Sign in to use this feature.

Years

Between: -

Subjects

remove_circle_outline
remove_circle_outline
remove_circle_outline
remove_circle_outline
remove_circle_outline

Journals

Article Types

Countries / Regions

Search Results (50)

Search Parameters:
Keywords = edaphic stress

Order results
Result details
Results per page
Select all
Export citation of selected articles as:
30 pages, 111040 KB  
Article
Resilience and Threshold-like Behavior of Moroccan Tetraclinis articulata (Vahl) Mast. Ecosystems Under Four Decades of Climate Warming
by Mourad Touaf, Fatima Zahra Echogdali, Mohamed Abioui, Abdelhafed El Asbahani, Laila Boukhalef, Aicha Nait Douch, Fatima Ain-Lhout and Said Boutaleb
Atmosphere 2026, 17(2), 161; https://doi.org/10.3390/atmos17020161 - 31 Jan 2026
Viewed by 50
Abstract
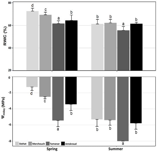
Climate warming and land degradation are reshaping Mediterranean and semi-arid ecosystems, yet their combined effects remain poorly quantified in North Africa. Using four Landsat reference epochs spanning 1984–2024, and four spectral/thermal indices (NDVI, EVI, NDMI, LST), we assessed vegetation dynamics and eco-climatic resilience [...] Read more.
Climate warming and land degradation are reshaping Mediterranean and semi-arid ecosystems, yet their combined effects remain poorly quantified in North Africa. Using four Landsat reference epochs spanning 1984–2024, and four spectral/thermal indices (NDVI, EVI, NDMI, LST), we assessed vegetation dynamics and eco-climatic resilience of Tetraclinis articulata ecosystems in Morocco. Four study sites (Stehat, Merchouch, Tamanar, and Amskroud) distributed along a latitudinal gradient from the northern to southern limits of the species’ Moroccan range were chosen and analyzed. Results reveal a generalized decline in vegetation cover, strongly coupled with increasing land surface temperatures, with threshold-like patterns emerging above 74–75 °C that lead to a rapid reduction in NDVI. The northern site (Stehat) exhibited partial recovery, likely supported by local schist aquifers, whereas the arid southern sites (Tamanar and Amskroud) experienced near-total biomass loss and reduced climate buffering. Moisture indices limited hydrological mediation and suggest that shallow soil water availability constrains T. articulata functioning, amplifying vulnerability under recurrent warming. These findings demonstrate how local edaphic and hydrological conditions modulate the impacts of global change and provide early warning indicators of heightened vulnerability and potential threshold-like behavior in drylands. The study emphasizes the urgent need for targeted management strategies to sustain ecosystem resilience under accelerating climate stress. Full article
(This article belongs to the Special Issue Observation of Climate Change and Cropland with Satellite Data)
Show Figures

