Sign in to use this feature.

Years

Between: -

Subjects

remove_circle_outline
remove_circle_outline
remove_circle_outline
remove_circle_outline
remove_circle_outline
remove_circle_outline
remove_circle_outline
remove_circle_outline

Journals

Article Types

Countries / Regions

Search Results (18)

Search Parameters:
Keywords = epicuticle

Order results
Result details
Results per page
Select all
Export citation of selected articles as:
26 pages, 1038 KB  
Review
Advances in Stored-Product Pest Management: Combined Effects of Diatomaceous Earths with Botanicals, Insecticides, Entomopathogenic/Plant Pathogenic Fungi, and Silica Gel
by Waqas Wakil, Maria C. Boukouvala, Nickolas G. Kavallieratos, Demeter Lorentha S. Gidari, Anna Skourti and Tahira Riasat
Sustainability 2025, 17(8), 3316; https://doi.org/10.3390/su17083316 - 8 Apr 2025
Cited by 7 | Viewed by 2805
Abstract
Diatomaceous earth (DE) consists of fossilized remnants of diatoms, which are marine or freshwater unicellular algae. Most DEs originate from fossilized sedimentary layers of diatoms deposited in water bodies during the Eocene and Miocene periods, much more than 20 million years ago. Processed [...] Read more.
Diatomaceous earth (DE) consists of fossilized remnants of diatoms, which are marine or freshwater unicellular algae. Most DEs originate from fossilized sedimentary layers of diatoms deposited in water bodies during the Eocene and Miocene periods, much more than 20 million years ago. Processed DE, a soft, chalky powder, is widely used as an insecticide due to the highly absorptive and abrasive nature of its particles. As an insecticide, DE removes the wax coating of the insect epicuticle, the primary barrier against water loss. This results in water evaporation, leading to desiccation and death of the targeted insects. This review emphasizes the co-treatment of DEs with biological agents that have insecticidal properties (e.g., essential oils, plant powders, silica gel, and species/isolates of fungi), reducing the quantities used in single-application treatments and suggesting paths for the sustainable management of insects damaging stored products. Full article
(This article belongs to the Section Sustainable Management)
Show Figures

Figure 1

16 pages, 1609 KB  
Article
Variation in Ants’ Chemical Recognition Signals across Vineyard Agroecosystems
by Arthur Hais, Luca Pietro Casacci, Patrizia d’Ettorre, David Badía-Villas, Chloé Leroy and Francesca Barbero
Int. J. Mol. Sci. 2024, 25(19), 10407; https://doi.org/10.3390/ijms251910407 - 27 Sep 2024
Cited by 1 | Viewed by 1907
Abstract
Ant evolutionary success depends mainly on the coordination of colony members, who recognize nestmates based on the cuticular hydrocarbon (CHC) profile of their epicuticle. While several studies have examined variations in this crucial factor for colony identity, few have investigated the anthropic impact [...] Read more.
Ant evolutionary success depends mainly on the coordination of colony members, who recognize nestmates based on the cuticular hydrocarbon (CHC) profile of their epicuticle. While several studies have examined variations in this crucial factor for colony identity, few have investigated the anthropic impact on CHC profiles, and none have focused on Lasius paralienus. Here, we surveyed the changes in L. paralienus CHC assemblages across agroecosystems and assessed whether different vineyard management influences these profiles. Soil sampling within ant nests and in close surroundings was performed to measure microhabitat variations. Our results show that the cuticular chemical composition of Lasius paralienus is mainly affected by the differences between areas, with an existing but unclear anthropic influence on them. Normalized soil respiration partially explains these interarea variations. Irrespective of the conventional or organic management, human activities in agroecosystems mostly impacted L. paralienus linear alkanes, a specific class of CHCs known to play a major role against dehydration, but also affected the abundance of compounds that can be pivotal for maintaining the colony identity. Our findings suggest that vineyard practices primarily affect features of the ant cuticle, potentially enhancing microclimate adaptations. Still, the potential effects as disruptive factors need further investigation through the implementation of behavioral bioassays. Full article
(This article belongs to the Section Biochemistry)
Show Figures

