Sign in to use this feature.

Years

Between: -

Subjects

remove_circle_outline
remove_circle_outline
remove_circle_outline
remove_circle_outline
remove_circle_outline
remove_circle_outline
remove_circle_outline
remove_circle_outline
remove_circle_outline

Journals

Article Types

Countries / Regions

remove_circle_outline
remove_circle_outline
remove_circle_outline
remove_circle_outline
remove_circle_outline

Search Results (610)

Search Parameters:
Keywords = electrospun scaffolds

Order results
Result details
Results per page
Select all
Export citation of selected articles as:
26 pages, 20141 KB  
Article
Evaluation of the Biological Response to Coating 3D-Printed PLA Scaffolds with Coaxial Gelatin-Based Electrospun Fibers
by Cristian Enrique Torres-Salcido, Aída Gutiérrez-Alejandre, Jesús Ángel Arenas-Alatorre, Janeth Serrano-Bello, Vincenzo Guarino and Marco Antonio Alvarez-Perez
Biomimetics 2026, 11(5), 356; https://doi.org/10.3390/biomimetics11050356 - 20 May 2026
Abstract
Bone grafting remains limited, and the strategies to design even more structurally complex scaffolds—able to reproduce the hierarchical architecture of bone extracellular matrix—are rapidly growing. In this study, we report the fabrication of a hierarchically structured scaffold produced by layering poly(ε-caprolactone)/gelatin (PCL/Gt) or [...] Read more.
Bone grafting remains limited, and the strategies to design even more structurally complex scaffolds—able to reproduce the hierarchical architecture of bone extracellular matrix—are rapidly growing. In this study, we report the fabrication of a hierarchically structured scaffold produced by layering poly(ε-caprolactone)/gelatin (PCL/Gt) or poly(lactic acid)/gelatin (PLA/Gt) electrospun nanofibers via coaxial electrospinning onto 3D-printed poly(lactic acid) (PLA) scaffolds via fused deposition modeling (FDM). After the printing process, PLA disks (10 × 1 mm, 20% infill, ~80% porosity, pore size ~1.57 mm) were coated with core/shell (PCL/Gt, PLA/Gt) fibers to investigate the in vitro interfacial response of osteoblasts in comparison with monocomponent fibrous coatings (PCL, PLA, Gt). SEM and TEM confirmed that core/shell fibers exhibited bead-free morphologies, with a significant reduction in fiber diameter (≈287–316 nm) and higher interfibrillar porosity compared to monocomponent fibers. FTIR and thermogravimetric analyses indicated the presence of hydrogen bonding between the polyester and gelatin, and the absence of residual solvent after deposition. At the same time, water contact angle measurements confirmed an increase in hydrophilic properties from 80–86° to 120° ascribable to the presence of gelatin. Accordingly, in vitro response of human fetal osteoblasts (hFOB 1.19) exhibited an evident improvement in the case of Gt-based fibrous coatings (i.e., PCL/Gt and PLA/Gt) in terms of early adhesion (4–24 h) and metabolic activity from 3 to 21 days, cell spreading into star-shaped morphologies, formation of extracellular matrix, and mineral phase deposition. In more detail, a remarkable increase in alkaline phosphatase activity was observed in Gt-based coaxial coatings from day 7 onward, with the highest values recorded for PLA/Gt. Overall, we demonstrated that the Gt-based coaxial fibrous coating provided a mix of topological and biochemical cues that synergistically promoted key osteoblast activities at the interface, supporting the regeneration of new bone tissue in highly tailored 3D-printed scaffolds, thus suggesting a promising strategy for personalized regenerative medicine. Full article
(This article belongs to the Special Issue Advances in Biomaterials, Biocomposites and Biopolymers 2026)
Show Figures