Figure 1

19 pages, 1897 KB  
Article
Ecophysiological and Biochemical Adaptation of Thymus saturejoides to Contrasting Soil Conditions in the Western High Atlas Under Climate Change
by Mohamed El Hassan Bouchari, Abdelilah Meddich, Abderrahim Boutasknit, Redouane Ouhaddou, Boujemaa Fassih, Lahoucine Ech-Chatir, Mohamed Anli and Abdelmajid Haddioui
Soil Syst. 2026, 10(1), 13; https://doi.org/10.3390/soilsystems10010013 - 14 Jan 2026
Viewed by 141
Abstract
In the context of climate change, alterations to the physico-chemical properties of soils, particularly in Mediterranean regions, are a growing source of preoccupation. This study analyzes the ecological plasticity and biochemical adaptability of Thymus saturejoides to changes in soil physico-chemical properties in four [...] Read more.
In the context of climate change, alterations to the physico-chemical properties of soils, particularly in Mediterranean regions, are a growing source of preoccupation. This study analyzes the ecological plasticity and biochemical adaptability of Thymus saturejoides to changes in soil physico-chemical properties in four contrasting environments in Morocco’s western High Atlas (TM: Tidili msfioua, SF: Sti fadma, TA: Taouss, TN: Tisi ntast). It highlights the influence of edaphic characteristics on the physiology and metabolic composition of the species, revealing marked soil heterogeneity between sites. The results for the physico-chemical characteristics of the soil revealed marked heterogeneity between sites. Tisi ntast and Taouss soils had the highest values in terms of electrical conductivity (TN: 0.25 dS/m, TA: 0.18 dS/m), available phosphorus (TN: 18.58 ppm and TA: 26.06 ppm) and total nitrogen (TN: 0.27% and TA: 0.14%), associated with a silty texture, suggesting higher fertility. Conversely, the soil at the TM site was characterized by low total nitrogen content (0.09%), a high C/N ratio (24.4) and a sandy-silty texture, indicating more constraining conditions for plant growth. From a physiological standpoint, plants from the TA site had the lowest chlorophyll levels (17.10 mg g−1FW), while those from the TN site showed the highest levels (31.08 mg g−1FW), accompanied by increased protein content and reduced polyphenol oxidase and peroxidase. In contrast, TM plants showed significant accumulation of total soluble sugars (30 mg g−1FW), proline (22.53 µmol g−1FW), hydrogen peroxide (1.33 nmol g−1FW) and malondialdehyde (62.97 nmol g−1FW), reflecting strong activation of oxidative stress responses. On the other hand, plants from the TA site displayed significantly lower levels of these stress markers compared to other sites, suggesting greater physiological resilience. These results highlight the pivotal role of interactions between edaphic and environmental conditions in modulating plant physiological and biochemical responses, shedding light on the ecological adaptation mechanisms of plant species to the contrasting ecosystems of the Western High Atlas. Full article
Show Figures

Figure 1

20 pages, 11802 KB  
Article
Divergent Assembly of Bacteria and Fungi During Saline–Alkali Wetland Degradation
by Junnan Ding, Yingjian Wang and Shaopeng Yu
Biology 2026, 15(1), 61; https://doi.org/10.3390/biology15010061 - 29 Dec 2025
Viewed by 331
Abstract
To clarify microbial assembly during saline–alkali wetland degradation, we analyzed bacterial (16S rRNA) and fungal (ITS) communities across four habitats: pristine wetland (PW), transitional meadow wetland (TMW), halophytic herbaceous community (HHC), and converted farmland (CF). Soil water content collapsed from PW (42.22%) to [...] Read more.
To clarify microbial assembly during saline–alkali wetland degradation, we analyzed bacterial (16S rRNA) and fungal (ITS) communities across four habitats: pristine wetland (PW), transitional meadow wetland (TMW), halophytic herbaceous community (HHC), and converted farmland (CF). Soil water content collapsed from PW (42.22%) to ≤18.40% elsewhere, and soils were alkaline with pH highest in HHC (10.08). Nutrient pools and enzyme activities were highest in PW (SOC 35.03 g kg−1; URE 142.58 mg g−1; SUC 527.83 mg g−1) but declined sharply under natural degradation, reaching minima in HHC (SOC 8.02 g kg−1). ACP and CAT were also lowest in HHC. Bacterial communities were dominated by Actinomycetota and Pseudomonadota, with Acidobacteriota and Bacillota enriched in CF. Bacterial diversity peaked in CF, whereas fungal richness was highest in CF and Shannon diversity peaked in TMW. Ordination and redundancy analyses indicated stronger edaphic control on bacteria than fungi, with pH, SOC, and moisture as key drivers. Null-model analyses showed bacterial assembly shifted toward deterministic selection under saline–alkali stress and agricultural conversion, whereas fungal assembly remained predominantly stochastic. Co-occurrence networks further suggested higher bacterial vulnerability under extreme degradation but comparatively higher fungal robustness. Overall, bacteria and fungi follow divergent assembly rules during saline–alkali wetland degradation. Full article
(This article belongs to the Special Issue Wetland Ecosystems (2nd Edition))
Show Figures

