Sign in to use this feature.

Years

Between: -

Subjects

remove_circle_outline
remove_circle_outline
remove_circle_outline
remove_circle_outline
remove_circle_outline
remove_circle_outline
remove_circle_outline

Journals

Article Types

Countries / Regions

Search Results (31)

Search Parameters:
Keywords = ethyl vanillin

Order results
Result details
Results per page
Select all
Export citation of selected articles as:
18 pages, 408 KB  
Article
Influence of Ultrasound-Assisted and Supercritical CO2 Extraction on Phytochemical Profiles with Antimicrobial and Antioxidant Functionality from Olive Leaves and Olive Pomace
by Yesuneh Gizaw, María José Benito, María de los Ángeles Rivas, Iris Gudiño, María de Guía Córdoba and Rocío Casquete
Molecules 2026, 31(7), 1186; https://doi.org/10.3390/molecules31071186 - 2 Apr 2026
Viewed by 453
Abstract
This study evaluated olive leaves from three cultivars (Hojiblanca, Picual, and Arbequina) and olive pomace as complementary sources of bioactive compounds, comparing ultrasound-assisted extraction using organic solvents (UAE) with supercritical CO2 extraction (SFE). The aim was to determine how the plant matrix [...] Read more.
This study evaluated olive leaves from three cultivars (Hojiblanca, Picual, and Arbequina) and olive pomace as complementary sources of bioactive compounds, comparing ultrasound-assisted extraction using organic solvents (UAE) with supercritical CO2 extraction (SFE). The aim was to determine how the plant matrix and extraction method influence phytochemical composition and functional properties, including antioxidant and antimicrobial activity. The results showed that both factors strongly affected extract composition and bioactivity. UAE favored the recovery of phenolic compounds associated with antioxidant activity, particularly in leaf extracts, while SFE promoted a distinct compositional profile enriched in flavonoids and lipophilic constituents, especially in olive pomace. Multivariate analysis confirmed a clear differentiation between matrices and extraction methods. Leaf extracts from Picual and Arbequina were mainly associated with phenolic compounds linked to antioxidant activity, including luteolin, ethyl vanillin, tyrosol, and isorhamnetin-3-O-glucoside. In contrast, olive pomace extracts were more strongly associated with flavonoids and lipophilic metabolites, such as triterpenes (oleanolic, maslinic, and ursolic acids) and lipid derivatives (oleic acid and lauric isopropanolamide). These compositional differences were reflected in biological activity: UAE extracts showed higher antioxidant activity, whereas SFE extracts, enriched in lipophilic and triterpenic compounds, exhibited stronger antimicrobial effects against Pseudomonas savastanoi and Hanseniaspora sp. Overall, these findings demonstrate that extraction-driven selectivity enables the production of olive-derived extracts with targeted functionalities, with UAE favoring antioxidant-oriented extracts and SFE promoting extracts enriched in lipophilic compounds with antimicrobial potential, particularly from olive pomace. Full article
Show Figures

Figure 1

15 pages, 5479 KB  
Article
Transfer Hydrogenation of Vanillin with Formic Acid over Graphene-Encapsulated Nitrogen-Doped Bimetallic Magnetic Pd/Fe@N/C Catalyst
by Hualiang Zuo, Yulong Lei and Jianguo Liu
Catalysts 2025, 15(9), 906; https://doi.org/10.3390/catal15090906 - 18 Sep 2025
Viewed by 971
Abstract
The improved biomass-derived aldehyde compounds represent a valuable route to the production of high-value-added fuels and chemicals. However, the majority of mature catalytic systems exhibit low hydrodeoxygenation (HDO) activity, even under harsh reaction conditions. In this study, it was observed that a Pd/Fe [...] Read more.
The improved biomass-derived aldehyde compounds represent a valuable route to the production of high-value-added fuels and chemicals. However, the majority of mature catalytic systems exhibit low hydrodeoxygenation (HDO) activity, even under harsh reaction conditions. In this study, it was observed that a Pd/Fe magnetic bimetallic catalyst, in conjunction with formic acid (FA) as a hydrogen source and nitrogen-containing carbon material as a support, exhibited remarkable catalytic performance for the conversion of phenyl aldehydes in oxygenates derived from crude lignin. In the hydrogenation of vanillin, the Pd/Fe@N/C catalyst demonstrated superior catalytic activity under mild reaction conditions of 80 °C. When ethyl acetate was used as the solvent, the product was vanillyl alcohol (VA), and when cyclohexane was employed as the solvent, the product was p-methyl guaiacol (MMP). The yields achieved were 84.5% and 92.3%, respectively. It is recommended that further exploration of the FLOW reactor system be considered at a later stage due to the magnetic and easily separable characteristics of the catalyst. The excellent mass transfer and heat transfer performance of the FLOW reactor system will further ensure that the reaction conditions are moderate and will strive to achieve normal-temperature conversion. Full article
Show Figures

