at the gear root decreases. For example, under a shear inflow with a shear index of 0.4, as the pitch angle increases from 6° to 15°, the stress response at the gear root decreases from 14.441 MPa to 8.879 MPa, marking a reduction of 49.60%. Therefore, increasing the pitch angle under shear inflow conditions can effectively reduce the load on the pitch control mechanism. Additionally, under the same pitch angle condition, an increase in the shear index leads to an increase in the amplitude of stress fluctuations at the gear root. For example, with a pitch angle of 6°, when the shear index increases from 0.2 to 0.4, the stress increases by 16.93%.
Figure 29 shows the stress response characteristics at the gear root within a rotation cycle under different shear indexes. The figure clearly shows that, under different shear index conditions, the average and standard deviation of the stress response at the gear root are positively correlated with the pitch angle. For example, under a shear inflow condition with a shear index of 0.4, the average stress response at the gear root decreases from 11.594 MPa to 6.86 MPa, marking a reduction of 40.83%, and the standard deviation decreases from 1.653 to 0.942, marking a reduction of 43.01%. This indicates that adjusting the pitch angle can effectively reduce the stress response level at the gear root and decrease its stress fluctuation range, thereby improving the stability and reliability of the pitch control mechanism.
Upon further analysis of the data presented in the figure, it becomes evident that, under the same pitch angle conditions, the mean value and standard deviation of the stress response at the gear root increase with the shear index. For instance, under a 6° pitch angle, the mean stress response at the gear root increases by 3.04%, 6.23%, and 26.81% for a shear index of 0.2, 0.3, and 0.4, respectively, compared to uniform inflow conditions. Correspondingly, the standard deviation increases by 2.58%, 7.28%, and 16.14%. This phenomenon can be attributed to wind shear, which causes uneven vertical wind speed variations, leading to non-uniform aerodynamic loads on the wind turbine. Consequently, this results in localized force increases and an elevated pitch moment transmitted to the gear root. Additionally, the increased wind pressure associated with a higher shear index further amplifies the aerodynamic loads on the wind turbine, making the stress response under a shear index of 0.4 significantly higher than that under uniform inflow. The notable increase and fluctuation in the stress response levels of the pitch adjustment mechanism under high wind shear conditions warrant serious consideration.

