Sign in to use this feature.

Years

Between: -

Subjects

remove_circle_outline
remove_circle_outline
remove_circle_outline
remove_circle_outline
remove_circle_outline
remove_circle_outline
remove_circle_outline
remove_circle_outline
remove_circle_outline

Journals

remove_circle_outline
remove_circle_outline
remove_circle_outline
remove_circle_outline
remove_circle_outline

Article Types

Countries / Regions

remove_circle_outline
remove_circle_outline
remove_circle_outline
remove_circle_outline

Search Results (632)

Search Parameters:
Keywords = energy consumption mapping

Order results
Result details
Results per page
Select all
Export citation of selected articles as:
16 pages, 4945 KB  
Article
Research on Energy Consumption Optimization Strategies of Robot Joints Based on NSGA-II and Energy Consumption Mapping
by Dong Yang, Xin Wei and Ming Han
Robotics 2025, 14(10), 138; https://doi.org/10.3390/robotics14100138 - 29 Sep 2025
Abstract
Robot energy consumption is a prominent challenge in intelligent manufacturing and construction. Reducing energy consumption during robot trajectory execution is an urgent issue requiring immediate attention. In view of the shortcomings of traditional trajectory optimization methods, this paper proposes a multi-objective trajectory optimization [...] Read more.
Robot energy consumption is a prominent challenge in intelligent manufacturing and construction. Reducing energy consumption during robot trajectory execution is an urgent issue requiring immediate attention. In view of the shortcomings of traditional trajectory optimization methods, this paper proposes a multi-objective trajectory optimization method that combines energy consumption mapping with the NSGA-II, aiming to reduce robots’ trajectory energy consumption and optimize execution efficiency. By establishing a dynamic energy consumption model, energy consumption mapping is employed to constrain energy consumption within the robot’s workspace, thereby providing guidance for the optimization process. Simultaneously, with energy consumption minimization and time consumption as optimization objectives, the NSGA-II is utilized to obtain the Pareto-optimal solution set through non-dominated sorting and congestion distance calculation. Energy consumption mapping serves as a dynamic feedback mechanism during the optimization process, guiding the distribution of trajectory points towards low-energy-consumption regions, accelerating algorithm convergence, and enhancing the quality of the solution set. The experimental results demonstrate that the proposed method can significantly reduce robots’ trajectory energy consumption and achieve an effective balance between energy consumption and time consumption. Compared with the conventional NSGA-II normalized weighted function method in similar task scenarios, the robot can save 14.87% and 10.47% of its energy consumption, respectively. Compared with traditional methods, this method exhibits superior energy-saving performance and adaptability in complex task environments, providing a novel solution for the efficient trajectory planning of robots. Full article
(This article belongs to the Section Industrial Robots and Automation)
Show Figures

Figure 1

33 pages, 3814 KB  
Article
From AI Adoption to ESG in Industrial B2B Marketing: An Integrated Multi-Theory Model
by Raul Ionuț Riti, Laura Bacali and Claudiu Ioan Abrudan
Sustainability 2025, 17(19), 8595; https://doi.org/10.3390/su17198595 - 24 Sep 2025
Viewed by 27
Abstract
Artificial intelligence is transforming industrial marketing by reshaping processes, decision-making, and inter-firm relationships. However, research remains fragmented, with limited evidence on how adoption drivers create new capabilities and sustainability outcomes. This study develops and empirically validates an integrated framework that combines technology, organization, [...] Read more.
Artificial intelligence is transforming industrial marketing by reshaping processes, decision-making, and inter-firm relationships. However, research remains fragmented, with limited evidence on how adoption drivers create new capabilities and sustainability outcomes. This study develops and empirically validates an integrated framework that combines technology, organization, environment, user acceptance, resource-based perspectives, dynamic capabilities, and explainability. A convergent mixed-methods design was applied, combining survey data from industrial firms with thematic analysis of practitioner insights. The findings show that technological readiness, organizational commitment, environmental pressures, and user perceptions jointly determine adoption breadth and depth, which in turn foster marketing capabilities linked to measurable improvements. These include shorter quotation cycles, reduced energy consumption, improved forecasting accuracy, and the introduction of carbon-based pricing mechanisms. Qualitative evidence further indicates that explainability and human–machine collaboration are decisive for trust and practical use, while sustainability-oriented investments act as catalysts for long-term transformation. The study provides the first empirical integration of adoption drivers, capability building, and sustainability outcomes in industrial marketing. By demonstrating that artificial intelligence advances competitiveness and sustainability simultaneously, it positions marketing as a strategic lever in the transition toward digitally enabled and environmentally responsible industrial economies. We also provide a simplified mapping of theoretical lenses, detail B2B-specific scale adaptations, and discuss environmental trade-offs of AI use. Given the convenience/snowball design, estimates should be read as upper-bound effects for mixed-maturity populations; robustness checks (stratification and simple reweighting) confirm sign and significance. Full article
Show Figures