Figure 1

25 pages, 1960 KB  
Article
Dual-Isotope (δ2H, δ18O) and Bioelement (δ13C, δ15N) Fingerprints Reveal Atmospheric and Edaphic Drought Controls in Sauvignon Blanc (Orlești, Romania)
by Marius Gheorghe Miricioiu, Oana Romina Botoran, Diana Costinel, Ionuț Făurescu and Roxana Elena Ionete
Plants 2025, 14(24), 3816; https://doi.org/10.3390/plants14243816 - 15 Dec 2025
Viewed by 312
Abstract
Grapevine water relations are increasingly influenced by drought under climate change, with significant implications for yield, fruit composition and wine quality. Stable isotopes of hydrogen, oxygen, carbon and nitrogen (δ2H, δ18O, δ13C and δ15N) provide [...] Read more.
Grapevine water relations are increasingly influenced by drought under climate change, with significant implications for yield, fruit composition and wine quality. Stable isotopes of hydrogen, oxygen, carbon and nitrogen (δ2H, δ18O, δ13C and δ15N) provide sensitive tracers of plant water sources and physiological responses to stress. Here, we combined dual water isotopes (δ2H, δ18O), carbon and nitrogen isotopes (δ13C, δ15N), and high-resolution micrometeorological/soil observations to diagnose drought dynamics in Vitis vinifera cv. Sauvignon blanc (Orlești, Romania; 2023–2024). Dual-isotope relationships delineated progressive evaporative enrichment along the soil–plant–atmosphere continuum, with slopes LMWL ≈ 6.41 > stem ≈ 5.0 > leaf ≈ 2.2, consistent with kinetic fractionation during transpiration (leaf) superimposed on source-water signals (stem). Weekly leaf δ18O covaried strongly with relative humidity (RH; r = −0.69) and evapotranspiration (ET; r = +0.56), confirming atmospheric control of short-term enrichment, while stem isotopes showed buffered responses to soil water. We integrated Δ18O (leaf–stem), RH, ET, and soil matric potential at 60 cm (Soil60) into an Isotopic Drought Index (IDI), which captured the onset, intensity, and persistence of the July–August 2024 drought (IDI0–100 > 90; RH < 60%, ET > 40 mm wk−1, Soil60 > 100 cb). Carbon and nitrogen isotopes provided complementary, integrative diagnostics: δ13C increased (less negative) with drought (r = −0.52 with RH; +0.49 with IDI), reflecting higher intrinsic water-use efficiency, whereas δ15N rose with soil dryness and IDI (leaf: r ≈ +0.48 with Soil60; +0.42 with IDI), indicating constraints on N acquisition and enhanced internal remobilization. Together, multi-isotope and environmental data yield a mechanistic, field-validated framework linking atmospheric demand and edaphic limitation to vine physiological and biogeochemical responses and demonstrate the operational value of an isotope-informed drought index for precision viticulture. Full article
(This article belongs to the Section Plant Physiology and Metabolism)
Show Figures

Figure 1

34 pages, 1639 KB  
Review
From Microbial Functions to Measurable Indicators: A Framework for Predicting Grassland Productivity and Stability
by Yishu Yang, Xing Zhang, Xiaoxuan Du, Yuchuan Fan and Jie Gao
Agronomy 2025, 15(12), 2765; https://doi.org/10.3390/agronomy15122765 - 29 Nov 2025
Cited by 1 | Viewed by 978
Abstract
Grassland ecosystems play a key role in global carbon and nutrient cycling, yet their productivity is increasingly affected by changing climate, land use, and nutrient inputs. Recent studies have identified plant–microbe interactions as a crucial biological mechanism regulating these changes. However, comprehensive research [...] Read more.
Grassland ecosystems play a key role in global carbon and nutrient cycling, yet their productivity is increasingly affected by changing climate, land use, and nutrient inputs. Recent studies have identified plant–microbe interactions as a crucial biological mechanism regulating these changes. However, comprehensive research across different biomes remains insufficient. This review focuses on the functional characteristics and physiological processes of microorganisms to explore how they influence grassland productivity and stability in the context of global change, and proposes quantifiable indicators to improve model predictions. By integrating evidence from alpine, temperate, and arid grasslands, we summarize how microbial carbon use efficiency(CUE), nutrient cycling enzyme activity, and symbiotic capabilities affect plant nutrient acquisition, carbon allocation, and stress resistance. Meta-analytical data indicate that microbial processes can explain a substantial proportion of productivity variation beyond climatic and edaphic factors. We further outline methodological progress in linking molecular mechanisms with ecosystem dynamics through multi-omics, stable isotope tracing, and structural equation modeling. This synthesis highlights that incorporating microbial mechanisms into grassland productivity frameworks enhances predictive accuracy and provides an empirical basis for sustainable management. Across global grasslands, microbial processes account for roughly 40–50% of the explained variance in productivity beyond abiotic drivers, underscoring their predictive value in ecosystem models. Thes study underscores the broader significance of recognizing soil microbes as active drivers of ecosystem function, offering a biological foundation for carbon sequestration and grassland restoration strategies under global environmental change. Full article
(This article belongs to the Special Issue Advances in Soil Management and Ecological Restoration)
Show Figures

