Sign in to use this feature.

Years

Between: -

Subjects

remove_circle_outline
remove_circle_outline
remove_circle_outline
remove_circle_outline

Journals

Article Types

Countries / Regions

Search Results (18)

Search Parameters:
Keywords = endometrosis

Order results
Result details
Results per page
Select all
Export citation of selected articles as:
19 pages, 2007 KB  
Article
Transcriptomic Insights into Tumor Necrosis Factor α’s Role in the Fibrosis-Related Processes of Equine Endometrial Fibroblasts
by Agnieszka Sadowska, Tomasz Molcan, Magda Słyszewska, Dariusz J. Skarzynski, Graça Ferreira-Dias and Anna Szóstek-Mioduchowska
Int. J. Mol. Sci. 2025, 26(23), 11344; https://doi.org/10.3390/ijms262311344 - 24 Nov 2025
Viewed by 394
Abstract
Equine endometrosis is a chronic degenerative condition of the endometrium. A hallmark feature of endometrosis is endometrial fibrosis accompanied by degenerative changes in the adjacent tissue structure. Tumor necrosis factor α (TNFα), a pleiotropic cytokine produced by various immune cells, plays a dual [...] Read more.
Equine endometrosis is a chronic degenerative condition of the endometrium. A hallmark feature of endometrosis is endometrial fibrosis accompanied by degenerative changes in the adjacent tissue structure. Tumor necrosis factor α (TNFα), a pleiotropic cytokine produced by various immune cells, plays a dual role in coordinating immune responses and regulating cell/tissue homeostasis, making it an important regulator of fibrotic-related disorders. However, the exact role of TNFα in the development of equine endometrial fibrosis remains to be discovered and explained. Therefore, the main aim of the current study was to establish the effects of TNFα on the equine endometrial fibroblast transcriptome as well as on proliferation and expression of ECM-associated factors in in vitro cultured fibroblasts derived from non-fibrotic equine endometrium. RNA-sequencing revealed changes in the expression of 737 genes (padjusted < 0.05; log2FC ≥ 1.0/log2FC ≤ −1.0) between untreated and TNFα-treated equine endometrial fibroblasts. These genes are involved in, i.a., B cell activation, proliferation and differentiation, cell cycle, canonical NF-κB signal transduction, ERK1 and ERK2 cascade, and p53 signaling pathway. Moreover, it was found that TNFα increased fibroblast proliferation and affected the expression of metalloproteinases and their tissue inhibitors in mare endometrial fibroblasts. Results of the current study highlight that TNFα modulates the expression of genes related to immune cell activation, cell fate, and ECM remodeling in in vitro cultured equine endometrial fibroblasts, suggesting TNFα contribution in development of fibrosis in the mare endometrium. Since the current study provides mechanistic insight into TNFα action, these findings provide a foundation for future research aimed at targeting TNFα-mediated pathways as potential therapeutic strategies to mitigate equine endometrial fibrosis progression. Full article
(This article belongs to the Special Issue Cytokines and Other Biomarkers of Health Status)
Show Figures

Graphical abstract

19 pages, 5281 KB  
Review
Advances in the Diagnosis of Reproductive Disorders in Female Camelids
by Abdelmalek Sghiri, Michela Ciccarelli, Muhammad S. Waqas, Abelhaq Anouassi and Ahmed Tibary
Animals 2025, 15(19), 2902; https://doi.org/10.3390/ani15192902 - 4 Oct 2025
Cited by 1 | Viewed by 1322
Abstract
Camelids are increasingly recognized as important livestock species. They are valuable sources of meat, fiber, and milk. Despite their growing popularity, many aspects of their reproductive physiology and pathology remain unclear. Their reproductive performance is reported to be low in many countries. Advances [...] Read more.
Camelids are increasingly recognized as important livestock species. They are valuable sources of meat, fiber, and milk. Despite their growing popularity, many aspects of their reproductive physiology and pathology remain unclear. Their reproductive performance is reported to be low in many countries. Advances in camelid veterinary care have identified several disorders, some of which are species-specific. This article describes an approach to and the diagnosis of infertility and subfertility cases in alpacas, llamas, and camels referred to the authors over the past 35 years. Ultrasonography, endometrial cytology, and biopsy are the primary diagnostic tools for practitioners. However, laparoscopy, hysteroscopy, and cytogenetics are indicated for cases referred to theriogenologists. The incidence of congenital and acquired reproductive disorders is presented. A high incidence of congenital defects of the reproductive tract is found in South American camelids, which raises concerns about animal welfare. Acquired disorders are similar to those described in other species. Endometritis and endometrosis are major disorders contributing to infertility and early pregnancy loss. However, studies on uterine defense mechanisms and the pathogenesis of these disorders are lacking. Hydrobursitis, a common cause of infertility in dromedary camels, warrants further research. The implications of some contagious diseases (tuberculosis, campylobacteriosis, and brucellosis) in female infertility are discussed. These findings emphasize the importance of including camelid medicine in veterinary education to ensure a high standard of care for this species. Full article
(This article belongs to the Special Issue Advances in Camelid Reproduction)
Show Figures