Graphical abstract

13 pages, 1015 KB  
Communication
Translating Human Prototype Liver Implant Technology from Academia to Industry for Third-Party Transplant and In Vivo Validation
by Dagmara Szkolnicka, Lydia González del Barrio, Carlos D. Quintana Calderón, Justyna M. Kowal, Shruthi Sampath, Giles Dudley, Joakim Sørensen, Allan E. Karlsen and David C. Hay
Cells 2026, 15(10), 905; https://doi.org/10.3390/cells15100905 (registering DOI) - 15 May 2026
Viewed by 185
Abstract
Annually, there are more than two million deaths from liver disease. This is driven by organ inflammation and scarring, leading to a decline in function and regeneration. Frequently, this can develop into decompensated liver disease, resulting in the loss of physiological balance and [...] Read more.
Annually, there are more than two million deaths from liver disease. This is driven by organ inflammation and scarring, leading to a decline in function and regeneration. Frequently, this can develop into decompensated liver disease, resulting in the loss of physiological balance and toxin build-up within the body, with an increased risk of patient mortality. Currently, there are no approved medicines for the long-term treatment of liver cirrhosis. The only successful treatment option for end-stage liver disease patients is donor organ transplantation. However, patient requirement outstrips the number of donated organs. To address this bottleneck, researchers around the world have developed cell-based prototype systems to restore failing liver function, with some in clinical trials. Although significant progress has been made, no mainstream commercial liver assist products are available for routine clinical use. In this study we developed a stem cell-derived vascularized liver tissue implant prototype from pluripotent cells. The liver tissue was produced from a stem cell line that is banked at clinical grade, and displayed stable and mature liver function over a 6-week period in vitro. This included decreasing levels of the fetal marker, alpha-fetoprotein, when the serum albumin increased. This was further supported by stable alpha-1-antitrypsin secretion and cytochrome P450 function. Following the establishment of stable liver tissue, it was delivered as a cell product or attached to an electrospun polycaprolactone scaffold, to form a tissue implant. Next, cellular material was quality-controlled, and subsequently shipped to a contract research organization for external in vivo validation. The transplanted liver tissue functioned when implanted into the kidney capsule and subcutaneously, remaining functional for up to two weeks in vivo. Full article
(This article belongs to the Section Tissues and Organs)
Show Figures

Graphical abstract

24 pages, 3754 KB  
Review
Electrospun Nanofibers for Small Molecule Sustained Delivery Targeting Articular Cartilage Regeneration: A Review
by Frederico Barbosa, Filipe Miguel, Margarida F. Domingues and João Carlos Silva
Fibers 2026, 14(5), 56; https://doi.org/10.3390/fib14050056 - 11 May 2026
Viewed by 356
Abstract
The limited regenerative capacity of articular cartilage (AC) following injury has led to a high prevalence of degenerative AC-related disorders, including osteoarthritis (OA). Current clinical treatments for OA have failed to halt disease progression, driving growing interest in cartilage tissue engineering (CTE) strategies [...] Read more.
The limited regenerative capacity of articular cartilage (AC) following injury has led to a high prevalence of degenerative AC-related disorders, including osteoarthritis (OA). Current clinical treatments for OA have failed to halt disease progression, driving growing interest in cartilage tissue engineering (CTE) strategies aimed at developing biomimetic substitutes to regenerate damaged AC tissue. Among the available biofabrication techniques, electrospinning has gained attention due to its ability to generate fibrous scaffolds that closely mimic the architecture of the native AC extracellular matrix, while also serving as versatile drug delivery platforms with high surface area and elevated drug loading efficiency. Small molecules, low-molecular-weight therapeutic agents capable of interacting with both cell membrane and intracellular components, can be incorporated into these scaffold systems to target the underlying mechanisms of OA. This review examines the current state of the art of small molecule-loaded electrospun scaffolds for CTE applications. Small molecules targeting pain, inflammation, and cartilage function restoration show considerable therapeutic potential, and their incorporation into coaxial and other advanced electrospinning setups enables controlled and sustained drug release. Recent examples of small molecule-loaded electrospun scaffolds for AC repair demonstrate enhanced chondrogenic differentiation and neo-cartilage formation, supporting their potential as viable CTE strategies. Nevertheless, challenges related to drug release kinetics, scaffold load-bearing properties, manufacturing scalability, reproducibility, and regulatory approval remain critical barriers to clinical translation. Emerging fabrication strategies, AI-assisted optimization, personalized medicine approaches, and stimuli-responsive drug delivery systems offer promising avenues to overcome these limitations and advance the clinical adoption of these platforms. Full article
Show Figures