Figure 1

30 pages, 16585 KB  
Article
The Impact of Transfer Case Parameters on the Tractive Efficiency of Heavy Off-Road Vehicles
by Damian Stefanow
Sustainability 2025, 17(19), 8586; https://doi.org/10.3390/su17198586 - 24 Sep 2025
Viewed by 40
Abstract
One of the key issues in vehicle sustainability is their energy efficiency. The article concerns the complex issue of predicting the tractive efficiency of heavy off-road vehicles depending on the parameters of the transfer case. As part of the research, a mathematical model [...] Read more.
One of the key issues in vehicle sustainability is their energy efficiency. The article concerns the complex issue of predicting the tractive efficiency of heavy off-road vehicles depending on the parameters of the transfer case. As part of the research, a mathematical model of an off-road truck with simplified drive system was developed and implemented in MATLAB/Simulink environment. Multiple simulations for various parameters were performed. Based on the simulation results, efficiency maps were plotted depending on parameters such as the friction coefficient in the differential mechanism, torque bias of the differential, load distribution and drawbar pull of the vehicle. The results showed that the vehicle generally achieves the highest traction efficiency with the differential operating in locked condition and confirmed that the optimal torque bias is close to the load ratio. However, taking into account the multipass effect shifts this value towards the front wheel, while taking into account the bulldozing effect shifts it towards the rear wheel. Simulated vehicle showed higher efficiency when heavily loaded at higher differential friction, while when lightly loaded, higher efficiency at lower friction. Thanks to its high degree of parameterization, this model can be used to help optimize the drive train of off-road vehicles traveling in various terrains from the energy consumption point of view, leading to more sustainable operation. Full article
(This article belongs to the Special Issue Powertrain Design and Control in Sustainable Electric Vehicles)
Show Figures

Figure 1

25 pages, 5954 KB  
Article
Bio-Inspired Central Pattern Generator for Adaptive Gait Generation and Stability in Humanoid Robots on Sloped Surfaces
by Junwei Fang, Yinglian Jin, Binrui Wang, Kun Zhou, Mingrui Wang and Ziqi Liu
Biomimetics 2025, 10(9), 637; https://doi.org/10.3390/biomimetics10090637 - 22 Sep 2025
Viewed by 180
Abstract
Existing research has preliminarily achieved stable walking in humanoid robots; however, natural human-like leg motion and adaptive capabilities in dynamic environments remain unattained. This paper proposes a bionic central pattern generator (CPG) gait generation method based on Kimura neurons. The method maps the [...] Read more.
Existing research has preliminarily achieved stable walking in humanoid robots; however, natural human-like leg motion and adaptive capabilities in dynamic environments remain unattained. This paper proposes a bionic central pattern generator (CPG) gait generation method based on Kimura neurons. The method maps the CPG output to the spatial motion patterns of the robot’s center of mass (CoM) and foot trajectory, modulated by 22 undetermined parameters. To address the vague physical interpretation of CPG parameters, the strong neuronal coupling, and the difficulty of decoupling, this research systematically optimized the CPG parameters by defining an objective function that integrates dynamic balance performance with step constraints, thereby enhancing the naturalness and coordination of gait generation. To further enhance the walking stability of the robot under varying road curvatures, a vestibular reflex mechanism was designed based on the Tegotae theory, enabling real-time posture adjustment during slope walking. To validate the proposed approach, a virtual simulation platform and a physical humanoid robot system were constructed to comparatively evaluate motion performance on flat terrain and slopes with different gradients. The results show that the energy consumption characteristics of robot-coordinated gait are highly consistent with the energy-saving mechanism of human natural motion. In addition, the established reflection mechanism significantly improves the motion stability of the robot in slope transition, and its excellent stability margin and environmental adaptability are verified by simulation and experiment. Full article
(This article belongs to the Section Locomotion and Bioinspired Robotics)
Show Figures

