Sign in to use this feature.

Years

Between: -

Subjects

remove_circle_outline
remove_circle_outline
remove_circle_outline
remove_circle_outline
remove_circle_outline
remove_circle_outline
remove_circle_outline
remove_circle_outline
remove_circle_outline

Journals

Article Types

Countries / Regions

Search Results (34)

Search Parameters:
Keywords = exoglucanase

Order results
Result details
Results per page
Select all
Export citation of selected articles as:
12 pages, 349 KB  
Article
Valorization of Artichoke Wastes via Ozonation Pretreatment and Enzyme Fibrolytic Supplementation: Effect on Nutritional Composition, Ruminal Fermentation and Degradability
by Khalil Abid
Fermentation 2025, 11(11), 626; https://doi.org/10.3390/fermentation11110626 - 2 Nov 2025
Viewed by 674
Abstract
The increasing demand for sustainable ruminant feeds has driven interest in the valorization of agro-industrial wastes. Artichoke wastes are attractive in the Mediterranean region due to their availability and richness in protein (CP) and fiber (NDF), but their high lignin (ADL) and tannin [...] Read more.
The increasing demand for sustainable ruminant feeds has driven interest in the valorization of agro-industrial wastes. Artichoke wastes are attractive in the Mediterranean region due to their availability and richness in protein (CP) and fiber (NDF), but their high lignin (ADL) and tannin contents limit their nutritional value. This experiment was conducted using a completely randomized design with four treatments—control, ozone (O3), exogenous fibrolytic enzyme (EFE), and O3 + EFE—tested over six runs, each including three replicates per treatment. The study evaluated the effects of ozone (O3) and exogenous fibrolytic enzyme (EFE) treatments, applied alone or in combination, on artichoke waste chemical composition, ruminal fermentation, microbial populations, enzyme activity, and degradability. Ozone pretreatment significantly reduced fiber fractions (NDF −10%, ADF −7%), ADL (−16%), and condensed tannins (−64%), while increasing CP (+13%) and non-fibrous carbohydrates (NFC +38%). These modifications enhanced ruminal bacterial populations (+29%) and fibrolytic enzyme activities (xylanase +21%, endoglucanase +19%, exoglucanase +10%), resulting in higher dry matter degradability (DMD +11%), fiber degradability (NDFD +14%), total volatile fatty acids (VFAs +13%), and a lower acetate-to-propionate ratio. EFEs alone showed negligible effects; however, when applied after ozone, further improvements were observed in NFCs (+21%), bacterial populations (+21%), enzyme activities (xylanase +11%, endoglucanase +10%), DMD (+8%), NDFD (+7%), and VFAs (+6%) compared to ozone alone. These findings demonstrate that O3 pretreatment facilitates the enzymatic hydrolysis of lignocellulosic structures and enhances the effectiveness of EFEs, offering a sustainable and eco-efficient strategy for the bioconversion of artichoke wastes into high-value feed for ruminants, contributing to resource efficiency and circular bioeconomy development in livestock systems. Full article
Show Figures

Figure 1

16 pages, 3572 KB  
Article
Genome-Wide Analysis and Expression Profiling of the Cellulase Genes in Aspergillus oryzae
by Danni Hu, Ruoyu Zhao, Yingxu Lin and Chunmiao Jiang
Microbiol. Res. 2025, 16(10), 214; https://doi.org/10.3390/microbiolres16100214 - 26 Sep 2025
Viewed by 743
Abstract
One of the critical steps in lignocellulosic deconstruction is the hydrolysis of cellulose by cellulases. Aspergillus oryzae can produce and secrete a large amount of various extracellular enzymes, including cellulases. However, due to the lack of a comprehensive characterization of the cellulase genes [...] Read more.
One of the critical steps in lignocellulosic deconstruction is the hydrolysis of cellulose by cellulases. Aspergillus oryzae can produce and secrete a large amount of various extracellular enzymes, including cellulases. However, due to the lack of a comprehensive characterization of the cellulase genes in A. oryzae, the development and application of A. oryzae cellulase are greatly limited. In this study, a total of 219 glycosyl hydrolase genes were systematically identified from the A. oryzae 3.042 genome and classified into 40 glycosyl hydrolase families. Among these glycosyl hydrolase genes, 26 genes encoding the cellulases of endoglucanase, exoglucanase, and β-glucosidase were identified and functionally characterized. The chromosome localizations, gene structures, functional domains, and subcellular localizations of these 26 cellulases were analyzed by bioinformatics. In addition, analysis of the expression patterns revealed that the expression of A. oryzae cellulase genes was time-specific, and most of the cellulase genes were inhibited under low- and high-temperature stress and high salt stress, which had important guiding significance for understanding the transcription patterns of A. oryzae cellulase genes. These findings lay a foundation for our subsequent modification of cellulase activity to realize the industrial applications of A. oryzae cellulase genes in cellulose biorefineries. Full article
Show Figures