Figure 1

27 pages, 1868 KB  
Article
Bidirectional Interaction Between PGE2-Preconditioned Mesenchymal Stem Cells and Myofibroblasts Mediates Anti-Fibrotic Effects: A Proteomic Investigation into Equine Endometrial Fibrosis Reversal
by Lidice Méndez-Pérez, Yat Sen Wong, Belén O. Ibáñez, Ioanna Martinez-Hormaza, Lleretny Rodríguez-Álvarez and Fidel Ovidio Castro
Proteomes 2025, 13(3), 41; https://doi.org/10.3390/proteomes13030041 - 8 Sep 2025
Viewed by 1196
Abstract
Background: Endometrosis is a prevalent fibrotic condition in mares that impairs reproductive efficiency by inducing transdifferentiation of endometrial stromal cells into myofibroblasts, leading to excessive ECM deposition. Methods: To elucidate the molecular mechanisms underlying fibrosis resolution, this study employed comprehensive proteomic techniques, including [...] Read more.
Background: Endometrosis is a prevalent fibrotic condition in mares that impairs reproductive efficiency by inducing transdifferentiation of endometrial stromal cells into myofibroblasts, leading to excessive ECM deposition. Methods: To elucidate the molecular mechanisms underlying fibrosis resolution, this study employed comprehensive proteomic techniques, including LC-MS/MS and SILAC, to analyze the interaction between myofibroblasts and mesenchymal stem cells derived from the endometrium (ET-eMSCs) preconditioned with PGE2. An in vitro co-culture system was used, with samples collected at baseline and after 48 h. Results: Proteomic analysis identified significant alterations in proteins associated with ECM remodeling, immune regulation, and cellular stress response. Notably, proteins involved in collagen degradation, antioxidant defense, and growth factor signaling pathways were differentially abundant. Network analyses demonstrated robust interactions among these proteins, suggesting coordinated modulatory effects. The data indicate that PGE2-primed ET-eMSCs induce a shift in myofibroblast secretory profiles, promoting a reduction in ECM stiffness, tissue reorganization, and activation of resolution pathways. Data are available via ProteomeXchange with identifier PXD067551. Conclusions: These findings reinforce the therapeutic potential of mesenchymal stem cell-based interventions for fibrotic diseases of the endometrium, opening avenues for regenerative strategies to restore reproductive function in mares. Full article
Show Figures