4.5. Analysis of Structural Dynamic Response of Pitch-Controlled Wind Turbine Under EOG

The wind exhibits turbulent characteristics, with both wind direction and wind speed undergoing constant fluctuations, even within very short periods. A sudden change in wind speed by 50% or more over a brief time span is typically referred to as a gust [40]. From a safety perspective, wind turbine design must not only focus on conventional performance metrics, but also fully account for the potential impacts of extreme wind conditions. To optimize the effectiveness of wind turbine design, the IEC61400-1 standard [41] classifies wind turbines based on wind speed and turbulence intensity [42]. This classification method has significantly enhanced the applicability of wind turbines, extending their suitability beyond specific site conditions. The basic parameters for wind turbine classification are detailed in Table 6.
The EOG model is capable of simulating changes in Extreme Operated Gust wind speeds over a 1-year recurrence period or 50-year recurrence period at a specified height, given known parameters such as hub height, wind speed at hub height, wind wheel diameter, wind shear index, normal safety level, and turbulence type. The accurate simulation and prediction of EOG are particularly crucial in the design and performance evaluation of wind turbines. Both the IEC standard and the GL standard define the EOG model, underscoring its importance [41,43]. Specifically, the IEC61400-1 standard’s EOG model is employed to simulate and predict wind turbine performance under EOG conditions more accurately, thereby providing a critical basis for design, optimization, and operation. The parameters in the turbulence model are essential for describing wind conditions. For standard wind turbine grades, the standard deviation of turbulence and the longitudinal turbulence scale parameter Λ1 can be calculated and determined using Equations (4) and (5). The gust amplitude at hub height is then calculated using Equation (6) [44].
σ 1 = I 15 ( 15 + a v h u b ) / ( a + 1 )
Λ 1 = { 0.7 z h u b z h u b < 30   m 21 z h u b > 30   m
In this equation, ‘I15’ represents the turbulence intensity at 15 m/s, ‘a’ is the slope, ‘Zhub’ is the hub height, and v h u b is the 10 min average wind speed at the hub height.
v g u s t = M i n { 1.35 ( V e 1 V h u b ) ; 3.3 ( σ 1 1 + 0.1 D Λ 1 ) }
In this equation, N = 1, β = 4.8; n = 50, β = 6.4; Λ1 is the turbulence scale parameter; D is the diameter of the wind wheel; and σ 1 is the standard deviation of turbulent wind speed.
EOG is calculated as in Equation (7).
v ( z , t ) = { v ( z ) 0.37 V g u s t 1 sin ( 3 π t / T ) ( 1 cos ( 2 π t / T ) 0 t T v ( z ) t < 0 , t > T
v ( z ) = v h u b ( z / z h u b ) α
In this equation, v(z) is the vertical shear function of velocity; t is a gust cycle; the 1-year recurrence period EOG = 10.4 s and the 50-year recurrence period EOG T50 = 14 s; and α is the wind shear index.
This simulation selects the rated wind speed of 12 m/s at the hub height. The wind turbine grade is IA, with a turbulence intensity characteristic value I15 = 0.18 and a slope a = 2. The turbulence scale parameter Λ1 is 21 m, with gust amplitudes Vgust1 = 4.156 m/s and Vgust50 = 5.528 m/s. From Equations (7) and (8) and the provided data, the calculation formula for the EOG 1-year recurrence period and EOG 50-year recurrence period can be derived.
V ( z , t ) = { 12 ( z / 7 ) 0.2 1.53772 sin ( 3 π t / 10.5 ) ( 1 cos ( 2 π t / 10.5 ) ) 0 t 10.5 12 t > 10.5
V ( z , t ) = { 12 ( z / 7 ) 0.2 2.0454 sin ( 3 π t / 14 ) ( 1 cos ( 2 π t / 14 ) ) 0 t 14 12 t > 14
Using Fluent 21.0, UDF programs were written for the 1-year recurrence period and 50-year recurrence period EOG models. To verify the accuracy of the compiled program, CFD simulations were completed in the Fluent module, and the speed at the entrance was monitored. Figure 30 shows the comparison between the theoretical and monitored values of EOG. The data in Figure 30 indicate that the incoming flows exhibit the typical characteristics of decreasing, then increasing, and then decreasing for both the 1-year recurrence period and 50-year recurrence period EOG models. For the 1-year recurrence period EOG, the wind speed reaches a minimum of 10.85 m/s at 2.51 s and 7.92 s, a maximum of 15.14 m/s at 5.25 s, and returns to the initial wind speed of 12 m/s at 10.2 s. For the 50-year recurrence period EOG, the minimum value is 10.066 m/s at 3.27 s and 10.74 s, the maximum value is 15.42 m/s at 7.02 s, and the initial wind speed is restored at 13.6 s. The theoretical values in the graphs are in high agreement with the monitored values, proving the accuracy of the UDF procedure [44].
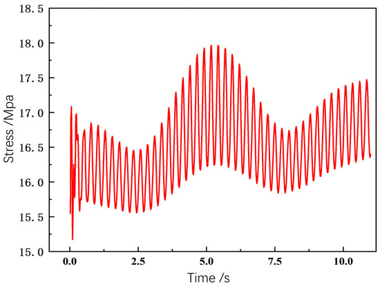
Under extreme wind conditions, the pitch control mechanism of wind turbines experiences significant loads. This is particularly true for mechanisms with a gear and rack structure, which are characterized by high energy transmission efficiency and low power response dissipation rates. These conditions can easily lead to structural fatigue and wear during gust cycles, thereby affecting the strength and stiffness of the structure and negatively impacting the wind turbine’s performance. To provide a clearer understanding of the dynamic structural response characteristics of key components in a new type of pitch-controlled wind turbine under EOG conditions, the stress response time history curve at the gear root for a 1-year recurrence period EOG condition is presented, as shown in Figure 31.
The data in the figure illustrate the stress response time history curve of the pitch adjustment mechanism under the condition of a 6° pitch angle. The stress response is significantly influenced by the severe fluctuations in the wind turbine torque, with the overall amplitude of fluctuations mirroring the changes in the wind speed time history curve. This pattern exhibits an initial increase, followed by a decrease, then another increase, and a subsequent decrease. After 0.6 s, the stress fluctuations at the gear root diminish. During the initial phase of the gust, the amplitude of stress fluctuations at the gear root decreases by 9.56%. Subsequently, the stress at the gear root reaches its peak value of 17.934 MPa within the gust period at 5.12 s. Thereafter, the amplitude of stress response fluctuations decreases to 16.743 MPa at 8.02 s before beginning to increase again. In the latter half of the gust period, the amplitude of stress response fluctuations is greater than in the first half. This is primarily due to the prolonged exposure of the gear to EOG, which induces fatigue or deformation in the structure, thereby reducing its stiffness and making the pitch adjustment mechanism more sensitive to extreme wind conditions, resulting in larger stress response fluctuations. In summary, the impact of EOG on the gear-rack structure of wind turbines is significant, not only causing severe stress response fluctuations, but also leading to structural fatigue and deformation. Therefore, it is imperative to fully consider the effects of extreme wind conditions on the gear-rack structure in the design and operation of wind turbines and to implement measures to enhance the strength and stiffness of the structure to ensure the safe and stable operation of wind turbines.
The comparison of the maximum stress response at the gear root under two EOG conditions is shown in Table 7. The data in the table indicate that the maximum stress response of the pitch adjustment mechanism decreases with an increase in pitch angle. As the pitch angle increases from 6° to 15°, the maximum stress at the gear under the 1-year recurrence period EOG condition decreases from 16.55 MPa to 14.01 MPa, marking a reduction of 15.35%. Under the 50-year recurrence period EOG condition, the maximum stress at the gear decreases from 17.82 MPa to 15.18 MPa, marking a reduction of 22.99%. The maximum stress at the tower decreases from 1.745 MPa to 1.512 MPa, marking a reduction of 13.35%. By appropriately adjusting the pitch angle when encountering extreme wind conditions in nature, the stress response experienced by the gear can be effectively reduced, thereby enhancing the structural safety and operational stability of the wind turbine. In practical engineering, the pitch angle control system can be improved to increase the system’s response speed and adjustment precision, thereby enhancing the operational stability and safety of the wind turbine under extreme wind conditions.
The time–domain curve of the structural dynamic response under EOG conditions is extracted for a specific wind speed and compared with the structural dynamic response of key components under the same wind speed in uniform inflow conditions. This further reveals the impact of dynamic wind loads on the structural dynamic response of the new type of pitch-regulated wind turbine. Five different moments are extracted, with wind speeds of 12 m/s at moments a and c, 14 m/s at moments b and e, and a wind speed corresponding to the 1-year recurrence period EOG speed of 14.8 m/s at moment d. The ratio of the structural dynamic response under different inflow conditions is obtained by using the average dynamic response within a unit rotation period of the wind turbine under uniform inflow conditions as the denominator and the stress response at a specific wind speed moment under EOG conditions as the numerator. The comparison of gear root stress responses under the two wind conditions is shown in Figure 32. The data in the figure indicate that the stress response ratios at the gear root at moments a and b are 1.64 and 1.41, respectively, and, at moments d and e, the ratios are 1.42 and 1.72, respectively. The stress response ratio at the gear root at moment c is 1.56. The ratios at the same wind speed moments in the latter half are significantly greater than those in the first half (moment a compared to moment e; moment b compared to moment d), indicating that the gear root experiences greater stress under gust conditions. Additionally, in the latter half, due to the gear being subjected to gusts for a period, fatigue phenomena occur, reducing its stiffness and, ultimately, leading to increased stress. This demonstrates that the impact of rapidly changing wind speeds on the stress response of the pitch adjustment mechanism cannot be ignored.