Figure 1

13 pages, 4156 KB  
Article
Plant Functional Traits and Soil Nutrients Drive Divergent Symbiotic Fungal Strategies in Three Urban Street Tree Species
by Yifan Xue, Yao Wang, Jiang Shi, Jingyao Wei, Qiong Wang and Wenchen Song
J. Fungi 2025, 11(6), 454; https://doi.org/10.3390/jof11060454 - 14 Jun 2025
Cited by 1 | Viewed by 1111
Abstract
Understanding species-specific mechanisms governing symbiotic fungal responses to plant traits and soil factors is critical for optimizing urban tree “plant-soil-fungus” systems under pollution stress. To address this gap, we combined δ13C/δ15N isotope analysis and ITS sequencing for three common [...] Read more.
Understanding species-specific mechanisms governing symbiotic fungal responses to plant traits and soil factors is critical for optimizing urban tree “plant-soil-fungus” systems under pollution stress. To address this gap, we combined δ13C/δ15N isotope analysis and ITS sequencing for three common street trees in Beijing: Sophora japonica, Ginkgo biloba, and Populus tomentosa. In S. japonica, symbiotic fungal abundance was positively associated with leaf δ15N, indicating root exudate-mediated “plant-microbe” interactions during atmospheric NOx assimilation. G. biloba, with weak NOx assimilation, exhibited a negative correlation between fungal abundance and soil available N/P, suggesting mycorrhizal nutrient compensation under low fertility. P. tomentosa showed decreased fungal abundance with increasing soil N/P ratios and specific leaf area, reflecting carbon allocation trade-offs that limit mycorrhizal investment. These results demonstrate that symbiotic fungi respond to atmospheric and edaphic drivers in a tree species-dependent manner. Urban greening strategies should prioritize S. japonica for its NOx mitigation potential and optimize fertilization for G. biloba (nutrient-sensitive fungi) and P. tomentosa (nutrient balance sensitivity). Strategic mixed planting of P. tomentosa with S. japonica could synergistically enhance ecosystem services through complementary resource acquisition patterns. This study provides mechanism-based strategies for optimizing urban tree management under atmospheric pollution stress. Full article
Show Figures

Figure 1

30 pages, 2124 KB  
Review
A Review of Supporting Evidence, Limitations and Challenges of Using Cover Crops in Agricultural Systems
by Paul Cottney, Lisa Black, Ethel White and Paul N. Williams
Agriculture 2025, 15(11), 1194; https://doi.org/10.3390/agriculture15111194 - 30 May 2025
Cited by 4 | Viewed by 3980
Abstract
Cover crops are becoming widely integrated into many farms as tools for improving sustainability. However, the decisions by growers for planting follow several objectives/criteria, many of which overlap. This review orders these sowing rationales into a practical framework for land management guidance. Prioritised [...] Read more.
Cover crops are becoming widely integrated into many farms as tools for improving sustainability. However, the decisions by growers for planting follow several objectives/criteria, many of which overlap. This review orders these sowing rationales into a practical framework for land management guidance. Prioritised by cover crop performance objectives, the optimal species and their environmental requirements are discussed. A key consideration of this review is that cover crops are used as part of a rotation strategy. Here, farmers’ primary objectives are to maintain or enhance biomass not of the cover plants themselves but for the following commercial crop. For example, a large cover crop biomass may be beneficial for reducing field-nutrient losses but are counterproductive if nutrient immobilisation or offtake then results in subsequent nutrition stresses and yield declines. Furthermore, species selection and management practices must be integrated if these negative impacts are to be mitigated. This review has found a strong research focus on cover crop nitrogen dynamics but limited research on nutrient recycling more broadly. Moreover, there is growing evidence that regionality plays a critical role in cover crop and land management partnering due to variations in edaphic and climatic influences, but there is a shortfall in research to inform strategies for many important agricultural centres such as Northern Ireland. Full article
(This article belongs to the Special Issue Benefits and Challenges of Cover Crops in Agricultural Systems)
Show Figures

