Sign in to use this feature.

Years

Between: -

Subjects

remove_circle_outline
remove_circle_outline
remove_circle_outline
remove_circle_outline
remove_circle_outline
remove_circle_outline
remove_circle_outline

Journals

Article Types

Countries / Regions

Search Results (92)

Search Parameters:
Keywords = ex-situ synthesis

Order results
Result details
Results per page
Select all
Export citation of selected articles as:
16 pages, 4620 KB  
Article
Ethanol Molecule Engineering Toward Stabilized 1T-MoS2 with Extraordinary Sodium Storage Performance
by Xue’er Bi, Xuelian Wang, Xiaobo Shen, Haijun Yu, Xian Zhang and Jin Bai
Molecules 2025, 30(18), 3801; https://doi.org/10.3390/molecules30183801 - 18 Sep 2025
Viewed by 201
Abstract
Phase molybdenum disulfide (1T-MoS2) holds significant promise as an anode material for sodium-ion batteries (SIBs) due to its metallic conductivity and expanded interlayer distance. However, the practical application of 1T-MoS2 is hindered by its inherent thermodynamic metastability, which poses substantial [...] Read more.
Phase molybdenum disulfide (1T-MoS2) holds significant promise as an anode material for sodium-ion batteries (SIBs) due to its metallic conductivity and expanded interlayer distance. However, the practical application of 1T-MoS2 is hindered by its inherent thermodynamic metastability, which poses substantial challenges for the synthesis of high-purity, long-term stable 1T phase MoS2. Herein, a synergetic ethanol molecule intercalation and electron injection engineering is adopted to induce the formation and stabilization of 1T-MoS2 (E-1T MoS2). The obtained E-1T MoS2 consists of regularly arranged sphere-like ultrasmall few-layered 1T-MoS2 nanosheets with expanded interlayer spacing. The high intrinsic conductivity and enlarged interlayer spacing are greatly favorable for rapid Na+ or e transport. The elaborated nanosheets structure can effectively relieve volume variation during Na+ intercalating/deintercalating processes, shorten transport path of Na+, and enhance diffusion kinetics. Furthermore, a novel sodium reaction mechanism involving the formation of MoS2 nanoclusters during cycling is revealed to produce the higher surface pseudocapacitive contribution to Na+ storage capacity, accelerating Na+ reaction kinetics, as confirmed by the kinetics analysis and ex-situ structural characterizations. Consequently, the E-1T MoS2 electrode exhibits an excellent sodium storage performance. This work provides an important reference for synthesis and reaction mechanism analysis of metastable metal sulfides for advanced SIBs. Full article
Show Figures

Graphical abstract

62 pages, 4192 KB  
Review
Advancements in Magnetorheological Foams: Composition, Fabrication, AI-Driven Enhancements and Emerging Applications
by Hesamodin Khodaverdi and Ramin Sedaghati
Polymers 2025, 17(14), 1898; https://doi.org/10.3390/polym17141898 - 9 Jul 2025
Viewed by 983
Abstract
Magnetorheological (MR) foams represent a class of smart materials with unique tunable viscoelastic properties when subjected to external magnetic fields. Combining porous structures with embedded magnetic particles, these materials address challenges such as leakage and sedimentation, typically encountered in conventional MR fluids while [...] Read more.
Magnetorheological (MR) foams represent a class of smart materials with unique tunable viscoelastic properties when subjected to external magnetic fields. Combining porous structures with embedded magnetic particles, these materials address challenges such as leakage and sedimentation, typically encountered in conventional MR fluids while offering advantages like lightweight design, acoustic absorption, high energy harvesting capability, and tailored mechanical responses. Despite their potential, challenges such as non-uniform particle dispersion, limited durability under cyclic loads, and suboptimal magneto-mechanical coupling continue to hinder their broader adoption. This review systematically addresses these issues by evaluating the synthesis methods (ex situ vs. in situ), microstructural design strategies, and the role of magnetic particle alignment under varying curing conditions. Special attention is given to the influence of material composition—including matrix types, magnetic fillers, and additives—on the mechanical and magnetorheological behaviors. While the primary focus of this review is on MR foams, relevant studies on MR elastomers, which share fundamental principles, are also considered to provide a broader context. Recent advancements are also discussed, including the growing use of artificial intelligence (AI) to predict the rheological and magneto-mechanical behavior of MR materials, model complex device responses, and optimize material composition and processing conditions. AI applications in MR systems range from estimating shear stress, viscosity, and storage/loss moduli to analyzing nonlinear hysteresis, magnetostriction, and mixed-mode loading behavior. These data-driven approaches offer powerful new capabilities for material design and performance optimization, helping overcome long-standing limitations in conventional modeling techniques. Despite significant progress in MR foams, several challenges remain to be addressed, including achieving uniform particle dispersion, enhancing viscoelastic performance (storage modulus and MR effect), and improving durability under cyclic loading. Addressing these issues is essential for unlocking the full potential of MR foams in demanding applications where consistent performance, mechanical reliability, and long-term stability are crucial for safety, effectiveness, and operational longevity. By bridging experimental methods, theoretical modeling, and AI-driven design, this work identifies pathways toward enhancing the functionality and reliability of MR foams for applications in vibration damping, energy harvesting, biomedical devices, and soft robotics. Full article
(This article belongs to the Section Polymer Composites and Nanocomposites)
Show Figures