Figure 1

24 pages, 1387 KB  
Review
Localized Tacrolimus Delivery for Peripheral Nerve Regeneration: Molecular Mechanisms, Biomaterial Platforms, and Translational Strategies
by Ramkumar Katturajan, Sara N. Shah, Jordan Crabtree, Arif Hussain, Konstantin Feinberg, J. Paul Santerre and Gregory H. Borschel
Int. J. Mol. Sci. 2026, 27(10), 4179; https://doi.org/10.3390/ijms27104179 - 8 May 2026
Viewed by 305
Abstract
Peripheral nerve injuries cause profound medical and socioeconomic consequences. Despite substantial microsurgical advances, including nerve autografting, nerve transfers, and the commercial availability of effective conduits, functional recovery remains incomplete for most patients. Current outcomes underscore the need for novel adjunctive therapies capable of [...] Read more.
Peripheral nerve injuries cause profound medical and socioeconomic consequences. Despite substantial microsurgical advances, including nerve autografting, nerve transfers, and the commercial availability of effective conduits, functional recovery remains incomplete for most patients. Current outcomes underscore the need for novel adjunctive therapies capable of enhancing axonal regeneration, accelerating reinnervation, and mitigating denervation-induced target atrophy. Tacrolimus, a calcineurin inhibitor widely used in organ transplantation, has emerged as a potent immunomodulatory and neuroregenerative agent. However, its systemic use is constrained by severe dose-limiting toxicities and metabolic derangements. This limitation has driven a paradigm shift toward localized tacrolimus delivery, leveraging biomaterials to achieve therapeutic drug concentrations at the repair site while minimizing systemic toxicity. This review synthesizes the state-of-the-art advances in biomaterial-based tacrolimus local delivery systems. We highlight biological mechanisms underlying tacrolimus-mediated neuroregeneration and immunomodulation. Engineering strategies including nerve conduits, wraps, injectable hydrogels, electrospun scaffolds, and stimuli-responsive carriers are discussed, with attention to polymeric composition, fabrication technologies, degradation kinetics, and pharmacological performance. We also explored the regulatory, manufacturing, and scalability challenges inherent to drug–device combination products. Finally, we identify emerging directions including multimodal biomaterials that integrate tacrolimus with trophic factors, extracellular vesicles, or bioelectrical stimulation. Collectively, biomaterial-enabled tacrolimus delivery represents a transformative strategy to bridge traditional nerve surgical repair and functional recovery. This review provides a roadmap for future interdisciplinary innovation at the interface of biomaterials science, neurobiology, pharmacology, and surgery. Full article
(This article belongs to the Section Molecular Neurobiology)
Show Figures

Graphical abstract

26 pages, 6250 KB  
Article
Electrospun Fibers Encapsulating Triticum vulgare Extract as a Potential Scaffold for the Regeneration of Subepithelial Connective Tissue
by Leydy Tatiana Figueroa-Ariza, Willy Cely-Veloza, Miguelángel Coccaro, Diego Fernando Gualtero, Ronald Andrés Jiménez, Ericsson Coy-Barrera, Ana Delia Pinzón-García, Yamil Lesmes, Leandro Chambrone and Gloria Inés Lafaurie
Molecules 2026, 31(9), 1505; https://doi.org/10.3390/molecules31091505 - 1 May 2026
Viewed by 405
Abstract
Electrospun poly(ε-caprolactone) (PCL) membranes incorporating Triticum vulgare extract (TVE) were developed as biomimetic scaffolds for periodontal regeneration. Using a ternary solvent system, two experimental formulations (µF-P10 and µF-P10T1) were fabricated and compared against a commercial dermal matrix. SEM analysis revealed bimodal fiber distributions [...] Read more.
Electrospun poly(ε-caprolactone) (PCL) membranes incorporating Triticum vulgare extract (TVE) were developed as biomimetic scaffolds for periodontal regeneration. Using a ternary solvent system, two experimental formulations (µF-P10 and µF-P10T1) were fabricated and compared against a commercial dermal matrix. SEM analysis revealed bimodal fiber distributions (0.77–1.74 µm) and a surface porosity of 29.86% for TVE-loaded membranes, significantly higher than that of the commercial control (25.26%). FT-IR confirmed that the PCL chemical integrity was preserved, while mechanical testing showed that extract incorporation reinforced the matrix, increasing the Young’s modulus from 2.90 × 103 Pa to 3.54 × 103 Pa. UHPLC–MS identified ferulic acid as the primary bioactive component (90%), with release kinetics following a first-order model (R2 = 0.998) over 48 h. Biological assays with human gingival fibroblasts (HGF) confirmed non-cytotoxicity (>70% viability). While both membranes supported healing, the µF-P10 formulation showed superior performance, with 80.2% proliferation and 60.6% wound closure, approaching control levels. These findings demonstrate that PCL-TVE electrospun scaffolds effectively combine favorable morphology and controlled release, offering a promising alternative for subepithelial connective tissue regeneration. Full article
(This article belongs to the Special Issue 5th Anniversary of the "Applied Chemistry" Section)
Show Figures