Figure 1

20 pages, 3486 KB  
Article
A Comparative Study of the Phytochemical Composition, Antioxidant Properties, and In Vitro Anti-Diabetic Efficacy of Different Extracts of Caulerpa prolifera
by Safae Ouahabi, Nour Elhouda Daoudi, Mohamed Chebaibi, Ibrahim Mssillou, Ilyesse Rahhou, Mohamed Bnouham, Belkheir Hammouti, Marie-Laure Fauconnier, Alicia Ayerdi Gotor, Larbi Rhazi and Mohammed Ramdani
Mar. Drugs 2025, 23(7), 259; https://doi.org/10.3390/md23070259 - 21 Jun 2025
Cited by 2 | Viewed by 2767
Abstract
The Moroccan coastline has been the focus of attention for researchers studying the national algal flora, with the aim of preserving these invaluable natural resources. Since the year 2000, these resources have stimulated great interest in the creation of new drugs, as well [...] Read more.
The Moroccan coastline has been the focus of attention for researchers studying the national algal flora, with the aim of preserving these invaluable natural resources. Since the year 2000, these resources have stimulated great interest in the creation of new drugs, as well as their integration into food supplements and foods. Therefore, this study aims to explore the phytochemistry of a series of extracts derived from Caulerpa prolifera. To ensure better extraction of the various metabolites present, two extraction methods, namely maceration and the Soxhlet method, were employed using solvents of varying polarity (hexane, ethyl acetate, methanol, and water). The chemical composition of the extracts was analyzed using GC-MS for fatty acids and HPLC-DAD for phenolic compounds. Antioxidant activity was evaluated using DPPH and β-carotene bleaching assays, while antidiabetic potential was assessed by in vitro inhibition of α-amylase and α-glucosidase. In addition, Molecular docking models were employed to assess the interaction between the bioactive molecules and the human pancreatic α-amylase and α-glucosidase enzymes. Vanillin, p-coumaric acid, sinapic acid, 7,3′,4′-flavon-3-ol, and kaempferol were the most abundant phenolic compounds. Anti-diabetic and antioxidant effects were highly significant. Full article
Show Figures

Figure 1

18 pages, 2383 KB  
Article
Authentic Aroma and Compound-Specific Isotope Ratios (δ13C, δ2H) Profiles of Vanilla Pods (V. planifolia and V. tahitensis)
by Long Chen, Purna Kumar Khatri, Mauro Paolini, Tiziana Nardin, Alberto Roncone, Roberto Larcher, Luca Ziller and Luana Bontempo
Molecules 2025, 30(4), 825; https://doi.org/10.3390/molecules30040825 - 11 Feb 2025
Cited by 2 | Viewed by 2540
Abstract
Stable isotope ratio analysis of carbon (δ13C) and hydrogen (δ2H) in vanillin has become a valuable tool for differentiating natural vanilla from synthetic or biosynthetic alternatives and for tracing its geographical origins. However, increasingly sophisticated fraud techniques [...] Read more.
Stable isotope ratio analysis of carbon (δ13C) and hydrogen (δ2H) in vanillin has become a valuable tool for differentiating natural vanilla from synthetic or biosynthetic alternatives and for tracing its geographical origins. However, increasingly sophisticated fraud techniques necessitate ongoing refinement of analytical methods to ensure accurate detection. This study advanced the field by investigating minor volatile organic compounds as potential biomarkers for identifying botanical and geographical origins of vanilla products. Vanilla pods from the two main vanilla species, V. planifolia and V. tahitensis, were investigated using GC-MS/MS to analyze their aromatic profile and GC-C/Py-IRMS to determine compound-specific isotope ratios, providing, for the first time, detailed and authentic isotopic and aromatic profiles. Additionally, the potential natural presence of ethyl vanillin and its corresponding glucoside precursors—molecules commonly used as synthetic vanilla-scented fragrance agents in various foods and industrial products—was explored using UHPLC-HRMS. These findings contribute to robust methods for verifying vanilla authenticity, addressing flavor complexity and isotopic composition, and enhancing the detection of adulteration in vanilla-flavored products. Full article
Show Figures