Figure 1

18 pages, 1300 KB  
Article
Sustainable Biomass Valorization by Solid-State Fermentation with the Mutant Strain Trichoderma viride M5-2 of Forage Legumes to Improve Their Nutritional Composition as Animal Feed
by Luis Rodrigo Saa, Elaine Cristina Valiño Cabrera, Lourdes Lucila Savón Valdés, Yaneisy García Hernández, Julio César Dustet Mendoza and Maryen Alberto Vazquez
Sustainability 2025, 17(11), 4990; https://doi.org/10.3390/su17114990 - 29 May 2025
Cited by 1 | Viewed by 1438
Abstract
The valorization of plant biomass is one of the main strategies for sustainable development. However, its use as energy, biofuels, fertilizers, value-added products, or even food is severely affected by the complexity of the plant cell wall. Therefore, the evaluation of fungi with [...] Read more.
The valorization of plant biomass is one of the main strategies for sustainable development. However, its use as energy, biofuels, fertilizers, value-added products, or even food is severely affected by the complexity of the plant cell wall. Therefore, the evaluation of fungi with high production of lignocellulolytic enzymes capable of efficiently degrading these substrates constitutes a viable, clean, and eco-friendly solution, allowing, for example, an increase in the digestibility and nutritional quality of alternative animal feed sources. For these reasons, the present study evaluated the ability of the mutant strain Trichodema viride M5-2 to improve the nutritional composition of the forage legumes Lablab purpureus and Mucuna pruriens through solid-state fermentation. Endo- and exoglucanase cellulolytic activity was assessed, as well as the effect of fermentation on the fiber’s physical properties and chemical composition. Molecular changes in the structure of plant fiber were analyzed using infrared spectroscopy. Increased production of the cellulolytic complex of the enzymes endoglucanase (3.29 IU/mL) and exoglucanase (0.64 IU/mL) was achieved in M. pruriens. The chemical composition showed an increase in true protein and a decrease in neutral fiber, hemicellulose, and cellulose, with a consequent improvement in nutritional quality. Fiber degradation was evident in the infrared spectrum with a significant decrease in the signals associated with cellulose and, to a lesser extent, with lignin. It can be concluded that the mutant strain T. viride M5-2 produced chemical, physical, and molecular changes in the fibrous and protein fractions of L. purpureus and M. pruriens through SSF, which improved their nutritional value as an alternative feed for animal nutrition. By promoting the use of this fungus, the nutritional quality of this source is increased through an effective and eco-friendly process, which contributes to mitigating the environmental impact of food production, in accordance with sustainability objectives and the need for more responsible agricultural practices. Full article
(This article belongs to the Special Issue Advanced Research on Waste Management and Biomass Valorization)
Show Figures

Figure 1

20 pages, 8015 KB  
Article
Improved Cellulolytic Activity of Alternaria citri: Optimization and EMS Treatment for Enhanced Cellulase Production
by Sibtain Ahmed, Hina Andaleeb, Aqsa Aslam, Junaid Ahmad Raza, Sheikh Muhammad Yahya Waseem, Atayyaba Javaid and Chand Talib
Fermentation 2025, 11(5), 274; https://doi.org/10.3390/fermentation11050274 - 11 May 2025
Cited by 3 | Viewed by 2208
Abstract
Fungal species secrete various enzymes and are considered the primary sources of industrially important cellulases. Cellulases are essential natural factors for cellulose degradation and have attracted significant interest for multiple applications. However, reducing the cost and enhancing cellulase production remains a significant challenge. [...] Read more.
Fungal species secrete various enzymes and are considered the primary sources of industrially important cellulases. Cellulases are essential natural factors for cellulose degradation and have attracted significant interest for multiple applications. However, reducing the cost and enhancing cellulase production remains a significant challenge. Mutagenesis has opened a new window for enhancing enzyme secretion by modifying the organism’s genome. In this study, cellulases from Alternaria citri were produced and characterized, and the optimization for ideal fermentation conditions was performed for three types of cellulases (endoglucanase, exoglucanase, and β-glucosidase) by a wild-type (A. citri) and a mutant strain (A. citri 305). Ethyl methanesulfonate, a chemical mutagen, was used to enhance cellulase production by A. citri. The results demonstrate the improved cellulolytic ability of the mutant strain A. citri 305 utilizing lignocellulosic waste substances, particularly, orange-peel powder, wheat straw, sugarcane bagasse, and sawdust, making this study economically valuable. This evokes the potential for multi-dimensional applications in enzyme production, waste degradation, and biofuel generation. This study highlights that the activity of cellulases to hydrolyze various lignocellulosic substrates is enhanced after mutagenesis. Full article
Show Figures