Figure 1

15 pages, 7791 KB  
Article
Identification and Functional Insights of Knickkopf Genes in the Larval Cuticle of Leptinotarsa decemlineata
by Mu-Zi Zeng, Wei Zhou, Shan-Shan Wen, Hao Wu, Qing Zhang, Kai-Yun Fu, Wen-Chao Guo and Ji-Feng Shi
Insects 2024, 15(8), 623; https://doi.org/10.3390/insects15080623 - 19 Aug 2024
Cited by 1 | Viewed by 1930
Abstract
The Colorado potato beetle (Leptinotarsa decemlineata) is a major pest of potato crops. While Knickkopf (Knk) genes are essential for insect cuticle formation, their roles in pests like L. decemlineata remain unclear. This study aims to identify and characterize [...] Read more.
The Colorado potato beetle (Leptinotarsa decemlineata) is a major pest of potato crops. While Knickkopf (Knk) genes are essential for insect cuticle formation, their roles in pests like L. decemlineata remain unclear. This study aims to identify and characterize Knk genes in L. decemlineata and explore their functions in larval development and cuticle integrity. We used genomic and transcriptomic databases to identify LdKnk-family genes, validated through RT-PCR and RACE. Gene expression was analyzed at various developmental stages and tissues using qRT-PCR. RNA interference (RNAi) and Transmission electron microscopy (TEM) were applied to determine the functional roles of these genes. Four LdKnk-family genes were identified. Spatio-temporal expression analysis indicated significant gene expression during larval molting and pupal stages, especially in the epidermis. RNAi experiments showed that silencing LdKnk and LdKnk3-5′ led to reduced larval weight, cuticle thinning, and increased mortality, while LdKnk3-FL knockdown caused abnormal cuticle thickening and molting disruptions. LdKnk2 knockdown increased epicuticle and endocuticle thickness without visible phenotypic changes. The study highlights the essential roles of LdKnk-family genes in maintaining cuticle structure and integrity, suggesting their potential as targets for RNAi-based pest control. Full article
(This article belongs to the Section Insect Physiology, Reproduction and Development)
Show Figures

Graphical abstract

12 pages, 2238 KB  
Article
The Anti-Termite Activity of Bacillus licheniformis PR2 against the Subterranean Termite, Reticulitermes speratus kyushuensis Morimoto (Isoptera: Rhinotermitidae)
by Jae-Hyun Moon, Henry B. Ajuna, Sang-Jae Won, Vantha Choub, Su-In Choi, Ju-Yeol Yun, Won Joung Hwang, Sang Wook Park and Young Sang Ahn
Forests 2023, 14(5), 1000; https://doi.org/10.3390/f14051000 - 12 May 2023
Cited by 11 | Viewed by 3783
Abstract
Subterranean termites of the species Reticulitermes speratus kyushuensis Morimoto (Isoptera: Rhinotermitidae) are notoriously destructive soil-dwelling pests that feed on the cellulosic wood biomass. This leads to tremendous losses of forest trees such as Pinus densiflora Siebold and Zucc. (Pinales: Pinaceae) and precious wooden [...] Read more.
Subterranean termites of the species Reticulitermes speratus kyushuensis Morimoto (Isoptera: Rhinotermitidae) are notoriously destructive soil-dwelling pests that feed on the cellulosic wood biomass. This leads to tremendous losses of forest trees such as Pinus densiflora Siebold and Zucc. (Pinales: Pinaceae) and precious wooden structures of cultural heritage. This study investigated the efficacy of chitinase and protease produced by Bacillus licheniformis PR2 as cuticle-degrading enzymes for the biocontrol of worker termites. Bacillus licheniformis PR2 produced a strong chitinase and protease activity up to a maximum of 82.3 unit/mL and 35.9 unit/mL, respectively, and caused a lethal effect on termites under laboratory conditions. Treatment of termites with the bacterial broth culture and the crude enzyme fraction of B. licheniformis PR2 resulted in a maximum mortality rate (with a median lethal time (ET50)) of 83.3% (3 h, 36 min) and 88.9% (2 h, 59 min), respectively. The termites treated with B. licheniformis PR2 exhibited loss of setae, disintegration of epicuticle, rupturing of procuticle, and swelling at sockets. The degradation of cuticular chitin and glycoprotein polymers in the termite cuticle by chitinase and protease enzymes produced by B. licheniformis PR2 represents an effective eco-friendly strategy for controlling termite damage in Korean cultural heritage sites and forests. Full article
Show Figures