Figure 1

18 pages, 409 KB  
Review
Assessment of Connective Tissue in the Equine Uterus and Cervix: Review of Clinical Impact and Staining Options
by Łukasz Zdrojkowski, Bartosz Pawliński, Katarzyna Skierbiszewska, Tomasz Jasiński and Małgorzata Domino
Animals 2024, 14(1), 156; https://doi.org/10.3390/ani14010156 - 3 Jan 2024
Cited by 7 | Viewed by 3204
Abstract
Uterine diseases stand as the primary cause of infertility in mares; however, the diagnostic process often relies on obtaining endometrial biopsies and their hematoxylin–eosin staining. This review seeks to present the variability of uterine changes and their impact on fertility and underscore the [...] Read more.
Uterine diseases stand as the primary cause of infertility in mares; however, the diagnostic process often relies on obtaining endometrial biopsies and their hematoxylin–eosin staining. This review seeks to present the variability of uterine changes and their impact on fertility and underscore the utility of special stains, such as Masson trichrome, picrosirius red, elastica van Gieson, or periodic acid–Schiff, in enhancing diagnostic breadth. Connective tissue evaluation in the cervix is discussed, as it is subjected to cyclic changes and the impact on overall fertility. Vascular changes, particularly prevalent in multiparous mares, play a crucial role in adapting to physiological and pathological alterations, affecting early gestation and impeding placental development. Given that uterine vascular pathologies often involve fibrotic changes, connective tissue stains emerge as a valuable tool in this context. Moreover, equine endometriosis, predominantly associated with endometrial fibrosis, further highlights the relevance of special stains, suggesting their underutilization in the diagnostic process. Recognizing the subjective nature of diagnosing uterine pathologies and the need for additional diagnostic tools, we advocate for using dedicated stains in the histopathological evaluation of uterine samples. In conclusion, we encourage scientists and diagnosticians to embrace additional tools that enhance pathology visualization, enabling more reliable diagnoses concerning expected fertility. Full article
(This article belongs to the Special Issue Advances in Equine Reproduction)
16 pages, 4280 KB  
Article
5-Aza-2′-Deoxycytidine (5-Aza-dC, Decitabine) Inhibits Collagen Type I and III Expression in TGF-β1-Treated Equine Endometrial Fibroblasts
by Joana Alpoim-Moreira, Anna Szóstek-Mioduchowska, Magda Słyszewska, Maria Rosa Rebordão, Dariusz J. Skarzynski and Graça Ferreira-Dias
Animals 2023, 13(7), 1212; https://doi.org/10.3390/ani13071212 - 30 Mar 2023
Cited by 4 | Viewed by 3162
Abstract
Endometrosis negatively affects endometrial function and fertility in mares, due to excessive deposition of type I (COL1) and type III (COL3) collagens. The pro-fibrotic transforming growth factor (TGF-β1) induces myofibroblast differentiation, characterized by α-smooth muscle actin (α-SMA) expression, and collagen synthesis. In humans, [...] Read more.
Endometrosis negatively affects endometrial function and fertility in mares, due to excessive deposition of type I (COL1) and type III (COL3) collagens. The pro-fibrotic transforming growth factor (TGF-β1) induces myofibroblast differentiation, characterized by α-smooth muscle actin (α-SMA) expression, and collagen synthesis. In humans, fibrosis has been linked to epigenetic mechanisms. To the best of our knowledge, this has not been described in mare endometrium. Therefore, this study aimed to investigate the in vitro epigenetic regulation in TGF-β1-treated mare endometrial fibroblasts and the use of 5-aza-2′-deoxycytidine (5-aza-dC), an epigenetic modifier, as a putative treatment option for endometrial fibrosis. Methods and Results: The in vitro effects of TGF-β1 and of 5-aza-dC on DNA methyltransferases (DNMT1, DNMT3A, and DNMT3B), COL1A1, COL3A1, and α-SMA transcripts were analyzed in endometrial fibroblasts, and COL1 and COL3 secretion in a co-culture medium. TGF-β1 upregulated DNMT3A transcripts and collagen secretion. In TGF-β1-treated endometrial fibroblasts, DNA methylation inhibitor 5-aza-dC decreased collagen transcripts and secretion, but not α-SMA transcripts. Conclusion: These findings suggest a possible role of epigenetic mechanisms during equine endometrial fibrogenesis. The in vitro effect of 5-aza-dC on collagen reduction in TGF-β1-treated fibroblasts highlights this epigenetic involvement. This may pave the way to different therapeutic approaches for endometrosis. Full article
(This article belongs to the Special Issue Advances in Equine Reproduction)
Show Figures

