Comparative Experimental Performance of an Ayanz Screw-Blade Wind Turbine and a Conventional Three-Blade Turbine Under Urban Gusty Wind Conditions
Highlights
- An effective experiment-driven method is introduced to characterize small wind turbines under wind gust conditions, using specific plots that enable a quantitative yet practical assessment of transient performance and adaptability.
- Comparative analysis goes beyond a single ideal curve by examining the breadth and stability of the performance plateau across operating conditions, providing a more realistic picture for urban and variable winds.
- Applying the method suggests that the Ayanz turbine maintains steadier performance over a broader range of operating states and responds more progressively to gusts. In contrast, the three-blade turbine shows higher efficiency when conditions are close to its optimal point.
- The proposed approach enables a more precise and realistic evaluation of potential energy yield for turbines operating in small-scale, gust-dominated urban environments.
- Site selection and technology matching can be refined: Ayanz-type rotors are promising for locations with low and fluctuating winds, whereas three-blade rotors suit steadier, less-obstructed sites where operation near the aerodynamic optimum is more frequent.
Abstract
1. Introduction
2. Wind Tunnel Characterization
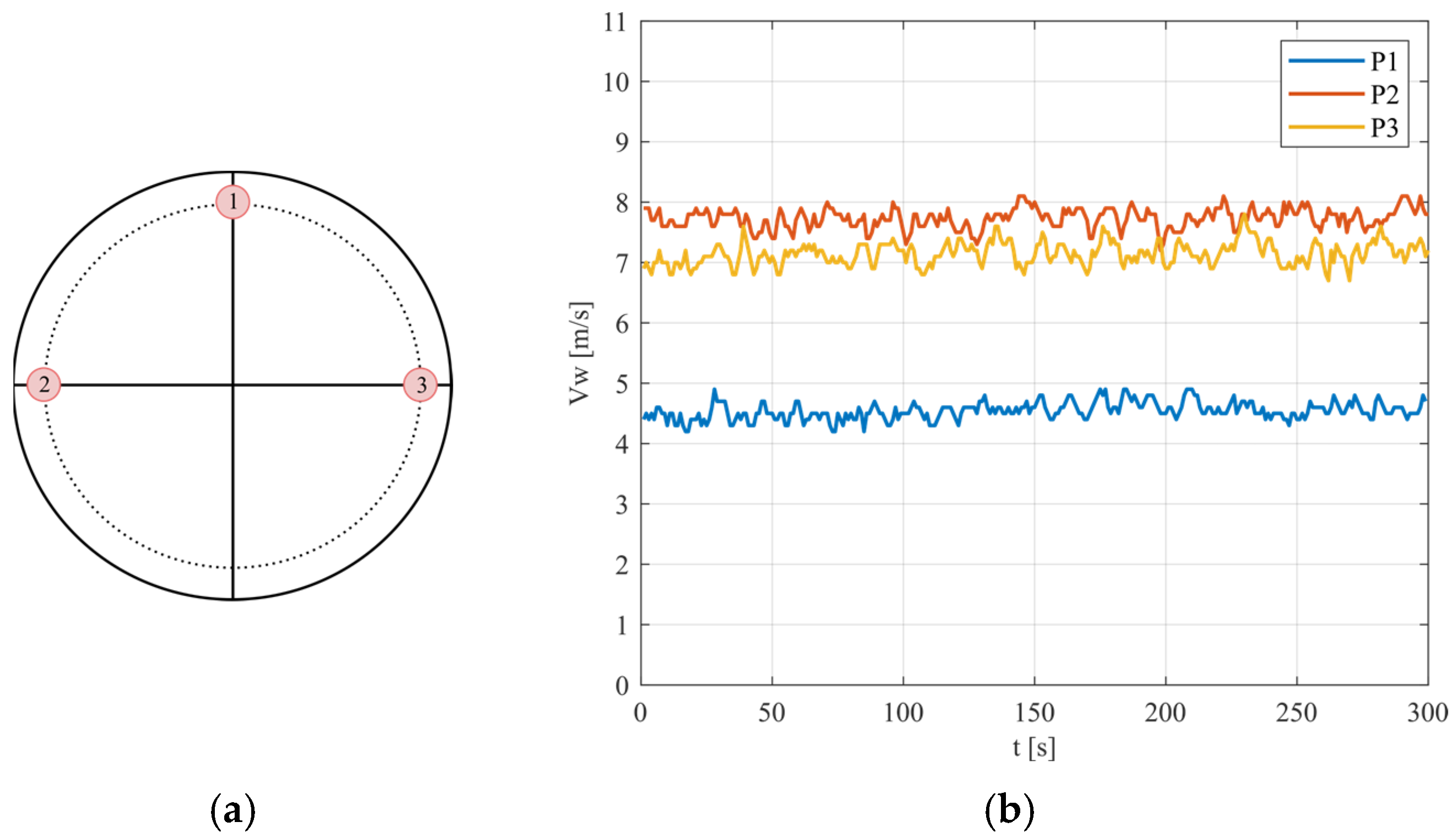
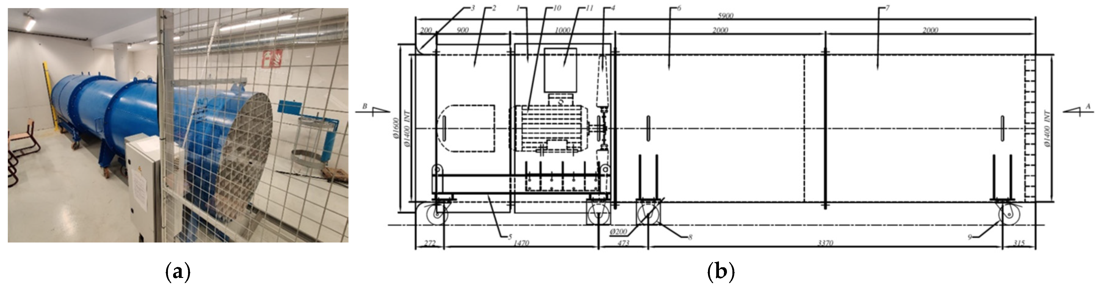
2.1. Internal Structure and Test Configuration of the Wind Tunnel
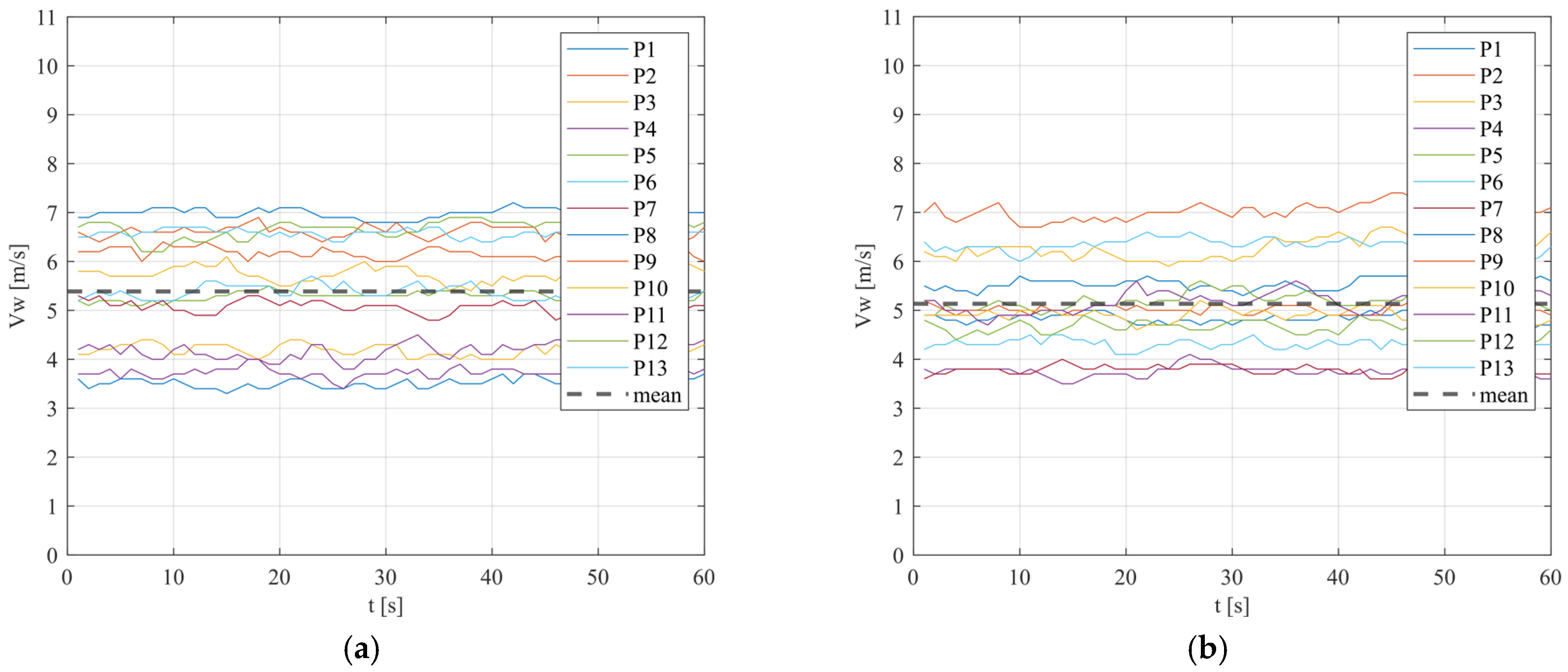
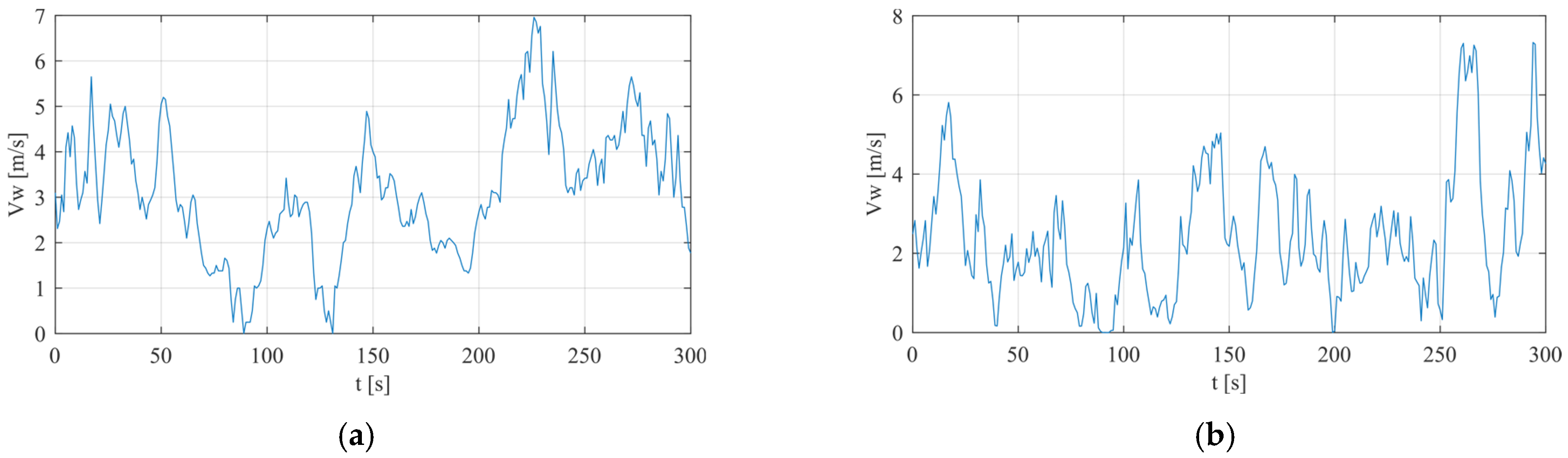
2.2. Real Urban Wind Conditions: Justification of the Selected Wind Speeds
2.3. Experimental Wind Tunnel Characterization
3. Wind Turbine Characterization at Constant Wind Speed
3.1. Electrical Power Circuit and Data Obtaining Process
3.2. Electrical Characterization
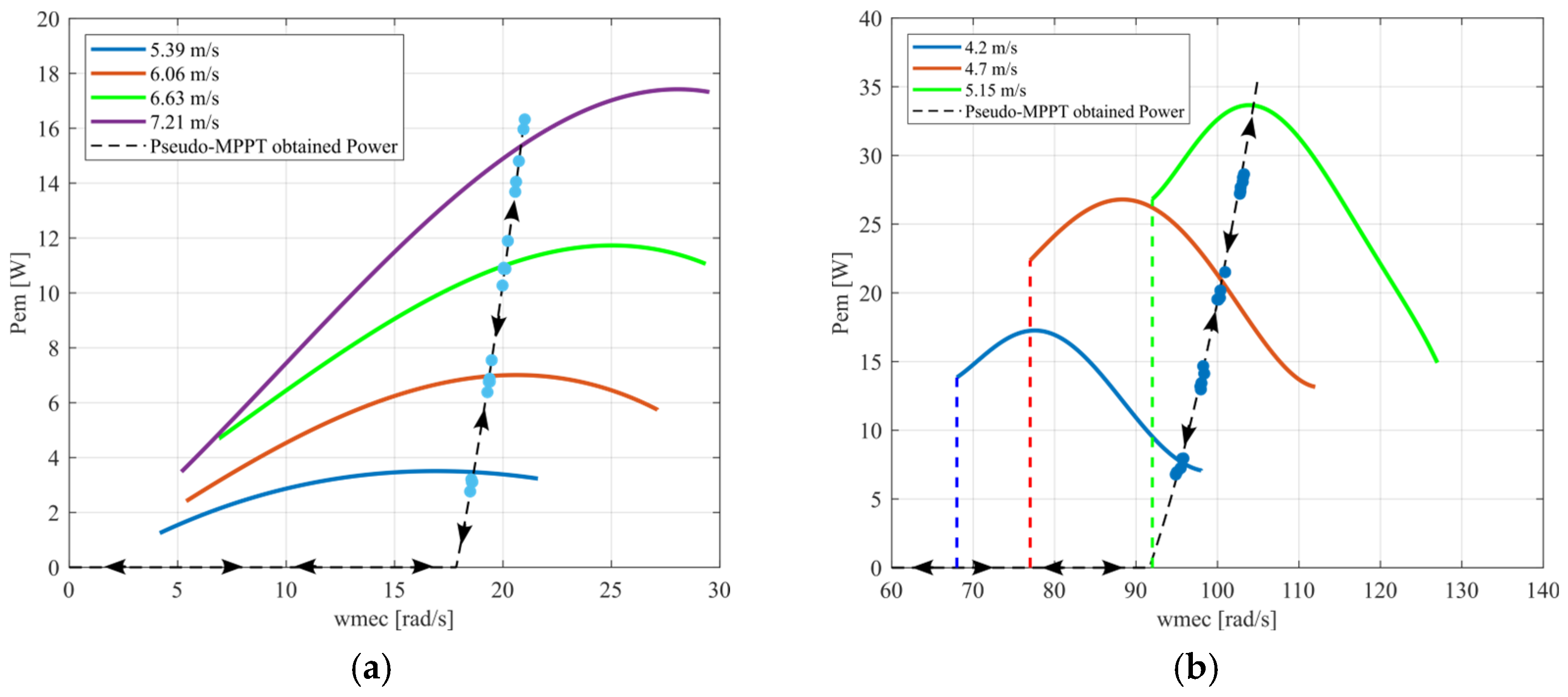
3.3. Ayanz SWT Characterization