Figure 1

13 pages, 2802 KB  
Article
Profiling of Australian Stingless Bee Honey Using Multivariate Data Analysis of High-Performance Thin-Layer Chromatography Fingerprints
by Mariana Mello dos Santos, Christina Jacobs, Kevin Vinsen, Md Khairul Islam, Tomislav Sostaric, Lee Yong Lim and Cornelia Locher
Chemosensors 2025, 13(2), 30; https://doi.org/10.3390/chemosensors13020030 - 22 Jan 2025
Cited by 2 | Viewed by 2049
Abstract
The complex chemical composition of honey presents significant challenges for its analysis with variations influenced by factors such as botanical source, geographical location, bee species, harvest time, and storage conditions. This study aimed to employ high-performance thin-layer chromatography (HPTLC) fingerprinting, coupled with multivariate [...] Read more.
The complex chemical composition of honey presents significant challenges for its analysis with variations influenced by factors such as botanical source, geographical location, bee species, harvest time, and storage conditions. This study aimed to employ high-performance thin-layer chromatography (HPTLC) fingerprinting, coupled with multivariate data analysis, to characterise the chemical profiles of Australian stingless bee honey samples from two distinct bee species, Tetragonula carbonaria and Tetragonula hockingsi. Using a mobile phase composed of toluene:ethyl acetate:formic acid (6:5:1) and two derivatisation reagents, vanillin–sulfuric acid and natural product reagent/PEG, HPTLC fingerprints were developed to reveal characteristic patterns within the samples. Multivariate data analysis was employed to explore the similarities in the fingerprints and identify underlying patterns. The results demonstrated that the chemical profiles were more closely related to harvest time rather than bee species, as samples collected within the same month clustered together. The quality of the clustering results was assessed using silhouette scores. The study highlights the value of combining HPTLC fingerprinting with multivariate data analysis to produce valuable data that can aid in blending strategies and the creation of reference standards for future quality control analyses. Full article
(This article belongs to the Special Issue Chemometrics for Food, Environmental and Biological Analysis)
Show Figures

Figure 1

13 pages, 2756 KB  
Article
Effects of Different Production Methods on the Quality and Microbial Diversity of Sauerkraut in Northeast China
by Weichao Liu, Yunchao Wang, Tong Zhao, Yunfang Zheng, Guangqing Mu and Fang Qian
Foods 2024, 13(23), 3947; https://doi.org/10.3390/foods13233947 - 6 Dec 2024
Viewed by 2705
Abstract
Sauerkraut is a popular fermented food in Northeast China. However, owing to the different production methods used, the quality of commercial sauerkraut is often quite different, which is reflected mainly in the differences between starter culture (Group-L), additive addition (Group-P) and natural fermentation [...] Read more.
Sauerkraut is a popular fermented food in Northeast China. However, owing to the different production methods used, the quality of commercial sauerkraut is often quite different, which is reflected mainly in the differences between starter culture (Group-L), additive addition (Group-P) and natural fermentation (Group-H) methods. The purpose of this study was to explore the differences among the three fermentation methods by measuring physical and chemical indices, microbial diversity indices, flavour indices and volatile substances. The results revealed that there was no significant difference in the physical or chemical indices among the groups. The content of esters and alcohols in Group-L was the highest, and the taste richness, aftertaste-a and aftertaste-b were the highest, which had a positive effect on flavour. The highest level of microbial diversity was found in Group-H, which contained many pathogenic bacteria, such as Janibacter, Pseudomonas, and Vagococcus, which reduced the food safety of sauerkraut. At the genus level, the dominant bacterial genera in the starter and additive groups included Lactobacillus and Pediococcus. The correlation analysis revealed that Group-L was positively correlated with the contents of Lactobacillus plantarum, Lactobacillus brevis, Pediococcus, ethyl oleate and vanillin. In summary, this study evaluated the different production methods of northeast sauerkraut, providing theoretical support for the production of high-quality northeast sauerkraut. Full article
Show Figures

