Sign in to use this feature.

Years

Between: -

Subjects

remove_circle_outline
remove_circle_outline
remove_circle_outline
remove_circle_outline
remove_circle_outline
remove_circle_outline
remove_circle_outline

Journals

Article Types

Countries / Regions

Search Results (76)

Search Parameters:
Keywords = electrostatic stiffness

Order results
Result details
Results per page
Select all
Export citation of selected articles as:
18 pages, 2012 KB  
Article
Electromechanical Coupling and Piezoelectric Behaviour of (PDMS)–Graphene Elastomer Nanocomposites
by Murat Çelik, Miguel A. Lopez-Manchado and Raquel Verdejo
Polymers 2026, 18(5), 623; https://doi.org/10.3390/polym18050623 - 2 Mar 2026
Viewed by 336
Abstract
Elastomer-based nanocomposites combining polymer flexibility with conductive nanofillers provide lightweight, stretchable systems with tunable electromechanical properties for wearable electronics, soft robotics, and self-powered sensors. However, predicting their nonlinear response remains challenging because the observed piezoelectric-like response arises from strain-dependent interfacial polarization and evolving [...] Read more.
Elastomer-based nanocomposites combining polymer flexibility with conductive nanofillers provide lightweight, stretchable systems with tunable electromechanical properties for wearable electronics, soft robotics, and self-powered sensors. However, predicting their nonlinear response remains challenging because the observed piezoelectric-like response arises from strain-dependent interfacial polarization and evolving piezoresistive conduction pathways within heterogeneous microstructures. We introduce a continuum electro-hyperelastic framework combining the Mooney–Rivlin model for large-strain elasticity with a Helmholtz free-energy approach for electrostatic coupling. Analytical expressions for stress, electric displacement, and apparent piezoelectric coefficients are derived and implemented in finite element simulations. The model accurately reproduces the experimental mechanical, dielectric, and electromechanical behaviour of polydimethylsiloxane (PDMS) nanocomposites with 0.1–1 wt% graphene. These show increased stiffness, relative permittivity (from 3.4 to 4.0, ≈18%), and quasi-static d33 coefficients (from −5.6 to −10.0 pC N−1, ≈80% enhancement). Analytical and finite element method (FEM) results show consistent trends across the full deformation range, with Maxwell stress agreement within 10% at lower deformation levels, while deviations of 33–40% for coupled electromechanical quantities at an axial displacement uz = ~−1 mm (~16.7% compressive strain) are attributable to three-dimensional shear effects absent from the uniaxial analytical assumption. Simulations reveal that graphene boosts Maxwell stress, yielding a four-fold increase at lower stretch ratios. This reframes PDMS–graphene composites as electro-hyperelastic materials, offering a predictive, extensible framework. It highlights apparent piezoelectricity as an emergent, tunable effect from charge redistribution in a compliant hyperelastic matrix—guiding the design of next-generation flexible devices leveraging field-induced coupling over intrinsic polarization. Full article
(This article belongs to the Section Smart and Functional Polymers)
Show Figures