Figure 1

11 pages, 1354 KB  
Article
Entomopathogenic Potential of Bacillus velezensis CE 100 for the Biological Control of Termite Damage in Wooden Architectural Buildings of Korean Cultural Heritage
by Jae-Hyun Moon, Henry B. Ajuna, Sang-Jae Won, Vantha Choub, Su-In Choi, Ju-Yeol Yun, Won Joung Hwang, Sang Wook Park and Young Sang Ahn
Int. J. Mol. Sci. 2023, 24(9), 8189; https://doi.org/10.3390/ijms24098189 - 3 May 2023
Cited by 10 | Viewed by 3110
Abstract
Biocontrol strategies are gaining tremendous attention in insect pest management, such as controlling termite damage, due to the growing awareness of the irreparable harm caused by the continuous use of synthetic pesticides. This study examines the proteolytic and chitinolytic activities of Bacillus velezensis [...] Read more.
Biocontrol strategies are gaining tremendous attention in insect pest management, such as controlling termite damage, due to the growing awareness of the irreparable harm caused by the continuous use of synthetic pesticides. This study examines the proteolytic and chitinolytic activities of Bacillus velezensis CE 100 and its termiticidal effect through cuticle degradation. The proteolytic and chitinolytic activities of B. velezensis CE 100 systematically increased with cell growth to the respective peaks of 68.3 and 128.3 units/mL after seven days of inoculation, corresponding with the highest cell growth of 16 × 107 colony-forming units (CFU)/mL. The in vitro termiticidal assay showed that B. velezensis CE 100 caused a rapid and high rate of termite mortality, with a median lethal time (LT50) of >1 h and the highest mortality rates of 91.1% and 92.2% recorded at 11 h and 12 h in the bacterial broth culture and crude enzyme fraction, respectively. In addition to broken setae and deformed sockets, termites treated with the bacterial broth culture exhibited degraded epicuticles, while the crude enzyme fraction caused severe disintegration of both the epicuticle and endocuticle. These results indicate the tremendously higher potential of B. velezensis CE 100 in the biological control of subterranean termites compared to the previously used entomopathogenic bacteria. Full article
Show Figures

Figure 1

13 pages, 4941 KB  
Article
Graphene-Delivered Insecticides against Cotton Bollworm
by Zhiwen Chen, Jianguo Zhao, Zehui Liu, Xiuli Bai, Weijia Li, Zhifang Guan, Ming Zhou and Hongwei Zhu
Nanomaterials 2022, 12(16), 2731; https://doi.org/10.3390/nano12162731 - 9 Aug 2022
Cited by 12 | Viewed by 3494
Abstract
Nanopesticides can facilitate controlled release kinetics and efficiently enhance the permeability of active ingredients to reduce the dosage and loss of pesticides. To clarify the synergistic mechanism of graphene–insecticide nanocarriers against cotton bollworm, treatment groups, namely, control, graphene (G), insecticide (lambda-cyhalothrin (Cyh) and [...] Read more.
Nanopesticides can facilitate controlled release kinetics and efficiently enhance the permeability of active ingredients to reduce the dosage and loss of pesticides. To clarify the synergistic mechanism of graphene–insecticide nanocarriers against cotton bollworm, treatment groups, namely, control, graphene (G), insecticide (lambda-cyhalothrin (Cyh) and cyfluthrin (Cyf)), and graphene-delivered insecticide groups were used to treat the third-instar larvae of cotton bollworm. The variations in phenotypes, namely, the body length, body weight, and mortality of the cotton bollworm, were analyzed. The results show that graphene enhances the insecticidal activity of lambda-cyhalothrin and cyfluthrin against cotton bollworm. The two graphene-delivered insecticides with optimal compositions (3:1) had the strongest inhibitory effects and the highest mortality rates, with the fatality rates for the 3/1 Cyh/G and Cyf/G mixture compositions being 62.91% and 38.89%, respectively. In addition, the 100 μg/mL Cyh/G mixture had the greatest inhibitory effect on cotton bollworm, and it decreased the body length by 1.40 mm, decreased the weight by 1.88 mg, and had a mortality rate of up to 61.85%. The 100 and 150 μg/mL Cyh/G mixtures achieved the same mortality rate as that of lambda-cyhalothrin, thus reducing the use of the insecticide by one-quarter. The graphene-delivered insecticides could effectively destroy the epicuticle spine cells of the cotton bollworm by increasing the permeability and, thus, the toxicity of the insecticides. Full article
(This article belongs to the Special Issue Graphene and Related 2D Materials)
Show Figures