5. Conclusions

This study conducted wind tunnel experiments on a novel designed pitch-regulated wind turbine and derived the following main conclusions:
  • Wind tunnel tests on the prototype model of the novel designed pitch-regulated wind turbine demonstrated its safety and reliability across all tested wind speeds ranging from 5 to 20 m/s. This validates the feasibility of applying the new pitch mechanism for power and load control in small wind turbines. Notably, the new pitch-regulated wind turbine exhibited a sudden drop in output power at a pitch angle of 3° and a wind speed of 11 m/s, decreasing from 987 W at 10 m/s to 675 W, representing a 32% power reduction. The optimal output performance was observed at a pitch angle of 6°.
  • Under varying wind speed conditions, the output power of the wind turbine showed an approximately linear decrease with increasing pitch angle. Using interpolation and fitting methods based on wind tunnel experimental data, a relationship was established between wind speed and pitch angle when the output power was controlled at approximately 1400 W.
  • The maximum stress values of all components decreased with increasing pitch angles. At the same pitch angle, the maximum stress on the gear was significantly higher than on other components. Specifically, the maximum stress of the gear decreased from 27.42 MPa to 7.64 MPa, marking a reduction of 72.1%; the maximum stress of the rack decreased from 21.20 MPa to 5.75 MPa, marking a reduction of 72.9%; the maximum stress of the hub decreased from 17.83 MPa to 5.75 MPa, marking a reduction of 72.8%; and the maximum stress of the blade connector decreased from 25.04 MPa to 6.88 MPa, marking a reduction of 72.5%. These results indicate that the percentage reduction in maximum stress values across different pitch angles is remarkably consistent for all components.
  • As the pitch angle increases, the dynamic response of the gear structure attenuates, and the degree of pulsation decreases. For instance, at a wind speed of 14 m/s, increasing the pitch angle from 6° to 15° resulted in an average reduction of 35.11% in gear root stress. Under shear inflow conditions, the dynamic response of the new pitch-regulated wind turbine’s structure is similar to that under uniform inflow. The gear root stress fluctuates irregularly, with the response amplitude during the rotor’s rotation cycle being greater than that under uniform inflow. An increase in the shear index is positively correlated with the mean and standard deviation of the gear response. For example, at a pitch angle of 6°, the average increase in gear root stress response was 37.3%. Under EOG, the fluctuations caused by a 50-year recurrence period EOG are more significant compared to a 1-year recurrence period EOG. The gear root stress response aligns with wind speed changes, but the stress peak appears earlier. In the latter half of the gust, the stress response increases due to fatigue. Adjusting the pitch angle can reduce the load on critical components; as the pitch angle increases, the structural dynamic response decreases.
  • Under EOG conditions, the structural dynamic response of critical components in the new pitch-regulated wind turbine is significantly higher than under uniform inflow conditions. For example, the dynamic response of the gear structure at five different moments was markedly higher than under uniform inflow, with the maximum stress ratio reaching 1.87 under the same wind speed conditions. Such extreme wind conditions have a considerable impact on the loading of critical wind turbine components. The pitch regulation mechanism can reduce the stress generated by its structure through multi-stage optimization methods, thereby decreasing its mass and enhancing its structural and economic performance.
However, due to limitations in research conditions, time, and expertise, this study has areas that require further investigation:
  • Further numerical simulations and comparative studies are needed to determine the impact of pitch angle and various inflow conditions on the wind turbine’s fatigue life.
  • Compared to other types of pitch-regulated wind turbines, the new pitch-regulated wind turbine features a highly reliable rack and pinion mechanism with unique structural characteristics. Comparative studies on the structural dynamic response with conventional wind turbines were not implemented. Therefore, further exploration of the stress response characteristics of the pitch regulation mechanism through comparisons with other pitch-regulated wind turbines is necessary.
  • During actual operation, the pitch angle of the new pitch-regulated wind turbine changes over time. The numerical simulations in this study were conducted under uniform and shear inflow conditions with a fixed pitch angle. Under EOG conditions, the dynamic changes in wind speed resulted in only slight alterations in the pitch angle. Overall, the transient dynamics module did not adequately simulate the rotational motion of the gear mechanism and the axial motion of the rack mechanism to achieve pitch angle changes. Therefore, further refinement of the relevant numerical simulations is required in subsequent studies.