Graphical abstract

44 pages, 3257 KB  
Review
A Comprehensive Review on Food-Grade Electrospinning of Natural Biopolymers for Cultivated Meat Applications
by Naiara Milagres Augusto da Silva and Luciano Paulino Silva
Foods 2026, 15(9), 1549; https://doi.org/10.3390/foods15091549 - 29 Apr 2026
Viewed by 588
Abstract
The production of cultivated meat relies on in vitro animal cell growth and requires the use of scaffolds that structurally resemble key features of the extracellular matrix (ECM), providing mechanical support and biochemical cues for cell adhesion, proliferation, and differentiation. Electrospinning has emerged [...] Read more.
The production of cultivated meat relies on in vitro animal cell growth and requires the use of scaffolds that structurally resemble key features of the extracellular matrix (ECM), providing mechanical support and biochemical cues for cell adhesion, proliferation, and differentiation. Electrospinning has emerged as a promising technique for manufacturing three-dimensional edible scaffolds because it is robust, versatile, and capable of producing nanofibers with a high surface area-to-volume ratio, tunable porosity, and ECM-like fibrous architectures. Natural biopolymers are promising candidates for the fabrication of electrospun scaffolds, combining biocompatibility, biodegradability, and processing compatibility with food-grade requirements. However, the absence of fully food-grade electrospinning systems, coupled with limited scalable green-processing strategies, remains a critical barrier to industrial translation. In this context, this review presents recent advances in the food-grade electrospinning of natural biopolymers focused on cultivated meat production. Furthermore, scientific gaps in the development of fully edible scaffolds are discussed, along with the need for alternatives to animal-derived materials and synthetic carrier polymers, considering sustainability, consumer acceptance, and the translation from laboratory-scale studies to industrial systems. Finally, this review outlines a strategic roadmap to accelerate the transition from proof-of-concept studies toward scalable, regulatory-compliant, and industrially viable electrospinning technologies for cultivated meat production. Full article
Show Figures

Figure 1

27 pages, 18982 KB  
Article
Composite Materials Based on Bioresorbable Polymers and Phosphate Phases for Bone Tissue Regeneration
by Oana Maria Caramidaru, Celina Maria Damian, Gianina Popescu-Pelin, Mihaela Bacalum, Roberta Moisa, Cornelia-Ioana Ilie, Sorin-Ion Jinga and Cristina Busuioc
J. Compos. Sci. 2026, 10(5), 223; https://doi.org/10.3390/jcs10050223 - 23 Apr 2026
Viewed by 688
Abstract
Bone tissue plays a vital role in the human body and possesses intrinsic self-repair mechanisms; however, large defects or pathological fractures may exceed its natural healing capacity. Bone tissue engineering provides promising strategies to restore bone integrity through the use of scaffolds, growth [...] Read more.
Bone tissue plays a vital role in the human body and possesses intrinsic self-repair mechanisms; however, large defects or pathological fractures may exceed its natural healing capacity. Bone tissue engineering provides promising strategies to restore bone integrity through the use of scaffolds, growth factors, and stem cells. While calcium phosphate (CaP)-based ceramics, such as hydroxyapatite (HAp) and tricalcium phosphate (TCP), represent the current benchmark, their limitations, including slow degradation (HAp) and limited osteoinductivity (TCP), have driven the development of alternative biomaterials. In this context, magnesium phosphate (MgP)-based materials have gained increasing attention due to their tunable resorption rate, improved biodegradability, and ability to stimulate osteogenesis and angiogenesis through the release of magnesium (Mg2+) ions. This study reports on composite scaffolds based on electrospun poly(ε-caprolactone) (PCL) fibres coated with MgP layers doped with lithium (Li) and zinc (Zn), designed to mimic the nanofibrous architecture of the extracellular matrix. Lithium and zinc were selected due to their known ability to modulate cellular response, with lithium promoting osteogenic activity and zinc contributing to improved cell proliferation and antibacterial potential. The phosphate phases obtained by coprecipitation were deposited onto the PCL fibres using Matrix-Assisted Pulsed Laser Evaporation (MAPLE), enabling controlled surface functionalization. Following thermal treatment, the formation of the crystalline magnesium pyrophosphate (Mg2P2O7) phase was confirmed by chemical and structural characterization. The combination of a slowly degrading PCL matrix, providing sustained structural support, and a bioactive MgP coating, enabling rapid and controlled ion release, results in improved scaffold performance in terms of biocompatibility, biodegradability, and bioactivity. While the slow degradation rate of PCL ensures mechanical stability over an extended period, the surface-deposited MgP phase allows immediate interaction with the biological environment, facilitating faster ion release and enhancing cell–material interactions. These findings highlight the potential of the developed composites as promising candidates for trabecular bone regeneration and as viable alternatives to conventional CaP-based scaffolds in regenerative medicine. Full article
(This article belongs to the Special Issue Biomedical Composite Applications)
Show Figures