Figure 1

15 pages, 2135 KB  
Article
Investigating Endemic Alpine Communities of Papaver corona-sancti-stephani and Cerastium lerchenfeldianum in the Southern Carpathians
by Claudia Biță-Nicolae, Daniela Mogîldea and Oliviu G. Pop
Diversity 2025, 17(4), 283; https://doi.org/10.3390/d17040283 - 17 Apr 2025
Viewed by 1095
Abstract
The high-elevation calcareous screes of the Southern Carpathians are ecologically important habitats characterised by extreme environmental conditions. These habitats support specialised plant communities, including endemic and relict species, shaped by climatic, edaphic and biogeographic factors. This study examines three scree vegetation communities in [...] Read more.
The high-elevation calcareous screes of the Southern Carpathians are ecologically important habitats characterised by extreme environmental conditions. These habitats support specialised plant communities, including endemic and relict species, shaped by climatic, edaphic and biogeographic factors. This study examines three scree vegetation communities in the Bucegi, Piatra Craiului and Făgăraș massifs to assess species composition, ecological strategies and environmental influences. Phytosociological surveys were carried out using the Braun-Blanquet method, diversity indices (species richness, Simpson indices and species evenness) and multivariate analyses, including ANOSIM (ANalysis Of SIMilarities), SIMPER (Similarity Percentage method) and PCA (Principal Component Analysis), and were applied to evaluate species–environment relationships. A total of 62 vascular plant species were recorded, with Caryophyllaceae and Asteraceae as the dominant families. Differences in lifeform composition and species distribution between the massifs were related to variations in soil moisture, nutrient availability and climatic conditions. The results highlight the role of calcareous substrates in supporting alpine endemism and underline the influence of abiotic stress on community structure. Conservation efforts should prioritise these fragile ecosystems, especially as climate change and human activities increase pressure on high-elevation habitats. The study contributes to a broader understanding of the Carpathian alpine flora and its biogeographic connections with other European mountain systems, and it highlights the need for targeted conservation strategies to preserve biodiversity in these vulnerable environments. Full article
(This article belongs to the Special Issue Landscape Biodiversity)
Show Figures

Figure 1

18 pages, 2403 KB  
Article
Effects of Acetylsalicylic Acid and Biosolids on Edaphic, Vegetative and Biochemical Parameters of Amelichloa caudata Under Water Shortage Conditions
by Julio Molina, Fernando Silva-Romano, Irina M. Morar, Monica Boscaiu, Claudia Santibáñez and Josep V. Llinares
Agronomy 2025, 15(4), 785; https://doi.org/10.3390/agronomy15040785 - 23 Mar 2025
Viewed by 1219
Abstract
Water scarcity has affected much of Chile for the past 15 years, and Amelichloa caudata, a native species adapted to arid conditions, may offer a solution. The hypothesis of this study is that both acetylsalicylic acid (ASA) and biosolids (BSs) can positively [...] Read more.
Water scarcity has affected much of Chile for the past 15 years, and Amelichloa caudata, a native species adapted to arid conditions, may offer a solution. The hypothesis of this study is that both acetylsalicylic acid (ASA) and biosolids (BSs) can positively influence plant growth under water stress. This study assessed the effects of ASA and BSs on edaphic, physiological, biochemical, and productive parameters of A. caudata under water scarcity conditions. Results showed that both treatments enhanced biomass production, plant height, leaf number, and canopy weight. ASA improved water retention, mitigating water stress effects and leading to biomass levels comparable to controls. In contrast, BSs did not show significant benefits and had the lowest biomass values under all conditions. The highest root dry weight was observed in water-restricted plants, while ASA-treated plants had lower malondialdehyde (MDA) levels, indicating reduced oxidative stress. However, BS treatment increased MDA levels, suggesting more severe oxidative damage. Despite improvements in water retention, high salt concentrations in BSs may limit their effectiveness and further research is required to optimize application rates. Full article
(This article belongs to the Section Plant-Crop Biology and Biochemistry)
Show Figures