Graphical abstract

25 pages, 2551 KB  
Article
Optimal Low-Carbon Economic Dispatch Strategy for Active Distribution Networks with Participation of Multi-Flexible Loads
by Xu Yao, Kun Zhang, Chenghui Liu, Taipeng Zhu, Fangfang Zhou, Jiezhang Li and Chong Liu
Processes 2025, 13(9), 2972; https://doi.org/10.3390/pr13092972 - 18 Sep 2025
Viewed by 233
Abstract
Optimization dispatch with flexible load participation in new power systems significantly enhances renewable energy accommodation, though the potential of flexible loads remains underexploited. To improve renewable utilization efficiency, promote wind/PV consumption and reduce carbon emissions, this paper establishes a low-carbon economic optimization dispatch [...] Read more.
Optimization dispatch with flexible load participation in new power systems significantly enhances renewable energy accommodation, though the potential of flexible loads remains underexploited. To improve renewable utilization efficiency, promote wind/PV consumption and reduce carbon emissions, this paper establishes a low-carbon economic optimization dispatch model for active distribution networks incorporating flexible loads and tiered carbon trading. First, a hybrid SSA (Sparrow Search Algorithm)–CNN-LSTM model is adopted for accurate renewable generation forecasting. Meanwhile, multi-type flexible loads are categorized into shiftable, transferable and reducible loads based on response characteristics, with tiered carbon trading mechanism introduced to achieve low-carbon operation through price incentives that guide load-side participation while avoiding privacy leakage from direct control. Considering the non-convex nonlinear characteristics of the dispatch model, an improved Beluga Whale Optimization (BWO) algorithm is developed. To address the diminished solution diversity and precision in conventional BWO evolution, Tent chaotic mapping is introduced to resolve initial parameter sensitivity. Finally, modified IEEE-33 bus system simulations demonstrate the method’s validity and feasibility. Full article
(This article belongs to the Special Issue Applications of Smart Microgrids in Renewable Energy Development)
Show Figures