Graphical abstract

15 pages, 16406 KB  
Article
A Blueprint of Microstructures and Stage-Specific Transcriptome Dynamics of Cuticle Formation in Bombyx mori
by Zhengwen Yan, Xiaoling Tong, Gao Xiong, Weike Yang, Kunpeng Lu, Yajie Yuan, Minjin Han, Hai Hu, Wei Wei and Fangyin Dai
Int. J. Mol. Sci. 2022, 23(9), 5155; https://doi.org/10.3390/ijms23095155 - 5 May 2022
Cited by 16 | Viewed by 3176
Abstract
Insect cuticle is critical for the environmental adaptability and insecticide resistance of insects. However, there is no clear understanding of the structure and protein components of the cuticle during each developmental stage of holometabolous insects, and knowledge about the protein components within each [...] Read more.
Insect cuticle is critical for the environmental adaptability and insecticide resistance of insects. However, there is no clear understanding of the structure and protein components of the cuticle during each developmental stage of holometabolous insects, and knowledge about the protein components within each layer is vague. We conducted serial sectioning, cuticular structure analysis, and transcriptome sequencing of the larval, pupal, and adult cuticles of Bombyx mori. The deposition processes of epicuticle, exocuticle, and endocuticle during larval, pupal, and adult cuticle formation were similar. Transcriptome analysis showed that these cuticle formations share 74% of the expressed cuticular protein (CP) genes and 20 other structural protein genes, such as larval serum protein and prisilkin. There are seven, six, and eleven stage-specific expressed CP genes in larval, pupal, and adult cuticles, respectively. The types and levels of CP genes may be the key determinants of the properties of each cuticular layer. For example, the CPs of the RR-2 protein family with high contents of histidine (His) are more essential for the exocuticle. Functional analysis suggested that BmorCPAP1-H is involved in cuticle formation. This study not only offers an in-depth understanding of cuticle morphology and protein components but also facilitates the elucidation of molecular mechanisms underlying cuticle formation in future studies. Full article
(This article belongs to the Section Molecular Biology)
Show Figures

Figure 1

16 pages, 13896 KB  
Article
Surface Properties and Architectures of Male Moth Trichoid Sensilla Investigated Using Atomic Force Microscopy
by Thomas Charles Baker, Qiong Zhou, Charles E. Linn, James Y. Baker and Timothy B. Tighe
Insects 2022, 13(5), 423; https://doi.org/10.3390/insects13050423 - 30 Apr 2022
Cited by 2 | Viewed by 3018
Abstract
The surfaces of trichoid sensilla on male moth antennae have been sculpted over evolutionary time to capture pheromone odorant molecules emitted by the females of their species and transport the molecules in milliseconds into the binding protein milieu of the sensillum lumen. The [...] Read more.
The surfaces of trichoid sensilla on male moth antennae have been sculpted over evolutionary time to capture pheromone odorant molecules emitted by the females of their species and transport the molecules in milliseconds into the binding protein milieu of the sensillum lumen. The capture of pheromone molecules likely has been optimized by the topographies and spacings of the numerous ridges and pores on these sensilla. A monolayer of free lipids in the outer epicuticle covers the sensillar surfaces and must also be involved in optimal pheromone odorant capture and transport. Using electro-conductive atomic force microscopy probes, we found that electrical surface potentials of the pores, ridges and flat planar areas between ridges varied in consistent ways, suggesting that there is a heterogeneity in the distribution of surface lipid mixtures amongst these structures that could help facilitate the capture and transport of pheromone molecules down through the pores. We also performed experiments using peak force atomic force microscopy in which we heated the sensilla to determine whether there is a temperature-related change of state of some of the surface lipid exudates such as the prominent domes covering many of the pores. We found that these exudates were unaffected by heating and did not melt or change shape significantly under high heat. Additionally, we measured and compared the topographies of the trichoid sensilla of five species of moths, including the distributions, spacings, heights and diameters of ridges, pores and pore exudates. Full article
(This article belongs to the Special Issue Recent Advances in Physiology of Insect Olfaction)
Show Figures