Graphical abstract

14 pages, 1870 KB  
Communication
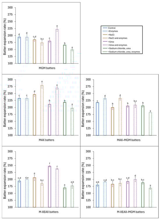
Effect of Non-Covalent Interactions on Arabinoxylan–Protein Cross-Linking and Gluten-Free Batter Stability
by Ulrich Sukop, Katharina Feist, Katharina Hoefler, Stefano D’Amico, Mario Jekle, Regine Schoenlechner, Konrad J. Domig, Philipp L. Fuhrmann and Denisse Bender
Foods 2026, 15(4), 768; https://doi.org/10.3390/foods15040768 - 20 Feb 2026
Viewed by 430
Abstract
Maize arabinoxylans (AX) and proteins (maize gluten meal, MGM) can partially replace gluten in gluten-free (GF) breads by forming polymer networks. This study investigated how non-covalent interactions (hydrophobic, electrostatic, or hydrogen (H) forces) influenced viscoelasticity, gas retention and enzymatic AX–protein cross-linking in simplified [...] Read more.
Maize arabinoxylans (AX) and proteins (maize gluten meal, MGM) can partially replace gluten in gluten-free (GF) breads by forming polymer networks. This study investigated how non-covalent interactions (hydrophobic, electrostatic, or hydrogen (H) forces) influenced viscoelasticity, gas retention and enzymatic AX–protein cross-linking in simplified GF model batters using two maize AX extracts (commercial MAX; xylanase-extracted M-XEAX). Batter stability strongly depended on AX structure and formulation type. MGM-only controls were mainly governed by hydrophobic and electrostatic forces, while AX-based batters relied primarily on H-bonds and electrostatic interactions. Combining MGM and AX increased batter stiffness, dominated by electrostatic and H-interactions. Enzymatic coupling reinforced the AX–protein network when both H and electrostatic forces were present, whereas hydrophobic interactions partly hindered these associations. Changes in viscoelasticity (G′) did not fully align with gas retention behaviour. In MGM-containing batters, gas retention was predominantly governed by H and electrostatic interactions. AX-based batters showed extract-dependent responses: electrostatic or H-interactions hindered gas stabilisation in M-XEAX, while their suppression supported gas-holding in enzyme-treated MAX batters. AX-MGM systems generally showed reduced gas expansion, indicating the contribution of multiple non-covalent interactions. Overall, batter stability strongly depended on AX structure, MGM addition, the balance of non-covalent interactions and the resulting network strength. Full article
(This article belongs to the Section Food Engineering and Technology)
Show Figures

Graphical abstract

12 pages, 2153 KB  
Article
High-Performance Polyimides with Enhanced Solubility and Thermal Stability for Biomimetic Structures in Extreme Environment
by Jichao Chen, Jiping Yang, Zhiyong Ma, Zhijian Wang and Yizhuo Gu
Biomimetics 2026, 11(1), 61; https://doi.org/10.3390/biomimetics11010061 - 12 Jan 2026
Viewed by 499
Abstract
Designing the high-performance polyimides (PIs) for the biomimetic structures, which are used in extreme conditions, remains greatly challenging, due to the conflict between processability and thermal stability. Here, we report a series of silicon–alkyne-functionalized diamine-based polyimides that exhibit remarkable processability and thermal stability. [...] Read more.
Designing the high-performance polyimides (PIs) for the biomimetic structures, which are used in extreme conditions, remains greatly challenging, due to the conflict between processability and thermal stability. Here, we report a series of silicon–alkyne-functionalized diamine-based polyimides that exhibit remarkable processability and thermal stability. The incorporation of bulky siloxy groups disrupts chain packing and increases free volume, enabling excellent solubility in polar solvents, while the rigid fluorene core enhances chain stiffness. DFT calculations confirm twisted molecular geometries (Si bond angle ≈ 103°, dihedral angle ≈ 89°) which weak π–π stacking, while heterogeneous electrostatic potentials enable favorable noncovalent interactions (e.g., C–F···H–C), promoting solvent diffusion. After thermal curing, the obtained product shows a high decomposition temperature (Td5% = 560 °C), char yield of 72.0% at 800 °C, and glass transition temperature (Tg) of 354.6 °C. Meanwhile, locally planar fluorene units retain inherent thermal stabilization benefits through constrained rotational mobility. These results demonstrate a spatially decoupled siloxy–alkyne design that synergistically enhances molecular flexibility, disorder, and electronic stability, offering a molecular strategy for tailoring PI-based matrices to meet the demands of emerging biomimetic architectures and other high-performance composites operating under severe thermal loads. Full article
(This article belongs to the Special Issue Design of Natural and Biomimetic Flexible Biological Structures)
Show Figures