Author Contributions

Conceptualization, D.B. and Z.S.; methodology, Z.S. and C.L.; software, Z.S.; validation, C.L., A.J. and D.B.; formal analysis, Z.S.; investigation, Q.H. and Y.L.; writing—original draft preparation, Z.S.; writing—review and editing, D.B., A.J. and S.Z.; funding acquisition, D.B.; data curation Q.H.; visualization Y.L. All authors have read and agreed to the published version of the manuscript.

Funding

This research was funded by National Natural Science Foundation of China (grant No. 52266013), the Major Special Project of Scientific and Technological Cooperation in Ordos (grant No. 2021EEDSCXQDFZ009), and the Inner Mongolia Autonomous Region “Listed and Commanded” Project (grant No. 2024JBGS0025).

Data Availability Statement

Data are contained within the article.

Conflicts of Interest

Author Yongshui Luo was employed by the Yunda Energy Technology Group Co., Ltd., Shaohua Zhang was employed by the Inner Mongolia Hengdong Group Huilong Coal Co., Ltd. The remaining authors declare that the research was conducted in the absence of any commercial or financial relationships that could be construed as a potential conflict of interest.

References

  1. Lumbreras, C.; Guerrero, J.M.; García, P.; Briz, F.; Reigosa, D.D. Control of a Small Wind Turbine in the High Wind Speed Region. IEEE Trans. Power Electron. 2016, 31, 6980–6991. [Google Scholar] [CrossRef]
  2. Xie, W.; Zeng, P.; Lei, L.P. Wind Tunnel Experiments for Innovative Pitch Regulated Blade of Horizontal Axis Wind Turbine. Energy 2015, 91, 1070–1080. [Google Scholar] [CrossRef]
  3. Sung, C.M.; Han, M.C. Design and Performance Evaluation of Hinge Type Pitch Control System in Small-Size Wind Turbine. Int. J. Precis. Eng. Manuf.-Green Technol. 2016, 3, 335–341. [Google Scholar] [CrossRef]
  4. Chen, Y.-J.; Shiah, Y.-C. Experiments on the Performance of Small Horizontal Axis Wind Turbine with Passive Pitch Control by Disk Pulley. Energies 2016, 9, 353. [Google Scholar] [CrossRef]
  5. Dong, Y.; Rao, K.; Chen, J.; Xu, M.; Zhang, X.; Guo, J. Development and Application of a Simple and Reliable Power Regulator for Small-Scale Island Wind Turbine. Electr. Power Compon. Syst. 2017, 45, 1253–1264. [Google Scholar] [CrossRef]
  6. Rocha, P.C.; de Araujo, J.C.; Lima, R.P.; da Silva, M.V.; Albiero, D.; de Andrade, C.F.; Carneiro, F.O.M. The Effects of Blade Pitch Angle on the Performance of Small-Scale Wind Turbine in Urban Environments. Energy 2018, 148, 169–178. [Google Scholar] [CrossRef]
  7. Meng, H.; Ma, Z.; Dou, B.; Zeng, P.; Lei, L. Investigation on the Performance of a Novel Forward-Folding Rotor Used in a Downwind Horizontal-Axis Turbine. Energy 2020, 190, 116384. [Google Scholar] [CrossRef]
  8. Kallesøe, B.S. Equations of Motion for a Rotor Blade, Including Gravity, Pitch Action and Rotor Speed Variations. Wind Energy 2007, 10, 209–230. [Google Scholar] [CrossRef]
  9. Acar, G.D.; Feeny, B.F. Bend-Bend-Twist Vibrations of a Wind Turbine Blade. Wind Energy 2018, 21, 15–28. [Google Scholar] [CrossRef]
  10. Wang, W.X.; Matsubara, T.; Hu, J.; Odahara, S.; Nagai, T.; Karasutani, T.; Ohya, Y. Experimental Investigation into the Influence of the Flanged Diffuser on the Dynamic Behavior of CFRP Blade of a Shrouded Wind Turbine. Renew. Energy 2015, 78, 386–397. [Google Scholar] [CrossRef]
  11. Wu, R.; Zhang, D.; Yu, Q.; Jiang, Y.; Arola, D. Health Monitoring of Wind Turbine Blades in Operation Using Three-Dimensional Digital Image Correlation. Mech. Syst. Signal Process. 2019, 130, 470–483. [Google Scholar] [CrossRef]
  12. Baqersad, J.; Niezrecki, C.; Avitabile, P.; Slattery, M. Dynamic Characterization of a Free-Free Wind Turbine Blade Assembly. In Special Topics in Structural Dynamics, Volume 6: Proceedings of the 31st IMAC, A Conference on Structural Dynamics, 2013; Springer: Berlin/Heidelberg, Germany, 2013. [Google Scholar]
  13. Baqersad, J.; Niezrecki, C.; Avitabile, P. Full-Field Dynamic Strain Prediction on a Wind Turbine Using Displacements of Optical Targets Measured by Stereophotogrammetry. Mech. Syst. Signal Process. 2015, 62, 284–295. [Google Scholar] [CrossRef]
  14. Raihan, G.A.; Chakravarty, U.K. Fluid-Structure Interaction Model of a Wind Turbine Blade. In ASME International Mechanical Engineering Congress and Exposition; American Society of Mechanical Engineers: New York, NY, USA, 2023. [Google Scholar]
  15. Wang, B.; Li, Y.; Gao, S.; Shen, K.; Zhao, S.; Yao, Y.; Zhou, Z.; Hu, Z.; Zheng, X. Stability Analysis of Wind Turbine Blades Based on Different Structural Models. J. Mar. Sci. Eng. 2023, 11, 1106. [Google Scholar] [CrossRef]
  16. Yassen, E.S.Y.; Abdelhameed, A.S.; Elshorbagy, K.A. An Examination of Hub Wind Turbine Utilizing Fluid-Structure Interaction Strategy. Alex. Eng. J. 2023, 64, 1–11. [Google Scholar] [CrossRef]
  17. Fernandez, G.; Usabiaga, H.; Vandepitte, D. An Efficient Procedure for the Calculation of the Stress Distribution in a Wind Turbine Blade under Aerodynamic Loads. J. Wind. Eng. Ind. Aerodyn. 2018, 172, 42–54. [Google Scholar] [CrossRef]
  18. Santo, G.; Peeters, M.; Van Paepegem, W.; Degroote, J. Dynamic Load and Stress Analysis of a Large Horizontal Axis Wind Turbine Using Full Scale Fluid-Structure Interaction Simulation. Renew. Energy 2019, 140, 212–226. [Google Scholar] [CrossRef]