Figure 1

23 pages, 2825 KB  
Article
First Report of Drought-Tolerant Halobacteria Associated with Agave potatorum Zucc
by Jessie Hernández-Canseco, Angélica Bautista-Cruz, Gabriel Rincón-Enríquez, Edgar García-Sánchez and Teodulfo Aquino-Bolaños
Agronomy 2025, 15(3), 573; https://doi.org/10.3390/agronomy15030573 - 26 Feb 2025
Cited by 1 | Viewed by 1823
Abstract
The rhizosphere microbiota of arid plants plays a crucial role in adaptation to environmental stress. However, few studies have characterized microorganisms associated with Agave species and their contribution to resilience against salinity and drought. This study aimed to isolate and characterize halotolerant bacteria [...] Read more.
The rhizosphere microbiota of arid plants plays a crucial role in adaptation to environmental stress. However, few studies have characterized microorganisms associated with Agave species and their contribution to resilience against salinity and drought. This study aimed to isolate and characterize halotolerant bacteria from the rhizosphere of Agave potatorum Zucc from two different sites and evaluate their in vitro Na+ sequestration, desiccation resistance, and phytohormone production. These traits were compared with those of halotolerant bacteria isolated from a highly saline soil at a third site. Bacteria were obtained through serial dilutions and cultured on R2A plates supplemented with varying NaCl concentrations. The most efficient Na+-sequestering isolates underwent an 18-day desiccation assay, and their production of indole-3-acetic acid (IAA) and gibberellic acid (GA3) was quantified. Among the 48 halotolerant isolates obtained, 7 (SM1, SM10, SPM5, SM7, SM19, VZ9, and SPM1) exhibited the highest Na+ sequestration efficiency. Among these isolates, SM1 exhibited the highest in vitro Na+ sequestration capacity (10.74 μg L−1, p < 0.05). SM1 and SPM1 demonstrated the greatest desiccation resistance, at 88.39% and 83.05%, respectively. Additionally, SM7 produced the highest levels of IAA (13.69 μg mL−1, p < 0.05), while SM1 exhibited the highest GA3 production (1285.38 μg mL−1, p < 0.05). Based on these characteristics, isolates SPM1 and SM1 exhibited the highest efficiency in tolerating drought and salinity stress. However, isolate SPM1 may colonize the rhizosphere of A. potatorum more effectively, likely due to its adaptation as a native isolate to the edaphic and environmental conditions in which this agave thrives. Molecular identification confirmed that the isolates belong to the genera Kosakonia, Priestia, Streptomyces, Bacillus, Stutzerimonas, Pseudomonas, and Exiguobacterium. This study highlights the diversity of halotolerant bacteria in the rhizosphere of A. potatorum and their potential as bioinoculants for enhancing soil fertility and restoring degraded soils. Full article
Show Figures

Figure 1

15 pages, 1959 KB  
Article
Sarcocornia fruticosa, a Potential Candidate for Saline Agriculture: Antioxidant Levels in Relation to Environmental Conditions in the Eastern Iberian Peninsula
by Neus Ortega Albero, Sara Vallejo Sardon, Ioan Lupuţ, Monica Boscaiu, Maria P. Donat-Torres, Ana Fita and Sara González-Orenga
Agriculture 2024, 14(9), 1657; https://doi.org/10.3390/agriculture14091657 - 22 Sep 2024
Cited by 2 | Viewed by 2338
Abstract
Sustainable crop production requires an innovative approach due to increasing soil salinisation and decreasing freshwater availability. One promising strategy is the domestication of naturally salt-tolerant plant species with commercial potential. Sarcocornia fruticosa is a highly salt-tolerant halophyte, common in Mediterranean marshes, which may [...] Read more.
Sustainable crop production requires an innovative approach due to increasing soil salinisation and decreasing freshwater availability. One promising strategy is the domestication of naturally salt-tolerant plant species with commercial potential. Sarcocornia fruticosa is a highly salt-tolerant halophyte, common in Mediterranean marshes, which may hold promise for biosaline agriculture. This study included 11 populations of this species spread over the territory of the Valencian Community in eastern Spain. Climatic data for each locality were obtained from the nearest meteorological stations. Soil analyses included texture, pH, electroconductivity, organic carbon and organic matter. Biochemical analyses on wild-sampled plant material focused on antioxidant compounds, such as carotenoids, phenolics, flavonoids and proline with malondialdehyde (MDA) used as a marker of oxidative stress. All variables (climatic, edaphic and biochemical) were evaluated together using Principal Component Analysis and Spearman correlation. The results obtained indicated some climatic differences in terms of mean annual precipitation, with a clear N-S gradient and considerable edaphic variability. However, none of the environmental conditions showed a clear correlation with plant biochemical characteristics. Significant differences in the levels of phenolic compounds, flavonoids and MDA between populations were probably due to genetic factors and cannot be explained as a response to environmental conditions. Full article
(This article belongs to the Section Ecosystem, Environment and Climate Change in Agriculture)
Show Figures

