Sign in to use this feature.

Years

Between: -

Subjects

remove_circle_outline
remove_circle_outline
remove_circle_outline
remove_circle_outline
remove_circle_outline
remove_circle_outline
remove_circle_outline
remove_circle_outline
remove_circle_outline

Journals

remove_circle_outline
remove_circle_outline
remove_circle_outline
remove_circle_outline
remove_circle_outline
remove_circle_outline

Article Types

Countries / Regions

remove_circle_outline
remove_circle_outline
remove_circle_outline
remove_circle_outline
remove_circle_outline

Search Results (470)

Search Parameters:
Keywords = explosive growth

Order results
Result details
Results per page
Select all
Export citation of selected articles as:
16 pages, 2833 KB  
Article
Influence of Aging on Thermal Runaway Behavior of Lithium-Ion Batteries: Experiments and Simulations for Engineering Education
by Jie Wang, Yihao Chen, Yufei Mei and Kaihua Lu
Fire 2025, 8(12), 479; https://doi.org/10.3390/fire8120479 - 18 Dec 2025
Abstract
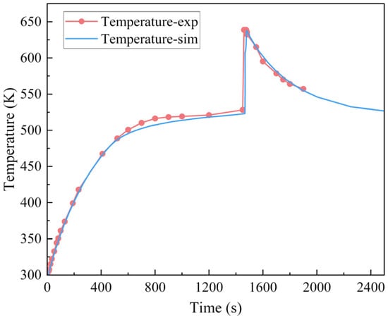
This study investigates the impact of aging on the thermal runaway behavior of lithium-ion batteries. By combining external heating tests, cone calorimetry experiments, and numerical simulations, the thermal runaway characteristics of LFP and NMC batteries at different SOH levels (100%, 90%, 80%) were [...] Read more.
This study investigates the impact of aging on the thermal runaway behavior of lithium-ion batteries. By combining external heating tests, cone calorimetry experiments, and numerical simulations, the thermal runaway characteristics of LFP and NMC batteries at different SOH levels (100%, 90%, 80%) were systematically evaluated. Experimental results show a non-monotonic effect of aging on thermal runaway: mildly aged batteries (90% SOH) exhibited the earliest TR trigger and highest risk due to unstable SEI film growth, while new batteries (100% SOH) released the most energy. Significant differences were observed between battery chemistries: LFP batteries displayed fluctuating temperature curves indicating a staged buffering mechanism, whereas NMC batteries had smooth heating but abrupt energy release. Cone calorimeter tests revealed that aged LFP batteries had multi-stage HRR curves, while NMC batteries showed consistent HRR profiles; mass loss data confirmed reduced active material consumption with aging. Numerical simulations integrating SEI decomposition and other reactions validated the impact of aging on internal processes. The study recommends prioritizing monitoring of moderately aged batteries, optimizing early-warning systems for NMC batteries, and preventing secondary explosions, providing support for safety assessments of aged batteries. Full article
(This article belongs to the Special Issue Smart Firefighting Technologies and Advanced Materials)
Show Figures

Figure 1

23 pages, 13492 KB  
Article
A Distributed Data Management and Service Framework for Heterogeneous Remote Sensing Observations
by Hongquan Cheng, Huayi Wu, Jie Zheng, Zhenqiang Li, Kunlun Qi, Jianya Gong, Longgang Xiang and Yipeng Cao
Remote Sens. 2025, 17(24), 4009; https://doi.org/10.3390/rs17244009 - 12 Dec 2025
Viewed by 205
Abstract
Remote sensing imagery is a fundamental data source in spatial information science and is widely used in earth observation and geospatial applications. The explosive growth of such data poses significant challenges for online management and service, particularly in terms of storage scalability, processing [...] Read more.
Remote sensing imagery is a fundamental data source in spatial information science and is widely used in earth observation and geospatial applications. The explosive growth of such data poses significant challenges for online management and service, particularly in terms of storage scalability, processing efficiency, and real-time accessibility. To overcome these limitations, we propose DDMS, a distributed data management and service framework for heterogeneous remote sensing data that structures its functionality around three core components: storage, computing, and service. In this framework, a distributed integrated storage model is constructed by integrating file systems with database technologies to support heterogeneous data management, and a parallel computing model is designed to optimize large-scale image processing. To verify the effectiveness of the proposed framework, a prototype system was implemented and evaluated with experiments on representative datasets, covering both optical and InSAR images. Results show that DDMS can flexibly adapt to heterogeneous remote sensing data and storage backends while maintaining efficient data management and stable service performance. Stress tests further confirm its scalability and consistent responsiveness under varying workloads. DDMS provides a practical and extensible solution for large-scale online management and real-time service of remote sensing images. By enhancing modularity, scalability, and service responsiveness, the framework supports both research and practical applications that depend on massive earth observation data. Full article
Show Figures