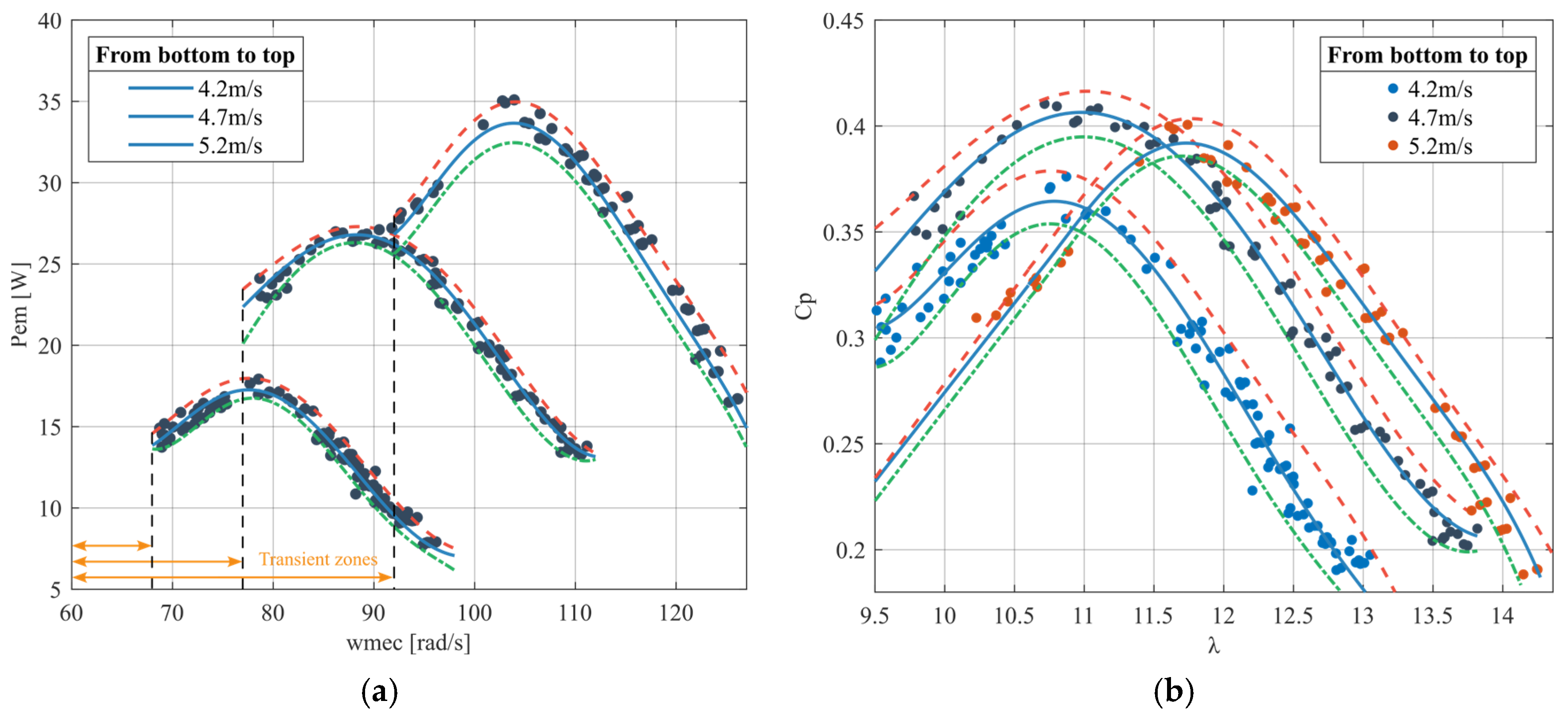
3.4. Three-Blade SWT Characterization
3.5. Plateau Comparison
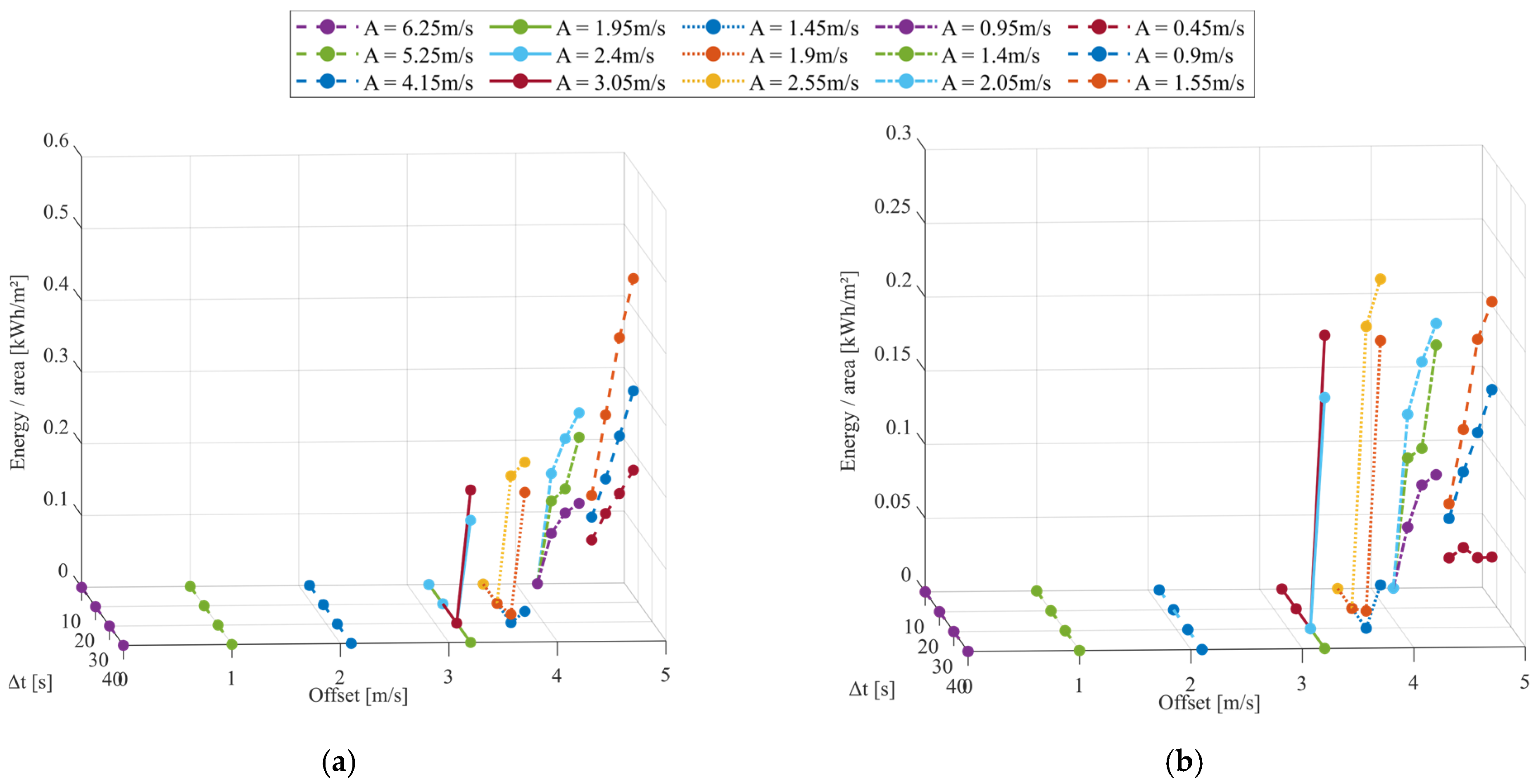
4. Wind Gust Performance Characterization
4.1. Control Approach for Power Extraction
4.2. Electrical Power Circuit and Data Obtaining Process
4.3. Wind Gust Generation
4.4. Wind Gusts for Ayanz SWT
4.5. Wind Gusts for Three-Blade SWT
5. Discussion of Results
5.1. Steady-State Performance: Efficiency vs. Robustness
5.2. Electrical Integration and Practical Deployment
5.3. Dynamic Response Under Gusts
6. Conclusions
6.1. Steady-State Performance
6.2. Wind Gust Response
6.3. Energy Capture Under Transients
6.4. Practical Integration Considerations
6.5. Methodological Contribution
6.6. Urban Integration and Visual and Acoustic Impact
6.7. Installation and Maintenance Cost Analysis
7. Future Paths
Author Contributions
Funding
Data Availability Statement
Acknowledgments
Conflicts of Interest
Appendix A
Appendix A.1. Uncertainty Quantification of the Obtained Curves

Appendix A.2. Data Cloud Theoretical Explanation

References
- Center for Global Development. Carbon Dioxide Emissions from Power Plants Rated Worldwide. 2007. Available online: https://www.sciencedaily.com/releases/2007/11/071114163448.htm (accessed on 7 July 2025).