Figure 1

15 pages, 3757 KB  
Article
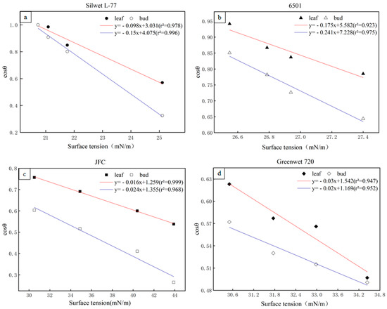
Effect of Adjuvants on the Wetting Behaviors of Bifenthrin Droplets on Tea Leaves
by Xueqing Gao, Ding Wang, Zhaoliang Jiang, Xinde Li and Guopeng Chen
Appl. Sci. 2022, 12(9), 4217; https://doi.org/10.3390/app12094217 - 21 Apr 2022
Cited by 10 | Viewed by 3763
Abstract
The hydrophobic epicuticle wax on fresh leaves of tea tree (Camellia sinensis (L.) 0. Kuntze) leads to the loss of pesticide droplets, reducing efficacy. In this study, four adjuvants were selected to improve the diffusion and adhesion of bifenthrin droplets on the [...] Read more.
The hydrophobic epicuticle wax on fresh leaves of tea tree (Camellia sinensis (L.) 0. Kuntze) leads to the loss of pesticide droplets, reducing efficacy. In this study, four adjuvants were selected to improve the diffusion and adhesion of bifenthrin droplets on the surface of tea leaves at different growth stages. The coupling effect of bifenthrin and adjuvants on the time-dependent and concentration-dependent wettability of droplets was investigated, and the difference in the wettability between bud and leaf was explained by observing the surface morphology. It was found that adjuvants effectively reduced the contact angle of droplets and accelerated the diffusion speed, and the above phenomenon became obvious with the increase in the adjuvant concentration. The wetting promotion of young leaves was more significant due to the reduced epicuticle wax and the greater roughness compared with fresh buds. The surface tension of the pesticide mixture was negatively correlated with the cosine of contact angle after adding the four adjuvants regardless of the growth stage of tea leaves. The contact angle of 0.2% Silwet L-77 decreased to 0° within 10 s, but the extreme wettability led to the decrease in adhesion with the increase in concentration. However, the wettability and adhesion on the surface of tea leaves were simultaneously suitable with more than 0.1% nonionic surfactant. The minimum concentration of the optimal adjuvant proposed in this study can provide an experimental basis and guide more efficient plant protection in tea gardens. Full article
Show Figures