Figure 1

14 pages, 2508 KB  
Article
Enhancement of Efficiency in an Ex Situ Coprecipitation Method for Superparamagnetic Bacterial Cellulose Hybrid Materials
by Thaís Cavalcante de Souza, Italo José Batista Durval, Hugo Moraes Meira, Andréa Fernanda de Santana Costa, Eduardo Padrón Hernández, Attilio Converti, Glória Maria Vinhas and Leonie Asfora Sarubbo
Membranes 2025, 15(7), 198; https://doi.org/10.3390/membranes15070198 - 1 Jul 2025
Viewed by 735
Abstract
Superparamagnetic magnetite nanoparticles (Fe3O4) have garnered considerable interest due to their unique magnetic properties and potential for integration into multifunctional biomaterials. In particular, their incorporation into bacterial cellulose (BC) matrices offers a promising route for developing sustainable and high-performance [...] Read more.
Superparamagnetic magnetite nanoparticles (Fe3O4) have garnered considerable interest due to their unique magnetic properties and potential for integration into multifunctional biomaterials. In particular, their incorporation into bacterial cellulose (BC) matrices offers a promising route for developing sustainable and high-performance magnetic composites. Numerous studies have explored BC-magnetite systems; however, innovations combining ex situ coprecipitation synthesis within BC matrices, tailored reagent molar ratios, stirring protocols, and purification processes remain limited. This study aimed to optimize the ex situ coprecipitation method for synthesizing superparamagnetic magnetite nanoparticles embedded in BC membranes, focusing on enhancing particle stability and crystallinity. BC membranes containing varying concentrations of magnetite (40%, 50%, 60%, and 70%) were characterized using X-ray diffraction (XRD), Fourier-transform infrared spectroscopy (FTIR), scanning electron microscopy (SEM), and vibrating sample magnetometry (VSM). The resulting magnetic BC membranes demonstrated homogenous dispersion of nanoparticles, improved crystallite size (6.96 nm), and enhanced magnetic saturation (Ms) (50.4 emu/g), compared to previously reported methods. The adoption and synergistic optimization of synthesis parameters—unique to this study—conferred greater control over the physicochemical and magnetic properties of the composites. These findings position the optimized BC-magnetite nanocomposites as highly promising candidates for advanced applications, including electromagnetic interference (EMI) shielding, electronic devices, gas sensors, MRI contrast agents, and targeted drug delivery systems. Full article
(This article belongs to the Section Membrane Fabrication and Characterization)
Show Figures

Figure 1

19 pages, 13393 KB  
Article
Erosive Wear of Stainless Steel-Based Hardfacings with Ex-Situ and In-Situ Synthesized TiC
by Sibel Yöyler, Andrei Surženkov, Marek Tarraste, Mart Kolnes and Kristjan Juhani
Coatings 2025, 15(6), 658; https://doi.org/10.3390/coatings15060658 - 29 May 2025
Viewed by 481
Abstract
The resistance to erosion of stainless steel-based plasma transferred arc (PTA)-cladded hardfacings reinforced with ex-situ-synthesized TiC is compared to those reinforced using in-situ-synthesized TiC (formed from TiO2 and graphite). The PTA cladding was performed under an optimized torch linear velocity of 0.7 [...] Read more.
The resistance to erosion of stainless steel-based plasma transferred arc (PTA)-cladded hardfacings reinforced with ex-situ-synthesized TiC is compared to those reinforced using in-situ-synthesized TiC (formed from TiO2 and graphite). The PTA cladding was performed under an optimized torch linear velocity of 0.7 m/s and cladding current of 115 A. The microstructure of the cladded overlay was analyzed using scanning electron microscopy (SEM), and the phase composition was determined using X-ray diffraction (XRD). Vickers macrohardness measurements were made at representative areas at the surface of the overlays. An erosive wear test was conducted with impact angles of 30° and 90° and impact velocities of 20, 50, and 80 m/s. The formation of TiC from TiO2 and graphite started during ball milling and ended during the cladding stage. The final TiC content in the hardfacings was below nominal, which is likely due to carbide segregation occurring during the cladding process. The highest hardness was 2.4 times that of stainless steel, which was observed in the deposit containing 60 vol.% ex-situ-synthesized TiC. Both ex-situ and in-situ TiC reinforcement improved resistance to erosion, providing up to 1.5 times better resistance under the 30° impact angle and up to 6.3 times under the 90° impact angle than that of stainless steel. However, ex-situ TiC showed a slightly larger improvement. At the 30° impact angle, the primary wear mechanism is micro-ploughing, but at the 90° impact angle it is surface fatigue. Both mechanisms appeared at both angles under 80 m/s impact velocity. Full article
Show Figures