Figure 1

15 pages, 2045 KB  
Article
Inhibition of Myeloperoxidase Pro-Fibrotic Effect by Noscapine in Equine Endometrium
by Ana Amaral, Nélio Cebola, Anna Szóstek-Mioduchowska, Maria Rosa Rebordão, Paweł Kordowitzki, Dariusz Skarzynski and Graça Ferreira-Dias
Int. J. Mol. Sci. 2023, 24(4), 3593; https://doi.org/10.3390/ijms24043593 - 10 Feb 2023
Cited by 2 | Viewed by 3166
Abstract
Myeloperoxidase is an enzyme released by neutrophils when neutrophil extracellular traps (NETs) are formed. Besides myeloperoxidase activity against pathogens, it was also linked to many diseases, including inflammatory and fibrotic ones. Endometrosis is a fibrotic disease of the mare endometrium, with a large [...] Read more.
Myeloperoxidase is an enzyme released by neutrophils when neutrophil extracellular traps (NETs) are formed. Besides myeloperoxidase activity against pathogens, it was also linked to many diseases, including inflammatory and fibrotic ones. Endometrosis is a fibrotic disease of the mare endometrium, with a large impact on their fertility, where myeloperoxidase was shown to induce fibrosis. Noscapine is an alkaloid with a low toxicity, that has been studied as an anti-cancer drug, and more recently as an anti-fibrotic molecule. This work aims to evaluate noscapine inhibition of collagen type 1 (COL1) induced by myeloperoxidase in equine endometrial explants from follicular and mid-luteal phases, at 24 and 48 h of treatment. The transcription of collagen type 1 alpha 2 chain (COL1A2), and COL1 protein relative abundance were evaluated by qPCR and Western blot, respectively. The treatment with myeloperoxidase increased COL1A2 mRNA transcription and COL1 protein, whereas noscapine was able to reduce this effect with respect to COL1A2 mRNA transcription, in a time/estrous cycle phase-dependent manner (in explants from the follicular phase, at 24 h of treatment). Our study indicates that noscapine is a promising drug to be considered as an anti-fibrotic molecule to prevent endometrosis development, making noscapine a strong candidate to be applied in future endometrosis therapies. Full article
(This article belongs to the Special Issue Myeloperoxidase)
Show Figures

Figure 1

14 pages, 1611 KB  
Review
The Role of NF-κB in Endometrial Diseases in Humans and Animals: A Review
by Łukasz Zdrojkowski, Tomasz Jasiński, Graça Ferreira-Dias, Bartosz Pawliński and Małgorzata Domino
Int. J. Mol. Sci. 2023, 24(3), 2901; https://doi.org/10.3390/ijms24032901 - 2 Feb 2023
Cited by 39 | Viewed by 4807
Abstract
The expression of genes of various proinflammatory chemokines and cytokines is controlled, among others, by the signaling pathway of the nuclear factor kappaB (NF-κB) superfamily of proteins, providing an impact on immune system functioning. The present review addresses the influence and role of [...] Read more.
The expression of genes of various proinflammatory chemokines and cytokines is controlled, among others, by the signaling pathway of the nuclear factor kappaB (NF-κB) superfamily of proteins, providing an impact on immune system functioning. The present review addresses the influence and role of the NF-κB pathway in the development and progression of most vital endometrial diseases in human and animal species. Immune modulation by NF-κB in endometritis, endometrosis, endometriosis, and carcinoma results in changes in cell migration, proliferation, and inflammation intensity in both the stroma and epithelium. In endometrial cells, the NF-κB signaling pathway may be activated by multiple stimuli, such as bacterial parts, cytokines, or hormones binding to specific receptors. The dysregulation of the immune system in response to NF-κB involves aberrant production of chemokines and cytokines, which plays a role in endometritis, endometriosis, endometrosis, and endometrial carcinoma. However, estrogen and progesterone influence on the reproductive tract always plays a major role in its regulation. Thus, sex hormones cannot be overlooked in endometrial disease physiopathology. While immune system dysregulation seems to be NF-κB-dependent, the hormone-independent and hormone-dependent regulation of NF-κB signaling in the endometrium should be considered in future studies. Future goals in this research should be a step up into clinical trials with compounds affecting NF-κB as treatment for endometrial diseases. Full article
(This article belongs to the Special Issue Role of NF-κB in Carcinogenesis and Its Therapeutic Regulation)
Show Figures