Graphical abstract

21 pages, 20035 KB  
Article
Camellia Saponin-Enhanced Sodium Alginate Hydrogels for Sustainable Fruit Preservation
by Lisong Hu, Hongdan Rao, Borong Zhu, Menghao Du, Keqin Xu and Haili Gao
Gels 2025, 11(12), 1012; https://doi.org/10.3390/gels11121012 - 16 Dec 2025
Cited by 2 | Viewed by 669
Abstract
It is well known that food waste, especially perishable fruits, is one of the pressing issues worldwide, and as much as 50% of harvested fruits are wasted in developing countries as a result of poor preservation methods. Other traditional options such as plastic [...] Read more.
It is well known that food waste, especially perishable fruits, is one of the pressing issues worldwide, and as much as 50% of harvested fruits are wasted in developing countries as a result of poor preservation methods. Other traditional options such as plastic films or chemical preservatives are harmful to the environment and to our health. In this work, the limitations are overcome through the fabrication of an innovative camellia saponin/sodium alginate (CS/SA) composite hydrogel film that not only recycles agricultural waste but also improves fruit protection. CS/SA films were prepared by ionic crosslinking with CaCl2 with different CS content (0–10% w/v, corresponding to 0–3.1 wt% in air-dried films). Detailed SEM, FTIR, XRD and rheological studies indicated that CS addition led to a gradual microstructural densification, stronger intermolecular interactions (involving hydrogen bonding and electrostatic complexation) and superior viscoelasticity, with the best performance at 8% CS (2.5 wt% in dried film). Mechanical tests confirmed that the stable CS/SA film showed higher tensile strength (152 kPa) and compressive strength (353 kPa) than pure SA (10 kPa) with a relatively low Young’s modulus (0.82 MPa) and high elongation at break (116.33%), which could be easily peeled off from fruit surfaces—an essential benefit of this over stiff chitosan/alginate composites. Structure: The composite film exhibited lower porosity (103.2%), reduced moisture content (94.7%), a controlled swelling ratio (800%) and improved barrier property with a water vapor permeability of 1.3 × 106 g·m−1·s−1·kPa−1 and an oxygen permeability of 1.9 × cm3·μm·m−2·d−1·kPa−1. The 8% CS film showed very strong antioxidant activity (86% DPPH scavenging). Results of application tests on bananas and strawberries indicated that the ripening process was delayed by the CS/SA coatings, the decay rate was decreased from 99.9% (uncoated control) to 55.6% after 9 days, the weight loss was reduced to 29.3%, and the fruit’s firmness and titratable acidity were maintained. This degradable, multifunctional hydrogel film has the potential to be a sustainable measure to simultaneously mitigate food waste, valorize agricultural byproducts, and protect the environment, which could offer substantial benefit for enhancing global food security as well as fruit shelf life. Full article
(This article belongs to the Special Issue Gel-Related Materials: Challenges and Opportunities (2nd Edition))
Show Figures

Figure 1

17 pages, 3881 KB  
Article
Optimal Design of Anti-Collision Spacer Ring for Power Transmission Lines
by Tianlei Wang, Tianhui Cheng and Huize Lian
Appl. Sci. 2025, 15(23), 12496; https://doi.org/10.3390/app152312496 - 25 Nov 2025
Viewed by 320
Abstract
Electrical power transmission relies heavily on power transmission lines. The swinging of the lines during windy weather can cause conductor collision between adjacent lines, which can result in severe electrical accidents. To solve this problem, this paper proposes an anti-collision spacer ring and [...] Read more.
Electrical power transmission relies heavily on power transmission lines. The swinging of the lines during windy weather can cause conductor collision between adjacent lines, which can result in severe electrical accidents. To solve this problem, this paper proposes an anti-collision spacer ring and its structure optimization method. Topology optimization, as a structural optimization method, is used to design the spacer ring to achieve maximum stiffness and minimum mass. The model is redesigned based on the optimized results, and its performance is subsequently assessed through static analysis and electrostatic field analysis. The results before and after optimization show that the maximum equivalent stress on the spacer ring is reduced by 34.4% and the mass is decreased by 10.5%. It realizes the lightweight design of the spacer ring, and provides theoretical basis and technical support for the structural design of the spacer ring. Full article
Show Figures