Figure 1

16 pages, 7904 KB  
Article
Preservation and Taphonomy of Fossil Insects from the Earliest Eocene of Denmark
by Miriam Heingård, Peter Sjövall, Bo P. Schultz, René L. Sylvestersen and Johan Lindgren
Biology 2022, 11(3), 395; https://doi.org/10.3390/biology11030395 - 3 Mar 2022
Cited by 10 | Viewed by 5361
Abstract
Marine sediments of the lowermost Eocene Stolleklint Clay and Fur Formation of north-western Denmark have yielded abundant well-preserved insects. However, despite a long history of research, in-depth information pertaining to preservational modes and taphonomic pathways of these exceptional animal fossils remains scarce. In [...] Read more.
Marine sediments of the lowermost Eocene Stolleklint Clay and Fur Formation of north-western Denmark have yielded abundant well-preserved insects. However, despite a long history of research, in-depth information pertaining to preservational modes and taphonomic pathways of these exceptional animal fossils remains scarce. In this paper, we use a combination of scanning electron microscopy coupled with energy-dispersive X-ray spectroscopy (SEM-EDX), transmission electron microscopy (TEM) and time-of-flight secondary ion mass spectrometry (ToF-SIMS) to assess the ultrastructural and molecular composition of three insect fossils: a wasp (Hymenoptera), a damselfly (Odonata) and a pair of beetle elytra (Coleoptera). Our analyses show that all specimens are preserved as organic remnants that originate from the exoskeleton, with the elytra displaying a greater level of morphological fidelity than the other fossils. TEM analysis of the elytra revealed minute features, including a multilayered epicuticle comparable to those nanostructures that generate metallic colors in modern insects. Additionally, ToF-SIMS analyses provided spectral evidence for chemical residues of the pigment eumelanin as part of the cuticular remains. To the best of our knowledge, this is the first occasion where both structural colors and chemical traces of an endogenous pigment have been documented in a single fossil specimen. Overall, our results provide novel insights into the nature of insect body fossils and additionally shed light on exceptionally preserved terrestrial insect faunas found in marine paleoenvironments. Full article
(This article belongs to the Special Issue Paleontology in the 21st Century)
Show Figures

Figure 1

12 pages, 3141 KB  
Article
Columnar Structure of Claw Denticles in the Coconut Crab, Birgus latro
by Tadanobu Inoue, Shin-ichiro Oka, Koji Nakazato and Toru Hara
Minerals 2022, 12(2), 274; https://doi.org/10.3390/min12020274 - 21 Feb 2022
Cited by 7 | Viewed by 3944
Abstract
Some decapod crustaceans have tooth-like white denticles that exist only on the pinching side of claws. We revealed the denticle microstructure in the coconut crab, Birgus latro, using optical and scanning electron microscopy (SEM), energy dispersive X-ray spectroscopy (EDS), and a focused [...] Read more.
Some decapod crustaceans have tooth-like white denticles that exist only on the pinching side of claws. We revealed the denticle microstructure in the coconut crab, Birgus latro, using optical and scanning electron microscopy (SEM), energy dispersive X-ray spectroscopy (EDS), and a focused ion beam (FIB)-SEM. Three-dimensional analysis and fracture surface observation were performed in order to clarify the microstructural differences in two mineralized layers—the exocuticle and the endocuticle. The denticles consist of a columnar structure normal to the surface and are covered with a very thin epicuticle and an exocuticle with a twisted plywood pattern structure. Due to abrasion, the exocuticle layer was lost in the wide area above the large denticles; conversely, these layers remained on the surface of the relatively small denticles and on the base of the denticle. The results showed that the mineralized exoskeleton of the crab’s claw is classified into three structures: a twisted plywood pattern structure stacked parallel to the surface for the exocuticle, a porous structure with many regularly arranged pores vertical to the surface for the endocuticle, and a columnar structure vertical to the surface for the denticle. Full article
(This article belongs to the Special Issue Biominerals and Bio-Inspired Materials)
Show Figures