- U.S. Energy Information Administration. Electricity and the Environment. 2024. Available online: https://www.eia.gov/energyexplained/electricity/electricity-and-the-environment.php (accessed on 7 July 2025).
- Gavaldà-Torrellas, O.; Monsalvete, P.; Ranjbar, S.; Eicker, U. The Urban Building Energy Retrofitting Tool: An Open-Source Framework to Help Foster Building Retrofitting Using a Life Cycle Costing Perspective—First Results for Montréal. Smart Cities 2025, 8, 17. [Google Scholar] [CrossRef]
- Lazaroiu, A.C.; Roscia, M.; Lazaroiu, G.C.; Siano, P. Review of Energy Communities: Definitions, Regulations, Topologies, and Technologies. Smart Cities 2025, 8, 8. [Google Scholar] [CrossRef]
- Europe in Figures—Eurostat Yearbook. Available online: https://ec.europa.eu/eurostat/statistics-explained/index.php/Archive:Europe_in_figures_-_Eurostat_yearbook (accessed on 10 July 2025).
- Mehrabanifar, K.; Shayeghi, H.; Younesi, A.; Siano, P. Enhancing Modern Distribution System Resilience: A Comprehensive Two-Stage Approach for Mitigating Climate Change Impact. Smart Cities 2025, 8, 76. [Google Scholar] [CrossRef]
- Nazer, A.; Isabella, O.; Manganiello, P. A Comprehensive Classification of State-of-the-Art Distributed Maximum Power Point Tracking Architectures for Photovoltaic Systems. IEEE Open J. Ind. Electron. Soc. 2025, 6, 738–763. [Google Scholar] [CrossRef]
- Cuenca, J.J.; Jamil, E.; Hayes, B. State of the Art in Energy Communities and Sharing Economy Concepts in the Electricity Sector. IEEE Trans. Ind. Appl. 2021, 57, 5737–5746. [Google Scholar] [CrossRef]
- Roy, P.; He, J.; Zhao, T.; Singh, Y.V. Recent Advances of Wind-Solar Hybrid Renewable Energy Systems for Power Generation: A Review. IEEE Open J. Ind. Electron. Soc. 2022, 3, 81–104. [Google Scholar] [CrossRef]
- Buticchi, G.; Lam, C.S.; Xinbo, R.; Liserre, M.; Barater, D.; Benbouzid, M.; Gomis-Bellmunt, O.; Ramos-Paja, C.A.; Kumar, C.; Zhu, R. The Role of Renewable Energy System in Reshaping the Electrical Grid Scenario. IEEE Open J. Ind. Electron. Soc. 2021, 2, 451–468. [Google Scholar] [CrossRef]
- Renewable Energy Market Update—Outlook for 2021 and 2022. Paris, 2021. Available online: https://www.iea.org/reports/renewable-energy-market-update-2021 (accessed on 9 July 2025).
- IEC 61400-1:2022; Wind Energy Generation Systems—Power Performance Measurements of Electricity Producing Wind Turbine. IEC: Geneve, Switzerland, 2022.
- Mittal, R.; Sandhu, K.S.; Jain, D.K. An Overview of Some Important Issues Related to Wind Energy Conversion System (WECS). Int. J. Environ. Sci. Dev. 2010, 1, 351–363. [Google Scholar] [CrossRef]
- Abad, G.; Penalba, M.; Zarketa-Astigarraga, A. Molinos de Viento Patentados por Jerónimo de Ayanz y Beaumont en el año 1606: Un análisis Conceptual Desde una Perspectiva Ingenieril del año 2021; Mondragon Unibertsitatea: Gipuzkoa, Spain, 2021. [Google Scholar] [CrossRef]
- Tapia, N.G. Jerónimo de Ayanz y Beaumont. Un Inventor Navarro (1553–1613); Universidad Pública de Navarra: Pamplona, Spain, 2010. [Google Scholar]
- Jang, H.; Kim, D.; Hwang, Y.; Paek, I.; Kim, S.; Baek, J. Analysis of Archimedes Spiral Wind Turbine Performance by Simulation and Field Test. Energies 2019, 12, 4624. [Google Scholar] [CrossRef]
- Refaie, A.G.; Hameed, H.A.; Nawar, M.A.; Attai, Y.A.; Mohamed, M.H. Qualitative and quantitative assessments of an Archimedes Spiral Wind Turbine performance augmented by a concentrator. Energy 2021, 231, 121128. [Google Scholar] [CrossRef]