Figure 1

14 pages, 1544 KB  
Article
Microbiological Aspects and Enzymatic Characterization of Curvularia kusanoi L7: Ascomycete with Great Biomass Degradation Potentialities
by Maryen Alberto Vazquez, Luis Rodrigo Saa, Elaine Valiño, Livio Torta and Vito Armando Laudicina
J. Fungi 2024, 10(12), 807; https://doi.org/10.3390/jof10120807 - 21 Nov 2024
Cited by 2 | Viewed by 1428
Abstract
The complex structure of the plant cell wall makes it difficult to use the biomass produced by biosynthesis. For this reason, the search for new strains of microorganisms capable of efficiently degrading fiber is a topic of interest. For these reasons, the present [...] Read more.
The complex structure of the plant cell wall makes it difficult to use the biomass produced by biosynthesis. For this reason, the search for new strains of microorganisms capable of efficiently degrading fiber is a topic of interest. For these reasons, the present study aimed to evaluate both the microbiological and enzymatic characteristics of the fungus Curvularia kusanoi L7strain. For this, its growth in different culture media was evaluated. Wheat straw mineralization was evaluated by gas chromatography assisted by infrared spectroscopy. The production of endo- and exoglucanase, laccase, and peroxidase enzymes in submerged solid fermentation of wheat and sugarcane bagasse were characterized. The strain efficiently mineralized raw wheat straw, showing a significant decrease in signals associated with cellulose, hemicellulose, and lignin in the infrared spectra. High enzyme productions were achieved in submerged solid fermentation of both substrates, highlighting the high production of endoglucanases in sugarcane bagasse (2.87 IU/mL) and laccases in wheat (1.64 IU/mL). It is concluded that C. kusanoi L7 is an ascomycete with a versatile enzyme production that allows it to exhaustively degrade complex fibers such as raw wheat straw and sugar cane bagasse, making it a microorganism with great potential in the bioconversion of plant biomass. Full article
(This article belongs to the Section Fungi in Agriculture and Biotechnology)
Show Figures

Figure 1

17 pages, 4200 KB  
Article
Characterization of Novel Multifunctional Xylanase from Rumen Metagenome and Its Effects on In Vitro Microbial Fermentation of Wheat Straw
by Moguang Zhang, Qinghua Qiu, Xianghui Zhao, Kehui Ouyang and Chanjuan Liu
Fermentation 2024, 10(11), 574; https://doi.org/10.3390/fermentation10110574 - 10 Nov 2024
Cited by 1 | Viewed by 1836
Abstract
This study investigated the characterization of a novel multifunctional enzyme, RuXyn394, derived from the metagenome of beef cattle rumen, and its impact on the in vitro microbial fermentation of wheat straw. RuXyn394, a member of the glycosyl hydrolase 11 family, displayed optimal activity [...] Read more.
This study investigated the characterization of a novel multifunctional enzyme, RuXyn394, derived from the metagenome of beef cattle rumen, and its impact on the in vitro microbial fermentation of wheat straw. RuXyn394, a member of the glycosyl hydrolase 11 family, displayed optimal activity under diverse pH and temperature conditions: xylanase at pH 5.5 and 50 °C, acetyl esterase at pH 6.5 and 60 °C, exoglucanase at pH 7.0 and 50 °C, and endoglucanase at pH 6.0 and 50 °C. The enzyme’s xylanase, endoglucanase, and exoglucanase activities exhibited remarkable pH stability across the range of pH 3–8 and maintained a relatively stable performance at temperatures from 20 to 50 °C, 20 to 60 °C, and 20 to 70 °C, respectively. The xylanase function, with the highest kcat/Km ratio, was identified as the predominant activity of RuXyn394. The enzyme’s various functions responded uniquely to metal ions; notably, the addition of 5 mM K+ significantly boosted the activities of xylanase, exoglucanase, and endoglucanase by 55.5%, 53.5%, and 16.4%, respectively, without affecting its acetyl esterase activity. Over the course of three time points (30 min, 60 min, 120 min), the degradation products of wheat straw xylan, including xylopentaose, xylotetraose, xylotriose, xylobiose, xylose, and total xylooligosaccharides, constituted an average of 18.4%, 33.7%, 20.6%, 22.9%, 4.3%, and 95.7% of the total products, respectively. RuXyn394 effectively hydrolyzed wheat straw, resulting in augmented volatile fatty acid production and ammonia-N levels during in vitro microbial fermentation. These findings indicate the potential of RuXyn394 as a novel and highly efficient enzyme preparation, offering promising prospects for the valorization of wheat straw, an agricultural by-product, in ruminant diets. Full article
(This article belongs to the Section Industrial Fermentation)
Show Figures