Figure 1

34 pages, 8759 KB  
Article
Robust and Compact Electrostatic Comb Drive Arrays for High-Performance Monolithic Silicon Photonics
by Mohammadreza Fasihanifard and Muthukumaran Packirisamy
Micromachines 2025, 16(10), 1102; https://doi.org/10.3390/mi16101102 - 28 Sep 2025
Viewed by 3263
Abstract
Actuating monolithic photonic components (particularly slab waveguides) requires higher force due to their inherent stiffness. However, two primary constraints must be addressed: actuator footprint and fabrication limits. Increasing the number of fingers to provide the required force is not a viable solution due [...] Read more.
Actuating monolithic photonic components (particularly slab waveguides) requires higher force due to their inherent stiffness. However, two primary constraints must be addressed: actuator footprint and fabrication limits. Increasing the number of fingers to provide the required force is not a viable solution due to space constraints, and we must also adhere to the process design kits of standard fabrications and respect their design limits. Therefore, it is crucial to increase the actuator force output without significantly enlarging the actuator footprint while maintaining the necessary travel range. In order to achieve this, we utilize arrays of electrostatic comb drives, with each repeating cell geometry optimized to produce the highest force per actuator footprint. Our optimization strategy focuses on finger geometry, the arrangement of fingers and arms design in the comb structure, including the number of fingers per arm and arm length, ensuring that each repeating cell delivers maximum force per unit area or force intensity. Co-optimizing a repeatable, footprint-optimized comb-array unit cell (arm length, arm width, finger pitch, finger count) and validating it against an asymmetric slab waveguide load, we reach a maximum pre-pull-in force intensity of about 342 N m−2 at 70 V with about 6 µm travel, confirmed by analytical modeling, numerical simulation, and measurement. Despite fabrication challenges such as over-etching and variations in electrode dimensions, detailed SEM analyses and correction functions ensure that the theoretical models closely match the experimental data, confirming the robustness and accuracy of the design. These optimized actuators, capable of achieving substantial force output without sacrificing travel range or mechanical stability, are particularly effective for applications in optical beam steering for in-plane silicon-photonics and related optical microsystems applications. Full article
(This article belongs to the Special Issue Micro-Nano Photonics: From Design and Fabrication to Application)
Show Figures

Figure 1

20 pages, 4445 KB  
Article
Investigating the Interactions of Peptide Nucleic Acids with Multicomponent Peptide Hydrogels for the Advancement of Healthcare Technologies
by Sabrina Giordano, Monica Terracciano, Enrico Gallo, Carlo Diaferia, Andrea Patrizia Falanga, Antonella Accardo, Monica Franzese, Marco Salvatore, Gennaro Piccialli, Nicola Borbone and Giorgia Oliviero
Gels 2025, 11(5), 367; https://doi.org/10.3390/gels11050367 - 17 May 2025
Viewed by 1342
Abstract
This study reports the development of peptide-based hydrogels for the encapsulation and controlled release of peptide nucleic acids in drug delivery applications. Ultrashort aromatic peptides, such as Fmoc-FF, self-assemble into biocompatible hydrogels with nanostructured architectures. The functionalization of tripeptides (Fmoc-FFK and Fmoc-FFC) with [...] Read more.
This study reports the development of peptide-based hydrogels for the encapsulation and controlled release of peptide nucleic acids in drug delivery applications. Ultrashort aromatic peptides, such as Fmoc-FF, self-assemble into biocompatible hydrogels with nanostructured architectures. The functionalization of tripeptides (Fmoc-FFK and Fmoc-FFC) with lysine (K) or cysteine (C) enables electrostatic or covalent interactions with model PNAs engineered with glutamic acid or cysteine residues, respectively. Hydrogels were polymerized in situ in the presence of PNAs, and component ratios were systematically varied to optimize mechanical properties, loading efficiency, and release kinetics. The formulations obtained with a 1/10 ratio of Fmoc-FF(K or C)/Fmoc-FF provided an optimal balance between structural integrity and delivery performance. All hydrogel formulations demonstrated high stiffness (G′ > 19,000 Pa), excellent water retention, and minimal swelling under physiological conditions (ΔW < 4%). The release studies over 10 days showed that electrostatic loading enabled faster and higher release (up to 90%), while covalent bonding resulted in slower, sustained delivery (~15%). These findings highlight the tunability of the hydrogel system for diverse therapeutic applications. Full article
Show Figures