Figure 1

14 pages, 2302 KB  
Article
Collagen Type III as a Possible Blood Biomarker of Fibrosis in Equine Endometrium
by Joana Alpoim-Moreira, Carina Fernandes, Maria Rosa Rebordão, Ana Luísa Costa, Miguel Bliebernicht, Telmo Nunes, Anna Szóstek-Mioduchowska, Dariusz J. Skarzynski and Graça Ferreira-Dias
Animals 2022, 12(14), 1854; https://doi.org/10.3390/ani12141854 - 21 Jul 2022
Cited by 12 | Viewed by 3276
Abstract
Collagen pathological deposition in equine endometrium (endometrosis) is responsible for infertility. Kenney and Doig’s endometrial biopsy histopathological classification is the gold standard method for endometrosis evaluation, whereby blood biomarkers identification would be less invasive and could provide additional information regarding endometrosis diagnosis and [...] Read more.
Collagen pathological deposition in equine endometrium (endometrosis) is responsible for infertility. Kenney and Doig’s endometrial biopsy histopathological classification is the gold standard method for endometrosis evaluation, whereby blood biomarkers identification would be less invasive and could provide additional information regarding endometrosis diagnosis and fertility prognosis. This study aimed to identify blood biomarkers for endometrosis diagnosis (42 mares were used in experiment 1), and fertility assessment (50 mares were used in experiment 2). Reproductive examination, endometrial biopsy histopathological classification (Kenney and Doig) and blood collection were performed. Endometrium and serum collagen type I (COL1) and type III (COL3), and hydroxyproline concentrations were measured (ELISA). Serum COL3 cut-off value of 60.9 ng/mL allowed healthy endometria (category I) differentiation from endometria with degenerative/fibrotic lesions (categories IIA, IIB or III) with 100% specificity and 75.9% sensitivity. This cut-off value enabled category I + IIA differentiation from IIB + III (76% specificity, 81% sensitivity), and category III differentiation from others (65% specificity, 92.3% sensitivity). COL1 and hydroxyproline were not valid as blood biomarkers. Serum COL3 cut-off value of 146 ng/mL differentiated fertile from infertile mares (82.4% specificity, 55.6% sensitivity), and was not correlated with mares’ age. Only COL3 may prove useful as a diagnostic aid in mares with endometrial fibrosis and as a fertility indicator. Full article
(This article belongs to the Section Animal Reproduction)
Show Figures

Figure 1

18 pages, 1321 KB  
Article
Molecular Mechanism of Equine Endometrosis: The NF-κB-Dependent Pathway Underlies the Ovarian Steroid Receptors’ Dysfunction
by Tomasz Jasiński, Łukasz Zdrojkowski, Graça Ferreira-Dias, Ewa Kautz, Edyta Juszczuk-Kubiak and Małgorzata Domino
Int. J. Mol. Sci. 2022, 23(13), 7360; https://doi.org/10.3390/ijms23137360 - 1 Jul 2022
Cited by 9 | Viewed by 2532
Abstract
Endometrosis is a frequently occurring disease decreasing mares’ fertility. Thus, it is an important disease of the endometrium associated with epithelial and stromal cell alterations, endometrium gland degeneration and periglandular fibrosis. Multiple degenerative changes are found in uterine mucosa, the endometrium. However, their [...] Read more.
Endometrosis is a frequently occurring disease decreasing mares’ fertility. Thus, it is an important disease of the endometrium associated with epithelial and stromal cell alterations, endometrium gland degeneration and periglandular fibrosis. Multiple degenerative changes are found in uterine mucosa, the endometrium. However, their pathogenesis is not well known. It is thought that nuclear factor-κB (NF-κB), a cell metabolism regulator, and its activation pathways take part in it. The transcription of the profibrotic pathway genes of the NF-κB in fibrotic endometria differed between the follicular (FLP) and mid-luteal (MLP) phases of the estrous cycle, as well as with fibrosis progression. This study aimed to investigate the transcription of genes of estrogen (ESR1, ESR2) and progesterone receptors (PGR) in equine endometria to find relationships between the endocrine environment, NF-κB-pathway, and fibrosis. Endometrial samples (n = 100), collected in FLP or MLP, were classified histologically, and examined using quantitative PCR. The phase of the cycle was determined through the evaluation of ovarian structures and hormone levels (estradiol, progesterone) in serum. The transcription of ESR1, ESR2, and PGR decreased with the severity of endometrial fibrosis and degeneration of the endometrium. Moreover, differences in the transcription of ESR1, ESR2, and PGR were noted between FLP and MLP in the specific categories and histopathological type of equine endometrosis. In FLP and MLP, specific moderate and strong correlations between ESR1, ESR2, PGR and genes of the NF-κB pathway were evidenced. The transcription of endometrial steroid receptors can be subjected to dysregulation with the degree of equine endometrosis, especially in both destructive types of endometrosis, and mediated by the canonical NF-κB pathway depending on the estrous cycle phase. Full article
(This article belongs to the Special Issue Advanced Research on Reproductive System Disease 2022)
Show Figures