Figure 1

26 pages, 12698 KB  
Article
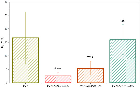
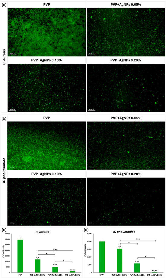
Binary/Ternary Composites with Applications in Tissue Engineering
by Luminita Nastas, Roxana Cristina Popescu, Sorin Ion Jinga and Cristina Busuioc
Macromol 2026, 6(2), 26; https://doi.org/10.3390/macromol6020026 - 20 Apr 2026
Viewed by 313
Abstract
This study focuses on the development and characterization of advanced composite materials based on poly(ε-caprolactone) (PCL) and poly(vinylidene fluoride) (PVDF), with or without silver nanoparticles (AgNPs), planned for peripheral nerve or bone regeneration. The complementary properties of PCL (biocompatibility and biodegradability) [...] Read more.
This study focuses on the development and characterization of advanced composite materials based on poly(ε-caprolactone) (PCL) and poly(vinylidene fluoride) (PVDF), with or without silver nanoparticles (AgNPs), planned for peripheral nerve or bone regeneration. The complementary properties of PCL (biocompatibility and biodegradability) and PVDF (mechanical stability and piezoelectric functionality) were exploited by blending the polymers in different ratios, resulting in binary (PCL/PVDF) and ternary (PCL/PVDF/AgNPs) composites. Green-synthesized AgNPs were integrated to enhance antimicrobial activity and to support tissue repair through improved signal transmission. Functional thin films and electrospun fibres were obtained and subjected to advanced characterization techniques, including scanning electron microscopy (SEM), energy-dispersive X-ray spectroscopy (EDX), Fourier transform infrared spectroscopy (FTIR), X-ray diffraction (XRD), and thermal analysis. The results demonstrated appropriate morphology, chemical composition, structural stability, and favourable interactions with simulated physiological media. Preliminary biocompatibility assays confirmed good cell viability, supporting the biomedical applicability of the designed scaffolds. Overall, the obtained results highlight the potential of AgNPs-functionalized PCL/PVDF binary and ternary composites as promising candidates for flexible, durable, and bioactive implants in peripheral nerve or bone regeneration. Full article
Show Figures

Graphical abstract

25 pages, 3439 KB  
Article
Electrospun Multilayer Scaffolds Based on Poly (L-Lactic Acid) and Poly (Acrylonitrile) Reinforced with CaO Nanoparticles for Enhanced Skin Regeneration and Wound Healing
by Eugenio Rivera, Lissette Montoille, Fabián Guajardo, Fabian Álvarez-Carrasco, Sebastián Romero, Mauricio Gómez-Barrena, Esmeralda Lopez, Carlos Loyo, Claudio García-Herrera, Paula A. Zapata, Diana Zárate-Triviño, Juan José Martinez and Daniel A. Canales
Polymers 2026, 18(8), 960; https://doi.org/10.3390/polym18080960 - 15 Apr 2026
Viewed by 567
Abstract
This study reports the development and characterization of hierarchical electrospun scaffolds based on poly (L-lactic acid) (PLA) and polyacrylonitrile (PAN) reinforced with calcium oxide (CaO) nanoparticles (18.5 ± 4.7 nm) for skin regeneration. Six configurations, including two five-layer multilayer systems (PLA/PAN/CaO and PAN/PLA/CaO), [...] Read more.
This study reports the development and characterization of hierarchical electrospun scaffolds based on poly (L-lactic acid) (PLA) and polyacrylonitrile (PAN) reinforced with calcium oxide (CaO) nanoparticles (18.5 ± 4.7 nm) for skin regeneration. Six configurations, including two five-layer multilayer systems (PLA/PAN/CaO and PAN/PLA/CaO), were evaluated to determine how composition and deposition sequence influence physicochemical, mechanical, and biological performance. FT-IR, XRD and DSC confirmed the successful integration of CaO, while thermal analysis evidenced an effect of chain mobility and interfacial interactions within multilayer systems. Cross-sectional SEM revealed the presence of both fibers with continuous interfaces. Nitrogen adsorption showed that CaO significantly increased the specific surface area (e.g., from 4.6 m2/g in neat PLA to 21.65 m2/g in PLA/CaO), with type IV isotherms indicating mesoporosity. Wettability assays demonstrated reduced contact angle in PLA (from 126.3° to 91.8°) and sequence-dependent surface properties in multilayers. Tensile testing confirmed that the multilayer architecture bridged the mechanical gap between compliant PLA and high-strength PAN, yielding intermediate moduli (~10–11 MPa) and balanced toughness. Antibacterial assays against S. aureus and E. coli showed that CaO significantly reduced bacterial viability, with PLA/PAN/CaO achieving the highest inhibition (up to 37.1%). In vitro HaCaT assays and in vivo implantation in BALB/c mice confirmed high cytocompatibility and biocompatibility. These findings demonstrate that multilayer electrospinning of PLA/PAN/CaO enables the design of structurally integrated, bioactive, and mechanically balanced scaffolds for advanced wound healing and dermal repair. Full article
(This article belongs to the Special Issue Polymeric Materials in Tissue Engineering)
Show Figures