Graphical abstract

25 pages, 6204 KB  
Article
Sustainable Antibacterial Chitin Nanofiber/ZnO Nanohybrid Materials: Ex Situ and In Situ Synthesis, Characterization and Evaluation
by Caroline Piffet, Jean-Michel Thomassin, Emilie Stierlin, Job Tchoumtchoua, Claudio Fernández, Marta Mateo, Leyre Hernández, Kyriaki Marina Lyra, Aggeliki Papavasiliou, Elias Sakellis, Fotios K. Katsaros, Zili Sideratou and Dimitris Tsiourvas
Nanomaterials 2025, 15(11), 809; https://doi.org/10.3390/nano15110809 - 28 May 2025
Viewed by 700
Abstract
Diseases caused by infection are a threat to human health and the world economy, with bacterial infections being responsible for a large portion of hospitalizations, morbidity, and mortality, which necessitates the quest for advanced medications and/or sustainable antibacterial strategies. This study aims to [...] Read more.
Diseases caused by infection are a threat to human health and the world economy, with bacterial infections being responsible for a large portion of hospitalizations, morbidity, and mortality, which necessitates the quest for advanced medications and/or sustainable antibacterial strategies. This study aims to develop bioderived chitin nanofibers (ChNFs) and ZnO nanoparticles to produce non-toxic nanohybrid materials with improved aqueous stability and enhanced antibacterial properties. These nanohybrids were formed via either (i) an ex situ route by mixing the ChNFs with ZnO nanoparticles prepared by flame spray pyrolysis or (ii) an in situ route resulting in ZnO nanoparticles being formed and embedded into ChNFs by a simple aqueous hydrothermal process, utilizing a low-cost Zn inorganic precursor. The ChNFs, the ZnO nanoparticles, and the nanohybrids were physicochemically characterized for their size, morphology, charge and stability. Their antibacterial activity was evaluated against Gram (−) E. coli and Gram (+) S. aureus bacteria, while their cytocompatibility was assessed against mammalian cell lines. The obtained results reveal a balance between antibacterial activity and cytocompatibility, as both nanohybrids exhibited satisfactory antibacterial activity (MIC 200–300 μg/mL) combined with low cytotoxicity against mammalian cell lines (cell viability 80–100%), indicating that their further application as safe and effective antibacterial agents is promising. Full article
Show Figures

Graphical abstract

16 pages, 3992 KB  
Article
Mixing Approaches in Enhancing the Capacitive Performance of rGO-Based Hybrid Electrodes
by Svetlana Veleva, Delyana Marinova, Sonya Harizanova, Violeta Koleva, Elefteria Lefterova, Maria Shipochka, Ognian Dimitrov, Antonia Stoyanova and Radostina Stoyanova
Materials 2025, 18(11), 2460; https://doi.org/10.3390/ma18112460 - 24 May 2025
Cited by 2 | Viewed by 584
Abstract
Combining carbon materials with oxides in a hybrid electrode is an effective way to control supercapacitor performance in terms of balancing energy and power density with cycling stability. However, it is still unclear how the mixing method of each component affects the supercapacitor [...] Read more.
Combining carbon materials with oxides in a hybrid electrode is an effective way to control supercapacitor performance in terms of balancing energy and power density with cycling stability. However, it is still unclear how the mixing method of each component affects the supercapacitor performance. In this study, the influence of mixing reduced graphene oxide (rGO) with ilmenite-type nickel-manganese oxide (NiMnO3) on the capacitive behaviour of the resulting composites is investigated. Two preparation methods are compared: mechanical mixing and ultrasonication. The capacitive characteristics were evaluated in hybrid supercapacitors using 6M KOH electrolyte. The bulk, surface, and morphological changes of the composites after long-term cycling were probed by EIS and ex situ XRD, XPS, and SEM analyses. It is established that the composites obtained by mechanical mixing exhibit better performance due to the stable contact between rGO and NiMnO3 particles, favourable surface reactions with KOH and preserved morphology of rGO. These findings indicate that efficient hybrid electrodes can be achieved without relying on costly synthesis techniques such as hydrothermal or ultrasonic treatments. Full article
(This article belongs to the Section Advanced Nanomaterials and Nanotechnology)
Show Figures