Figure 1

30 pages, 3141 KB  
Article
Lyapunov-Based Deep Deterministic Policy Gradient for Energy-Efficient Task Offloading in UAV-Assisted MEC
by Jianhua Liu, Xudong Zhang, Haitao Zhou, Xia Lei, Huiru Li and Xiaofan Wang
Drones 2025, 9(9), 653; https://doi.org/10.3390/drones9090653 - 16 Sep 2025
Viewed by 244
Abstract
The demand for low-latency computing from the Internet of Things (IoT) and emerging applications challenges traditional cloud computing. Mobile Edge Computing (MEC) offers a solution by deploying resources at the network edge, yet terrestrial deployments face limitations. Unmanned Aerial Vehicles (UAVs), leveraging their [...] Read more.
The demand for low-latency computing from the Internet of Things (IoT) and emerging applications challenges traditional cloud computing. Mobile Edge Computing (MEC) offers a solution by deploying resources at the network edge, yet terrestrial deployments face limitations. Unmanned Aerial Vehicles (UAVs), leveraging their high mobility and flexibility, provide dynamic computation offloading for User Equipments (UEs), especially in areas with poor infrastructure or network congestion. However, UAV-assisted MEC confronts significant challenges, including time-varying wireless channels and the inherent energy constraints of UAVs. We put forward the Lyapunov-based Deep Deterministic Policy Gradient (LyDDPG), a novel computation offloading algorithm. This algorithm innovatively integrates Lyapunov optimization with the Deep Deterministic Policy Gradient (DDPG) method. Lyapunov optimization transforms the long-term, stochastic energy minimization problem into a series of tractable, per-timeslot deterministic subproblems. Subsequently, DDPG is utilized to solve these subproblems by learning a model-free policy through environmental interaction. This policy maps system states to optimal continuous offloading and resource allocation decisions, aiming to minimize the Lyapunov-derived “drift-plus-penalty” term. The simulation outcomes indicate that, compared to several baseline and leading algorithms, the proposed LyDDPG algorithm reduces the total system energy consumption by at least 16% while simultaneously maintaining low task latency and ensuring system stability. Full article
(This article belongs to the Section Drone Communications)
Show Figures

Figure 1

29 pages, 20970 KB  
Article
A Semantic Energy-Aware Ontological Framework for Adaptive Task Planning and Allocation in Intelligent Mobile Systems
by Jun-Hyeon Choi, Dong-Su Seo, Sang-Hyeon Bae, Ye-Chan An, Eun-Jin Kim, Jeong-Won Pyo and Tae-Yong Kuc
Electronics 2025, 14(18), 3647; https://doi.org/10.3390/electronics14183647 - 15 Sep 2025
Viewed by 264
Abstract
Intelligent robotic systems frequently operate under stringent energy limitations, especially in complex and dynamic environments. To enhance both adaptability and reliability, this study introduces a semantic planning framework that integrates ontology-driven reasoning with energy awareness. The framework estimates energy consumption based on the [...] Read more.
Intelligent robotic systems frequently operate under stringent energy limitations, especially in complex and dynamic environments. To enhance both adaptability and reliability, this study introduces a semantic planning framework that integrates ontology-driven reasoning with energy awareness. The framework estimates energy consumption based on the platform-specific behavior of sensing, actuation, and computational modules while continuously updating place-level semantic representations using real-time execution data. These representations encode not only spatial and contextual semantics but also energy characteristics acquired from prior operational history. By embedding historical energy usage profiles into hierarchical semantic maps, this framework enables more efficient route planning and context-aware task assignment. A shared semantic layer facilitates coordinated planning for both single-robot and multi-robot systems, with the decisions informed by energy-centric knowledge. This approach remains hardware-independent and can be applied across diverse platforms, such as indoor service robots and ground-based autonomous vehicles. Experimental validation using a differential-drive mobile platform in a structured indoor setting demonstrates improvements in energy efficiency, the robustness of planning, and the quality of the task distribution. This framework effectively connects high-level symbolic reasoning with low-level energy behavior, providing a unified mechanism for energy-informed semantic decision-making. Full article
Show Figures