Graphical abstract

30 pages, 11859 KB  
Article
Sequential Electrospinning of Asymmetric PDLLA/PVP-HA Scaffolds Functionalized with Glycine for Medical Devices
by Antonio Laezza, Francesca Armiento, Luigi Fabiano, Serena Munaò, Paola Campione, Matteo Carrozzino, Ileana Ielo, Katja Schenke-Layland, Giovanna De Luca, Grazia Maria Lucia Messina, Giovanna Calabrese, Antonietta Pepe and Brigida Bochicchio
Polysaccharides 2026, 7(2), 46; https://doi.org/10.3390/polysaccharides7020046 - 13 Apr 2026
Viewed by 493
Abstract
In this study we engineered bilayered electrospun scaffolds consisting of a hydrophobic PDLLA and hydrophilic PVP layer that incorporate either native HA or semi-synthetic HA-Gly-OH at concentrations of 1% and 3% w/w. Generally, bilayer scaffolds electrospun on different days delaminated, [...] Read more.
In this study we engineered bilayered electrospun scaffolds consisting of a hydrophobic PDLLA and hydrophilic PVP layer that incorporate either native HA or semi-synthetic HA-Gly-OH at concentrations of 1% and 3% w/w. Generally, bilayer scaffolds electrospun on different days delaminated, while herein they maintained their integrity because they were electrospun on the same day. Sequential electrospinning enabled the bilayer structure characterized via Scanning Electron Microscopy (SEM), Atomic Force Microscopy (AFM), and Young’s modulus measurements to assess morphology and mechanics. In vitro cytotoxicity and cell viability assays with fibroblast cells confirmed good biocompatibility for both the individual layers and the bilayer system. Among the tested formulations, the bilayer PDLLA/PVP–HA-Gly-OH 1% showed the most promising performance, attributed to the synergistic effects of HA and Gly-OH in promoting adhesion and proliferation. Full article
Show Figures

Figure 1

29 pages, 3363 KB  
Review
Biopolymer-Based Electrospun Nanofibers for Wound Healing, Regeneration, and Therapeutics
by Ashok Vaseashta, Sedef Salel and Nimet Bölgen
Materials 2026, 19(7), 1443; https://doi.org/10.3390/ma19071443 - 3 Apr 2026
Viewed by 641
Abstract
The management of complex acute and chronic wounds remains a formidable challenge in modern medicine, underscoring the urgent need for advanced therapeutic strategies that accelerate healing, prevent infection, and promote functional tissue regeneration. Electrospun nanofibers have attracted considerable attention in the biomedical field [...] Read more.
The management of complex acute and chronic wounds remains a formidable challenge in modern medicine, underscoring the urgent need for advanced therapeutic strategies that accelerate healing, prevent infection, and promote functional tissue regeneration. Electrospun nanofibers have attracted considerable attention in the biomedical field due to their extracellular matrix-like architecture, high surface area, interconnected porosity, and tunable physicochemical composition, which drive advances in wound regeneration, tissue engineering, and biopolymer-based therapeutics. In wound healing, nanofibrous dressings composed of natural polymers such as chitosan, gelatin, collagen, and cellulose promote cell attachment and proliferation, support angiogenesis, and enable infection control while delivering bioactive agents, thereby addressing significant challenges related to inflammation, biocompatibility, and antimicrobial resistance. In tissue engineering, aligned and hierarchically organized scaffolds fabricated from biopolymers such as collagen, gelatin, chitosan, and cellulose enhance the guided orientation of cells, differentiation, and functional regeneration of neural, musculoskeletal, vascular, and skin tissues. In addition to their conventional regenerative applications, recent studies have demonstrated that electrospun biopolymer nanofibers can be used in multifunctional biomedical platforms, including smart and stimuli-responsive systems for drug delivery, biosensing, regenerative interfaces, and wearable medical technologies. The integrated constructs that incorporate diagnostic or therapeutic functionalities, hybrid fabrication approaches that combine 3D printing with electrospinning, and intelligent biopolymer frameworks that enable telemedicine, real-time physiological monitoring, and personalized regenerative therapies offer new opportunities for developing improved biomedical systems. Overall, these advances position electrospun nanofiber systems as promising biomaterials for next-generation biomedical innovation. This review summarizes recent progress in tissue-engineered scaffolds, wound dressings, fabrication strategies for integrative therapeutics, and wearable devices with transformative potential for biomedical applications. Finally, the review addresses significant challenges related to scalability and clinical translation. It offers perspectives on future directions, including the integration of artificial intelligence and the regeneration of complex skin appendages, which will shape the next generation of nanofiber-based wound-healing therapies. Full article
(This article belongs to the Special Issue Novel Functional Materials for Electronics and Biomedicine)
Show Figures