  19. Seralathan, S.; Sai, S.Y.S.; Teja, B.S.; Viswanadh, M.S.; Rao, C.N.; Hariram, V.; Premkumar, T.M. Static Structural Analysis of Cross Flow Vertical Axis Wind Turbine. Mater. Today Proc. 2020, 33, 3630–3639. [Google Scholar] [CrossRef]
  20. Goroshko, I.O.; Zhuk, Y.A.; Fallah, A.S.; Sareh, P. Dynamic Behavior of Composite Wind Turbine Blades with Different Material Combinations: A Numerical Study. Int. Appl. Mech. 2021, 57, 635–643. [Google Scholar] [CrossRef]
  21. Sayed, M.; Lutz, T.; Krämer, E.; Shayegan, S.; Wüchner, R. Aeroelastic Analysis of 10 MW Wind Turbine Using CFD–CSD Explicit FSI-Coupling Approach. J. Fluids Struct. 2019, 87, 354–377. [Google Scholar] [CrossRef]
  22. Lee, Y.J.; Jhan, Y.T.; Chung, C.H. Fluid–Structure Interaction of FRP Wind Turbine Blades under Aerodynamic Effect. Compos. Part B Eng. 2012, 43, 2180–2191. [Google Scholar] [CrossRef]
  23. Wu, J.; Xu, P.; Li, L. Multiphase Dynamic Interfaces and Abrasive Transport Dynamics for Abrasive Flow Machining in Shear Thickening Transition States. Powder Technol. 2024, 446, 120150. [Google Scholar] [CrossRef]
  24. Li, L.; Lu, B.; Xu, W. Dynamic Behaviors of Multiphase Vortex-Induced Vibration for Hydropower Energy Conversion. Energy 2024, 308, 132897. [Google Scholar] [CrossRef]
  25. Tian, W.; Ozbay, A.; Hu, H. Effects of Incoming Surface Wind Conditions on the Wake Characteristics and Dynamic Wind Loads Acting on a Wind Turbine Model. Phys. Fluids 2014, 26, 329–341. [Google Scholar] [CrossRef]
  26. Zhang, J.; Gong, Z.; Zhang, X.; Guo, L.; Hu, D. Dynamic Analysis of Offshore Wind Turbine Blades under the Action of Wind Shear and Fluctuating Wind. J. Vibroeng. 2018, 20, 1121–1521. [Google Scholar] [CrossRef]
  27. Li, L.; Liu, Y.; Yuan, Z.; Gao, Y. Wind Field Effect on the Power Generation and Aerodynamic Performance of Offshore Floating Wind Turbines. Energy 2018, 157, 379–390. [Google Scholar] [CrossRef]
  28. Kang, H.; Xu, B.; Shen, X.; Li, Z.; Cai, X.; Hu, Z. Comparison of Blade Aeroelastic Responses between Upwind and Downwind of 10 MW Wind Turbines under the Shear Wind Condition. Energies 2023, 16, 2567. [Google Scholar] [CrossRef]
  29. Li, Y.; Castro, A.M.; Sinokrot, T.; Prescott, W.; Carrica, P.M. Coupled Multi-Body Dynamics and CFD for Wind Turbine Simulation Including Explicit Wind Turbulence. Renew. Energy 2015, 76, 338–361. [Google Scholar] [CrossRef]
  30. Santo, G.; Peeters, M.; Van Paepegem, W.; Degroote, J. Fluid–Structure Interaction Simulations of a Wind Gust Impacting on the Blades of a Large Horizontal Axis Wind Turbine. Energies 2020, 13, 509. [Google Scholar] [CrossRef]
  31. Shirzadeh, K.; Hangan, H.; Crawford, C.; Hashemi Tari, P. Investigating the Loads and Performance of a Model Horizontal Axis Wind Turbine under IEC Extreme Operational Conditions. Wind. Energy Sci. 2021, 6, 477–489. [Google Scholar] [CrossRef]
  32. Rakib, M.; Evans, S.; Clausen, P. Simulating the Response of a Small Horizontal-Axis Wind Turbine During Wind Gust Using FAST. J. Phys. Conf. Ser. 2020, 1452, 012086. [Google Scholar] [CrossRef]
  33. Menegozzo, L.; Dal Monte, A.; Benini, E.; Benato, A. Small Wind Turbines: A Numerical Study for Aerodynamic Performance Assessment under Gust Conditions. Renew. Energy 2018, 121, 123–132. [Google Scholar] [CrossRef]
  34. Cao, L.; Sun, W.; Zhou, J.; Cui, Q. Dynamic Performance Analysis for Wind Turbine in Complex Conditions. J. Vibroeng. 2020, 22, 209–224. [Google Scholar] [CrossRef]
  35. Wang, P.; Bao, D.; Zhao, M.Z.; Shi, Z.; Gao, F.; Han, F. The Design, Analysis, and Optimization of a New Pitch Mechanism for Small Wind Turbines. Energies 2023, 16, 6708. [Google Scholar] [CrossRef]
  36. Aree, P. Precise Dynamic Initialisation of Fixed-Speed Wind Turbines under Active-Stall and Active-Pitch Controls from Their Aerodynamic Power Coefficients Using Unified Newton-Raphson Power-Flow Approach. IET Gener. Transm. Distrib. 2017, 12, 9–19. [Google Scholar] [CrossRef]
  37. Elbeji, O.; Hannachi, M.; Benhamed, M. Pitch Angle Control of a Wind Turbine Conversion System at High Wind Speed. In Proceedings of the 17th International Multi-Conference on Systems, Signals and Devices (SSD), Sfax, Tunisia, 20–23 July 2020. [Google Scholar]
  38. IEC 61400-13; Wind Turbines—Part 13: Measurement of Mechanical Loads. International Electrotechnical Commission: Geneva, Switzerland, 2015.
  39. IEC 61400-2; Wind Turbines—Part 2: Small Wind Turbines. International Electrotechnical Commission: Geneva, Switzerland, 2013.
  40. Wood, D. Small Wind Turbines; Springer: Berlin/Heidelberg, Germany, 2011. [Google Scholar]
  41. IEC61400-1; Turbine, W. Wind Energy Generation Systems–Part 1: Design Requirements. International Electrotechnical Commission: Geneva, Switzerland, 2019.
  42. Zhao, Z.; Wang, T.; Zheng, Y. ind Turbine Principles; Beijing Book Co. Inc.: Beijing, China, 2016. [Google Scholar]
  43. Germanischer Lloyd Industrial Services Gmbh. Guideline for the Certification of Wind Turbines; Germanischer Lloyd Industrial Services Gmbh: Hamburg, Germany, 2010; Available online: https://wordpressstorageaccount.blob.core.windows.net/wp-media/wp-content/uploads/sites/649/2018/05/Session_3_-_Handout_3_-_GL_Guideline_for_the_Certification_of_Wind_Turbines.pdf (accessed on 28 October 2024).
