A Highly Sensitive and High-Resolution Resonant MEMS Electrostatic Field Microsensor Based on Electrostatic Stiffness Perturbation
Abstract
1. Introduction
2. Structure Design and Work Principle
3. Theory
4. Simulation
4.1. Optimization of Transition Electrode
4.2. The Output Characteristics of the Electrostatic Field Sensor
4.3. The Sensitivity Characteristics of the Electrostatic Field Sensor
5. Fabrication
- (a)
- Cr/Au pads are fabricated by the lift-off process on the surface of the device layer of the SOI;
- (b)
- Deep reactive-ion etching (DRIE) is utilized to etch the device layer of the SOI to form the resonator, the driving electrode, the detection electrode, and the transition electrode;
- (c)
- The photoresist is utilized to protect the microstructure by spin coating;
- (d)
- DRIE is utilized to etch the handle layer of the SOI to form the vibration cavity;
- (e)
- Reactive-ion etching (RIE) is utilized to etch the oxide layer of the SOI to release the movable structure;
- (f)
- The protective photoresist is removed by fuming nitric acid and RIE with .
6. Calibration System
7. Experiment
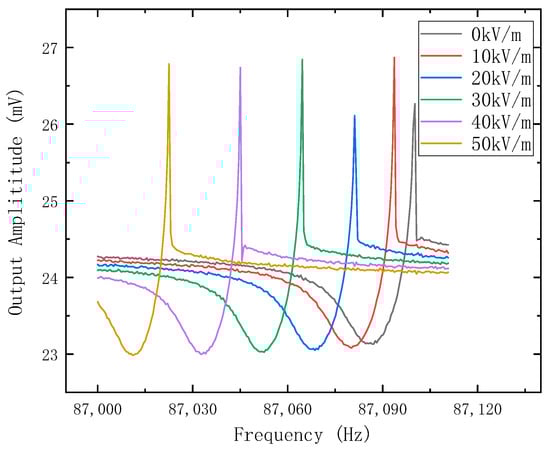
7.1. Amplitude–Frequency Characteristics
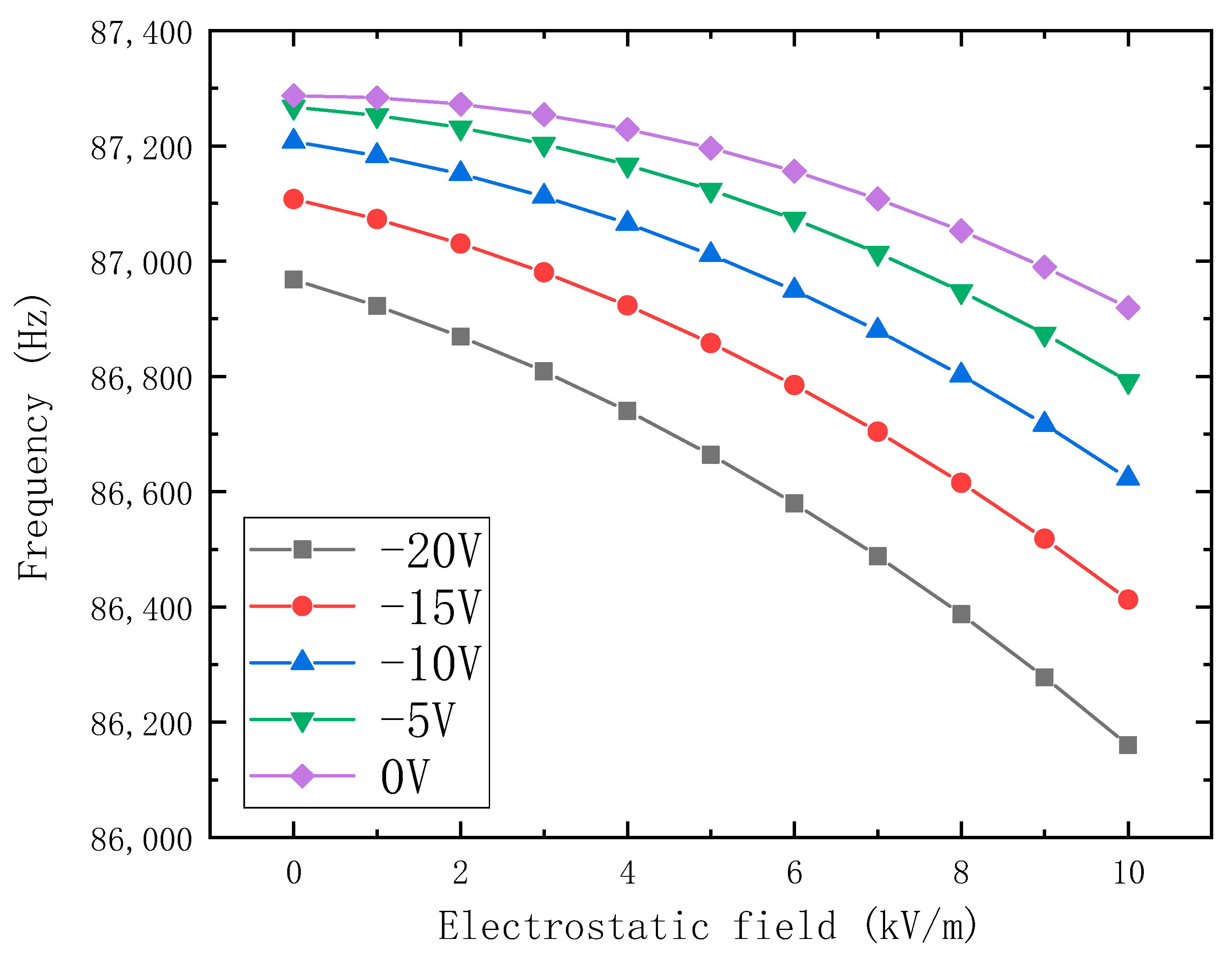
7.2. Sensitivity Characteristics
7.3. Resolution Characteristics
8. Conclusions
Author Contributions
Funding
Data Availability Statement
Conflicts of Interest
References
- Vaillancourt, G.H.; Carignan, S.; Jean, C. Experience with the detection of faulty composite insulators on high-voltage power lines by the electric field measurement method. IEEE Trans. Power Deliv. 1998, 13, 661–666. [Google Scholar] [CrossRef]
- Tant, P.; Bolsens, B.; Sels, T.; Van Dommelen, D.; Driesen, J.; Belmans, R. Design and application of a field mill as a high-voltage DC meter. IEEE Trans. Instrum. Meas. 2007, 56, 1459–1464. [Google Scholar] [CrossRef]
- Petrov, Y.; Sridhar, S. Electric field encephalography as a tool for functional brain research: A modeling study. PLoS ONE 2013, 8, e67692. [Google Scholar] [CrossRef] [PubMed]
- Montanya, J.; Bergas, J.; Hermoso, B. Electric field measurements at ground level as a basis for lightning hazard warning. J. Electrost. 2004, 60, 241–246. [Google Scholar] [CrossRef]