Figure 1

14 pages, 3120 KB  
Article
Nutritional Composition, Antioxidant Activity, Cytotoxicity, and Enzymatic Potential of Ficus nitida-Associated Tomophagus colossus
by Osama Abdel-Hafeez Mohamed Al-Bedak, Ahmed Mohamed Moharram, Hossam El-Dean Farghaly Abdel-Raheam, Steven L. Stephenson and Fuad Ameen
Agronomy 2023, 13(11), 2850; https://doi.org/10.3390/agronomy13112850 - 20 Nov 2023
Cited by 4 | Viewed by 2217
Abstract
A fruiting body of a basidiomycete fungus was discovered growing on chopped Ficus nitida tree trunks in the student housing on the Assiut University campus during the course of this inquiry and a normal collecting operation in the Assiut Governorate, Egypt. Following the [...] Read more.
A fruiting body of a basidiomycete fungus was discovered growing on chopped Ficus nitida tree trunks in the student housing on the Assiut University campus during the course of this inquiry and a normal collecting operation in the Assiut Governorate, Egypt. Following the growth of the basidioma’s inner tissue on PDA, fungal mycelial growth was achieved. Internal transcribed spacer region (ITS) sequencing has allowed for the identification of the fungus as Tomophagus colossus. On the dry weight basis, chemical analysis of T. colossus AUMC 14536 basidioma revealed that it contains 28.81% carbohydrates, 25.34% crude fats, 23.44% crude fibers, 20.64% crude proteins, and 3.02% ash, in addition to potassium, phosphorus, calcium, selenium, iron, and zinc (133.59, 114.46, 6.27, 3.08, 1.28, and 0.73 mg/100 g dry weight, respectively). The total phenolic compounds (39.26 mg/g) and total flavonoids (5.62 mg/g) were also evaluated. The basidioma extract’s antioxidant activity was assessed as %DPPH radical scavenging activity with an IC50 of 4.15 µg/mL compared with a 1.89 µg/mL IC50 of ascorbic acid. In solid-state fermentation (SSF), the fungus could ferment broad bean straw, palm leaf hay, rice husk, rice straw, sugarcane bagasse, and wheat bran to produce endoglucanase, exoglucanase, laccase, pectinase, and xylanase in substantial amounts. Specific activity exhibited the highest values for endoglucanase (81.48 U/mg), exoglucanase (114.35 U/mg), pectinase (81.94 U/mg), and xylanase (70.18 U/mg) on the rice husk, while the peak of laccase activity (94.27 U/mg) was gained on bean straw. This is the first assessment of the organism’s nutritional value, amino acid content, antioxidant activity, and enzymatic capabilities in Egypt. Full article
Show Figures

Figure 1

15 pages, 1180 KB  
Article
Effect of Blue LED Light on Bioemulsifier Production in Bioreactor by Aureobasidium pullulans LB83 in Solid State Fermentation
by Daylin Rubio-Ribeaux, Rogger Alessandro Mata da Costa, Renan Murbach Pereira, Paulo Ricardo Franco Marcelino, Fernanda Perpétua Casciatori, Júlio César dos Santos and Silvio Silvério da Silva
Fermentation 2023, 9(11), 946; https://doi.org/10.3390/fermentation9110946 - 31 Oct 2023
Viewed by 2090
Abstract
This study analyzed the impact of LED light on bioemulsifier production by Aureobasidium pullulans LB83 in solid-state fermentation (SSF) using pre-treated sugarcane bagasse (PSB). The biomass was subjected to alkaline pre-treatment and conducted fermentations in Erlenmeyer flasks containing 2 g of PSB that [...] Read more.
This study analyzed the impact of LED light on bioemulsifier production by Aureobasidium pullulans LB83 in solid-state fermentation (SSF) using pre-treated sugarcane bagasse (PSB). The biomass was subjected to alkaline pre-treatment and conducted fermentations in Erlenmeyer flasks containing 2 g of PSB that were immersed in a humectant solution with a cell concentration of 108 cells/mL. The screening involved varying LED light wavelengths (green, red, orange, and blue) over a 7-day period at 28 °C. Notably, under the influence of blue light, the process achieved maximum production, yielding an EI24% of 63.9% and 45.1% for soybean oil and kerosene, respectively. Prolonged exposure to blue light for 11 days at 28 °C resulted in maximum bioemulsifier production (75%) and cellulolytic enzyme activity (3.67 IU g−1 for endoglucanase and 0.41 IU g−1 for exoglucanase) with soybean oil and kerosene. Experiments in a bioreactor, with varying light conditions (dark, white light, and blue LED light), demonstrated that the blue LED bioreactor outperformed others, achieving EI24% values of 55.0% and 45.7% for soybean oil and kerosene, respectively. The scanning electron microscopy (SEM) confirmed yeast growth under these conditions after 9 days. Our findings highlight the significant potential of LED light to enhance bioemulsifier production by A. pullulans LB83 from PSB. Full article
Show Figures