Figure 1

20 pages, 2418 KB  
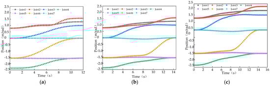
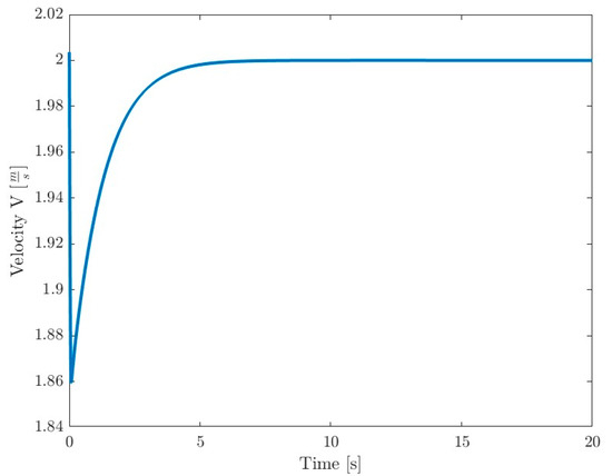
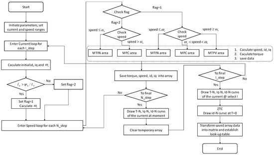
Article
Optimal Efficiency and Automatic Current Commands Map Generator for an Interior Permanent Magnet Synchronous Motor in Electric Vehicles
by Shin-Hung Chang and Hsing-Yu Yeh
Appl. Sci. 2025, 15(17), 9838; https://doi.org/10.3390/app15179838 - 8 Sep 2025
Viewed by 507
Abstract
A systematic and highly efficient current commands generator for an interior permanent magnet synchronous motor (IPMSM) in electric vehicles is proposed. This paper integrates maximum torque per ampere (MTPA), maximum power control (MPC), and maximum torque per voltage (MTPV) criteria for optimal efficiency, [...] Read more.
A systematic and highly efficient current commands generator for an interior permanent magnet synchronous motor (IPMSM) in electric vehicles is proposed. This paper integrates maximum torque per ampere (MTPA), maximum power control (MPC), and maximum torque per voltage (MTPV) criteria for optimal efficiency, and systematically establishes an optimal current control commands workflow. A rapid current commands mapping technique and an automatic high efficiency of all speed range current command generator are proposed. The automatically generated commands table can be effectively applied in a motor controller to reduce the energy consumption of an electric vehicle for all operating speed range. A graphical user interface (GUI) tool for the generator, which can automatically produce the current command (look-up tables, LUT) in an Excel format, is designed. High-speed field-weakening and zero-torque cruising (ZTC) in electric vehicles are also thoughtfully considered. By using the proposed method, motor controller designers can more rapidly adjust required motor current command tables and speed up the development period. Both GUI simulation and experimental results show the effectiveness and feasibility of the proposed method. Full article
Show Figures

Figure 1

18 pages, 532 KB  
Article
Multi-Agentic Water Health Surveillance
by Vasileios Alevizos, Zongliang Yue, Sabrina Edralin, Clark Xu, Nikitas Gerolimos and George A. Papakostas
Water 2025, 17(17), 2653; https://doi.org/10.3390/w17172653 - 8 Sep 2025
Viewed by 606
Abstract
Clean water security demands autonomous systems that sense, reason, and act at scale. We introduce AquaSurveil, a unified multi-agent platform coupling mobile robots, fixed IoT nodes, and privacy-preserving machine learning for continent-scale water health surveillance. The architecture blends Gaussian-process mapping with distributed particle [...] Read more.
Clean water security demands autonomous systems that sense, reason, and act at scale. We introduce AquaSurveil, a unified multi-agent platform coupling mobile robots, fixed IoT nodes, and privacy-preserving machine learning for continent-scale water health surveillance. The architecture blends Gaussian-process mapping with distributed particle filtering, multi-agent deep-reinforcement Voronoi coverage, GAN/LSTM anomaly detection, and sheaf-theoretic data fusion; components are tuned by Bayesian optimization and governed by Age-of-Information-aware power control. Evaluated on a 2.82-million-record dataset (1940–2023; five countries), AquaSurveil achieves up to 96% spatial-coverage efficiency, an ROC-AUC of 0.96 for anomaly detection, ≈95% state-estimation accuracy, and reduced energy consumption versus randomized patrols. These results demonstrate scalable, robust, and energy-aware water quality surveillance that unifies robotics, the IoT, and modern AI. Full article
Show Figures