Figure 1

25 pages, 9498 KB  
Article
Simulation of Patch Field Effect in Space-Borne Gravitational Wave Detection Missions
by Mingchao She, Xiaodong Peng and Li-E Qiang
Sensors 2025, 25(10), 3107; https://doi.org/10.3390/s25103107 - 14 May 2025
Viewed by 853
Abstract
Space-borne gravitational wave detection missions demand ultra-precise inertial sensors with acceleration noise below 3×1015 m/s2/Hz. Patch field effects, arising from surface contaminants and nonuniform distribution of potential on the test mass [...] Read more.
Space-borne gravitational wave detection missions demand ultra-precise inertial sensors with acceleration noise below 3×1015 m/s2/Hz. Patch field effects, arising from surface contaminants and nonuniform distribution of potential on the test mass (TM) and housing surfaces, pose critical challenges to sensor performance. Existing studies predominantly focus on nonuniform potential distributions while neglecting bulge effects (surface deformation caused by the adhesion of pollutants or oxides, production and processing defects, and other factors) and rely on commercial software with limited flexibility for customized simulations. This paper presents a novel boundary element partitioning and octree-based simulation algorithm to address these limitations, enabling efficient simulation of both electrostatic and geometric impacts of patch fields with low spatiotemporal complexity (O(n)). Leveraging this framework, we systematically investigate the influence of single patches on the TM electrostatic force (ΔFx) and stiffness (ΔKxx) through parametric studies. Key findings reveal that ΔFx and ΔKxx exhibit linear dependence on patch potential variation (Δu) and can be fitted by a quartic polynomial (which can be simplified in some cases, such as only a cubic term) about patch radius (r). The proposed method’s capability to concurrently model geometric bulges and potential nonuniformity offers significant advantages over conventional approaches, providing critical insights for gravitational wave data analysis. These results establish a foundation for optimizing mitigation strategies against patch-induced noise in future space missions. Full article
(This article belongs to the Special Issue Advanced Inertial Sensors: Advances, Challenges and Applications)
Show Figures

Figure 1

15 pages, 3832 KB  
Article
Zinc Oxide Nanoparticle Loaded L-Carnosine Biofunctionalized Polyacrylonitrile Nanofibrous Wound Dressing for Post-Surgical Treatment of Melanoma
by Shahin Homaeigohar, Danial Kordbacheh, Sourav Banerjee, Jiacheng Gu, Yilong Zhang and Zhihong Huang
Polymers 2025, 17(2), 173; https://doi.org/10.3390/polym17020173 - 12 Jan 2025
Cited by 4 | Viewed by 2504
Abstract
Nanofibrous dressing materials with an antitumor function can potentially inhibit recurrence of melanoma following the surgical excision of skin tumors. In this study, hydrolyzed polyacrylonitrile (hPAN) nanofibers biofunctionalized with L-carnosine (CAR) and loaded with bio (CAR)-synthesized zinc oxide (ZnO) nanoparticles, ZnO/CAR-hPAN (hereafter called [...] Read more.
Nanofibrous dressing materials with an antitumor function can potentially inhibit recurrence of melanoma following the surgical excision of skin tumors. In this study, hydrolyzed polyacrylonitrile (hPAN) nanofibers biofunctionalized with L-carnosine (CAR) and loaded with bio (CAR)-synthesized zinc oxide (ZnO) nanoparticles, ZnO/CAR-hPAN (hereafter called ZCPAN), were employed to develop an antimelanoma wound dressing. Inspired by the formulation of the commercial wound healing Zn-CAR complex, i.e., polaprezinc (PLZ), for the first time, we benefitted from the synergy of zinc and CAR to create an antimelanoma nanofibrous wound dressing. According to scanning electron microscopy (SEM) images, ultrafine ZnO nanoparticles were homogenously distributed throughout the nanofibrous dressing. The ZCPAN nanofiber mat showed a significantly higher toughness (18.7 MJ.m−3 vs. 1.4 MJ.m−3) and an enhanced elongation at break (stretchability) compared to the neat PAN nanofiber mat (12% vs. 9.5%). Additionally, optical coherence elastography (OCE) measurements indicated that the ZCPAN nanofibrous dressing was as stiff as 50.57 ± 8.17 kPa which is notably larger than that of the PAN nanofibrous dressing, i.e., 24.49 ± 6.83 kPa. The optimum mechanical performance of the ZCPAN nanofibers originates from physicochemical interaction of CAR ligands, hPAN nanofibers, and ZnO nanoparticles through hydrogen bonding, electrostatic bonding, and esterification, as verified using ATR-FTIR. An in vitro cell viability assay using human skin melanoma cells implied that the cells are notably killed in the presence of the ZCPAN nanofibers compared to the PAN nanofibers. Thanks to ROS generating ZnO nanoparticles, this behavior originates from the high reactive oxygen species (ROS)-induced oxidative damage of melanoma cells, as verified through a CellROX assay. In this regard, an apoptotic cell response to the ZCPAN nanofibers was recorded through an apoptosis assay. Taken together, the ZCPAN nanofibers induce an antimelanoma effect through oxidative stress and thus are a high potential wound dressing material to suppress melanoma regrowth after surgical excision of skin tumors. Full article
(This article belongs to the Section Polymer Applications)
Show Figures