Figure 1

14 pages, 2647 KB  
Article
Characterization of Cellulose-Degrading Bacteria Isolated from Silkworm Excrement and Optimization of Its Cellulase Production
by Hao Li, Minqi Zhang, Yuanhao Zhang, Xueming Xu, Ying Zhao, Xueping Jiang, Ran Zhang and Zhongzheng Gui
Polymers 2023, 15(20), 4142; https://doi.org/10.3390/polym15204142 - 19 Oct 2023
Cited by 47 | Viewed by 7198
Abstract
An abundance of refractory cellulose is the key limiting factor restricting the resource utilization efficiency of silkworm (Bombyx mori) excrement via composting. Screening for cellulose-degrading bacteria is likely to provide high-quality strains for the safe and rapid decomposition of silkworm excrement. [...] Read more.
An abundance of refractory cellulose is the key limiting factor restricting the resource utilization efficiency of silkworm (Bombyx mori) excrement via composting. Screening for cellulose-degrading bacteria is likely to provide high-quality strains for the safe and rapid decomposition of silkworm excrement. In this study, bacteria capable of degrading cellulose with a high efficiency were isolated from silkworm excrement and the conditions for cellulase production were optimized. The strains were preliminarily screened via sodium carboxymethyl cellulose culture and staining with Congo red, rescreened via a filter paper enzyme activity test, and identified via morphological observation, physiological and biochemical tests, and phylogenetic analysis of the 16S rDNA sequence. Enzyme activity assay was performed using the 3,5-dinitrosalicylic acid method. DC-11, a highly cellulolytic strain, was identified as Bacillus subtilis. The optimum temperature and pH of this strain were 55 °C and 6, respectively, and the filter paper enzyme activity (FPase), endoglucanase activity (CMCase), and exoglucanase activity (CXase) reached 15.40 U/mL, 11.91 U/mL, and 20.61 U/mL. In addition, the cellulose degradation rate of the treatment group treated with DC-11 was 39.57% in the bioaugmentation test, which was significantly higher than that of the control group without DC-11 (10.01%). Strain DC-11 was shown to be an acid-resistant and heat-resistant cellulose-degrading strain, with high cellulase activity. This strain can exert a bioaugmentation effect on cellulose degradation and has the potential for use in preparing microbial inocula that can be applied for the safe and rapid composting of silkworm excrement. Full article
(This article belongs to the Special Issue Biodegradable Polymer Composites)
Show Figures

Figure 1

20 pages, 1120 KB  
Review
Taxonomy, Ecology, and Cellulolytic Properties of the Genus Bacillus and Related Genera
by Jakub Dobrzyński, Barbara Wróbel and Ewa Beata Górska
Agriculture 2023, 13(10), 1979; https://doi.org/10.3390/agriculture13101979 - 12 Oct 2023
Cited by 27 | Viewed by 7020
Abstract
Bacteria of the genus Bacillus and related genera (e.g., Paenibacillus, Alicyclobacillus or Brevibacillus) belong to the phylum Firmicutes. Taxonomically, it is a diverse group of bacteria that, to date, has not been well described phylogenetically. The group consists of aerobic and [...] Read more.
Bacteria of the genus Bacillus and related genera (e.g., Paenibacillus, Alicyclobacillus or Brevibacillus) belong to the phylum Firmicutes. Taxonomically, it is a diverse group of bacteria that, to date, has not been well described phylogenetically. The group consists of aerobic and relatively anaerobic bacteria, capable of spore-forming. Bacillus spp. and related genera are widely distributed in the environment, with a particular role in soil. Their abundance in the agricultural environment depends mainly on fertilization, but can also depend on soil cultivated methods, meaning whether the plants are grown in monoculture or rotation systems. The highest abundance of the phylum Firmicutes is usually recorded in soil fertilized with manure. Due to the great abundance of cellulose in the environment, one of the most important physiological groups among these spore-forming bacteria are cellulolytic bacteria. Three key cellulases produced by Bacillus spp. and related genera are required for complete cellulose degradation and include endoglucanases, exoglucanases, and β-glucosidases. Due to probable independent evolution, cellulases are encoded by hundreds of genes, which results in a large structural diversity of these enzymes. The microbial degradation of cellulose depends on its type and environmental conditions such as pH, temperature, and various substances including metal ions. In addition, Bacillus spp. are among a few bacteria capable of producing multi-enzymatic protein complexes called cellulosomes. In conclusion, the taxonomy of Bacillus spp. and related bacteria needs to be reorganized based on, among other things, additional genetic markers. Also, the ecology of soil bacteria of the genus Bacillus requires additions, especially in the identification of physical and chemical parameters affecting the occurrence of the group of bacteria. Finally, it is worth adding that despite many spore-forming strains well-studied for cellulolytic activity, still few are used in industry, for instance for biodegradation or bioconversion of lignocellulosic waste into biogas or biofuel. Therefore, research aimed at optimizing the cellulolytic properties of spore-forming bacteria is needed for more efficient commercialization. Full article
(This article belongs to the Special Issue Soil Management for Sustainable Agriculture)
Show Figures