Figure 1

31 pages, 2308 KB  
Article
Evaluating the Operation Mechanism of the Agricultural Industry–University–Research Collaborative Innovation Network: A B-Z Reaction-Based Approach
by Xiangwei Zhang, Xiangyu Guo, Nazeer Ahmed and Dan Wang
Agriculture 2025, 15(24), 2533; https://doi.org/10.3390/agriculture15242533 - 6 Dec 2025
Viewed by 211
Abstract
This study is based on the data from co-authored papers, collaborative patents, and jointly authored varieties involving Chinese agricultural enterprises, universities, and research institutions from 2011 to 2023. We construct a three-dimensional dynamic equation system to model the agricultural industry–university–research (I-U-R) collaborative innovation [...] Read more.
This study is based on the data from co-authored papers, collaborative patents, and jointly authored varieties involving Chinese agricultural enterprises, universities, and research institutions from 2011 to 2023. We construct a three-dimensional dynamic equation system to model the agricultural industry–university–research (I-U-R) collaborative innovation network operation mechanism. Inspired by the Belousov–Zhabotinsky (B-Z) reaction, we model a three-variable oscillator with the state variables (network structure embeddedness, partner heterogeneity, and collaborative innovation output) to represent three primary substances in the chemical oscillators. This study investigates the network’s operational patterns and its determinants. Findings reveal that the patent network operates more efficiently than the paper and variety networks. Dependence on external government support increases with innovation complexity, coordination difficulty, and social value. Although a “structural optimization–resource agglomeration–output explosion” state is theoretically attainable under threshold conditions, the observed reality reflects “marginal structural optimization–continuous resource depletion–zero output growth”. Among the entities, eighteen are active leaders, forty-two constitute a stable but low-dynamism backbone, and ninety are general participants with limited innovation capacity. Significant structural contradictions highlight the need for targeted policy interventions to guide the network toward a more advanced and orderly state. Full article
(This article belongs to the Section Agricultural Economics, Policies and Rural Management)
Show Figures