Figure 1

14 pages, 683 KB  
Article
Antioxidant and Antifungal Activities and Characterization of Phenolic Compounds Using Ultra-High Performance Liquid Chromatography and Mass Spectrometry (UPLC-MS) of Aqueous Extracts and Fractions from Verbesina sphaerocephala Stems
by Kathia Yanelly Rodríguez-Valdovinos, Rafael Salgado-Garciglia, Alejandra Hernández-García, Alfredo Saavedra-Molina, Rosa Elva Norma del Río-Torres, Joel Edmundo López-Meza, Juan Luis Monribot-Villanueva, José Antonio Guerrero-Analco and José Roberto Medina-Medrano
Plants 2024, 13(19), 2791; https://doi.org/10.3390/plants13192791 - 5 Oct 2024
Cited by 4 | Viewed by 2395
Abstract
The Verbesina gender represents the second most diverse group from the Asteraceae family in Mexico; Verbesina sphaerocephala is one of the most distributed species along the Mexican territory. This species has been poorly studied, reporting the presence of some bioactive compounds with antioxidant [...] Read more.
The Verbesina gender represents the second most diverse group from the Asteraceae family in Mexico; Verbesina sphaerocephala is one of the most distributed species along the Mexican territory. This species has been poorly studied, reporting the presence of some bioactive compounds with antioxidant and antibacterial activity. In this study, phenolic and flavonoid contents and composition, antioxidant and antifungal activities of aqueous extracts of the stem of V. sphaerocephala and its fractions were determined. The results showed that the highest antifungal activity against Botrytis cinerea was shown by the aqueous extract (IC50: 0.10 mg/mL) and the ethyl acetate fraction (IC50: 14.8 mg/mL). In addition, the aqueous extract and the ethyl acetate fraction exhibited the highest phenolic (21.40 and 21.26 mg gallic acid equivalents per gram of dry extract, respectively) and flavonoid contents (11.53 and 3.71 mg rutin equivalents, respectively) and high antioxidant activity determined by the Total Antioxidant Capacity (20.62 and 40.21 mg ascorbic acid equivalents per gram of dry extract, respectively), Ferric Reducing Power (74.76 and 129.57 mg gallic acid equivalents per gram of dry extract, respectively), DPPH (IC50: 12.38 and 7.36 mg/mL, respectively), and ABTS (IC50: 5.60 and 7.76 mg/mL, respectively) methods. Twelve phenolic compounds were detected in the aqueous extract using UPLC-MS analysis, of which the major ones were protocatechuic, vanillic, and hydroxybenzoic acid, while in the ethyl acetate fraction, the presence of 18 phenolic compounds were identified, of which the majority were vanillin, rutin, and hydroxybenzoic acid. The results of this research demonstrate that the aqueous extract of V. sphaerocephala stems has phenolic compounds with antifungal and antioxidant activity. Full article
(This article belongs to the Special Issue Advances in Chemical Analysis of Plants)
Show Figures