Figure 1

17 pages, 734 KB  
Review
Evolution of the Concepts of Endometrosis, Post Breeding Endometritis, and Susceptibility of Mares
by Terttu Katila and Graça Ferreira-Dias
Animals 2022, 12(6), 779; https://doi.org/10.3390/ani12060779 - 19 Mar 2022
Cited by 35 | Viewed by 7703
Abstract
In this paper, the evolution of our understanding about post breeding endometritis (PBE), the susceptibility of mares, and events leading to endometrosis are reviewed. When sperm arrive in the uterus, pro-inflammatory cytokines and chemokines are released. They attract neutrophils and induce modulatory cytokines [...] Read more.
In this paper, the evolution of our understanding about post breeding endometritis (PBE), the susceptibility of mares, and events leading to endometrosis are reviewed. When sperm arrive in the uterus, pro-inflammatory cytokines and chemokines are released. They attract neutrophils and induce modulatory cytokines which control inflammation. In susceptible mares, this physiological defense can be prolonged since the pattern of cytokine release differs from that of resistant mares being delayed and weaker for anti-inflammatory cytokines. Delayed uterine clearance due to conformational defects, deficient myometrial contractions, and failure of the cervix to relax is detected by intrauterine fluid accumulation and is an important reason for susceptibility to endometritis. Multiparous aged mares are more likely to be susceptible. Untreated prolonged PBE can lead to bacterial or fungal endometritis called persistent or chronic endometritis. Exuberant or prolonged neutrophilia and cytokine release can have deleterious and permanent effects in inducing endometrosis. Interactions of neutrophils, cytokines, and prostaglandins in the formation of collagen and extracellular matrix in the pathogenesis of fibrosis are discussed. Endometritis and endometrosis are interconnected, influencing each other. It is suggested that they represent epigenetic changes induced by age and hostile uterine environment. Full article
(This article belongs to the Collection Endometritis and Fibrosis: An Evolving Story)
Show Figures

Figure 1

13 pages, 2381 KB  
Article
Equine Endometrosis Pathological Features: Are They Dependent on NF-κB Signaling Pathway?
by Tomasz Jasiński, Łukasz Zdrojkowski, Ewa Kautz, Edyta Juszczuk-Kubiak, Graça Ferreira-Dias and Małgorzata Domino
Animals 2021, 11(11), 3151; https://doi.org/10.3390/ani11113151 - 4 Nov 2021
Cited by 11 | Viewed by 2514
Abstract
Endometrosis is an important mares’ disease which considerably decreases their fertility. As classic endometrial classification methods might be insufficient for tissue pathological evaluation, further categorization into active/inactive and destructive/non-destructive types was developed by Hoffmann and others. This study aimed to compare NF-κB pathway [...] Read more.
Endometrosis is an important mares’ disease which considerably decreases their fertility. As classic endometrial classification methods might be insufficient for tissue pathological evaluation, further categorization into active/inactive and destructive/non-destructive types was developed by Hoffmann and others. This study aimed to compare NF-κB pathway genes transcription among histopathological types of endometrosis, following Hoffmann and co-authors’ classification. Endometrial samples, collected postmortem from cyclic mares (n = 100) in estrus or diestrus, were classified histologically and used for gene transcription assessment. Gene transcription of NF-κB subunits (RelA, NF-κB1, NF-κB2), pro-inflammatory molecules (MCP-1, IL-6), and hyaluronan synthases (HAS 1, HAS 2, HAS 3) was compared among endometrosis types (active, non-active, destructive, non-destructive). Most individual mRNA samples showed high expression of RelA, NF-κB1, and MCP-1 gene transcripts and the destructive type of endometrosis, simultaneously. The expression of RelA and NF-κB1 genes was higher in active destructive group than in the other groups only in the follicular phase, as well as being higher in the inactive destructive group than in the others, only in the mid-luteal phase. The increase in gene transcription of the NF-κB canonical activation pathway in destructive endometrosis may suggest the highest changes in extracellular matrix deposition. Moreover, the estrous cycle phase might influence fibrosis pathogenesis. Full article
(This article belongs to the Section Animal Reproduction)
Show Figures