Figure 1

15 pages, 629 KB  
Article
Clustering EU Member States by Energy Security Level Using Kohonen Maps
by Olena Ivashko, Anastasiia Simakhova, Vladyslav Soliakov and Jerzy Choroszczak
Energies 2025, 18(17), 4750; https://doi.org/10.3390/en18174750 - 6 Sep 2025
Viewed by 731
Abstract
The topic of energy security is relevant for EU countries that pay great attention to new renewable energy sources and sustainable environmental development. The purpose of the article is to analyze and group EU countries by their level of energy security. To achieve [...] Read more.
The topic of energy security is relevant for EU countries that pay great attention to new renewable energy sources and sustainable environmental development. The purpose of the article is to analyze and group EU countries by their level of energy security. To achieve this goal, general scientific methods and Kohonen maps (Deductor Studio package) were used. This article analyzes the state of energy security in EU countries, energy imports, the development of renewable energy sources, energy consumption, and energy security challenges. As a result of grouping EU countries according to Kohonen maps, three clusters were identified: countries with high, medium, and relatively low levels of energy security. The approach demonstrated the effectiveness of neural network-based clustering in revealing structural differences in national energy systems. The findings indicate that to strengthen energy security across the European Union, it is important to adopt differentiated approaches tailored to the specific needs of each cluster. The practical significance of the article lies in clustering EU countries by their energy security potential, which provides a basis for developing and implementing appropriate policies to enhance energy security. Recommendations for strengthening energy security were proposed for each cluster. Full article
Show Figures

Figure 1

60 pages, 12559 KB  
Article
A Decade of Studies in Smart Cities and Urban Planning Through Big Data Analytics
by Florin Dobre, Andra Sandu, George-Cristian Tătaru and Liviu-Adrian Cotfas
Systems 2025, 13(9), 780; https://doi.org/10.3390/systems13090780 - 5 Sep 2025
Cited by 1 | Viewed by 799
Abstract
Smart cities and urban planning have succeeded in gathering the attention of researchers worldwide, especially in the last decade, as a result of a series of technological, social and economic developments that have shaped the need for evolution from the traditional way in [...] Read more.
Smart cities and urban planning have succeeded in gathering the attention of researchers worldwide, especially in the last decade, as a result of a series of technological, social and economic developments that have shaped the need for evolution from the traditional way in which the cities were viewed. Technology has been incorporated in many sectors associated with smart cities, such as communications, transportation, energy, and water, resulting in increasing people’s quality of life and satisfying the needs of a society in continuous change. Furthermore, with the rise in machine learning (ML) and artificial intelligence (AI), as well as Geographic Information Systems (GIS), the applications of big data analytics in the context of smart cities and urban planning have diversified, covering a wide range of applications starting with traffic management, environmental monitoring, public safety, and adjusting power distribution based on consumption patterns. In this context, the present paper brings to the fore the papers written in the 2015–2024 period and indexed in Clarivate Analytics’ Web of Science Core Collection and analyzes them from a bibliometric point of view. As a result, an annual growth rate of 10.72% has been observed, showing an increased interest from the scientific community in this area. Through the use of specific bibliometric analyses, key themes, trends, prominent authors and institutions, preferred journals, and collaboration networks among authors, data are extracted and discussed in depth. Thematic maps and topic discovery through Latent Dirichlet Allocation (LDA) and doubled by a BERTopic analysis, n-gram analysis, factorial analysis, and a review of the most cited papers complete the picture on the research carried on in the last decade in this area. The importance of big data analytics in the area of urban planning and smart cities is underlined, resulting in an increase in their ability to enhance urban living by providing personalized and efficient solutions to everyday life situations. Full article
Show Figures