Figure 1

20 pages, 3860 KB  
Article
Commonalities and Specificities in Wheat (Triticum aestivum L.) Responses to Aluminum Toxicity and Low Phosphorus Revealed by Transcriptomics and Targeted Metabolomics
by Daozhen Luo, Qing Li, Fei Pang, Wenjie Zhang, Yangrui Li, Yongxiu Xing and Dengfeng Dong
Int. J. Mol. Sci. 2024, 25(17), 9273; https://doi.org/10.3390/ijms25179273 - 27 Aug 2024
Cited by 2 | Viewed by 1899
Abstract
Aluminum (Al) toxicity and low phosphorus availability (LP) are the top two co-existing edaphic constraints limiting agriculture productivity in acid soils. Plants have evolved versatile mechanisms to cope with the two stresses alone or simultaneously. However, the specific and common molecular mechanisms, especially [...] Read more.
Aluminum (Al) toxicity and low phosphorus availability (LP) are the top two co-existing edaphic constraints limiting agriculture productivity in acid soils. Plants have evolved versatile mechanisms to cope with the two stresses alone or simultaneously. However, the specific and common molecular mechanisms, especially those involving flavonoids and carbohydrate metabolism, remain unclear. Laboratory studies were conducted on two wheat genotypes—Fielder (Al-tolerant and P-efficient) and Ardito (Al-sensitive and P-inefficient)—exposed to 50 μM Al and 2 μM Pi (LP) in hydroponic solutions. After 4 days of stress, wheat roots were analyzed using transcriptomics and targeted metabolomics techniques. In Fielder, a total of 2296 differentially expressed genes (DEGs) were identified under Al stress, with 1535 upregulated and 761 downregulated, and 3029 DEGs were identified under LP stress, with 1591 upregulated and 1438 downregulated. Similarly, 4404 DEGs were identified in Ardito under Al stress, with 3191 upregulated and 1213 downregulated, and 1430 DEGs were identified under LP stress, with 1176 upregulated and 254 downregulated. GO annotation analysis results showed that 4079 DEGs were annotated to the metabolic processes term. These DEGs were significantly enriched in the phenylpropanoid, flavonoid, flavone and flavonol biosynthesis, and carbohydrate metabolism pathways by performing the KEGG enrichment analysis. The targeted metabolome analysis detected 19 flavonoids and 15 carbohydrate components in Fielder and Ardito under Al and LP stresses. In Fielder, more responsive genes and metabolites were involved in flavonoid metabolism under LP than Al stress, whereas the opposite trend was observed in Ardito. In the carbohydrate metabolism pathway, the gene and metabolite expression levels were higher in Fielder than in Ardito. The combined transcriptome and metabolome analysis revealed differences in flavonoid- and carbohydrate-related genes and metabolites between Fielder and Ardito under Al and LP stresses, which may contribute to Fielder’s higher resistance to Al and LP. The results of this study lay a foundation for pyramiding genes and breeding multi-resistant varieties. Full article
(This article belongs to the Special Issue Advance in Plant Abiotic Stress)
Show Figures