Figure 1

16 pages, 2267 KB  
Article
The Inhibitory Effect of Noscapine on the In Vitro Cathepsin G-Induced Collagen Expression in Equine Endometrium
by Ana Amaral, Carina Fernandes, Anna Szóstek-Mioduchowska, Karolina Lukasik, Maria Rosa Rebordão, Pedro Pinto-Bravo, Dariusz Jan Skarzynski and Graça Ferreira-Dias
Life 2021, 11(10), 1107; https://doi.org/10.3390/life11101107 - 19 Oct 2021
Cited by 6 | Viewed by 2767
Abstract
Cathepsin G (CAT) is a protease released by neutrophils when forming neutrophil extracellular traps that was already associated with inducing type I collagen (COL1) in equine endometrium in vitro. Endometrosis is a fibrotic condition mainly characterized by COL1 deposition in the equine endometrium. [...] Read more.
Cathepsin G (CAT) is a protease released by neutrophils when forming neutrophil extracellular traps that was already associated with inducing type I collagen (COL1) in equine endometrium in vitro. Endometrosis is a fibrotic condition mainly characterized by COL1 deposition in the equine endometrium. The objective was to evaluate if noscapine (an alkaloid for cough treatment with anti-neoplastic and anti-fibrotic properties) would reduce COL1A2 transcription (evaluated by qPCR) and COL1 protein relative abundance (evaluated by western blot) induced by CAT in equine endometrial explants from follicular and mid-luteal phases treated for 24 or 48 h. The explants treated with CAT increased COL1 expression. Noscapine decreased COL1A2 transcription at both estrous cycle phases, but COL1 relative protein only at the follicular phase, both induced by CAT. Additionally, the noscapine anti-fibrotic action was found to be more effective in the follicular phase. The CAT treatment caused more fibrosis at the longest period of treatment, while noscapine acted better at the shortest time of treatment. Our results showed that noscapine could act as an anti-fibrotic drug in equine endometrosis by inhibiting CAT in vitro. Noscapine offers a new promising therapeutic tool for treating fibrosis as a single non-selective agent to be considered in the future. Full article
(This article belongs to the Section Physiology and Pathology)
Show Figures

Figure 1

9 pages, 453 KB  
Article
Simple Tube Centrifugation Method for Platelet-Rich Plasma (PRP) Preparation in Catalonian Donkeys as a Treatment of Endometritis-Endometrosis
by Priscila Fantini, Román Jiménez, Karina Vilés, Antoni Iborra, Maristela Silveira Palhares, Jaime Catalán, Marta Prades and Jordi Miró
Animals 2021, 11(10), 2918; https://doi.org/10.3390/ani11102918 - 9 Oct 2021
Cited by 7 | Viewed by 3950
Abstract
The aim of this study was to standardize a simple, manual platelet-rich plasma (PRP) protocol in Catalonian donkeys using single-spin tube centrifugation as a treatment for jenny endometritis. The objective was to obtain a blood product with a moderate concentration of platelets (2 [...] Read more.
The aim of this study was to standardize a simple, manual platelet-rich plasma (PRP) protocol in Catalonian donkeys using single-spin tube centrifugation as a treatment for jenny endometritis. The objective was to obtain a blood product with a moderate concentration of platelets (2 or 3 times baseline physiologic values) and a low WBC (White Blood Cells) concentration. Blood was drawn from six Catalonian donkeys using acid citrate dextrose (ACD) as an anticoagulant, and then processed by single centrifugation at 133× g for two different centrifugation times (10 and 15 min). The PRP samples were evaluated by flow cytometry, and TGF-β1 (Transforming Growth Factor-Beta1) concentrations were determined by enzyme-linked immunosorbent assay (ELISA). The 10 min centrifugation protocol resulted in a slightly greater release of TGF-β1 (6044.79 ng/mL), a 2.06-fold increase in platelet concentration, and a 15-fold reduction in leukocyte concentration when compared to the initial values. The 15 min centrifugation time resulted in a 2.44-fold increase in baseline platelet concentration, a reduction in WBC count by a factor of 20, and slightly lower TGF levels (5206 ng/mL). We conclude that both protocols are adequate for the obtention of PRP, and both may have an acceptable therapeutic potential for use in this species, although this needs to be further validated. Full article
(This article belongs to the Section Animal Reproduction)
Show Figures