  44. Bao, D.; Jiang, A.; Li, C.; Shi, Z.; Han, Q.; Luo, Y.; Zhang, S. The Study of Structural Dynamic Response of Wind Turbine Blades under Different Inflow Conditions for the Novel Variable-Pitch Wind Turbine. Energies 2024, 17, 4057. [Google Scholar] [CrossRef]
Figure 1. Examples of research related to small pitch wind turbines. Xie, W., 2015 [2]. Sung, C.M., 2016 [3]. Chen, Y.J., 2016 [4].
Figure 1. Examples of research related to small pitch wind turbines. Xie, W., 2015 [2]. Sung, C.M., 2016 [3]. Chen, Y.J., 2016 [4].
Energies 17 05818 g001
Figure 2. Basic structure of variable pitch wind turbine. (a) Sketch of the overall structure of the new wind turbine; (b) sketch of pitch adjustment mechanism; (c) schematic diagram of the overall structure of the new wind turbine; (d) schematic diagram of pitch adjustment mechanism. 1—Blade. 2—Rack connection plate. 3—Pitch connectors. 4—Hub. 5—Generator. 6—Thrust bearing bracket. 7—Thrust bearing. 8—Worm gear reducer. 9—Reducer support. 10—Drive rod. 11—Rack.
Figure 2. Basic structure of variable pitch wind turbine. (a) Sketch of the overall structure of the new wind turbine; (b) sketch of pitch adjustment mechanism; (c) schematic diagram of the overall structure of the new wind turbine; (d) schematic diagram of pitch adjustment mechanism. 1—Blade. 2—Rack connection plate. 3—Pitch connectors. 4—Hub. 5—Generator. 6—Thrust bearing bracket. 7—Thrust bearing. 8—Worm gear reducer. 9—Reducer support. 10—Drive rod. 11—Rack.
Energies 17 05818 g002
Figure 3. Wind tunnel laboratory.
Figure 3. Wind tunnel laboratory.
Energies 17 05818 g003
Figure 4. Test prototype of variable pitch wind turbine.
Figure 4. Test prototype of variable pitch wind turbine.
Energies 17 05818 g004
Figure 5. The test system used for load measurement.
Figure 5. The test system used for load measurement.
Energies 17 05818 g005
Figure 6. Curves of output power with wind speed (56 V).
Figure 6. Curves of output power with wind speed (56 V).
Energies 17 05818 g006
Figure 7. Constant power output control curves.
Figure 7. Constant power output control curves.
Energies 17 05818 g007
Figure 8. The measurement positions for the rack and rack connection plate. (a) Schematic diagram of variable pitch structure; (b) schematic diagram of the test; (c) sketch of the measurement positions for the rack; (d) sketch of the measurement positions for the rack connection plate.
Figure 8. The measurement positions for the rack and rack connection plate. (a) Schematic diagram of variable pitch structure; (b) schematic diagram of the test; (c) sketch of the measurement positions for the rack; (d) sketch of the measurement positions for the rack connection plate.
Energies 17 05818 g008
Figure 9. Stress signal of regulating mechanism: (a) 6° pitch angle; (b) 9° pitch angle; (c) 12° pitch angle; (d) 15° pitch angle; (e) 25° pitch angle.
Figure 9. Stress signal of regulating mechanism: (a) 6° pitch angle; (b) 9° pitch angle; (c) 12° pitch angle; (d) 15° pitch angle; (e) 25° pitch angle.
Energies 17 05818 g009
Figure 10. Geometric model.
Figure 10. Geometric model.
Energies 17 05818 g010
Figure 11. Three-dimensional model of wind turbine. (a) Blade. (b) Gear. (c) pitch adjustment mechanism. (d) wind turbine.
Figure 11. Three-dimensional model of wind turbine. (a) Blade. (b) Gear. (c) pitch adjustment mechanism. (d) wind turbine.
Energies 17 05818 g011
Figure 12. Setup of computational domain.
Figure 12. Setup of computational domain.
Energies 17 05818 g012
Figure 13. Mesh independence verification.
Figure 13. Mesh independence verification.
Energies 17 05818 g013
Figure 14. The meshing results of the structural field.
Figure 14. The meshing results of the structural field.
Energies 17 05818 g014
Figure 15. Constraint conditions.
Figure 15. Constraint conditions.
Energies 17 05818 g015
Figure 16. Comparison of simulation and test value of rack stress response. (a) wind speed of 12m/s. (b) wind speed of 14 m/s. (c) wind speed of 16 m/s.
Figure 16. Comparison of simulation and test value of rack stress response. (a) wind speed of 12m/s. (b) wind speed of 14 m/s. (c) wind speed of 16 m/s.
Energies 17 05818 g016
Figure 17. Flow characteristics. (a) the airfoil exhibits a smaller angle of attack. (b) the airfoil exhibits a larger angle of attack.
Figure 17. Flow characteristics. (a) the airfoil exhibits a smaller angle of attack. (b) the airfoil exhibits a larger angle of attack.
Energies 17 05818 g017
Figure 18. The streamlines on the leeward side of the blade at a 3° pitch angle under varying wind speeds. (a) 7 m/s; (b) 9 m/s; (c) 11 m/s; (d) 14 m/s.
Figure 18. The streamlines on the leeward side of the blade at a 3° pitch angle under varying wind speeds. (a) 7 m/s; (b) 9 m/s; (c) 11 m/s; (d) 14 m/s.
Energies 17 05818 g018
Figure 19. Maximum stress contour of the hub.
Figure 19. Maximum stress contour of the hub.
Energies 17 05818 g019
Figure 20. Maximum stress contour of the rack connection plate.