Figure 1

16 pages, 3457 KB  
Article
The Flavoring Agent Ethyl Vanillin Induces Cellular Stress Responses in HK-2 Cells
by Ashley J. Cox, Kathleen C. Brown and Monica A. Valentovic
Toxics 2024, 12(7), 472; https://doi.org/10.3390/toxics12070472 - 29 Jun 2024
Cited by 2 | Viewed by 2302
Abstract
Flavored e-cigarettes are a popular alternative to cigarette smoking; unfortunately, the extrapulmonary effects are not well-characterized. Human proximal tubule cells were cultured for 24 or 48 h with 0–1000 µM ethyl vanillin (ETH VAN) and cytotoxicity evaluated. Mitochondrial health was significantly diminished following [...] Read more.
Flavored e-cigarettes are a popular alternative to cigarette smoking; unfortunately, the extrapulmonary effects are not well-characterized. Human proximal tubule cells were cultured for 24 or 48 h with 0–1000 µM ethyl vanillin (ETH VAN) and cytotoxicity evaluated. Mitochondrial health was significantly diminished following 48 h of exposure, accompanied by significantly decreased spare capacity, coupling efficiency, and ATP synthase expression. ETH VAN at 24 h inhibited glycolysis. The endoplasmic reticulum (ER) stress marker C/EBP homologous protein (CHOP) was increased at 100 μM relative to 500–1000 μM. The downstream proapoptotic marker cleaved caspase-3 subsequently showed a decreasing trend in expression after 48 h of exposure. The autophagy biomarkers microtubule-associated proteins 1A/1B light chain 3 (LC3B-I and LC3B-II) were measured by Western blot. LC3B-II levels and the LC3B-II/LC3B-I ratio increased at 24 h, which suggested activation of autophagy. In contrast, by 48 h, the autophagy biomarker LC3B-II decreased, resulting in no change in the LC3B-II/LC3B-I ratio. Mitophagy biomarker PTEN-induced putative kinase 1 (PINK1) expression decreased after 48 h of exposure. The downstream marker Parkin was not significantly changed after 24 or 48 h. These findings indicate that the flavoring ETH VAN can induce energy pathway dysfunction and cellular stress responses in a renal model. Full article
(This article belongs to the Special Issue Nephrotoxicity Induced by Drugs and Chemicals in the Environment)
Show Figures

Figure 1

17 pages, 2224 KB  
Article
The Metabolic and Antioxidant Activity Profiles of Aged Greek Grape Marc Spirits
by Charalambos Fotakis, Vasiliki Andreou, Dionysios C. Christodouleas and Maria Zervou
Foods 2024, 13(11), 1664; https://doi.org/10.3390/foods13111664 - 26 May 2024
Cited by 3 | Viewed by 1733
Abstract
In the last decade, “expressions” of grape marc spirits aged in wooden barrels of characteristic amber color and complex sensory attributes have been introduced. Yet studies on constituents migrating from the barrel to the beverage are scarce, and their metabolic profile remains unexplored. [...] Read more.
In the last decade, “expressions” of grape marc spirits aged in wooden barrels of characteristic amber color and complex sensory attributes have been introduced. Yet studies on constituents migrating from the barrel to the beverage are scarce, and their metabolic profile remains unexplored. Furthermore, the literature on the assessment of their antioxidant activity is limited. NMR metabolomics and spectrophotometry have been implemented in 38 samples to elucidate the impact of the aging procedure on the metabolites’ composition and establish whether these beverages exhibit antioxidant activity. Provenance was related to fusel alcohols, esters, acetaldehyde, methanol, saccharides, and 2-phenylethanol, while ethyl acetate and ethyl lactate contributed to discriminating samples of the same winery. Identified metabolites such as vanillin, syringaldehyde, and sinapaldehyde were related to the aging procedure. The maturation in the barrel was also associated with an increase in xylose, glucose, fructose, and arabinose. The antioxidant potential of the aged Greek grape marc spirits resulting from their maturation in oak barrels was highlighted. The metabolic profiling and antioxidant potential of aged Greek grape marc spirits were assessed for the first time. Finally, the enrichment of the aromatic region was noted with the presence of metabolites with a furanic and phenolic ring derived, respectively, from the polysaccharides’ degradation or the thermal decomposition of lignin. Full article
(This article belongs to the Special Issue NMR Driven Foodomics Applications)
Show Figures