- Timmer, W.A.; Toet, S. Verslag van de Metingen aan de Archimedes in de Lage-Snelheids Windtunnel van DNW; TU Delft: Delft, The Netherlands, 2009. [Google Scholar]
- Kim, K.; Ji, K.; Kim, H.Y.; Lu, Q.; Baek, J. Experimental and Numerical Study of the Aerodynamic Characteristics of an Archimedes Spiral Wind Turbine Blade. Energies 2014, 7, 7893–7914. [Google Scholar] [CrossRef]
- Labib, A.M.; Abdel, A.; Melad, G.M. Effect of Aspect Ratio on Aerodynamic Performance of Archimedes Spiral Wind Turbine. Egypt. Int. J. Eng. Sci. Technol. 2021, 32, 66–72. [Google Scholar] [CrossRef]
- Arzuaga, A.; Estivariz, A.; Fernández, O.; Gubía, K.; Plaza, A.; Abad, G.; Cabezuelo Romero, D. Low-Cost Maximum Power Point Tracking Strategy and Protection Circuit Applied to an Ayanz Wind Turbine with Screw Blades. Energies 2023, 16, 6204. [Google Scholar] [CrossRef]
- Sakamoto, L.; Fukui, T.; Morinishi, K. Blade Dimension Optimization and Performance Analysis of the 2-D Ugrinsky Wind Turbine. Energies 2022, 15, 2478. [Google Scholar] [CrossRef]
- Abad, G.; Plaza, A.; Kerejeta, G. Performance Evaluation of Small Wind Turbines Under Variable Winds of Cities: Case Study Applied to an Ayanz Wind Turbine with Screw Blades. Smart Cities 2024, 7, 3241–3288. [Google Scholar] [CrossRef]
- Maldar, N.R.; Ng, C.Y.; Oguz, E. A review of the optimization studies for Savonius turbine considering hydrokinetic applications. Energy Convers. Manag. 2020, 226, 113495. [Google Scholar] [CrossRef]
- Tummala, A.; Velamati, R.K.; Sinha, D.K.; Indraja, V.; Krishna, V.H. A review on small scale wind turbines. Renew. Sustain. Energy Rev. 2016, 56, 1351–1371. [Google Scholar] [CrossRef]
- Liam F1 Archimedes AWM-750D-150W Datasheet. Available online: https://thearchimedes.com/ (accessed on 11 July 2025).
- Thresher, R.W.; Holley, W.E.; Jafarey, N. Wind Response Characteristics of Horizontal Axis Wind Turbines; Oregon State University: Corvallis, OR, USA; NASA: Washington, DC, USA, 1981. [Google Scholar]
- Corbalán, P.A.; Chiang, L.E. Fast Power Coefficient vs. Tip–Speed Ratio Curves for SmallWind Turbines with Single-Variable Measurements following a Single Test Run. Energies 2024, 17, 1199. [Google Scholar] [CrossRef]
- Micallef, D.; Van Bussel, G. A Review of Urban Wind Energy Research: Aerodynamics and Other Challenges. Energies 2018, 11, 2204. [Google Scholar] [CrossRef]





















| Ayanz SWT | Three-Blade SWT | ||
|---|---|---|---|
| Wind Tunnel Fan Freq. (Hz) | (m/s) | Wind Tunnel Fan Freq. (Hz) | (m/s) |
| 20 | 5.39 | 16 | 4.2 |
| 22.5 | 6.06 | 18 | 4.7 |
| 25 | 6.63 | 20 | 5.15 |
| 27.5 | 7.21 | ||
| 30 | 7.91 | ||
| Ayanz SWT | Three-Blade SWT | |
|---|---|---|
| Measurement | (Ω) | (Ω) |
| First | 9.54 | 0.31 |
| Second | 9.56 | 0.31 |
| Third | 9.58 | 0.29 |
| Mean | 9.56 | 0.3 |
| Geometrical Parameters | Unit | Electrical Parameters | Unit |
|---|---|---|---|
| Blades | 3 | 9.56 Ω | |
| Radius | 37.5 cm | 16.96 mH | |
| Area | 0.412 m2 | 6 | |
| Longitude | 60 cm | (VAC rms) | 48 V |
| (m/s) | Cp Min | Cp Max | Cp Mean |
|---|---|---|---|
| 5.39 | 0.084413 | 0.094144 | 0.089337 |
| 6.06 | 0.118963 | 0.130184 | 0.123928 |
| 6.63 | 0.152575 | 0.166642 | 0.159761 |
| 7.21 | 0.176963 | 0.192961 | 0.184969 |
| Geometrical Parameters | Unit | Electrical Parameters | Unit |
|---|---|---|---|
| Blades | 3 | 0.3 Ω | |
| Radius | 58 cm | 0.207 mH | |
| Area | 1.057 m2 | 6 | |
| Longitude | 67.5 cm | (VAC rms) | 24 V |
| (m/s) | Cp Min | Cp Max | Cp Mean |
|---|---|---|---|
| 4.2 | 0.3538 | 0.3788 | 0.3645 |
| 4.7 | 0.3949 | 0.4164 | 0.4064 |
| 5.15 | 0.3858 | 0.4035 | 0.3919 |