Figure 1

22 pages, 5233 KB  
Article
A Novel Green In Situ Amine-Functionalized Aerogel UiO-66-NH2/TOCNF for the Removal of Azo Anionic Dyes
by Rabia Amen, Islam Elsayed, Yunsang Kim, Gregory T. Schueneman, Emad M. El-Giar and El Barbary Hassan
Gels 2025, 11(5), 365; https://doi.org/10.3390/gels11050365 - 15 May 2025
Viewed by 1651
Abstract
UiO-66-NH2 is a metal–organic framework (MOF) with open metal sites, making it a promising candidate for adsorption and catalysis. However, the powdery texture of MOFs and the use of toxic solvents during synthesis limit their application. A novel solution to this issue [...] Read more.
UiO-66-NH2 is a metal–organic framework (MOF) with open metal sites, making it a promising candidate for adsorption and catalysis. However, the powdery texture of MOFs and the use of toxic solvents during synthesis limit their application. A novel solution to this issue is to create a layered porous composite by encasing the MOF within a flexible and structurally robust aerogel substrate using safe, eco-friendly, and green solvents such as ethanol. The fibrous MOF aerogels, characterized by a desirable macroscopic shape of cylindrical block and hierarchical porosity, were synthesized by two approaches: in situ growth of amine-functionalized UiO-66-NH2 crystals on a TEMPO-oxidized cellulose nanofiber (TOCNF) and ex situ crosslinking of UiO-66-NH2 crystals onto a TOCNF network to form UiO-66-NH2/TOCNF. The incorporation of MOF into the cellulose nanofibrils via the in situ method reduces their aggregation potential, alters the nucleation/growth balance to produce smaller MOF crystals, and enhances mechanical flexibility, as evidenced by SEM images. The three adsorbents, including UiO-66-NH2, ex situ UiO-66-NH2/TOCNF, and in situ UiO-66-NH2/TOCNF, were synthesized and used in this study. The effects of pH, time, temperature, and initial concentration were studied. A maximum adsorption capacity (Qmax) of 549.45 mg/g for Congo Red (CR) and 171.23 mg/g for Orange II (ORII) was observed at pH 6, using 10 mg of in situ UiO-66-NH2/TOCNF at 40 °C with a contact time of 75 min for CR and 2 h for ORII. The adsorption of both dyes primarily occurs through monolayer chemisorption on the in situ UiO-66-NH2/TOCNF. The main removal mechanisms were hydrogen bonding and surface complexation. The noteworthy adsorption capacity of in situ UiO-66-NH2/TOCNF coupled with environment-friendly fabrication techniques indicates its potential applications on a large scale in real wastewater systems. Full article
(This article belongs to the Special Issue Cellulose-Based Gels: Synthesis, Properties, and Applications)
Show Figures

Figure 1

21 pages, 1957 KB  
Review
A Pipeline for the Isolation and Cultivation of Microalgae and Cyanobacteria from Hypersaline Environments
by Petra Tavčar Verdev and Marko Dolinar
Microorganisms 2025, 13(3), 603; https://doi.org/10.3390/microorganisms13030603 - 5 Mar 2025
Cited by 1 | Viewed by 2283
Abstract
Microorganisms in high-salinity environments play a critical role in biogeochemical cycles, primary production, and the biotechnological exploitation of extremozymes and bioactive compounds. The main challenges in current research include isolating and cultivating these microorganisms under laboratory conditions and understanding their complex adaptive mechanisms [...] Read more.
Microorganisms in high-salinity environments play a critical role in biogeochemical cycles, primary production, and the biotechnological exploitation of extremozymes and bioactive compounds. The main challenges in current research include isolating and cultivating these microorganisms under laboratory conditions and understanding their complex adaptive mechanisms to high salinity. Currently, universally recognized protocols for isolating microalgae and cyanobacteria from salt pans, salterns, and similar natural habitats are lacking. Establishing axenic laboratory cultures is essential for identifying new species thriving in high-salinity environments and for exploring the synthesis of high-value metabolites by these microorganisms ex situ. Our ongoing research primarily focuses on photosynthetic microorganisms with significant biotechnological potential, particularly for skincare applications. By integrating data from the existing literature with our empirical findings, we propose a standardized pipeline for the isolation and laboratory cultivation of microalgae and cyanobacteria originating from aqueous environments characterized by elevated salt concentrations, such as solar salterns. This approach will be particularly useful for researchers working with microorganisms adapted to hypersaline waters. Full article
Show Figures