Figure 1

13 pages, 2126 KB  
Article
A Study on Endogenous Inhibitors of Nitraria roborowskii Kom. Seeds
by Shangfu Ren, Lamei Jiang and Guanghui Lv
Forests 2024, 15(5), 773; https://doi.org/10.3390/f15050773 - 28 Apr 2024
Cited by 4 | Viewed by 2644
Abstract
Nitraria roborowskii Kom. seeds have deep dormancy characteristics. Under natural conditions, the germination rate of the seeds is low, and the germination time is long. Therefore, exploring the reasons for seed dormancy is highly important. The results showed that the extracts of the [...] Read more.
Nitraria roborowskii Kom. seeds have deep dormancy characteristics. Under natural conditions, the germination rate of the seeds is low, and the germination time is long. Therefore, exploring the reasons for seed dormancy is highly important. The results showed that the extracts of the methanol phase, ethyl acetate phase, petroleum ether phase and water phase of N. roborowskii seeds all had a significant inhibitory effect on the germination rate and germination index of Brassica rapa seeds, among which the extract of the methanol phase had the strongest inhibitory effect, and the inhibitory effect decreased in the following order from the strongest to the weakest: methanol phase > ethyl acetate phase > petroleum ether phase > water phase. The components of the methanol phase, ethyl acetate phase and petroleum ether phase ether extracts of N. roborowskii seeds were identified by gas chromatography–mass spectrometry (GC–MS). The experimental results showed that the organic phase extracts of N. roborowskii seeds contained a variety of inhibitory compounds, which included 4H-pyran-4-one, 2,3-dihydro-3,5-dihydroxy-6-methyl-dibutyl phthalate; 4-((1E)-3-hydroxy-1-propenyl)-2-methoxyphenol; 13-docosenamide, (Z)-; 3-hydroxy-4-methoxybenzoic acid; vanillin; 2,4-di-tert-butylphenol; and cyclohexane, ethyl-. The seeds of N. roborowskii contain a variety of endogenous inhibitors, which are the main reason for its seed dormancy. Full article
(This article belongs to the Section Forest Ecophysiology and Biology)
Show Figures

Figure 1

12 pages, 1801 KB  
Article
Hyposmia in COVID-19: Temporal Recovery of Smell: A Preliminary Study
by Barbara Verro, Giulia Vivoli and Carmelo Saraniti
Medicina 2023, 59(9), 1511; https://doi.org/10.3390/medicina59091511 - 22 Aug 2023
Viewed by 3981
Abstract
Background and Objectives: Hypo/anosmia is a characteristic symptom of COVID-19 infection. The aim of this study is to investigate the time of smell recovery and to identify a possible order of perception recovery of different odors in COVID-19 patients. Materials and Methods [...] Read more.
Background and Objectives: Hypo/anosmia is a characteristic symptom of COVID-19 infection. The aim of this study is to investigate the time of smell recovery and to identify a possible order of perception recovery of different odors in COVID-19 patients. Materials and Methods: A prospective observational study was conducted on not hospitalized COVID-19 patients, selected according to eligible criteria. The study was approved by the Ethical Committee. A questionnaire formulated by our team was submitted to patients in order to know the duration of the hypo/anosmia and hypo/ageusia and the order of odor recovery: vanillin (mixed olfactory/gustatory substances), phenyl ethyl alcohol (rosewater) (pure olfactory substances), eucalyptol (mixed olfactory/trigeminal substances), and eugenol (mixed olfactory/trigeminal/gustatory substances). Results: 181 patients were included. Hypo/ageusia and hypo/anosmia lasted on average 10.25 (±8.26) and 12.8 (±8.80) days, respectively. The most frequent odor recovery sequence was: (1) phenyl ethyl alcohol; (2) eucalyptol; (3) vanillin; and (4) eugenol. In COVID-19 patients, hypo/anosmia occurs more often in women and at a young age. Conclusions: This preliminary investigation highlighted novel data: there is a chronological order in perception recovery of different olfactory substances and, therefore, in the restoration of the various sensitive nerve pathways involved in the sense of smell. Full article
(This article belongs to the Special Issue Oral and Cervical Pathology during the COVID-19 Crisis)
Show Figures