Figure 1

15 pages, 642 KB  
Article
Small Peptide Fertilizers Derived from Instant Catapult Steam Explosion Technology: Molecular Characterization and Agronomic Efficacy
by Xiaoqi Liu, Zhengdao Yu, Jie Zhang and Xu Zhao
Agronomy 2025, 15(12), 2734; https://doi.org/10.3390/agronomy15122734 - 27 Nov 2025
Viewed by 263
Abstract
In modern agriculture, small peptide fertilizers (SPFs) have emerged as a promising tool to enhance crop growth, yield, and stress resilience. However, the influence of raw materials and innovative preparation methods on SPF characteristics and agronomic performance remains underexplored. This study introduces instant [...] Read more.
In modern agriculture, small peptide fertilizers (SPFs) have emerged as a promising tool to enhance crop growth, yield, and stress resilience. However, the influence of raw materials and innovative preparation methods on SPF characteristics and agronomic performance remains underexplored. This study introduces instant catapult steam explosion (ICSE), a novel thermomechanical technology, for synthesizing SPFs from fish, soybean meal, and sheepskin. The molecular, chemical, and nutritional properties of the SPFs were then characterized using methods including gel permeation chromatography (GPC), Fourier transform infrared spectroscopy (FTIR), and HPLC/LC-MS. The research aims to characterize the molecular, chemical, and nutritional profiles of resulting SPFs and evaluate their effects on rice and rapeseed growth, yield, and nitrogen use efficiency (NUE). ICSE-generated SPFs exhibited distinct properties based on raw materials. Fish-derived SPF1 had a narrow molecular weight distribution, high small peptide content (573 mg g−1), and free amino acids (0.478 mg g−1), while sheepskin-derived SPF3 showed the lowest values (386 mg g−1 and 0.366 mg g−1, respectively). Fourier-transform infrared spectroscopy (FTIR) confirmed the presence of peptide bonds and functional groups, with variations in peak intensities reflecting differences in raw materials. Field trials revealed that SPF1 significantly improved rice and rapeseed growth parameters, including plant height, SPAD values, and flag leaf area, compared to controls. Yield increases of 10.36% (rice) and 11.74% (rapeseed) were observed for SPF1, alongside the highest NUE (42.3–43.4%). Soybean meal-derived SPF2 showed moderate performance, while SPF3 had minimal effects. These findings validate ICSE for sustainable SPF production and emphasize the importance of selecting raw materials to optimize fertilizer outcomes and enhance crop productivity. Full article
(This article belongs to the Section Agricultural Biosystem and Biological Engineering)
Show Figures

Graphical abstract

22 pages, 2460 KB  
Article
AI-Driven Cybersecurity in IoT: Adaptive Malware Detection and Lightweight Encryption via TRIM-SEC Framework
by Ibrahim Mutambik
Sensors 2025, 25(22), 7072; https://doi.org/10.3390/s25227072 - 19 Nov 2025
Viewed by 632
Abstract
The explosive growth in Internet of Things (IoT) technologies has given rise to significant security concerns, especially with the emergence of sophisticated and zero-day malware attacks. Conventional malware detection methods based on static or dynamic analysis often fail to meet the real-time operational [...] Read more.
The explosive growth in Internet of Things (IoT) technologies has given rise to significant security concerns, especially with the emergence of sophisticated and zero-day malware attacks. Conventional malware detection methods based on static or dynamic analysis often fail to meet the real-time operational needs and limited-resource constraints typical of IoT systems. This paper proposes TRIM-SEC (Transformer-Integrated Malware Security and Encryption for IoT), a lightweight and scalable framework that unifies intelligent threat detection with secure data transmission. The framework begins with Autoencoder-Based Feature Denoising (AEFD) to eliminate noise and enhance input quality, followed by Principal Component Analysis (PCA) for efficient dimensionality reduction. Malware classification is performed using a Transformer-Augmented Neural Network (TANN), which leverages multi-head self-attention to capture both contextual and temporal dependencies, enabling accurate detection of diverse threats such as Zero-Day, botnets, and zero-day exploits. For secure communication, TRIM-SEC incorporates Lightweight Elliptic Curve Cryptography (LECC), enhanced with Particle Swarm Optimization (PSO) to generate cryptographic keys with minimal computational burden. The framework is rigorously evaluated against advanced baselines, including LSTM-based IDS, CNN-GRU hybrids, and blockchain-enhanced security models. Experimental results show that TRIM-SEC delivers higher detection accuracy, fewer false alarms, and reduced encryption latency, which makes it well-suited for real-time operation in smart IoT ecosystems. Its balanced integration of detection performance, cryptographic strength, and computational efficiency positions TRIM-SEC as a promising solution for securing next-generation IoT environments. Full article
Show Figures