Figure 1

12 pages, 4445 KB  
Article
Effects of Lectin Preparations from Microgramma vacciniifolia Rhizomes on the Survival, Digestive Enzymes, and Acetylcholinesterase Activity of Alphitobius diaperinus (Panzer) (Coleoptera: Tenebrionidae)
by Nataly Diniz de Lima Santos, Lidiane Pereira de Albuquerque, Marcus Mello Rego de Amorim, Juliane Nancy de Oliveira Silva, Thamara Figueiredo Procópio, Patryck Érmerson Monteiro dos Santos, Patrícia Maria Guedes Paiva, Mercia Rodrigues Barros, Thiago Henrique Napoleão and Emmanuel Viana Pontual
Macromol 2023, 3(3), 451-462; https://doi.org/10.3390/macromol3030027 - 5 Jul 2023
Cited by 4 | Viewed by 2121
Abstract
In this study, we evaluated the susceptibility of Alphitobius diaperinus larvae and adults to saline extract (SE), lectin-rich fraction (FR), and isolated lectin (MvRL) from Microgramma vacciniifolia rhizomes. To determine immediate effects, larvae and adults were exposed to SE (10.5 mg/mL), FR (7.5 [...] Read more.
In this study, we evaluated the susceptibility of Alphitobius diaperinus larvae and adults to saline extract (SE), lectin-rich fraction (FR), and isolated lectin (MvRL) from Microgramma vacciniifolia rhizomes. To determine immediate effects, larvae and adults were exposed to SE (10.5 mg/mL), FR (7.5 mg/mL), or MvRL (1.0 mg/mL) for 48 h. Live insects were evaluated for acetylcholinesterase (AChE) activity. The delayed effects of SE (10.5 mg/mL), FR (7.5 mg/mL), and MvRL (0.2 and 0.4 mg/mL) were checked by incubating the adults for 16 days with a diet containing the preparations. In vitro effects on gut digestive enzymes were investigated. All preparations showed immediate larvicidal effect but had no effect on adult survival. Extracts from FR-treated larvae showed higher AChE activity than control insects. In the delayed effect assay, the adults lost biomass after consuming SE and FR. FR was the most effective inhibitory agent of trypsin-like and amylase activities (88% and 65% inhibition, respectively). All preparations inhibited endoglucanase activity in 94–98%, while SE and FR inhibited exoglucanase activity in 93.2 and 94.1%, respectively. In conclusion, M. vacciniifolia rhizomes contain compounds (including MvRL) that affect the survival and physiology of A. diaperinus, acting as potential natural insecticides for controlling this pest. Full article
Show Figures