Figure 1

11 pages, 5035 KB  
Article
Selective Carbon Dioxide Hydrogenation to Olefin-Rich Hydrocarbons by Cu/FeOx Nanoarchitectures Under Atmospheric Pressure
by Muhammad I. Qadir, Naděžda Žilková, Libor Kvítek and Stefan Vajda
Nanomaterials 2025, 15(5), 353; https://doi.org/10.3390/nano15050353 - 24 Feb 2025
Cited by 1 | Viewed by 1031
Abstract
The conversion of carbon dioxide into fuels and fine chemicals is a highly desirable route for mitigating flue gas emissions. However, achieving selectivity toward olefins remains challenging and typically requires high temperatures and pressures. Herein, we address this challenge using 12 nm copper [...] Read more.
The conversion of carbon dioxide into fuels and fine chemicals is a highly desirable route for mitigating flue gas emissions. However, achieving selectivity toward olefins remains challenging and typically requires high temperatures and pressures. Herein, we address this challenge using 12 nm copper nanoparticles supported on FeOx micro-rods, which promote the selective hydrogenation of CO2 to light olefins (C2–C4) under atmospheric pressure. This catalyst achieves up to 27% conversion and 52% selectivity toward C2–C4 olefins, along with the production of C2–C4 paraffins, C5+ hydrocarbons (with all C1+ products totalling to up to about 75%), and methane, while suppressing CO formation to just 1% at 340 °C. The enhanced performance of the Cu/FeOx pre-catalyst is attributed to the efficient in situ generation of iron carbides (Fe5C2) in the presence of copper nanoparticles, as confirmed by ex situ XRD analysis. Copper facilitates the reduction of FeOx to form Fe5C2, a crucial intermediate for shifting the reaction equilibrium toward higher hydrocarbons. The hydrogenation of CO2 to higher hydrocarbons proceeds through the reverse water–gas shift reaction coupled with Fischer–Tropsch synthesis. Full article
(This article belongs to the Special Issue Nanocatalysts for Air Purification)
Show Figures

Graphical abstract

15 pages, 3697 KB  
Review
Living Coral Displays, Research Laboratories, and Biobanks as Important Reservoirs of Chemodiversity with Potential for Biodiscovery
by Ricardo Calado, Miguel C. Leal, Ruben X. G. Silva, Mara Borba, António Ferro, Mariana Almeida, Diana Madeira and Helena Vieira
Mar. Drugs 2025, 23(2), 89; https://doi.org/10.3390/md23020089 - 19 Feb 2025
Viewed by 1414
Abstract
Over the last decades, bioprospecting of tropical corals has revealed numerous bioactive compounds with potential for biotechnological applications. However, this search involves sampling in natural reefs, and this is currently hampered by multiple ethical and technological constraints. Living coral displays, research laboratories, and [...] Read more.
Over the last decades, bioprospecting of tropical corals has revealed numerous bioactive compounds with potential for biotechnological applications. However, this search involves sampling in natural reefs, and this is currently hampered by multiple ethical and technological constraints. Living coral displays, research laboratories, and biobanks currently offer an opportunity to continue to unravel coral chemodiversity, acting as “Noah’s Arks” that may continue to support the bioprospecting of molecules of interest. This issue is even more relevant if one considers that tropical coral reefs currently face unprecedent threats and irreversible losses that may impair the biodiscovery of molecules with potential for new products, processes, and services. Living coral displays provide controlled environments for studying corals and producing both known and new metabolites under varied conditions, and they are not prone to common bottlenecks associated with bioprospecting in natural coral reefs, such as loss of the source and replicability. Research laboratories may focus on a particular coral species or bioactive compound using corals that were cultured ex situ, although they may differ from wild conspecifics in metabolite production both in quantitative and qualitative terms. Biobanks collect and preserve coral specimens, tissues, cells, and/or information (e.g., genes, associated microorganisms), which offers a plethora of data to support the study of bioactive compounds’ mode of action without having to cope with issues related to access, standardization, and regulatory compliance. Bioprospecting in these settings faces several challenges and opportunities. On one hand, it is difficult to ensure the complexity of highly biodiverse ecosystems that shape the production and chemodiversity of corals. On the other hand, it is possible to maximize biomass production and fine tune the synthesis of metabolites of interest under highly controlled environments. Collaborative efforts are needed to overcome barriers and foster opportunities to fully harness the chemodiversity of tropical corals before in-depth knowledge of this pool of metabolites is irreversibly lost due to tropical coral reefs’ degradation. Full article
(This article belongs to the Special Issue Biologically Active Compounds from Marine Invertebrates 2025)
Show Figures