Figure 1

15 pages, 651 KB  
Article
Phytochemical Constituents, Antimicrobial Properties and Bioactivity of Marine Red Seaweed (Kappaphycus alvarezii) and Seagrass (Cymodocea serrulata)
by Deep Das, Abimannan Arulkumar, Sadayan Paramasivam, Aroa Lopez-Santamarina, Alicia del Carmen Mondragon and Jose Manuel Miranda Lopez
Foods 2023, 12(14), 2811; https://doi.org/10.3390/foods12142811 - 24 Jul 2023
Cited by 42 | Viewed by 7816
Abstract
The present work was performed to evaluate the levels of phytochemical constituents and the antioxidant and antibacterial properties of marine red seaweed (Kappaphycus alvarezii) and seagrass (Cymodocea serrulata). Quantitative phytochemical analysis, antioxidant activity and antimicrobial activity against five potential [...] Read more.
The present work was performed to evaluate the levels of phytochemical constituents and the antioxidant and antibacterial properties of marine red seaweed (Kappaphycus alvarezii) and seagrass (Cymodocea serrulata). Quantitative phytochemical analysis, antioxidant activity and antimicrobial activity against five potential pathogenic bacteria was investigated. In each case, we found the presence of flavonoids, tannins, phenolic compounds, glycosides, steroids, carbohydrates and ashes. Alkaloids were only found in K. alvarezii, though they were not found in C. serrulata. The antimicrobial properties of both K. alvarezii and C. serrulata chloroform extracts were found to be antagonistically effective against the Gram-positive bacteria Bacillus subtilis and the Gram-negative bacteria Vibrio parahaemolyticus, Vibrio alginolyticus, Vibrio harveyi and Klebsiella pneumoniae. GC-MS analysis revealed the presence of 94 bioactive compounds in K. alvarezii and 104 bioactive compounds in C. serrulata, including phenol, decane, dodecane, hexadecane, vanillin, heptadecane, diphenylamine, benzophenone, octadecanoic acid, dotriaconate, benzene, phytol, butanoic acid and 2-hydroxyl-ethyl ether, which all played important roles in antioxidant and antibacterial activities. Thus, in view of the results, both K. alvarezii and C. serrulata could be considered to be sources of ingredients with appreciable nutritional and medicinal value. Full article
(This article belongs to the Special Issue Natural Preservatives for Foods)
Show Figures

Figure 1

16 pages, 3986 KB  
Article
Optimization and Validation of a Method to Determine Enolones and Vanillin Derivatives in Wines—Occurrence in Spanish Red Wines and Mistelles
by Mónica Bueno, Julián Zapata, Laura Culleré, Ernesto Franco-Luesma, Arancha de-la-Fuente-Blanco and Vicente Ferreira
Molecules 2023, 28(10), 4228; https://doi.org/10.3390/molecules28104228 - 22 May 2023
Cited by 8 | Viewed by 2804
Abstract
Understanding the chemical nature of wine aroma demands accurate quantitative determinations of different odor-active compounds. Quantitative determinations of enolones (maltol, furaneol, homofuraneol, and sotolon) and vanillin derivatives (vanillin, methyl vanillate, ethyl vanillate, and acetovanillone) at low concentrations are complicated due to their high [...] Read more.
Understanding the chemical nature of wine aroma demands accurate quantitative determinations of different odor-active compounds. Quantitative determinations of enolones (maltol, furaneol, homofuraneol, and sotolon) and vanillin derivatives (vanillin, methyl vanillate, ethyl vanillate, and acetovanillone) at low concentrations are complicated due to their high polarity. For this reason, this paper presents an improved and automated version for the accurate measure of these common trace wine polar compounds (enolones and vanillin derivatives). As a result, a faster and more user-friendly method with a reduction of organic solvents and resins was developed and validated. The optimization of some stages of the solid phase extraction (SPE) process, such as washing with an aqueous solution containing 1% NaHCO3 at pH 8, led to cleaner extracts and solved interference problems. Due to the polarity of these type of compounds, an optimization of the large volume injection was also carried out. Finally, a programmable temperature vaporization (PTV) quartz glass inlet liner without wool was used. The injector temperature was raised to 300 °C in addition to applying a pressure pulse of 180 kPa for 4 min. Matrix effects were solved by the use of adequate internal standards, such as ethyl maltol and 3′,4′-(methylenedioxy)acetophenone. Method figures of merit were highly satisfactory: good linearity (r2 > 0.98), precision (relative standard deviation, RSD < 10%), high recovery (RSD > 89%), and low detection limits (<0.7 μg/L). Enolones and vanillin derivatives are associated with wine aging. For this reason, the methodology was successfully applied to the quantification of these compounds in 16 Spanish red wines and 12 mistelles. Odor activity values (OAV) indicate that furaneol should be considered an aroma impact odorant in red wines and mistelles (OAV > 1) while homofuraneol and sotolon could also produce changes in their aroma perceptions (0.1 < OAV < 1). Full article
Show Figures