| Offset (m/s) | Amplitude of the Gust [A] (m/s) | Maximum Amplitude Points of the Gust (m/s) | Duration of the Gust [Δt] (s) |
|---|---|---|---|
| 0 | 6.06 | 6.06 | 10–20– 30–40 |
| 6.63 | 6.63 | ||
| 7.21 | 7.21 | ||
| 7.91 | 7.91 | ||
| 1.61 | 5.02 | 6.63 | |
| 5.6 | 7.21 | ||
| 6.3 | 7.91 | ||
| 3.23 | 3.4 | 6.63 | |
| 3.98 | 7.21 | ||
| 4.68 | 7.91 | ||
| 4.84 | 1.79 | 6.63 | |
| 2.37 | 7.21 | ||
| 3.07 | 7.91 | ||
| 6.06 | 0.57 | 6.63 | |
| 1.15 | 7.21 | ||
| 1.85 | 7.91 |
| Offset (m/s) | Amplitude of the Gust [A] (m/s) | Maximum Amplitude Points of the Gust (m/s) | Duration of the Gust [Δt] (s) |
|---|---|---|---|
| 0 | 4.7 | 4.7 | 10–20– 30–40 |
| 5.15 | 5.15 | ||
| 5.6 | 5.6 | ||
| 6.25 | 6.25 | ||
| 1 | 4.15 | 5.15 | |
| 4.6 | 5.6 | ||
| 5.25 | 6.25 | ||
| 2.1 | 3.05 | 5.15 | |
| 3.5 | 5.6 | ||
| 4.15 | 6.25 | ||
| 3.2 | 1.95 | 5.15 | |
| 2.4 | 5.6 | ||
| 3.05 | 6.25 | ||
| 3.7 | 1.45 | 5.15 | |
| 1.9 | 5.6 | ||
| 2.55 | 6.25 | ||
| 4.2 | 0.95 | 5.15 | |
| 1.4 | 5.6 | ||
| 2.05 | 6.25 | ||
| 4.7 | 0.45 | 5.15 | |
| 0.9 | 5.6 | ||
| 1.55 | 6.25 |
| Ayanz SWT | Three-Blade SWT | |
|---|---|---|
| Maximize energy production in cities with gusty winds (Considering the following indicators) | + | ++ |
| characteristic | ++ | |
| curve | + | + |
| Maximize the generated energy at low-speed winds (good start-up at low offset) | ++ | |
| Maximize the generated energy at the gust when not at the optimum speed (favorable start-up transient characteristic) | + | ++ |
| Maximize the generated energy at the gust when in optimum speed (high offset) | + | ++ |
| Maximize the energy generated in ΔT | Undetermined, dependent on the offset | |
| Maximize the energy generated in A | Undetermined, dependent on the offset + ΔT | |
Disclaimer/Publisher’s Note: The statements, opinions and data contained in all publications are solely those of the individual author(s) and contributor(s) and not of MDPI and/or the editor(s). MDPI and/or the editor(s) disclaim responsibility for any injury to people or property resulting from any ideas, methods, instructions or products referred to in the content. |
© 2026 by the authors. Licensee MDPI, Basel, Switzerland. This article is an open access article distributed under the terms and conditions of the Creative Commons Attribution (CC BY) license.
Share and Cite
Angulo, A.; Nazabal, U.; Rodríguez, F.; Rojo, I.; Zarketa, A.; Cabezuelo, D.; Abad, G. Comparative Experimental Performance of an Ayanz Screw-Blade Wind Turbine and a Conventional Three-Blade Turbine Under Urban Gusty Wind Conditions. Smart Cities 2026, 9, 11. https://doi.org/10.3390/smartcities9010011
Angulo A, Nazabal U, Rodríguez F, Rojo I, Zarketa A, Cabezuelo D, Abad G. Comparative Experimental Performance of an Ayanz Screw-Blade Wind Turbine and a Conventional Three-Blade Turbine Under Urban Gusty Wind Conditions. Smart Cities. 2026; 9(1):11. https://doi.org/10.3390/smartcities9010011
Chicago/Turabian StyleAngulo, Ainara, Unai Nazabal, Fabian Rodríguez, Izaskun Rojo, Ander Zarketa, David Cabezuelo, and Gonzalo Abad. 2026. "Comparative Experimental Performance of an Ayanz Screw-Blade Wind Turbine and a Conventional Three-Blade Turbine Under Urban Gusty Wind Conditions" Smart Cities 9, no. 1: 11. https://doi.org/10.3390/smartcities9010011
APA StyleAngulo, A., Nazabal, U., Rodríguez, F., Rojo, I., Zarketa, A., Cabezuelo, D., & Abad, G. (2026). Comparative Experimental Performance of an Ayanz Screw-Blade Wind Turbine and a Conventional Three-Blade Turbine Under Urban Gusty Wind Conditions. Smart Cities, 9(1), 11. https://doi.org/10.3390/smartcities9010011