Figure 1

15 pages, 746 KB  
Article
Enzymes Present in Neutrophil Extracellular Traps May Stimulate the Fibrogenic PGF Pathway in the Mare Endometrium
by Maria Rosa Rebordão, Ana Amaral, Carina Fernandes, Elisabete Silva, Karolina Lukasik, Anna Szóstek-Mioduchowska, Pedro Pinto-Bravo, António Galvão, Dariusz J. Skarzynski and Graça Ferreira-Dias
Animals 2021, 11(9), 2615; https://doi.org/10.3390/ani11092615 - 6 Sep 2021
Cited by 15 | Viewed by 3411
Abstract
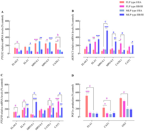
Endometrosis, a fibrotic disease of mare endometrium, impairs uterine function. Prostaglandins (PG), despite modulating reproductive physiological functions, may also cause local pathological collagen deposition (fibrogenesis). We have previously shown that neutrophil extracellular traps (NETs) may also favor mare endometrosis. The aim of this [...] Read more.
Endometrosis, a fibrotic disease of mare endometrium, impairs uterine function. Prostaglandins (PG), despite modulating reproductive physiological functions, may also cause local pathological collagen deposition (fibrogenesis). We have previously shown that neutrophil extracellular traps (NETs) may also favor mare endometrosis. The aim of this study was to investigate the effect of enzymes present in NETs on PGF-pathway activation. Kenney and Doig’s type I/IIA and IIB/III mare endometria, from follicular phase (FLP) and mid-luteal (MLP) phase, were cultured in vitro in the presence of NETs enzymes (elastase, cathepsin-G or myeloperoxidase). Production of PGF (EIA) and transcription (qPCR) of its synthases (PTGS2, AKR1C3) and receptor (PTGFR) genes were evaluated. PGF and PTGFR were influenced by endometrial category and estrous cycle phase. In FLP endometrium, NETs enzymes induced both high PGF production and/or PTGFR transcription. In MLP type I/IIA tissues, down-regulation of PTGFR transcripts occurred. However, in MLP type IIB/III endometrium, high levels of PTGFR transcripts were induced by NETs enzymes. As PGF2α-pathway activation facilitates fibrogenesis in other tissues, PGF2α may be involved in endometrosis pathogenesis. In the mare, the endocrine microenvironment of healthy and pathological endometrium might modulate the PGF pathway, as well as fibrosis outcome on endometrium challenged by NETs enzymes. Full article
(This article belongs to the Section Animal Reproduction)
Show Figures

Figure 1

18 pages, 2477 KB  
Article
Noscapine Acts as a Protease Inhibitor of In Vitro Elastase-Induced Collagen Deposition in Equine Endometrium
by Ana Amaral, Carina Fernandes, Anna Szóstek-Mioduchowska, Maria Rosa Rebordão, Dariusz Jan Skarzynski and Graça Ferreira-Dias
Int. J. Mol. Sci. 2021, 22(10), 5333; https://doi.org/10.3390/ijms22105333 - 19 May 2021
Cited by 6 | Viewed by 3357
Abstract
Endometrosis is a reproductive pathology that is responsible for mare infertility. Our recent studies have focused on the involvement of neutrophil extracellular traps enzymes, such as elastase (ELA), in the development of equine endometrosis. Noscapine (NOSC) is an alkaloid derived from poppy opium [...] Read more.
Endometrosis is a reproductive pathology that is responsible for mare infertility. Our recent studies have focused on the involvement of neutrophil extracellular traps enzymes, such as elastase (ELA), in the development of equine endometrosis. Noscapine (NOSC) is an alkaloid derived from poppy opium with anticough, antistroke, anticancer, and antifibrotic properties. The present work investigates the putative inhibitory in vitro effect of NOSC on collagen type I alpha 2 chain (COL1A2) mRNA and COL1 protein relative abundance induced by ELA in endometrial explants of mares in the follicular or mid-luteal phases at 24 or 48 h of treatment. The COL1A2 mRNA was evaluated by qPCR and COL1 protein relative abundance by Western blot. In equine endometrial explants, ELA increased COL 1 expression, while NOSC inhibited it at both estrous cycle phases and treatment times. These findings contribute to the future development of new endometrosis treatment approaches. Noscapine could be a drug capable of preventing collagen synthesis in mare’s endometrium and facilitate the therapeutic approach. Full article
Show Figures

Figure 1

Back to TopTop