Figure 1

28 pages, 5802 KB  
Article
An Autonomous Operation Path Planning Method for Wheat Planter Based on Improved Particle Swarm Algorithm
by Shuangshuang Du, Yunjie Zhao, Yongqiang Tian and Taihong Zhang
Sensors 2025, 25(17), 5468; https://doi.org/10.3390/s25175468 - 3 Sep 2025
Viewed by 553
Abstract
To address the issues of low efficiency, insufficient coverage, and high energy consumption in wheat sowing path planning for large-scale irregular farmland, this study proposes an improved hybrid particle swarm optimization algorithm (TLG-PSO) for autonomous operational path planning. Building upon the standard PSO, [...] Read more.
To address the issues of low efficiency, insufficient coverage, and high energy consumption in wheat sowing path planning for large-scale irregular farmland, this study proposes an improved hybrid particle swarm optimization algorithm (TLG-PSO) for autonomous operational path planning. Building upon the standard PSO, the proposed method introduces a Tent chaotic mapping initialization mechanism, a Logistic-based dynamic inertia weight adjustment strategy, and adaptive Gaussian perturbation optimization to achieve precise control of the agricultural machinery’s driving orientation angle. A comprehensive path planning model is constructed with the objectives of minimizing the effective operation path length, reducing turning frequency, and maximizing coverage rate. Furthermore, cubic Bézier curves are employed for path smoothing, effectively controlling path curvature and ensuring the safety and stability of agricultural operations. The simulation experiment results demonstrate that the TLG-PSO algorithm achieved exceptional full-coverage operation performance across four categories of typical test fields. Compared to conventional fixed-direction path planning strategies, the algorithm reduced average total path length by 6228 m, improved coverage rate by 1.31%, achieved average labor savings of 96.32%, and decreased energy consumption by 6.45%. In large-scale comprehensive testing encompassing 1–27 field plots, the proposed algorithm reduced average total path length by 8472 m (a 5.45% decrease) and achieved average energy savings of 44.21 kW (a 5.48% reduction rate). Comparative experiments with mainstream intelligent optimization algorithms, including GA, ACO, PSO, BreedPSO, and SecPSO, revealed that TLG-PSO reduced path length by 0.16%–0.74% and decreased energy consumption by 0.53%–2.47%. It is worth noting that for large-scale field operations spanning hundreds of acres, even an approximately 1% path reduction translates to substantial fuel and operational time savings, which holds significant practical implications for large-scale agricultural production. Furthermore, TLG-PSO demonstrated exceptional performance in terms of algorithm convergence speed and computational efficiency. The improved TLG-PSO algorithm provides a feasible and efficient solution for autonomous operation of large-scale agricultural machinery. Full article
(This article belongs to the Special Issue Robotic Systems for Future Farming)
Show Figures

Figure 1

19 pages, 469 KB  
Article
Performance Evaluation of Separate Chaining for Concurrent Hash Maps
by Ana Castro, Miguel Areias and Ricardo Rocha
Mathematics 2025, 13(17), 2820; https://doi.org/10.3390/math13172820 - 2 Sep 2025
Viewed by 465
Abstract
Hash maps are a widely used and efficient data structure for storing and accessing data organized as key-value pairs. Multithreading with hash maps refers to the ability to concurrently execute multiple lookup, insert, and delete operations, such that each operation runs independently while [...] Read more.
Hash maps are a widely used and efficient data structure for storing and accessing data organized as key-value pairs. Multithreading with hash maps refers to the ability to concurrently execute multiple lookup, insert, and delete operations, such that each operation runs independently while sharing the underlying data structure. One of the main challenges in hash map implementation is the management of collisions. Arguably, separate chaining is among the most well-known strategies for collision resolution. In this paper, we present a comprehensive study comparing two common approaches to implementing separate chaining—linked lists and dynamic arrays—in a multithreaded environment using a lock-based concurrent hash map design. Our study includes a performance evaluation covering parameters such as cache behavior, energy consumption, contention under concurrent access, and resizing overhead. Experimental results show that dynamic arrays maintain more predictable memory access and lower energy consumption in multithreaded environments. Full article
(This article belongs to the Special Issue Advances in High-Speed Computing and Parallel Algorithm)
Show Figures