Figure 20. Maximum stress contour of the rack connection plate.
Energies 17 05818 g020
Figure 21. Maximum stress contour of the blade connector.
Figure 21. Maximum stress contour of the blade connector.
Energies 17 05818 g021
Figure 22. Maximum stress contour of the gear-rack mechanism.
Figure 22. Maximum stress contour of the gear-rack mechanism.
Energies 17 05818 g022
Figure 23. Contact stress.
Figure 23. Contact stress.
Energies 17 05818 g023
Figure 24. Bending stress.
Figure 24. Bending stress.
Energies 17 05818 g024
Figure 25. Maximum stress values of each component.
Figure 25. Maximum stress values of each component.
Energies 17 05818 g025
Figure 26. Schematic diagram of wind profiles with different shear indexes.
Figure 26. Schematic diagram of wind profiles with different shear indexes.
Energies 17 05818 g026
Figure 27. Comparison between theoretical and monitoring values of shear flow model.
Figure 27. Comparison between theoretical and monitoring values of shear flow model.
Energies 17 05818 g027
Figure 28. Time–history curves of the stress response at the gear root under different shear indexes.(a) 6° pitch angle. (b) 15° pitch angle.
Figure 28. Time–history curves of the stress response at the gear root under different shear indexes.(a) 6° pitch angle. (b) 15° pitch angle.
Energies 17 05818 g028
Figure 29. Stress response characteristics of gear root. (a) Average stress response of gears with different shear indexes. (b) Standard deviation of stress response of gears with different shear indexes.
Figure 29. Stress response characteristics of gear root. (a) Average stress response of gears with different shear indexes. (b) Standard deviation of stress response of gears with different shear indexes.
Energies 17 05818 g029
Figure 30. Comparison between theoretical and monitoring values of EOG model. (a) EOG 1-year recurrence period; (b) EOG 50-year recurrence period.
Figure 30. Comparison between theoretical and monitoring values of EOG model. (a) EOG 1-year recurrence period; (b) EOG 50-year recurrence period.
Energies 17 05818 g030
Figure 31. Stress response time history curve of blade and gear root.
Figure 31. Stress response time history curve of blade and gear root.
Energies 17 05818 g031
Figure 32. Comparison of gear root stress responses under EOG and uniform inflow conditions. (a) wind speeds of 12 m/s at moments a. (b) wind speeds of 14 m/s at moments b. (c) wind speeds of 12 m/s at moments c. (d) wind speed corresponding to the 1-year recurrence period EOG speed of 14.8 m/s at moment d. (e) wind speeds of 14 m/s at moments e.
Figure 32. Comparison of gear root stress responses under EOG and uniform inflow conditions. (a) wind speeds of 12 m/s at moments a. (b) wind speeds of 14 m/s at moments b. (c) wind speeds of 12 m/s at moments c. (d) wind speed corresponding to the 1-year recurrence period EOG speed of 14.8 m/s at moment d. (e) wind speeds of 14 m/s at moments e.
Energies 17 05818 g032
Table 1. Parameters of test prototype.
Table 1. Parameters of test prototype.
ParametersValueParametersValue
Diameter of wind wheel/(m)3.06Rated power of generator/(W)1500
Blade number3Design rated wind speed12
AirfoilNACA4412Design cut-out air speed20
Table 2. Constant power output conditions.
Table 2. Constant power output conditions.
Wind Speed/(m/s)Pitch Angle/°Power/WControl Errors/%
12.061363.25−2.6
12.691401.990.1
13.3121419.541.4
14.0151437.202.7
16.0211405.890.4
18.0251420.301.5
Table 3. Mesh independence verification.
Table 3. Mesh independence verification.
Minimum Mesh Size of Structural Field/mmNumber of Meshes/ThousandFlapwise Displacement of Blade Tip/mmEdgewise Displacement of Blade Tip/mm
18571.246.75510.521
15592.447.96610.842
12641.248.23310.912
10673.848.23910.915
8694.648.23710.913
Table 4. Maximum stress values of each component.
Table 4. Maximum stress values of each component.
Pitch AngleGearRackHubBlade
Connectors
Synchronous
Disk
627.4221.217.8325.045.72
920.9919.1715.7719.735.63
1219.2716.3813.6017.045.34
1515.7214.8111.6213.694.23
257.645.755.756.883.77
Table 5. Material properties.
Table 5. Material properties.
Nameσmaxσ0/1.1σ0/1.25Yield Strength/σ0
Hub17.38 MPa304.5 MPa268 MPa335 MPa
Gear27.42 MPa
Rack21.20 MPa
Blade connector25.04 MPa
Rack connection plate5.36 MPa
Table 6. Wind turbine levels.
Table 6. Wind turbine levels.
Wind Turbine RatingIIIIIIS
Vref (m/s)5042.537.5Designated by the designer
Vave (m/s)108.57.5
AIref (-)0.180.180.18
a (-)222
BIref (-)0.160.160.16
a (-)333
Table 7. Comparison of maximum gear root stress response under EOG.
Table 7. Comparison of maximum gear root stress response under EOG.
Pitch AngleMaximum Value of Root Stress Under 1-Year Recurrence Period EOG/MpaMaximum Value of Root Stress Under 50-Year Recurrence Period EOG/Mpa
6 DHS16.5517.82
9 DHS15.2416.71
12 DHS14.9616.02
15 DHS14.0115.18
Disclaimer/Publisher’s Note: The statements, opinions and data contained in all publications are solely those of the individual author(s) and contributor(s) and not of MDPI and/or the editor(s). MDPI and/or the editor(s) disclaim responsibility for any injury to people or property resulting from any ideas, methods, instructions or products referred to in the content.