Figure 1

14 pages, 3327 KB  
Article
Tuning the Interfacial Deformation of Gliadin-Flaxseed Gum Complex Particles for Improving the Foam Stability
by Ping Wu, Wei Shang, Jiaqi Shao, Qianchun Deng, Jisong Zhou, Xia Xiang, Dengfeng Peng and Weiping Jin
Gels 2024, 10(11), 677; https://doi.org/10.3390/gels10110677 - 22 Oct 2024
Cited by 3 | Viewed by 1693
Abstract
Gliadin nanoparticle (GNP) is a promising foaming agent, but its application is hindered by the limited foam stability under low acidic conditions. Herein, we attempted to tune the foam stability of GNP by coating it with flaxseed gum (FG) and investigated the structure, [...] Read more.
Gliadin nanoparticle (GNP) is a promising foaming agent, but its application is hindered by the limited foam stability under low acidic conditions. Herein, we attempted to tune the foam stability of GNP by coating it with flaxseed gum (FG) and investigated the structure, interfacial behaviors, and foam functionality of gliadin-FG (GFG) particles at pH 4.5. Results showed that the formation of GFG complex particles was driven by an electrostatic interaction between positive charge patches on the surface of GNP (~17 mV) and negative charges in FG molecule (~−13 mV) at all tested ratios. The addition of appropriate amounts of FG (1:0.05) effectively improved the foam stability of GNP. This was because GFG with larger sizes and lower surface charge possessed higher rigidity after coating with FG. When they adsorbed at the air/water interface, their deformation process was slower than that of GNP, as indicated by interfacial dilatational rheology and cryo-SEM, and the covered particles seemed to be more closely distributed to form solid-like and dense interfacial films. Notably, the addition of FG at a higher ratio (1:0.3) promoted the foam stability of GNP by about five folds because the larger GFG with suitable flexibility and wettability could form a stiff interface layer with more significant elastic response, and the unabsorbed particles and FG could form a gel-like network structure in the continuous phase. These characteristics effectively prevented foam disproportionation and coalescence, as well as retard the drainage. Our findings demonstrate that coating GNPs with FG is an effective approach to improve their application in foamed foods. Full article
Show Figures

Figure 1

18 pages, 5782 KB  
Article
Quasi-Optical Four-Port Acoustic Filters Based on NEMS Coupled Beam Arrays
by Richard Syms
Micromachines 2024, 15(10), 1257; https://doi.org/10.3390/mi15101257 - 14 Oct 2024
Viewed by 1273
Abstract
Theoretical models are presented for quasi-optical four-port acoustic devices based on NEMS-coupled beam arrays. Analogies with coupled mode devices in microwaves, ultrasonics, optics, and electron wave optics are first reviewed, together with coupled beam filters. Power transfer between two mechanically coupled, electrostatically driven, [...] Read more.
Theoretical models are presented for quasi-optical four-port acoustic devices based on NEMS-coupled beam arrays. Analogies with coupled mode devices in microwaves, ultrasonics, optics, and electron wave optics are first reviewed, together with coupled beam filters. Power transfer between two mechanically coupled, electrostatically driven, coupled beam arrays is then demonstrated using a lumped element model, and the conditions for full power transfer are established. Four-port devices, including directional couplers and coupler filters with complementary transmission ports, are then demonstrated. Predictions are verified for realistic device layouts using the stiffness matrix method. Full article
(This article belongs to the Special Issue The 15th Anniversary of Micromachines)
Show Figures