Figure 1

24 pages, 635 KB  
Article
A Digital Twin-Assisted VEC Intelligent Task Offloading Approach
by Yali Wang, Hongtao Xue and Meng Zhou
Electronics 2025, 14(17), 3444; https://doi.org/10.3390/electronics14173444 - 29 Aug 2025
Viewed by 540
Abstract
Vehicular edge computing (VEC) represents a concrete application of mobile edge computing (MEC) in the field of intelligent transportation, with task offloading serving as one of its core components. The design of efficient task offloading strategies poses significant challenges due to the dynamic [...] Read more.
Vehicular edge computing (VEC) represents a concrete application of mobile edge computing (MEC) in the field of intelligent transportation, with task offloading serving as one of its core components. The design of efficient task offloading strategies poses significant challenges due to the dynamic network topology, stringent low-latency requirements, and massive data processing demands. This paper proposes a digital twin (DT)-assisted intelligent task offloading approach, which establishes a dynamic interaction and mapping between the virtual and physical worlds to enable real-time monitoring of VEC network states, thereby optimizing offloading decisions. First, to meet diverse user service requirements, an optimization model is formulated with the objective of minimizing task processing latency and energy consumption. Next, a gravity model-based vehicle clustering algorithm is integrated with digital twin technology to find the optimal offloading space and ensure link stability among vehicles within aggregated clusters. Furthermore, to minimize overall system costs, the Twin Delayed Deep Deterministic Policy Gradient (TD3) algorithm is utilized to train the offloading policy, enabling automatic optimization of both latency and energy consumption. consumption. Finally, a feedback mechanism is introduced to dynamically adjust parameters and enhance the robustness of the clustering process. Simulation results demonstrate that the proposed approach significantly outperforms baseline methods in terms of task completion cost, energy consumption, delay, and success rate, thereby validating its potential and superior performance in dynamic vehicular network environments. Full article
Show Figures

Figure 1

22 pages, 5825 KB  
Article
Development of a Smart Energy-Saving Driving Assistance System Integrating OBD-II, YOLOv11, and Generative AI
by Meng-Hua Yen, You-Xuan Lin, Kai-Po Huang and Chi-Chun Chen
Electronics 2025, 14(17), 3435; https://doi.org/10.3390/electronics14173435 - 28 Aug 2025
Viewed by 517
Abstract
In recent years, generative AI and autonomous driving have been highly popular topics. Additionally, with the increasing global emphasis on carbon emissions and carbon trading, integrating autonomous driving technologies that can instantly perceive environ-mental changes with vehicle-based generative AI would enable vehicles to [...] Read more.
In recent years, generative AI and autonomous driving have been highly popular topics. Additionally, with the increasing global emphasis on carbon emissions and carbon trading, integrating autonomous driving technologies that can instantly perceive environ-mental changes with vehicle-based generative AI would enable vehicles to better under-stand their surroundings and provide drivers with recommendations for more energy-efficient and comfortable driving. This study employed You Only Look Once version11 (YOLOv11) for visual detection of the driving environment, integrating it with vehicle speed data received from the OBD-II system. All information is integrated and processed using the embedded Nvidia Jetson AGX Orin platform. For visual detection validation, part of the test set includes standard Taiwanese road signs. Experimental results show that incorporating Squeeze-and-Excitation Attention (SEAttention), into YOLOv11 improves the mAP50–95 accuracy by 10.1 percentage points. Generative AI processed this information in real time and provided the driver with appropriate driving recommendations, such as gently braking, detecting a pedestrian ahead, or warning of excessive speed. These recommendations are delivered through voice output to prevent driver distraction caused by looking at an interface. When a red light or pedestrian is detected, early deceleration is suggested, effectively reducing fuel consumption while also enhancing driving comfort, ultimately achieving the goal of energy-efficient driving. Full article
(This article belongs to the Special Issue Intelligent Computing and System Integration)
Show Figures

Figure 1

Back to TopTop