Figure 1

14 pages, 2010 KB  
Article
Beneficial Insects Deliver Plant Growth-Promoting Bacterial Endophytes between Tomato Plants
by Nikoletta Galambos, Stéphane Compant, Felix Wäckers, Angela Sessitsch, Gianfranco Anfora, Valerio Mazzoni, Ilaria Pertot and Michele Perazzolli
Microorganisms 2021, 9(6), 1294; https://doi.org/10.3390/microorganisms9061294 - 14 Jun 2021
Cited by 14 | Viewed by 5494
Abstract
Beneficial insects and mites, including generalist predators of the family Miridae, are widely used in biocontrol programs against many crop pests, such as whiteflies, aphids, lepidopterans and mites. Mirid predators frequently complement their carnivore diet by feeding plant sap with their piercing–sucking mouthparts. [...] Read more.
Beneficial insects and mites, including generalist predators of the family Miridae, are widely used in biocontrol programs against many crop pests, such as whiteflies, aphids, lepidopterans and mites. Mirid predators frequently complement their carnivore diet by feeding plant sap with their piercing–sucking mouthparts. This implies that mirids may act as vectors of phytopathogenic and beneficial microorganisms, such as plant growth-promoting bacterial endophytes. This work aimed at understanding the role of two beneficial mirids (Macrolophus pygmaeus and Nesidiocoris tenuis) in the acquisition and transmission of two plant growth-promoting bacteria, Paraburkholderia phytofirmans strain PsJN (PsJN) and Enterobacter sp. strain 32A (32A). Both bacterial strains were detected on the epicuticle and internal body of both mirids at the end of the mirid-mediated transmission. Moreover, both mirids were able to transmit PsJN and 32A between tomato plants and these bacterial strains could be re-isolated from tomato shoots after mirid-mediated transmission. In particular, PsJN and 32A endophytically colonised tomato plants and moved from the shoots to roots after mirid-mediated transmission. In conclusion, this study provided novel evidence for the acquisition and transmission of plant growth-promoting bacterial endophytes by beneficial mirids. Full article
Show Figures

Figure 1

18 pages, 8941 KB  
Article
Taxonomic Revisiting and Phylogenetic Placement of Two Endangered Plant Species: Silene leucophylla Boiss. and Silene schimperiana Boiss. (Caryophyllaceae)
by Ahmed EL-Banhawy, Iman H. Nour, Carmen Acedo, Ahmed ElKordy, Ahmed Faried, Widad AL-Juhani, Ahmed M. H. Gawhari, Asmaa O. Olwey and Faten Y. Ellmouni
Plants 2021, 10(4), 740; https://doi.org/10.3390/plants10040740 - 9 Apr 2021
Cited by 8 | Viewed by 4199
Abstract
The genus Silene L. is one of the largest genera in Caryophyllaceae, and is distributed in the Northern Hemisphere and South America. The endemic species Silene leucophylla and the near-endemic S. schimperiana are native to the Sinai Peninsula, Egypt. They have reduced population [...] Read more.
The genus Silene L. is one of the largest genera in Caryophyllaceae, and is distributed in the Northern Hemisphere and South America. The endemic species Silene leucophylla and the near-endemic S. schimperiana are native to the Sinai Peninsula, Egypt. They have reduced population size and are endangered on national and international scales. These two species have typically been disregarded in most studies of the genus Silene. This research integrates the Scanning Electron Microscope (SEM), species micromorphology, and the phylogenetic analysis of four DNA markers: ITS, matK, rbcL and psb-A/trn-H. Trichomes were observed on the stem of Silene leucophylla, while the S. schimperiana has a glabrous stem. Irregular epicuticle platelets with sinuate margin were found in S. schimperiana. Oblong, bone-shaped, and irregularly arranged epidermal cells were present on the leaf of S. leucophylla, while Silene schimperiana leaf has “tetra-, penta-, hexa-, and polygonal” epidermal cells. Silene leucophylla and S. schimperiana have amphistomatic stomata. The Bayesian phylogenetic analysis of each marker individually or in combination represented the first phylogenetic study to reveal the generic and sectional classification of S. leucophylla and S. schimperiana. Two Silene complexes are proposed based on morphological and phylogenetic data. The Leucophylla complex was allied to section Siphonomorpha and the Schimperiana complex was related to section Sclerocalycinae. However, these two complexes need further investigation and more exhaustive sampling to infer their complex phylogenetic relationships. Full article
Show Figures