Figure 1

19 pages, 9146 KB  
Article
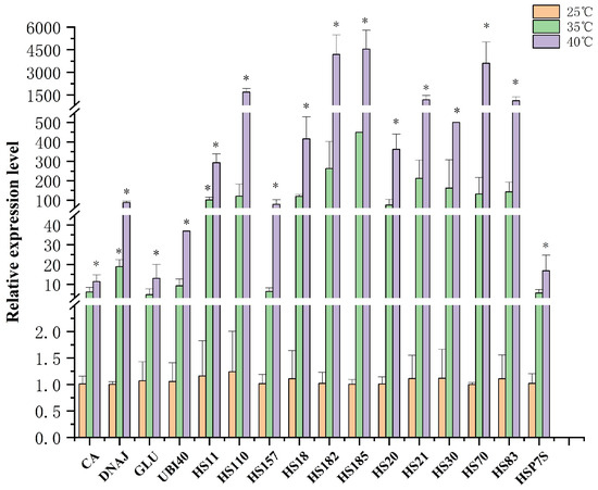
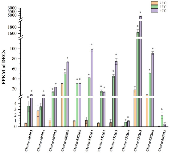
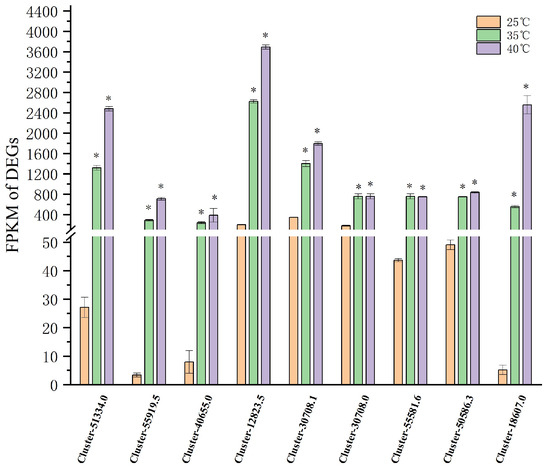
Transcriptome Analysis of Magnolia sieboldii K. Koch in Response to Heat Stress
by Jinling Wang, Yaling Wang, Ruijian Wang, Jing Wang and Yongxiang Kang
Forests 2025, 16(2), 218; https://doi.org/10.3390/f16020218 - 24 Jan 2025
Viewed by 962
Abstract
Magnolia sieboldii K. Koch is a relict plant species that survived in the glacial period. The species possesses significant esthetic value and is predominantly found in vertically stratified high-altitude forests located in southern China. The primary limiting factor for urban greening when introducing [...] Read more.
Magnolia sieboldii K. Koch is a relict plant species that survived in the glacial period. The species possesses significant esthetic value and is predominantly found in vertically stratified high-altitude forests located in southern China. The primary limiting factor for urban greening when introducing high-altitude species to low-altitude areas is excessive temperature. However, the response mechanism of M. sieboldii to elevated temperatures remains unclear. In this study, we employed the RNASeq technique to investigate the response mechanism of M. sieboldii under heat stress conditions. A total of 88,746 unigenes were obtained, with over 36.51% of these unigenes being annotated in at least one publicly available database. The comparison of the 35 °C and 40 °C treatment groups with the control group revealed a total of 7470 and 13,494 differentially expressed genes (DEGs), respectively. The Kyoto Encyclopedia of Genes and Genomes (KEGG) pathway enrichment analysis revealed that the differentially up-regulated and down-regulated genes were implicated in plant–pathogen interactions, plant hormone signal transduction, and the MAPK signaling pathway-plant. Differential expression genes associated with the response to heat stress were also observed, including transcription factors such as AP2/EREBPs, WRKY, NACs, MYBs, bZIPs, and HSFs. These transcription factors may collectively modulate cellular metabolism, signal transduction pathways, and the synthesis as well as degradation of response proteins in M. sieboldii. In addition, network analysis using STRING on different genes revealed that the central node proteins in the network were CLPB1, HSP70-4, HOP3, P58IPK, HSP90-2, ERDJ3B, and MBF1C, all of which exhibited associations with heat tolerance. The findings of this study enhance our comprehension of the molecular regulatory mechanism underlying heat stress in M. sieboldii, which holds significant implications for investigating its translocation from high-altitude to low-altitude regions and ex situ conservation. Full article
(This article belongs to the Section Forest Ecophysiology and Biology)
Show Figures