Graphical abstract

12 pages, 4361 KB  
Article
Screening, Identification, and Optimization of Enzyme-Producing Conditions for Cellulose-Degrading Bacteria in Distillery Lees
by Ai-Guo Luo, Yuan-Yuan Wang, Sha-Sha Xue, Jia Zhao, Jian-Wei Hao, Sheng-Li Shi and Bian-Fang Hu
Appl. Sci. 2023, 13(13), 7693; https://doi.org/10.3390/app13137693 - 29 Jun 2023
Cited by 6 | Viewed by 3342
Abstract
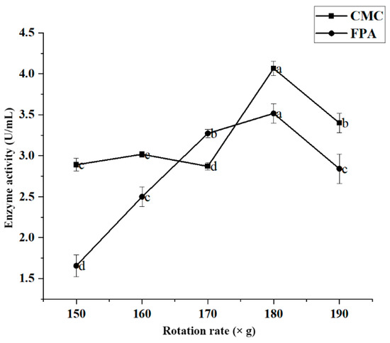
Cellulose-degrading bacteria were identified from distillery lees, and the strains were optimized for fermentation and enzyme production, providing effective strains for the resource utilization of distillery lees and developing cellulase. Based on the univariate test, the response surface test was used to optimize [...] Read more.
Cellulose-degrading bacteria were identified from distillery lees, and the strains were optimized for fermentation and enzyme production, providing effective strains for the resource utilization of distillery lees and developing cellulase. Based on the univariate test, the response surface test was used to optimize enzyme production conditions for fermentation. The screened strain JZ2 had a clear circle-to-colony diameter ratio of 2.0. The enzyme activities of exoglucanase, endoglucanase, and β-glucosidase were 4.341 ± 0.05 U/mL, 1.874 ± 0.04 U/mL, and 0.739 ± 0.02 U/mL, respectively. The bacterial colonies were large, and the bacterial cells’ morphology was rod-shaped. We identified Bacillus cereus (JZ2) from 16S rDNA sequence homology and phylogenetic tree analysis as belonging to the genus Bacillus in the thick-walled Bacillus phylum. The optimum production conditions of cellulase from strain JZ2 were a fermentation time of 2 d, a rotation rate of 180× g, and a temperature of 26 °C using the response surface method. The enzyme activity of JZ2 was 4.625 U/mL under optimal enzyme production conditions. In addition to good activity, the cellulase from the JZ2 strain may have the potential to convert distillery lees cellulose into useful compounds. Full article
Show Figures

Figure 1

23 pages, 4728 KB  
Article
Optimisation of β-Glucosidase Production in a Crude Aspergillus japonicus VIT-SB1 Cellulase Cocktail Using One Variable at a Time and Statistical Methods and its Application in Cellulose Hydrolysis
by Nivisti Singh, Bishop Bruce Sithole and Roshini Govinden
Int. J. Mol. Sci. 2023, 24(12), 9928; https://doi.org/10.3390/ijms24129928 - 9 Jun 2023
Cited by 9 | Viewed by 2696
Abstract
Pulp and paper mill sludge (PPMS) is currently disposed of into landfills which are reaching their maximum capacity. Valorisation of PPMS by enzymatic hydrolysis using cellulases is an alternative strategy. Existing commercial cellulases are expensive and contain low titres of β-glucosidases. In [...] Read more.
Pulp and paper mill sludge (PPMS) is currently disposed of into landfills which are reaching their maximum capacity. Valorisation of PPMS by enzymatic hydrolysis using cellulases is an alternative strategy. Existing commercial cellulases are expensive and contain low titres of β-glucosidases. In this study, β-glucosidase production was optimised by Aspergillus japonicus VIT-SB1 to obtain higher β-glucosidase titres using the One Variable at a Time (OVAT), Plackett Burman (PBD), and Box Behnken design (BBD)of experiments and the efficiency of the optimised cellulase cocktail to hydrolyse cellulose was tested. β-Glucosidase production was enhanced from 0.4 to 10.13 U/mL, representing a 25.3-fold increase in production levels after optimisation. The optimal BBD production conditions were 6 days of fermentation at 20 °C, 125 rpm, 1.75% soy peptone, and 1.25% wheat bran in (pH 6.0) buffer. The optimal pH for β-glucosidase activity in the crude cellulase cocktail was (pH 5.0) at 50 °C. Optimal cellulose hydrolysis using the crude cellulase cocktail occurred at longer incubation times, and higher substrate loads and enzyme doses. Cellulose hydrolysis with the A. japonicus VIT-SB1 cellulase cocktail and commercial cellulase cocktails resulted in glucose yields of 15.12 and 12.33 µmol/mL glucose, respectively. Supplementation of the commercial cellulase cocktail with 0.25 U/mg of β-glucosidase resulted in a 19.8% increase in glucose yield. Full article
(This article belongs to the Special Issue Microbial Enzymes for Biotechnological Applications)
Show Figures