Figure 1

18 pages, 4357 KB  
Article
Adsorption of Mixtures of a Pegylated Lipid with Anionic and Zwitterionic Surfactants at Solid/Liquid
by Sara Llamas, Eduardo Guzmán, Francisco Ortega and Ramón G. Rubio
Colloids Interfaces 2020, 4(4), 47; https://doi.org/10.3390/colloids4040047 - 29 Oct 2020
Cited by 9 | Viewed by 4352
Abstract
This work explores the association of a pegylated lipid (DSPE-PEG) with different anionic and zwitterionic surfactants (pseudo-binary and pseudo-ternary polymer+ surfactant mixtures), and the adsorption of the polymer + surfactant aggregates onto negatively charged surfaces, with a surface charge density similar to that [...] Read more.
This work explores the association of a pegylated lipid (DSPE-PEG) with different anionic and zwitterionic surfactants (pseudo-binary and pseudo-ternary polymer+ surfactant mixtures), and the adsorption of the polymer + surfactant aggregates onto negatively charged surfaces, with a surface charge density similar to that existing on the damaged hair epicuticle. Dynamic light scattering and zeta potential measurements shows that, in solution, the polymer + surfactant association results from an intricate balance between electrostatic and hydrophobic interactions, which leads to the formation of at least two different types of micellar-like polymer + surfactant aggregates. The structure and physicochemical properties of such aggregates were found strongly dependent on the specific nature and concentration of the surfactant. The adsorption of the polymer + surfactant aggregates onto negatively charged surface was studied using a set of surface-sensitive techniques (quartz crystal microbalance with dissipation monitoring, ellipsometry and Atomic Force Microscopy), which allows obtaining information about the adsorbed amount, the water content of the layers and the topography of the obtained films. Ion-dipole interactions between the negative charges of the surface and the oxyethylene groups of the polymer + surfactant aggregates appear as the main driving force of the deposition process. This is strongly dependent on the surfactant nature and its concentration, with the impact of the latter on the adsorption being especially critical when anionic surfactant are incorporated within the aggregates. This study opens important perspectives for modulating the deposition of a poorly interacting polymer onto negatively charged surfaces, which can impact in the fabrication on different aspects with technological and industrial interest. Full article
(This article belongs to the Special Issue Outstanding Scientists in Colloids and Interfaces: Emil Chibowski)
Show Figures

Figure 1

20 pages, 10849 KB  
Article
Vaccination of Mice with a Novel Trypsin from Trichinella spiralis Elicits the Immune Protection against Larval Challenge
by Yao Zhang, Jie Zeng, Yan Yan Song, Shao Rong Long, Ruo Dan Liu, Peng Jiang, Xi Zhang, Jing Cui and Zhong Quan Wang
Vaccines 2020, 8(3), 437; https://doi.org/10.3390/vaccines8030437 - 5 Aug 2020
Cited by 10 | Viewed by 4182
Abstract
Trichinella spiralis is a major foodborne parasite and has a serious threat to meat safety. Development of anti-Trichinella vaccines is prospective to eliminate Trichinella infection in food animal. The aim of this study was to assess the biological properties of a novel [...] Read more.
Trichinella spiralis is a major foodborne parasite and has a serious threat to meat safety. Development of anti-Trichinella vaccines is prospective to eliminate Trichinella infection in food animal. The aim of this study was to assess the biological properties of a novel T. spiralis trypsin (TsT) and its elicited immune protection against larval challenge. The cDNA sequence of TsT gene was cloned and expressed. Western blotting showed rTsT was identified by infection serum and anti-TsT serum. RT-PCR results revealed that TsT gene was transcribed at diverse T. spiralis lifecycle stages. The IIFT results showed that natural TsT was principally expressed at epicuticle of 5-6 day adult worms, indicating that TsT is a worm somatic antigen and adult-stage specific surface antigen. Vaccination of mice with rTsT triggered an evident humoral immune response (high levels of serum IgG, IgG1/IgG2a, and enteral sIgA), and it also induced the systemic and enteral local cellular immune response, demonstrated by an significantly elevation of cytokines IFN-γ and IL-4. The mice vaccinated with rTsT exhibited a 33.17% reduction of enteral adult worms and a 37.80% reduction of muscle larvae after larval challenge. The results showed that TsT might be considered as a candidate target antigen for anti-T. spiralis vaccines. Full article
(This article belongs to the Special Issue Evaluation of Vaccine Immunogenicity)
Show Figures

Figure 1

Back to TopTop