Figure 1

11 pages, 3482 KB  
Brief Report
Easy One-Pot Decoration of Graphene Oxide Nanosheets by Green Silver Nanoparticles
by Ileana Ielo, Federica De Gaetano, Elpida Piperopoulos, Giovanna De Luca and Sabrina Conoci
Int. J. Mol. Sci. 2025, 26(2), 713; https://doi.org/10.3390/ijms26020713 - 16 Jan 2025
Cited by 4 | Viewed by 1390
Abstract
In this study, we developed a facile one-pot synthesis of a nanocomposite consisting of silver nanoparticles (AgNPs) growing over graphene oxide (GO) nanoflakes (AgNPs@GO). The process consists of the in situ formation of AgNPs in the presence of GO nanosheets via the spontaneous [...] Read more.
In this study, we developed a facile one-pot synthesis of a nanocomposite consisting of silver nanoparticles (AgNPs) growing over graphene oxide (GO) nanoflakes (AgNPs@GO). The process consists of the in situ formation of AgNPs in the presence of GO nanosheets via the spontaneous decomposition of silver(I) acetylacetonate (Ag(acac)) after dissolution in water. This protocol is compared to an ex situ approach where AgNPs are added to a waterborne GO nanosheet suspension to account for any attractive interaction between preformed nanomaterials. The systems under investigation are characterized by UV/vis absorption spectroscopy, dynamic light scattering (DLS), zeta potential (Z-Pot), and scanning electron microscopy with energy-dispersive X-ray spectroscopy (SEM-EDX). The stability of the AgNPs@GO composite suspension is tested as a function of GO concentration (0–67 μg/mL) while maintaining a constant Ag content (14.4 μg/mL), exhibiting excellent stability over time up to an Ag-to-GO mass ratio of 0.58. Full article
Show Figures

Graphical abstract

13 pages, 4116 KB  
Article
Unveiling the Influence of Activation Protocols on Cobalt Catalysts for Sustainable Fuel Synthesis
by M. Amine Lwazzani, Andrés A. García Blanco, Martí Biset-Peiró, Elena Martín Morales and Jordi Guilera
Catalysts 2024, 14(12), 920; https://doi.org/10.3390/catal14120920 - 13 Dec 2024
Cited by 2 | Viewed by 993
Abstract
The Fischer–Tropsch Synthesis process is projected to have a significant impact in the near future due to its potential for synthesizing sustainable fuels from biomass, carbon dioxide and organic wastes. In this catalytic process, catalyst activation plays a major role in the overall [...] Read more.
The Fischer–Tropsch Synthesis process is projected to have a significant impact in the near future due to its potential for synthesizing sustainable fuels from biomass, carbon dioxide and organic wastes. In this catalytic process, catalyst activation plays a major role in the overall performance of Fischer–Tropsch Synthesis. Catalyst activation temperatures are considerably higher than the typical operating conditions of industrial reactors. Consequently, ex situ activation is often required for industrial Fischer–Tropsch Synthesis processes. This study evaluated the influence of different activation approaches (in situ, ex situ, passivation and low-temperature activation). Catalytic experiments were conducted in a fixed-bed reactor at 230 °C and 20 bar·g using a reference supported Co/γ-Al2O3 catalyst. Experimental results demonstrate that catalysts can be effectively reduced ex situ. This work reveals that re-activation of the catalyst after ex situ reduction is unnecessary, as the reaction conditions themselves re-reduce any superficial oxides formed, owing to the reducing nature of the reactant mixture. This approach could simplify reactor design by enabling temperature requirements to match operating conditions (e.g., 230 °C), thereby reducing both investment and operational costs and eliminating additional catalyst preparation steps. Full article
Show Figures