- Kirkham, H. On the measurement of stationary electric fields in air. In Proceedings of the Digest Conference on Precision Electromagnetic Measurements, Ottawa, ON, Canada, 16–21 June 2002; pp. 524–525. [Google Scholar]
- Barthod, C.; Passard, M.; Bouillot, J.; Galez, C.; Farzaneh, M. High electric field measurement and ice detection using a safe probe near power installations. Sens. Actuators A Phys. 2004, 113, 40–146. [Google Scholar] [CrossRef]
- Yang, P.; Peng, C.; Fang, D.; Wen, X.; Xia, S. Design, fabrication and application of an SOI-based resonant electric field microsensor with coplanar comb-shaped electrodes. J. Micromech. Microeng. 2013, 23, 055022. [Google Scholar] [CrossRef]
- Chu, Z.; Peng, C.; Ren, R.; Ling, B.; Zhang, Z.; Lei, H.; Xia, S. A high sensitivity electric field microsensor based on torsional resonance. Sensors 2018, 18, 286. [Google Scholar] [CrossRef] [PubMed]
- Lei, H.; Xia, S.; Chu, Z.; Ling, B.; Peng, C.; Zhang, Z.; Liu, J.; Zhang, W. An electric field microsensor with mutual shielding electrodes. Micromachines 2021, 12, 360. [Google Scholar] [CrossRef] [PubMed]
- Ghionea, S.; Smith, G.; Pulskamp, J.; Bedair, S.; Meyer, C.; Hull, D. MEMS electric-field sensor with lead zirconate titanate (PZT)-actuated electrodes. Sensors 2013, 1–4. [Google Scholar]
- Liu, J.; Xia, S.; Peng, C.; Wu, Z.; Chu, Z.; Zhang, Z.; Lei, H.; Zheng, F.; Zhang, W. Wafer-level vacuum-packaged electric field microsensor: Structure design, theoretical model, microfabrication, and characterization. Micromachines 2022, 13, 928. [Google Scholar] [CrossRef] [PubMed]
- Williams, K.R.; De Bruyker, D.P.H.; Limb, S.J.; Amendt, E.M.; Overland, D.A. Vacuum steered-electron electric-field sensor. J. Microelectromechanical Syst. 2013, 23, 157–167. [Google Scholar] [CrossRef]
- Kainz, A.; Steiner, H.; Schalko, J.; Jachimowicz, A.; Kohl, F.; Stifter, M.; Beigelbeck, R.; Keplinger, F.; Hortschitz, W. Distortion-free measurement of electric field strength with a MEMS sensor. Nat. Electron. 2018, 1, 68–73. [Google Scholar] [CrossRef]
- Huang, J.; Wu, X.; Wang, X.; Yan, X.; Lin, L. A novel high-sensitivity electrostatic biased electric field sensor. J. Micromech. Microeng. 2015, 25, 095008. [Google Scholar] [CrossRef]