Figure 1

21 pages, 1165 KB  
Article
Data-Driven and Structure-Based Modelling for the Discovery of Human DNMT1 Inhibitors: A Pathway to Structure–Activity Relationships
by Paris Christodoulou, Ellie Chytiri, Maria Zervou, Igor Manushin, Charalampos Kolvatzis, Vassilia J. Sinanoglou, Dionisis Cavouras and Eftichia Kritsi
Appl. Sci. 2025, 15(22), 11984; https://doi.org/10.3390/app152211984 - 11 Nov 2025
Viewed by 523
Abstract
Nowadays, the explosive growth of knowledge in the epigenetics field has highlighted DNA methyltransferase 1 (DNMT1) as a key regulator of genomic methylation patterns and a promising therapeutic target in several diseases. In light of the increasing clinical interest in epigenetic enzymes, the [...] Read more.
Nowadays, the explosive growth of knowledge in the epigenetics field has highlighted DNA methyltransferase 1 (DNMT1) as a key regulator of genomic methylation patterns and a promising therapeutic target in several diseases. In light of the increasing clinical interest in epigenetic enzymes, the present study aimed to develop a robust computational framework for the discovery of novel DNMT1 inhibitors, merging both structure and data-driven strategies. Particularly, the study compiled a dataset of established DNMT1 inhibitors and calculated a series of molecular properties, thus enabling the training of a machine learning model to capture critical structure–activity relationships (SARs). When benchmarked against known active compounds, the model effectively discriminated between putative inhibitors and non-inhibitors with high accuracy. In parallel, molecular docking was conducted to screen additional uncharacterized compounds, estimating their binding affinity to human DNMT1. Their respective properties were then extracted and fed into the aforementioned model to predict their inhibitory potential. Our comparative evaluation against known human DNMT1 inhibitors demonstrated high predictive accuracy, confirming the reliability of the proposed integrated approach. By uniting molecular docking with data-driven SAR modelling, this workflow offers an expedited fast-track avenue for identifying promising human DNMT1 inhibitors while reducing experimental overhead. The results highlight the effectiveness of combining cheminformatics, machine learning, and in silico techniques to guide rational drug design, and accelerate the discovery of novel epigenetic inhibitors. Full article
(This article belongs to the Special Issue Development and Application of Computational Chemistry Methods)
Show Figures

Figure 1

38 pages, 1261 KB  
Review
Major Antioxidants and Methods for Studying Their Total Activity in Milk: A Review
by Sergei Yu. Zaitsev
Methods Protoc. 2025, 8(6), 139; https://doi.org/10.3390/mps8060139 - 10 Nov 2025
Viewed by 916
Abstract
The presence of antioxidants in food contributes to the preservation of its taste and technological qualities, preventing its spoilage for a longer time, which is important at all stages of production and storage. The major antioxidants are vitamins, proteins (primarily, enzymes), peptides, amino [...] Read more.
The presence of antioxidants in food contributes to the preservation of its taste and technological qualities, preventing its spoilage for a longer time, which is important at all stages of production and storage. The major antioxidants are vitamins, proteins (primarily, enzymes), peptides, amino acids, fatty acid residues of lipids, etc. There is currently an explosive growth in the development of methods for assessing the content and effectiveness of particular antioxidants but not the total antioxidant activity (AOA) in raw milk and food systems. This article provides a critical overview of the most important AOA methods, their mechanisms and applicability, advantages, and limitations (primarily, for antioxidants of milk and dairy products). Among all the antioxidant indicators of milk, the simplest and sufficiently informative is the detection of the total amount of water-soluble antioxidant (TAWSA), which is confirmed by comparison of numerous publications and practical results of various methods (as summarized in this review). It is important to emphasize that the TAWSA of milk is an “integral characteristic” of the most valuable biosubstances (possessing AOA) together. Therefore, the TAWSA method is recommended for assessing AOA in raw milk as an “integrated indicator” in dairy husbandry. Full article
(This article belongs to the Section Biochemical and Chemical Analysis & Synthesis)
Show Figures