Figure 1

21 pages, 7161 KB  
Article
Integrating Metal–Organic Frameworks and Polyamide 12 for Advanced Hydrogen Storage Through Powder Bed Fusion
by Chengming Shang, Yaan Liu, Oana Ghita, Noa Lachman, Dong Wang and Mi Tian
Energies 2024, 17(21), 5430; https://doi.org/10.3390/en17215430 - 30 Oct 2024
Cited by 2 | Viewed by 1386
Abstract
This paper introduces a pioneering approach that combines ex situ synthesis with advanced manufacturing to develop ZIF-67-PA12 Nylon composites with mixed-matrix membranes (MMMs), with the goal of enhancing hydrogen storage systems. One method involves producing MOF-PA12 composite powders through an in situ process, [...] Read more.
This paper introduces a pioneering approach that combines ex situ synthesis with advanced manufacturing to develop ZIF-67-PA12 Nylon composites with mixed-matrix membranes (MMMs), with the goal of enhancing hydrogen storage systems. One method involves producing MOF-PA12 composite powders through an in situ process, which is then commonly used as a base powder for powder bed fusion (PBF) to fabricate various structures. However, developing the in situ MOF-PA12 matrix presents challenges, including limited spreadability and processability at higher MOF contents, as well as reduced porosity due to pore blockage by polymers, ultimately diminishing hydrogen storage capacity. To overcome these issues, PBF is employed to form PA12 powder into films, followed by the ex situ direct synthesis of ZIF-67 onto these substrates at loadings exceeding those typically used in conventional MMM composites. In this study, ZIF-67 mass loadings ranging from 2 to 30 wt.% were synthesized on both PA12 powder and printed film substrates, with loadings on printed PA12 films extended up to 60 wt.%. ZIF-67-PA12-60(f) demonstrated a hydrogen capacity of 0.56 wt.% and achieved 1.53 wt.% for ZIF-67-PA12-30(p); in comparison, PA12 exhibited a capacity of 0.38 wt.%. This was undertaken to explore a range of ZIF-67 Metal–organic frameworks (MOFs) to assess their impact on the properties of the composite, particularly for hydrogen storage applications. Our results demonstrate that ex situ-synthesized ZIF-67-PA12 composite MMMs, which can be used as a final product for direct application and do not require the use of in situ pre-synthesized powder for the PBF process, not only retain significant hydrogen storage capacities, but also offer advantages in terms of repeatability, cost-efficiency, and ease of production. These findings highlight the potential of this innovative composite material as a practical and efficient solution for hydrogen storage, paving the way for advancements in energy storage technologies. Full article
(This article belongs to the Special Issue Hydrogen Energy Storage: Materials, Methods and Perspectives)
Show Figures

Figure 1

29 pages, 31375 KB  
Article
The Dispersion-Strengthening Effect of TiN Nanoparticles Evoked by Ex Situ Nitridation of Gas-Atomized, NiCu-Based Alloy 400 in Fluidized Bed Reactor for Laser Powder Bed Fusion
by Jan-Philipp Roth, Ivo Šulák, Markéta Gálíková, Antoine Duval, Germain Boissonnet, Fernando Pedraza, Ulrich Krupp and Katrin Jahns
J. Manuf. Mater. Process. 2024, 8(5), 223; https://doi.org/10.3390/jmmp8050223 - 2 Oct 2024
Cited by 2 | Viewed by 1751
Abstract
Throughout recent years, the implementation of nanoparticles into the microstructure of additively manufactured (AM) parts has gained great attention in the material science community. The dispersion strengthening (DS) effect achieved leads to a substantial improvement in the mechanical properties of the alloy used. [...] Read more.
Throughout recent years, the implementation of nanoparticles into the microstructure of additively manufactured (AM) parts has gained great attention in the material science community. The dispersion strengthening (DS) effect achieved leads to a substantial improvement in the mechanical properties of the alloy used. In this work, an ex situ approach of powder conditioning prior to the AM process as per a newly developed fluidized bed reactor (FBR) was applied to a titanium-enriched variant of the NiCu-based Alloy 400. Powders were investigated before and after FBR exposure, and it was found that the conditioning led to a significant increase in the TiN formation along grain boundaries. Manufactured to parts via laser-based powder bed fusion of metals (PBF-LB/M), the ex situ FBR approach not only revealed a superior microstructure compared to unconditioned parts but also with respect to a recently introduced in situ approach based on a gas atomization reaction synthesis (GARS). A substantially higher number of nanoparticles formed along cell walls and enabled an effective suppression of dislocation movement, resulting in excellent tensile, creep, and fatigue properties, even at elevated temperatures up to 750 °C. Such outstanding properties have never been documented for AM-processed Alloy 400, which is why the demonstrated FBR ex situ conditioning marks a promising modification route for future alloy systems. Full article
(This article belongs to the Special Issue High-Performance Metal Additive Manufacturing)
Show Figures

Figure 1

Back to TopTop