Figure 1

23 pages, 3492 KB  
Article
Host-Specific Diversity of Culturable Bacteria in the Gut Systems of Fungus-Growing Termites and Their Potential Functions towards Lignocellulose Bioconversion
by Rongrong Xie, Chenchen Dong, Shengjie Wang, Blessing Danso, Mudasir A. Dar, Radhakrishna S. Pandit, Kiran D. Pawar, Alei Geng, Daochen Zhu, Xia Li, Qing Xu and Jianzhong Sun
Insects 2023, 14(4), 403; https://doi.org/10.3390/insects14040403 - 21 Apr 2023
Cited by 33 | Viewed by 4698
Abstract
Fungus-growing termites are eusocial insects that represent one of the most efficient and unique systems for lignocellulose bioconversion, evolved from a sophisticated symbiosis with lignocellulolytic fungi and gut bacterial communities. Despite a plethora of information generated during the last century, some essential information [...] Read more.
Fungus-growing termites are eusocial insects that represent one of the most efficient and unique systems for lignocellulose bioconversion, evolved from a sophisticated symbiosis with lignocellulolytic fungi and gut bacterial communities. Despite a plethora of information generated during the last century, some essential information on gut bacterial profiles and their unique contributions to wood digestion in some fungus-growing termites is still inadequate. Hence, using the culture-dependent approach, the present study aims to assess and compare the diversity of lignocellulose-degrading bacterial symbionts within the gut systems of three fungus-growing termites: Ancistrotermes pakistanicus, Odontotermes longignathus, and Macrotermes sp. A total of 32 bacterial species, belonging to 18 genera and 10 different families, were successfully isolated and identified from three fungus-growing termites using Avicel or xylan as the sole source of carbon. Enterobacteriaceae was the most dominant family represented by 68.1% of the total bacteria, followed by Yersiniaceae (10.6%) and Moraxellaceae (9%). Interestingly, five bacterial genera such as Enterobacter, Citrobacter, Acinetobacter, Trabulsiella, and Kluyvera were common among the tested termites, while the other bacteria demonstrated a termite-specific distribution. Further, the lignocellulolytic potential of selected bacterial strains was tested on agricultural waste to evaluate their capability for lignocellulose bioconversion. The highest substrate degradation was achieved with E. chengduensis MA11 which degraded 45.52% of rice straw. All of the potential strains showed endoglucanase, exoglucanase, and xylanase activities depicting a symbiotic role towards the lignocellulose digestion within the termite gut. The above results indicated that fungus-growing termites harbor a diverse array of bacterial symbionts that differ from species to species, which may play an inevitable role to enhance the degradation efficacy in lignocellulose decomposition. The present study further elaborates our knowledge about the termite-bacteria symbiosis for lignocellulose bioconversion which could be helpful to design a future biorefinery. Full article
(This article belongs to the Special Issue Breakthrough Technologies for Future Entomology)
Show Figures

Figure 1

21 pages, 4818 KB  
Article
TtCel7A: A Native Thermophilic Bifunctional Cellulose/Xylanase Exogluclanase from the Thermophilic Biomass-Degrading Fungus Thielavia terrestris Co3Bag1, and Its Application in Enzymatic Hydrolysis of Agroindustrial Derivatives
by Azucena López-López, Alejandro Santiago-Hernández, Maribel Cayetano-Cruz, Yolanda García-Huante, Jorge E. Campos, Ismael Bustos-Jaimes, Rodolfo Marsch-Moreno, Claudia Cano-Ramírez, Claudia G. Benitez-Cardoza and María Eugenia Hidalgo-Lara
J. Fungi 2023, 9(2), 152; https://doi.org/10.3390/jof9020152 - 23 Jan 2023
Cited by 15 | Viewed by 3808
Abstract
The biomass-degrading thermophilic ascomycete fungus Thielavia terrestris Co3Bag1 produces TtCel7A, a native bifunctional cellulase/xylanase GH7 family. The purified TtCel7A, with an estimated molecular weight of 71 kDa, was biochemically characterized. TtCel7A displayed an optimal pH of 5.5 for both activities and an optimal [...] Read more.
The biomass-degrading thermophilic ascomycete fungus Thielavia terrestris Co3Bag1 produces TtCel7A, a native bifunctional cellulase/xylanase GH7 family. The purified TtCel7A, with an estimated molecular weight of 71 kDa, was biochemically characterized. TtCel7A displayed an optimal pH of 5.5 for both activities and an optimal temperature of 60 and 50 °C for cellulolytic and xylanolytic activities, respectively. The half-lives determined for cellulase activity were 140, 106, and 41 min at 50, 60, and 70 °C, respectively, whereas the half-lives observed for xylanase activity were 24, 10, and 1.4 h at 50, 60, and 70 °C, respectively. The KM and Vmax values were 3.12 mg/mL and 50 U/mg for cellulase activity and 0.17 mg/mL and 42.75 U/mg for xylanase activity. Circular dichroism analysis suggests changes in the secondary structure of TtCel7A in the presence of CMC as the substrate, whereas no modifications were observed with beechwood xylan. TtCel7A displayed the excellent capability to hydrolyze CMC, beechwood xylan, and complex substrates such as oat bran, wheat bran, and sugarcane bagasse, with glucose and cellobiose being the main products released; also, slightly less endo cellulase and xylanase activities were observed. Thus, suggesting TtCel7A has an exo- and endomode of action. Based on the characteristics of the enzyme, it might be considered a good candidate for industrial applications. Full article
(This article belongs to the Special Issue Extremophile Fungi: An Arising Novel Field in Perspective)
Show Figures

Figure 1

Back to TopTop