Figure 1

27 pages, 9075 KB  
Review
Visualized Analysis of Adolescent Non-Suicidal Self-Injury and Comorbidity Networks
by Zhen Zhang, Juan Guo, Yali Zhao, Xiangyan Li and Chunhui Qi
Behav. Sci. 2025, 15(11), 1513; https://doi.org/10.3390/bs15111513 - 7 Nov 2025
Viewed by 1451
Abstract
Non-suicidal self-injury (NSSI) has become an increasingly salient mental health concern among adolescents, and it commonly co-occurs with depression, anxiety, borderline personality disorder, substance use, and childhood maltreatment, forming a complex psychological risk structure. Despite a growing body of literature, a systematic understanding [...] Read more.
Non-suicidal self-injury (NSSI) has become an increasingly salient mental health concern among adolescents, and it commonly co-occurs with depression, anxiety, borderline personality disorder, substance use, and childhood maltreatment, forming a complex psychological risk structure. Despite a growing body of literature, a systematic understanding of the structural links between NSSI and psychiatric comorbidities remains limited. This study uses bibliometric and visualization methods to map the developmental trajectory and knowledge structure of the field and to identify research hotspots and frontiers. Drawing on the Web of Science Core Collection, we screened 1562 papers published between 2005 and 2024 on adolescent NSSI and comorbid psychological problems. Using CiteSpace 6.3.R1, VOSviewer 1.6.20, and R 4.3.3, we constructed knowledge graphs from keyword co-occurrence, clustering, burst-term detection, and co-citation analyses. The results show an explosive growth of research in recent years. Hotspots center on comorbidity mechanisms of mood disorders, the impact of childhood trauma, and advances in dynamic assessment. Research has evolved from describing behavioral features toward integrative mechanisms, with five current emphases: risk factor modeling, diagnostic standard optimization, cultural sensitivity, stratified intervention strategies, and psychological risks in special populations. With big data and AI applications, the field is moving toward dynamic prediction and precision intervention. Future work should strengthen cross-cultural comparisons, refine comorbidity network theory, and develop biomarker-informed differentiated interventions to advance both theory and clinical practice. Full article
(This article belongs to the Section Health Psychology)
Show Figures

Figure 1

28 pages, 2340 KB  
Article
An Intelligent Playbook Recommendation Algorithm Based on Dynamic Interest Modeling for SOAR
by Hangyu Hu, Liangrui Zhang, Zhaoyu Zhang, Xingmiao Yao and Xia Wu
Symmetry 2025, 17(11), 1851; https://doi.org/10.3390/sym17111851 - 3 Nov 2025
Viewed by 538
Abstract
With the growing demand for refined security operations, Security Orchestration, Automation, and Response (SOAR) technologies have undergone rapid advancement. By leveraging intelligent orchestration capabilities in conjunction with core playbooks, SOAR facilitates both automated and semi-automated responses to security incidents. Nevertheless, the continuous evolution [...] Read more.
With the growing demand for refined security operations, Security Orchestration, Automation, and Response (SOAR) technologies have undergone rapid advancement. By leveraging intelligent orchestration capabilities in conjunction with core playbooks, SOAR facilitates both automated and semi-automated responses to security incidents. Nevertheless, the continuous evolution of network-attack techniques and the explosive growth of security alerts have rendered traditional static rule-based playbook matching and recommendation approaches increasingly inadequate in addressing the high frequency of alerts and the emergence of novel attack patterns. In this study, we propose an intelligent playbook recommendation algorithm for SOAR, developed under the paradigm of dynamic interest modeling. Specifically, the algorithm integrates a Transformer encoder, which captures long-term dynamic characteristics of alert signals in real time, with an LSTM network designed to extract short-term behavioral patterns. This hybrid architecture not only enables accurate playbook recommendations in high-volume alert scenarios, but also supports the reconstruction and optimization of playbooks, thereby offering valuable guidance for the mitigation of emerging threats. Experimental evaluations demonstrate that the proposed dynamic interest modeling-based algorithm exhibits high feasibility. It achieves improved performance in terms of both recommendation accuracy and efficiency, thus providing a robust technical foundation for enhancing the effectiveness of network security incident response and offering practical support for real-world security operations. Full article
(This article belongs to the Special Issue Applications Based on Symmetry in Adversarial Machine Learning)
Show Figures