Figure 1

12 pages, 2409 KB  
Article
Polyion Hydrogels of Polymeric and Nanofibrous Carboxymethyl Cellulose and Chitosan: Mechanical Characteristics and Potential Use in Environmental Remediation
by Taisei Kawate, Yehao Wang, Kayee Chan, Nobuyuki Shibata, Yuya Doi, Yuichi Masubuchi and Anatoly Zinchenko
Gels 2024, 10(9), 604; https://doi.org/10.3390/gels10090604 - 23 Sep 2024
Cited by 5 | Viewed by 2719
Abstract
Recently, cellulose and other biomass nanofibers (NFs) have been increasingly utilized in the design of sustainable materials for environmental, biomedical, and other applications. However, the past literature lacks a comparison of the macromolecular and nanofibrous states of biopolymers in various materials, and the [...] Read more.
Recently, cellulose and other biomass nanofibers (NFs) have been increasingly utilized in the design of sustainable materials for environmental, biomedical, and other applications. However, the past literature lacks a comparison of the macromolecular and nanofibrous states of biopolymers in various materials, and the advantages and limitations of using nanofibers (NF) instead of conventional polymers are poorly understood. To address this question, hydrogels based on interpolyelectrolyte complexes (IPECs) between carboxymethyl cellulose nanofibers (CMCNFs) and chitosan (CS) were prepared by ele+ctrostatic cross-linking and compared with the hydrogels of carboxymethyl cellulose (CMC) and CS biopolymers. The presence of the rigid CMCNF altered the mechanism of the IPEC assembly and drastically affected the structure of IPEC hydrogels. The swelling ratios of CMCNF-CS hydrogels of ca. 40% were notably lower than the ca. 100–300% swelling of CMC-CS hydrogels. The rheological measurements revealed a higher storage modulus (G) of the CMCNF-CS hydrogel, reaching 13.3 kPa compared to only 3.5 kPa measured for the CMC-CS hydrogel. Further comparison of the adsorption characteristics of the CMCNF-CS and CMC-CS hydrogels toward Cu2+, Cd2+, and Hg2+ ions showed the slightly higher adsorption capacity of CMC-CS for Cu2+ but similar adsorption capacities for Cd2+ and Hg2+. The adsorption kinetics obeyed the pseudo-second-order adsorption model in both cases. Overall, while the replacement of CMC with CMCNF in hydrogel does not significantly affect the performance of such systems as adsorbents, CMCNF imparts IPEC hydrogel with higher stiffness and a frequency-independent loss (G) modulus and suppresses the hydrogel swelling, so can be beneficial in practical applications that require stable performance under various dynamic conditions. Full article
(This article belongs to the Special Issue Functionalized Gels for Environmental Applications (2nd Edition))
Show Figures

Figure 1

24 pages, 4104 KB  
Article
Performance Correction and Parameters Identification Considering Non-Uniform Electric Field in Cantilevered Piezoelectric Energy Harvesters
by Xianfeng Wang, Hui Liu, Huadong Zheng, Guoxiong Liu and Dan Xu
Sensors 2024, 24(15), 4943; https://doi.org/10.3390/s24154943 - 30 Jul 2024
Cited by 2 | Viewed by 1790
Abstract
In the current electromechanical model of cantilevered piezoelectric energy harvesters, the assumption of uniform electric field strength within the piezoelectric layer is commonly made. This uniform electric field assumption seems reasonable since the piezoelectric layer looks like a parallel-plate capacitor. However, for a [...] Read more.
In the current electromechanical model of cantilevered piezoelectric energy harvesters, the assumption of uniform electric field strength within the piezoelectric layer is commonly made. This uniform electric field assumption seems reasonable since the piezoelectric layer looks like a parallel-plate capacitor. However, for a piezoelectric bender, the strain distribution along the thickness direction is not uniform, which means the internal electric field generated by the spontaneous polarization cannot be uniform. In the present study, a non-uniform electric field in the piezoelectric layer is resolved using electrostatic equilibrium equations. Based on these, the traditional distributed parameter electromechanical model is corrected and simplified to a practical single mode one. Compared with a traditional model adopting a uniform electric field, the bending stiffness term involved in the electromechanical governing equations is explicitly corrected. Through comparisons of predicted power output with two-dimensional finite element analysis, the results show that the present model can better predict the power output performance compared with the traditional model. It is found that the relative corrections to traditional model have nothing to do with the absolute dimensions of the harvesters, but only relate to three dimensionless parameters, i.e., the ratio of the elastic layer’s to the piezoelectric layer’s thickness; the ratio of the elastic modulus of the elastic layer to the piezoelectric layer; and the piezoelectric materials’ electromechanical coupling coefficient squared, k312. It is also found that the upper-limit relative corrections are only related to k312, i.e., the higher k312 is, the larger the upper-limit relative corrections will be. For a PZT-5 unimorph harvester, the relative corrections of bending stiffness and corresponding resonant frequency are up to 17.8% and 8.5%, respectively. An inverse problem to identify the material parameters based on experimentally obtained power output performance is also investigated. The results show that the accuracy of material parameters identification is improved when considering a non-uniform electric field. Full article
(This article belongs to the Special Issue Piezoelectric Energy Harvesting System)
Show Figures