- Bai, M.; Zhao, Y.; Jiao, B.; Zhai, X.; Geng, Y. A novel easy-driving and easy-signal-processing electrostatic field sensor based on a piezoresistance and polyethylene terephthalate lever. J. Micromech. Microeng. 2017, 27, 035002. [Google Scholar] [CrossRef]
- Han, D.; Wang, J.; Yuan, S.; Yang, T.; Chen, B.; Teng, G.; Luo, W.; Chen, Y.; Li, Y.; Wang, M.; et al. A MEMS pressure sensor based on double-ended tuning fork resonator with on-chip thermal compensation. In Proceedings of the 20th International Conference on Solid-State Sensors, Actuators and Microsystems & Eurosensors XXXIII (TRANSDUCERS & EUROSENSORS XXXIII), Berlin/Heidelberg, Germany, 23–27 June 2019; pp. 2061–2064. [Google Scholar]
- Krakover, N.; Ilic, R.; Krylov, S. Resonant pressure sensing using a micromechanical cantilever actuated by fringing electrostatic fields. In Proceedings of the 2018 IEEE Micro Electro Mechanical Systems (MEMS), Belfast, Ireland, 21–25 January 2018; pp. 846–849. [Google Scholar]
- Li, Y.; Cheng, C.; Lu, Y.; Xie, B.; Chen, J.; Wang, J.; Chen, D. A high-sensitivity resonant differential pressure microsensor based on bulk micromachining. IEEE Sens. J. 2021, 21, 8927–8934. [Google Scholar] [CrossRef]
- Li, Y.; Lu, Y.; Xie, B.; Chen, J.; Wang, J.; Chen, D. A micromachined resonant differential pressure sensor. IEEE Trans. Electron Devices 2020, 67, 640–645. [Google Scholar] [CrossRef]
- Wang, Y.; Song, X.; Li, F.; Gao, L.; Li, C.; Xi, J.; Liu, H.; Zhao, C.; Wang, C.; Tu, L.-C.; et al. A resonant lorentz-force magnetometer featuring slotted double-ended tuning fork capable of operating in a bias magnetic field. J. Microelectromechanical Syst. 2021, 30, 958–967. [Google Scholar] [CrossRef]
- Liu, C. Foundations of MEMS, 2nd ed.; China Machine Press: Beijing, China, 2012; pp. 384–385. [Google Scholar]
- Bertke, M.; Hamdana, G.; Wu, W.; Wasisto, H.S.; Uhde, E.; Peider, E. Analysis of asymmetric resonance response of thermally excited silicon micro-cantilevers for mass-sensitive nanoparticle detection. J. Micromech. Microeng. 2017, 27, 064001. [Google Scholar] [CrossRef]
- Liu, X.; Wang, Z.; Wu, Z.; Gao, Y.; Peng, S.; Ren, R.; Zheng, F.; Lv, Y.; Yang, P.; Wen, X.; et al. Enhanced sensitivity and stability of a novel resonant MEMS electric field sensor based on closed-loop feedback. IEEE Sens. J. 2021, 21, 22536–22543. [Google Scholar] [CrossRef]