Figure 1

10 pages, 853 KB  
Proceeding Paper
Enhancing Machine Learning Model Prediction with Feature Selection for Botnet Intrusion Detection
by Marwa Baich and Nawal Sael
Eng. Proc. 2025, 112(1), 55; https://doi.org/10.3390/engproc2025112055 - 29 Oct 2025
Viewed by 492
Abstract
Increased vulnerabilities brought about by the explosive growth of the Internet of Things (IoT) call for improved security measures to protect systems from attacks. Intrusion Detection Systems (IDS) that use machine learning (ML) are essential for identifying vulnerabilities. Among various threats, botnets are [...] Read more.
Increased vulnerabilities brought about by the explosive growth of the Internet of Things (IoT) call for improved security measures to protect systems from attacks. Intrusion Detection Systems (IDS) that use machine learning (ML) are essential for identifying vulnerabilities. Among various threats, botnets are particularly challenging due to their persistence and complexity. This study explores the application of ML techniques (RF, NB, DT, KNN, LR, and XGBoost) for intrusion detection in IoT networks, with a focus on handling imbalanced data and applying feature selection methods. On the Bot-IoT dataset, the study used Lasso feature selection and the SMOTE data balancing technique to obtain a high accuracy of 99.99% with low execution times using the XGBoost model. Full article
Show Figures

Figure 1

25 pages, 848 KB  
Article
Detecting Anomalous Non-Cooperative Satellites Based on Satellite Tracking Data and Bi-Minimal GRU with Attention Mechanisms
by Peilin Li, Yuanyuan Jiao, Xiaogang Pan, Xiao Wang and Bowen Sun
Appl. Syst. Innov. 2025, 8(6), 163; https://doi.org/10.3390/asi8060163 - 27 Oct 2025
Viewed by 551
Abstract
In recent years, the number of satellites in space has experienced explosive growth, and the number of non-cooperative satellites requiring close attention and precise tracking has also increased rapidly. Despite this, the world’s satellite precision tracking equipment is constrained by factors such as [...] Read more.
In recent years, the number of satellites in space has experienced explosive growth, and the number of non-cooperative satellites requiring close attention and precise tracking has also increased rapidly. Despite this, the world’s satellite precision tracking equipment is constrained by factors such as a slower growth in numbers and a scarcity of available deployment sites. To rapidly and efficiently identify satellites with potential new anomalies among the large number of cataloged non-cooperative satellites currently transiting, we have constructed a Bi-Directional Minimal GRU deep learning network model incorporating an attention mechanism based on Minimal GRU. This model is termed the Attention-based Bi-Directional Minimal GRU model (ABMGRU). This model utilizes tracking data from relatively inexpensive satellite observation equipment such as phased array radars, along with catalog information for non-cooperative satellites. It rapidly detects anomalies in target satellites during the initial phase of their passes, providing decision support for the subsequent deployment, scheduling, and allocation of precision satellite tracking equipment. The satellite tracking observation data used to support model training is predicted through Satellite Tool Kit simulation based on existing catalog information of non-cooperative satellites, encompassing both anomaly free data and various types of data containing anomalies. Due to limitations imposed by relatively inexpensive observation equipment, satellite tracking data is restricted to the following categories: time, azimuth, elevation, distance, and Doppler shift, while incorporating realistic noise levels. Since subsequent precision tracking requires utilizing more satellite pass time, the duration of tracking data collected during this phase should not be excessively long. The tracking observation time in this study is limited to 1000 s. To enhance the efficiency and effectiveness of satellite anomaly detection, we have developed an Attention-based Bi-Directional Minimal GRU deep learning network model. Experimental results demonstrate that the proposed method can detect non-cooperative anomalous satellites more effectively and efficiently than existing lightweight intelligent algorithms, outperforming them in both completion efficiency and detection performance. It exhibits superiority across various non-cooperative satellite anomaly detection scenarios. Full article
(This article belongs to the Section Control and Systems Engineering)
Show Figures