Graphical abstract

26 pages, 8569 KB  
Article
Pneumatospinning and Electrospinning Scaffolds for Meniscus Regeneration Using Human Embryonic-Derived Mesenchymal Stem Cells
by Shawn P. Grogan, Erik W. Dorthé, Austin B. Williams, Nicholas E. Glembotski and Darryl D. D’Lima
Bioengineering 2026, 13(3), 314; https://doi.org/10.3390/bioengineering13030314 - 9 Mar 2026
Cited by 1 | Viewed by 788
Abstract
We evaluated human embryonic stem cell-derived mesenchymal stem cells (ES-MSCs) on collagen scaffolds for meniscus-like neotissue formation and ex vivo repair of human osteoarthritic (OA) meniscal defects. Collagen type I fibrous scaffolds were pneumatospun, and laminate scaffolds were fabricated from electrospun PLA/collagen; crosslinked; [...] Read more.
We evaluated human embryonic stem cell-derived mesenchymal stem cells (ES-MSCs) on collagen scaffolds for meniscus-like neotissue formation and ex vivo repair of human osteoarthritic (OA) meniscal defects. Collagen type I fibrous scaffolds were pneumatospun, and laminate scaffolds were fabricated from electrospun PLA/collagen; crosslinked; heparin conjugated; fibronectin coated; functionalized with TGFβ1, TGFβ3, or PDGFbb; seeded with ES-MSCs; and cultured for 4 weeks, followed by in vitro assessment or ex vivo implantation into 3.5 mm human meniscus defects for 5 weeks. Pneumatospinning generated highly porous scaffolds that supported uniform cell infiltration, while laminate scaffolds demonstrated interlocking fiber interfaces and enhanced mechanical properties. TGFβ1 and TGFβ3 immobilization enhanced scaffold bioactivity, defined as growth factor-mediated increases in meniscus-like matrix deposition, collagen fiber organization, and meniscogenic gene expression, by significantly increasing safranin O staining, collagen type II deposition, collagen fiber polarization, and ACAN expression. TGFβ3 additionally increased COL1A1 expression and pushout shear modulus; TGFβ1 increased peak pushout stress, indicating superior ex vivo mechanical integration. Laminate scaffolds resulted in extensive cell infiltration, robust neotissue formation (elastic modulus ~2.4 MPa), and improved ex vivo tissue integration when functionalized with TGFβ3. The data indicated that ES-MSC-seeded, heparin-conjugated, TGFβ-immobilized pneumatospun/electrospun collagen–PLA scaffolds support meniscogenic differentiation and biomechanical integration, with repair of focal meniscal defects and potential for partial meniscus replacement. Full article
(This article belongs to the Special Issue Novel Techniques in Meniscus Repair)
Show Figures

Graphical abstract

15 pages, 4699 KB  
Communication
Electrospun DegraPol® Meshes with Incorporated Bakuchiol: Characterization and Tissue Integration In Ovo—A Pilot Study
by Julia Rieber, Tiziano A. Schweizer, Gabor Kadler, Gabriella Meier Bürgisser, Pietro Giovanoli and Johanna Buschmann
Micro 2026, 6(1), 18; https://doi.org/10.3390/micro6010018 - 5 Mar 2026
Viewed by 415
Abstract
Background: Surgical tendon rupture repair suffers from scar formation, leading to tendons with inferior mechanics and consequently to re-ruptures, as well as from adhesion formation to the surrounding tissue, reducing the range of motion. In an approach of re-purposing the phytochemical Bakuchiol to [...] Read more.
Background: Surgical tendon rupture repair suffers from scar formation, leading to tendons with inferior mechanics and consequently to re-ruptures, as well as from adhesion formation to the surrounding tissue, reducing the range of motion. In an approach of re-purposing the phytochemical Bakuchiol to be incorporated in the polymer DegraPol® (DP), we fabricated a novel implant material by emulsion electrospinning. Methods: To characterize the emulsion electrospun novel materials, we used Scanning Electron Microscopy (SEM) to determine the fiber diameter and pore size. In addition, we used Fourier Transformed Infrared Spectroscopy (FTIR). Finally, we planted the materials onto the chorioallantoic membrane of the chicken embryo (CAM assay) to assess tissue integration and collagen expression. Results: While the pure DP meshes were very well integrated in the CAM assay and showed a significantly higher collagen deposition within the scaffold, the DP + Bakuchiol meshes exhibited poor tissue integration, showing rather the beginning of a fibrous encapsulation. Conclusions: The novel electrospun material DP + Bakuchiol could be used as an anti-adhesion barrier to prevent tendon adhesion. Full article
(This article belongs to the Section Microscale Biology and Medicines)
Show Figures