Figure 1

13 pages, 5587 KB  
Article
Ethyl Vanillin Rapid Crystallization from Carboxymethyl Chitosan Ion-Switchable Hydrogels
by Chenghong Huang, Hong Tang, Xiaorong Huang, Hongjie Chen, Kang Yang, Qi Yin, Lin Zhang, Xia Li, Xue Mou, Shuangkou Chen, Yuchan Zhang and Yan Hu
Gels 2023, 9(4), 335; https://doi.org/10.3390/gels9040335 - 14 Apr 2023
Cited by 2 | Viewed by 3211
Abstract
Polymer gels are usually used for crystal growth as the recovered crystals have better properties. Fast crystallization under nanoscale confinement holds great benefits, especially in polymer microgels as its tunable microstructures. This study demonstrated that ethyl vanillin can be quickly crystallized from carboxymethyl [...] Read more.
Polymer gels are usually used for crystal growth as the recovered crystals have better properties. Fast crystallization under nanoscale confinement holds great benefits, especially in polymer microgels as its tunable microstructures. This study demonstrated that ethyl vanillin can be quickly crystallized from carboxymethyl chitosan/ethyl vanillin co-mixture gels via classical swift cooling method and supersaturation. It found that EVA appeared with bulk filament crystals accelerated by a large quantity of nanoconfinement microregions resulted from space-formatted hydrogen network between EVA and CMCS when their concentration exceeds 1:1.4 and may occasionally arise when the concentration less than 1:0.8. It was observed that EVA crystal growth has two models involving hang-wall growth at the air-liquid interface at the contact line, as well as extrude-bubble growth at any sites on the liquid surface. Further investigations found that EVA crystals can be recovered from as-prepared ion-switchable CMCS gels by 0.1 M hydrochloric acid or acetic acid without defects. Consequently, the proposed method may offer an available scheme for a large-scale preparation of API analogs. Full article
(This article belongs to the Special Issue Recent Developments in Chitosan Hydrogels)
Show Figures

Figure 1

14 pages, 1680 KB  
Article
New Schiff Base–TMB Hybrids: Design, Synthesis and Antiproliferative Investigation as Potential Anticancer Agents
by Najiah M. Alyamani
Symmetry 2023, 15(3), 609; https://doi.org/10.3390/sym15030609 - 28 Feb 2023
Cited by 10 | Viewed by 2557
Abstract
The structural symmetry or asymmetry of organic compounds is one of the most fundamental characteristics. Z-geometrical isomers are promiscuous and kinetically preferred structures with a plethora of biological activities. A new series of hybrid molecules containing Schiff base and 3,4,5-trimethoxybenzamide moieties were [...] Read more.
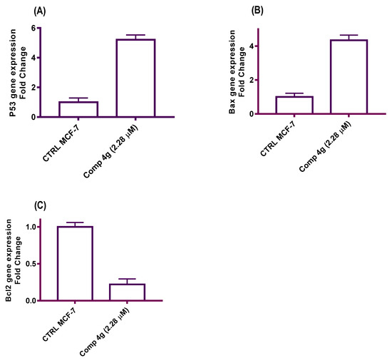
The structural symmetry or asymmetry of organic compounds is one of the most fundamental characteristics. Z-geometrical isomers are promiscuous and kinetically preferred structures with a plethora of biological activities. A new series of hybrid molecules containing Schiff base and 3,4,5-trimethoxybenzamide moieties were synthesized from the starting material ethyl acrylate ester derivative (Z)-1 and structurally confirmed by elemental microanalysis, 1H-NMR, and 13C-NMR spectroscopic studies. The in vitro cytotoxic activity of the target hybrids was tested against the MCF-7 breast cancer line compared with colchicine as the reference compound. Most of the newly synthesized hybrids showed good growth inhibition activity against the MCF-7 cells compared to the reference substance. The results of the β-tubulin polymerization inhibition activity assay showed that the p-vanillin Schiff base 4g displayed good inhibition activity. In addition, p-vanillin Schiff base 4g exhibited antiproliferative activity over the MCF-7 cells by cellular cycle blockade at the G2/M phase and it is a potent apoptotic agent. qRT-PCR analysis showed that Schiff base 4g boosted the mRNA expression of the p53 and Bax levels while lowering the expression of the Bcl-2 level. Full article
(This article belongs to the Section Chemistry: Symmetry/Asymmetry)
Show Figures

Figure 1

Back to TopTop