Figure 1

23 pages, 13066 KB  
Article
Should Agrivoltaics Ever Be Decommissioned? How Agrivoltaics Bolster Farm Climate Adaptation Even When Unpowered
by Uzair Jamil and Joshua M. Pearce
Sustainability 2025, 17(21), 9544; https://doi.org/10.3390/su17219544 - 27 Oct 2025
Cited by 2 | Viewed by 890
Abstract
Solar photovoltaic systems now produce the lowest-cost electricity in history and coupling with agriculture in agrivoltaics increases crop yields. This indicates solar will continue to experience explosive growth. Concerns exist, however, about the long-term end-of-life decommissioning of solar farms. For example, due to [...] Read more.
Solar photovoltaic systems now produce the lowest-cost electricity in history and coupling with agriculture in agrivoltaics increases crop yields. This indicates solar will continue to experience explosive growth. Concerns exist, however, about the long-term end-of-life decommissioning of solar farms. For example, due to fossil fuel decommissioning mismanagement, Alberta is inundated with orphaned oil and gas wells that have remediation cost estimates of CAD$100 billion. Such comparisons have prompted preemptive legislation targeting solar farms, but is the fear justified? This study addresses this question by (1) analyzing warranted and actual lifespans of key agrivoltaic system components, (2) experimentally measuring microclimate impacts of two agrivoltaic arrays (fully powered with electricity extraction and unpowered to simulate post-inverter-failure conditions) and (3) quantifying agrivoltaic yield gains based on crops previously shown to respond positively to such conditions. Experimental results indicate that unpowered photovoltaic shading not only moderates soil temperatures but also enhances soil moisture conservation relative to unshaded conditions. This study demonstrates that agrivoltaic systems, even after the cessation of power generation, can continue to deliver meaningful agronomic and economic value through passive shading and policy frameworks should adapt to this dual-use reality. Integrating agronomic co-benefits into decommissioning policy supports long-term farm productivity and climate resilience. Full article
Show Figures

Figure 1

21 pages, 1712 KB  
Article
The Effect of in Ovo Injection Time and Dose of Maggot Oil from Black Soldier Fly (Hermetia illucens) on Hatching Rate, Growth Performance, and Biochemical Parameters of Broiler Chicks
by Yendouhamtchié Nadiedjoa, Xiaojuan Wang, Komi Attivi, Maxwell A. Okai, Qian Xin, Ahmed Mijiyawa, Clarice T. Maa Maa, Jingpeng Zhao, Hongchao Jiao, Komi Agboka, Hai Lin and Kokou Tona
Animals 2025, 15(21), 3115; https://doi.org/10.3390/ani15213115 - 27 Oct 2025
Viewed by 670
Abstract
There is an energy deficiency during the later stage of embryonic development, as the metabolic demands show an “explosive increase”. Vegetable oils are already used for in ovo feeding in poultry to provide energy for the embryos. What would be the effectiveness of [...] Read more.
There is an energy deficiency during the later stage of embryonic development, as the metabolic demands show an “explosive increase”. Vegetable oils are already used for in ovo feeding in poultry to provide energy for the embryos. What would be the effectiveness of animal oils used as alternative energy sources for the chicken embryo? To find out more, BSF larvae oil was used for in ovo feeding of the chicken embryo in this study. A total of 2300 Arbor Acres chicken eggs were used for incubation. On the tenth day of incubation, 2268 eggs were selected after candling and then divided into three groups for in ovo feeding in the yolk sac on the 11th, 14th, and 17th days of incubation. Each group was divided into seven lots, such as CON−, CON+, L0.1, L0.2, L0.3, L0.4, and L0.5. The CON− and CON+ were not injected. L0.1, L0.2, L0.3, L0.4, and L0.5 were pierced and then received the injection of 0.1 mL, 0.2 mL, 0.3 mL, 0.4 mL, and 0.5 mL of BSF maggot oil per egg, respectively. After hatching, 48 chicks from each lot of each group were housed in cages and then fed the same diet for six weeks. A better hatch rate and growth performance were observed for lots L0.1 and L0.2 compared to the other lots on the 14th and 17th days of incubation (p < 0.05). The injected lots showed reduced levels of low-density lipoprotein (LDL) cholesterol (p < 0.05). The injection of 0.1 mL BSF maggot oil on the 17th day of incubation had 0% embryonic mortality and 100% hatching success. In conclusion, BSF larvae oil can be used as an energy source for in ovo injection, with a dose of 0.1 mL on the 17th day of incubation being most effective and recommended. Full article
(This article belongs to the Special Issue Poultry Nutrition and Management)
Show Figures