Figure 1

18 pages, 5203 KB  
Article
Improved Surface Properties and Enhanced Cell Adhesion on Poly-ε-Caprolactone for Heart Valve Tissue Engineering Applications via H2-N2 Plasma Treatment
by Georg Lutter, Julia Schütrumpf, Jette Anika Seiler, Laura Jesaitis, Viktor Schneider, Holger Kersten, Mario Hasler, Lukas Cyganek, Benjamin Book, Xiling Zhang, Stanislav N. Gorb, Stephanie Sellers, David Meier, Thomas Puehler, Nina Pommert, Derk Frank and Monireh Saeid Nia
Int. J. Mol. Sci. 2026, 27(4), 1957; https://doi.org/10.3390/ijms27041957 - 18 Feb 2026
Viewed by 644
Abstract
A tissue-engineered heart valve is a fully functional tissue facilitated through the cultivation of autologous cells on appropriate scaffolds. Scaffold’s surface charge and wettability are the main factors that significantly affect cell adhesion, which is known to be favourable on hydrophilic surfaces. Moreover, [...] Read more.
A tissue-engineered heart valve is a fully functional tissue facilitated through the cultivation of autologous cells on appropriate scaffolds. Scaffold’s surface charge and wettability are the main factors that significantly affect cell adhesion, which is known to be favourable on hydrophilic surfaces. Moreover, biocompatible scaffolds that induce minimal immunogenic response are also essential for successful tissue engineering (TE). However, commonly used biocompatible polymers with preferable bulk properties lack desirable surface properties. For example, poly-ε-caprolactone (PCL), which is widely used as a scaffold in TE, is known for its satisfying structural and mechanical properties, but due to its surface characteristics, cell attachment and, consequently, cell growth on this polymer are limited. In this study, we investigated the possible effect of H2-N2 plasma treatment on the surface wettability of electrospun PCL nanofibres to see the feasibility of improvement in cell adhesion and proliferation. Our results showed an increase in the hydrophilicity of the 650 nm PCL specimens after plasma treatment, which was followed by a significant enhancement in cell attachment without altering PCL mechanical properties. Plasma surface modification is a promising approach that can be used to improve hiMSCs growth without altering the desired bulk properties and fibre morphology of 650 nm PCL specimens. Full article
(This article belongs to the Special Issue Molecular Advancements in Functional Materials)
Show Figures

Figure 1

24 pages, 31522 KB  
Article
Fabrication and Detailed Characterization of PLA/PEG Composite Nanofibers for the Co-Delivery and Synergistic Release of Quercetin and Rosmarinic Acid via Electrospinning
by Nikoleta Stoyanova, Ani Georgieva, Reneta Toshkova and Mariya Spasova
Molecules 2026, 31(4), 704; https://doi.org/10.3390/molecules31040704 - 18 Feb 2026
Cited by 1 | Viewed by 759
Abstract
Natural polyphenols, particularly quercetin (QUE) and rosmarinic Acid (RA), possess significant synergistic therapeutic potential as potent antioxidants and anti-inflammatories. However, their poor stability, low water solubility, and resulting limited bioavailability severely hinder their effective clinical translation. This study addresses these fundamental limitations by [...] Read more.
Natural polyphenols, particularly quercetin (QUE) and rosmarinic Acid (RA), possess significant synergistic therapeutic potential as potent antioxidants and anti-inflammatories. However, their poor stability, low water solubility, and resulting limited bioavailability severely hinder their effective clinical translation. This study addresses these fundamental limitations by designing a novel advanced drug delivery platform utilizing electrospinning. We have fabricated composite high-molecular-weight poly(L-Lactic Acid) (PLA)/polyethylene glycol (PEG) nanofibers for the simultaneous co-delivery of both QUE and RA, optimizing compound stability and release kinetics. PLA provided mechanical integrity and sustained release properties, while the incorporation of PEG strategically enhanced the mat’s wettability, enabling precise control over initial drug dissolution. Comprehensive characterization confirmed uniform, bead-free morphology and high entrapment efficiency for both polyphenols. Crucially, the PLA/PEG blend successfully achieved a biphasic release profile, featuring an initial burst release mediated by PEG followed by a sustained release phase governed by the PLA matrix. Furthermore, the performed in vitro investigations using SH-4 melanoma cells and HaCaT normal keratinocytes revealed that the prepared novel materials containing the polyphenols possessed high anticancer activity to the used cancer cell line. However, the toxicity to the normal cell line is much lower. Therefore, this novel electrospun composite scaffold offers an effective strategy to enhance the stability, control the delivery, and maximize the synergistic therapeutic benefits of quercetin and rosmarinic Acid for applications in areas such as advanced wound care, tissue regeneration, and antitumor therapies. Full article
(This article belongs to the Special Issue Natural Products in Anticancer Activity: 2nd Edition)
Show Figures

Figure 1

Back to TopTop