| Structural Parameters | Value |
|---|---|
| Length of the resonator | 1000 |
| Width of the resonator | 10 |
| Thickness of the resonator | 20 |
| Mass of the resonator | |
| Area of the electrostatic field sensing plate | 4 |
| Transition electrode length of facing resonator | 180 |
| Gap | 5 |
| Charge transfer coefficient | 0.0001 |
| Driving voltage | |
| Quality factor | 30,000 |
Disclaimer/Publisher’s Note: The statements, opinions and data contained in all publications are solely those of the individual author(s) and contributor(s) and not of MDPI and/or the editor(s). MDPI and/or the editor(s) disclaim responsibility for any injury to people or property resulting from any ideas, methods, instructions or products referred to in the content. |
© 2023 by the authors. Licensee MDPI, Basel, Switzerland. This article is an open access article distributed under the terms and conditions of the Creative Commons Attribution (CC BY) license (https://creativecommons.org/licenses/by/4.0/).
Share and Cite
Liu, X.; Xia, S.; Peng, C.; Gao, Y.; Peng, S.; Zhang, Z.; Zhang, W.; Xing, X.; Liu, Y. A Highly Sensitive and High-Resolution Resonant MEMS Electrostatic Field Microsensor Based on Electrostatic Stiffness Perturbation. Micromachines 2023, 14, 1489. https://doi.org/10.3390/mi14081489
Liu X, Xia S, Peng C, Gao Y, Peng S, Zhang Z, Zhang W, Xing X, Liu Y. A Highly Sensitive and High-Resolution Resonant MEMS Electrostatic Field Microsensor Based on Electrostatic Stiffness Perturbation. Micromachines. 2023; 14(8):1489. https://doi.org/10.3390/mi14081489
Chicago/Turabian StyleLiu, Xiangming, Shanhong Xia, Chunrong Peng, Yahao Gao, Simin Peng, Zhouwei Zhang, Wei Zhang, Xuebin Xing, and Yufei Liu. 2023. "A Highly Sensitive and High-Resolution Resonant MEMS Electrostatic Field Microsensor Based on Electrostatic Stiffness Perturbation" Micromachines 14, no. 8: 1489. https://doi.org/10.3390/mi14081489
APA StyleLiu, X., Xia, S., Peng, C., Gao, Y., Peng, S., Zhang, Z., Zhang, W., Xing, X., & Liu, Y. (2023). A Highly Sensitive and High-Resolution Resonant MEMS Electrostatic Field Microsensor Based on Electrostatic Stiffness Perturbation. Micromachines, 14(8), 1489. https://doi.org/10.3390/mi14081489