Graphical abstract

29 pages, 1324 KB  
Article
HRCD: A Hybrid Replica Method Based on Community Division Under Edge Computing
by Shengyao Sun, Ying Du, Dong Wang, Jiwei Zhang and Shengbin Liang
Computers 2025, 14(11), 454; https://doi.org/10.3390/computers14110454 - 22 Oct 2025
Viewed by 268
Abstract
With the emergence of Industry 5.0 and explosive data growth, replica allocation has become a critical issue in edge computing systems. Current methods often focus on placing replicas on edge servers near terminals, yet this may lead to edge node overload and system [...] Read more.
With the emergence of Industry 5.0 and explosive data growth, replica allocation has become a critical issue in edge computing systems. Current methods often focus on placing replicas on edge servers near terminals, yet this may lead to edge node overload and system performance degradation, especially in large 6G edge computing communities. Meanwhile, existing terminal-based strategies struggle due to their time-varying nature. To address these challenges, we propose the HRCD, a hybrid replica method based on community division. The HRCD first divides time-varying terminals into stable sets using the community division algorithm. Then, it employs fuzzy clustering analysis to select terminals with strong service capabilities for replica placement while utilizing uniform distribution to prioritize geographically local hotspot data as replica data. Extensive experiments demonstrate that the HRCD effectively reduces data access latency and decreases edge server load compared to other replica strategies. Overall, the HRCD offers a promising approach to optimizing replica placement in 6G edge computing environments. Full article
(This article belongs to the Section Cloud Continuum and Enabled Applications)
Show Figures

Figure 1

39 pages, 33385 KB  
Review
Artificial Intelligence in Urban Planning: A Bibliometric Analysis and Hotspot Prediction
by Shuyu Si, Yeduozi Yao and Jing Wu
Land 2025, 14(11), 2100; https://doi.org/10.3390/land14112100 - 22 Oct 2025
Viewed by 1947
Abstract
The accelerating global urbanization process has posed new challenges to urban planning. With the rapid advancement of artificial intelligence (AI) technology, the application of AI in urban planning has gradually emerged as a prominent research focus. This study systematically reviews the current state, [...] Read more.
The accelerating global urbanization process has posed new challenges to urban planning. With the rapid advancement of artificial intelligence (AI) technology, the application of AI in urban planning has gradually emerged as a prominent research focus. This study systematically reviews the current state, development trends, and challenges of AI applications in urban planning through a combination of bibliometric analysis using Citespace, AI-assisted reading based on generative models, and predictive analysis via support vector machine (SVM) algorithms. The findings reveal the following: (1) The application of AI in urban planning has undergone three stages—namely, the budding stage (January 1984 to January 2017), the rapid development stage (January 2017 to January 2023), and the explosive growth stage (January 2023 to January 2025). (2) Research hotspots have shifted from early-stage basic data integration and fundamental technology exploration to a continuous fusion and iteration of foundational and emerging technologies. (3) Globally, China, the United States, and India are the leading contributors to research in this field, with inter-country collaborations demonstrating regional clustering. (4) High-frequency keywords such as “deep learning,” “machine learning,” and “smart city” are prevalent in the literature, reflecting the application of AI technologies across both macro and micro urban planning scenarios. (5) Based on current research and predictive analysis, the application scenarios of technologies like deep learning and machine learning are expected to continue expanding. At the same time, emerging technologies, including generative AI and explainable AI, are also projected to become focal points of future research. This study offers a technical application guide for urban planning, promotes the scientific integration of AI technologies within the field, and provides both theoretical support and practical guidance for achieving efficient and sustainable urban development. Full article
(This article belongs to the Section Land Innovations – Data and Machine Learning)
Show Figures

Figure 1

Back to TopTop