Figure 1

22 pages, 6509 KB  
Article
Design, Fabrication, and Dynamic Analysis of a MEMS Ring Resonator Supported by Twin Circular Curve Beams
by Ahmad Rahbar Ranji, Gnanesh Nagesh, Fangyan Sun and Mohammed Jalal Ahamed
Sensors 2024, 24(14), 4499; https://doi.org/10.3390/s24144499 - 11 Jul 2024
Viewed by 2746
Abstract
In this paper, we present a compressive study on the design and development of a MEMS ring resonator and its dynamic behavior under electrostatic force when supported by twin circular curve beams. Finite element analysis (FEA)-based modeling techniques are used to simulate and [...] Read more.
In this paper, we present a compressive study on the design and development of a MEMS ring resonator and its dynamic behavior under electrostatic force when supported by twin circular curve beams. Finite element analysis (FEA)-based modeling techniques are used to simulate and refine the resonator geometry and transduction. In proper FEA or analytical modeling, the explicit description and accurate values of the effective mass and stiffness of the resonator structure are needed. Therefore, here we outlined an analytical model approach to calculate those values using the first principles of kinetic and potential energy analyses. The natural frequencies of the structure were then calculated using those parameters and compared with those that were simulated using the FEA tool ANSYS. Dynamic analysis was performed to calculate the pull-in voltage, shift of resonance frequency, and harmonic analyses of the ring to understand how the ring resonator is affected by the applied voltage. Additional analysis was performed for different orientations of silicon and assessing the frequency response and frequency shifts. The prototype was fabricated using the standard silicon-on-insulator (SOI)-based MEMS fabrication process and the experimental results for resonances showed good agreement with the developed model approach. The model approach presented in this paper can be used to provide valuable insights for the optimization of MEMS resonators for various operating conditions. Full article
(This article belongs to the Special Issue Chip-Based MEMS Platforms)
Show Figures

Figure 1

17 pages, 21253 KB  
Article
A Two-Axis Orthogonal Resonator for Variable Sensitivity Mode Localization Sensing
by Yuta Nagasaka, Alessia Baronchelli, Shuji Tanaka and Takashiro Tsukamoto
Sensors 2024, 24(13), 4038; https://doi.org/10.3390/s24134038 - 21 Jun 2024
Cited by 1 | Viewed by 1461
Abstract
This paper experimentally demonstrates a mode localization sensing approach using a single two-axis orthogonal resonator. The resonator consists of concentric multi-rings connected by elliptic springs that enable two orthogonal oscillation modes. By electrostatically tuning the anisotropic stiffness between the two axes, the effective [...] Read more.
This paper experimentally demonstrates a mode localization sensing approach using a single two-axis orthogonal resonator. The resonator consists of concentric multi-rings connected by elliptic springs that enable two orthogonal oscillation modes. By electrostatically tuning the anisotropic stiffness between the two axes, the effective coupling stiffness between the modes can be precisely controlled down to near-zero values. This allows the sensitivity of mode localization sensing to be tuned over a wide range. An order of magnitude enhancement in sensitivity is experimentally achieved by reducing the coupling stiffness towards zero. The resonator’s simple single-mass structure offers advantages over conventional coupled resonator designs for compact, tunable mode localization sensors. Both positive and negative values of coupling stiffness are demonstrated, enabling maximum sensitivity at the point where coupling crosses through zero. A method for decomposing overlapping resonance peaks is introduced to accurately measure the amplitude ratios of the localized modes even at high sensitivities. The electrostatic tuning approach provides a new option for realizing variable sensitivity mode localization devices using a simplified resonator geometry. Full article
(This article belongs to the Special Issue MEMS and NEMS Sensors: 2nd Edition)
Show Figures

Figure 1

Back to TopTop