Share and Cite

MDPI and ACS Style

Bao, D.; Shi, Z.; Li, C.; Jiang, A.; Han, Q.; Luo, Y.; Zhang, S. A Study on the Influence of Different Inflow Conditions on the Output Power and Dynamic Response Characteristics of a Variable Pitch Wind Turbine Structure. Energies 2024, 17, 5818. https://doi.org/10.3390/en17235818

AMA Style

Bao D, Shi Z, Li C, Jiang A, Han Q, Luo Y, Zhang S. A Study on the Influence of Different Inflow Conditions on the Output Power and Dynamic Response Characteristics of a Variable Pitch Wind Turbine Structure. Energies. 2024; 17(23):5818. https://doi.org/10.3390/en17235818

Chicago/Turabian Style

Bao, Daorina, Zhongyu Shi, Chengze Li, Aoxiang Jiang, Qingsong Han, Yongshui Luo, and Shaohua Zhang. 2024. "A Study on the Influence of Different Inflow Conditions on the Output Power and Dynamic Response Characteristics of a Variable Pitch Wind Turbine Structure" Energies 17, no. 23: 5818. https://doi.org/10.3390/en17235818

APA Style

Bao, D., Shi, Z., Li, C., Jiang, A., Han, Q., Luo, Y., & Zhang, S. (2024). A Study on the Influence of Different Inflow Conditions on the Output Power and Dynamic Response Characteristics of a Variable Pitch Wind Turbine Structure. Energies, 17(23), 5818. https://doi.org/10.3390/en17235818

Note that from the first issue of 2016, this journal uses article numbers instead of page numbers. See further details here.

Article Metrics

Back to TopTop