Figure 1

21 pages, 5907 KB  
Article
A Comparative Analysis of Bacterial and Fungal Communities in Coastal and Inland Pecan Plantations
by Shijie Zhang, Ting Chen, Yu Chen, Shucheng Li, Wu Wang, Yuqiang Zhao and Cancan Zhu
Microorganisms 2024, 12(7), 1313; https://doi.org/10.3390/microorganisms12071313 - 27 Jun 2024
Cited by 4 | Viewed by 1834
Abstract
Pecan forests (Carya illinoinensis) are significant contributors to both food and oil production, and thrive in diverse soil environments, including coastal regions. However, the interplay between soil microbes and pecan forest health in coastal environments remains understudied. Therefore, we investigated soil [...] Read more.
Pecan forests (Carya illinoinensis) are significant contributors to both food and oil production, and thrive in diverse soil environments, including coastal regions. However, the interplay between soil microbes and pecan forest health in coastal environments remains understudied. Therefore, we investigated soil bacterial and fungal diversity in coastal (Dafeng, DF) and inland (Guomei, GM) pecan plantations using high-throughput sequencing. The results revealed a higher microbial diversity in the DF plantation than in the GM plantation, significantly influenced by pH and edaphic factors. The dominant bacterial phyla were Proteobacteria, Acidobacteriota and Bacteroidota in the DF plantation, and Acidobacteriota, Proteobacteria, and Verrucomicrobiota in the GM plantation. Bacillus, Nitrospira and UTCFX1 were significantly more abundant bacterial genera in DF soil, whereas Candidatus Udaeobacter, HSB_OF53-F07 and ADurbBin063-1 were more prevalent in GM soil. Basidiomycota dominated fungal sequences in the GM plantation, with a higher relative abundance of Ascomycota in the DF plantation. Significant differences in fungal genus composition were observed between plantations, with Scleroderma, Hebeloma, and Naucoria being more abundant in DF soil, and Clavulina, Russula, and Inocybe in GM soil. A functional analysis revealed greater carbohydrate metabolism potential in GM plantation bacteria and a higher ectomycorrhizal fungi abundance in DF soil. Significantly positive correlations were detected between certain bacterial and fungal genera and pH and total soluble salt content, suggesting their role in pecan adaptation to coastal environments and saline–alkali stress mitigation. These findings enhance our understanding of soil microbiomes in coastal pecan plantations, and are anticipated to foster ecologically sustainable agroforestry practices and contribute to coastal marshland ecosystem management. Full article
Show Figures

Figure 1

14 pages, 2668 KB  
Article
Green Roof Substrate Microbes Compose a Core Community of Stress-Tolerant Taxa
by Thomas Van Dijck, Vincent Stevens, Laure Steenaerts, Sofie Thijs, Carmen Van Mechelen, Tom Artois and François Rineau
Microorganisms 2024, 12(7), 1261; https://doi.org/10.3390/microorganisms12071261 - 21 Jun 2024
Cited by 2 | Viewed by 2195
Abstract
Extensive green roofs provide for many ecosystem services in urban environments. The efficacy of these services is influenced by the vegetation structure. Despite their key role in plant performance and productivity, but also their contribution to nitrogen fixation or carbon sequestration, green roof [...] Read more.
Extensive green roofs provide for many ecosystem services in urban environments. The efficacy of these services is influenced by the vegetation structure. Despite their key role in plant performance and productivity, but also their contribution to nitrogen fixation or carbon sequestration, green roof microbial communities have received little attention so far. No study included a spatiotemporal aspect to investigate the core microbiota residing in the substrates of extensive green roofs, although these key taxa are hypothesized to be amongst the most ecologically important taxa. Here, we identified the core microbiota residing in extensive green roof substrates and investigated whether microbial community composition is affected by the vegetation that is planted on extensive green roofs. Eleven green roofs from three different cities in Flanders (Belgium), planted either with a mixture of grasses, wildflowers and succulents (Sedum spp.; Sedum–herbs–grasses roofs) or solely species of Sedum (Sedum–moss roofs), were seasonally sampled to investigate prokaryotic and fungal communities via metabarcoding. Identifying the key microbial taxa revealed that most taxa are dominant phylotypes in soils worldwide. Many bacterial core taxa are capable of nitrogen fixation, and most fungal key taxa are stress-tolerant saprotrophs, endophytes, or both. Considering that soil microbes adapted to the local edaphic conditions have been found to improve plant fitness, further investigation of the core microbiome is warranted to determine the extent to which these stress-tolerant microbes are beneficial for the vegetational layer. Although Sedum–herbs–grasses roofs contained more plant species than Sedum–moss roofs, we observed no discriminant microbial communities between both roof types, likely due to sharing the same substrate textures and the vegetational layers that became more similar throughout time. Future studies are recommended to comprehensively characterize the vegetational layer and composition to examine the primary drivers of microbial community assembly processes. Full article
(This article belongs to the Special Issue The Urban Microbiome)
Show Figures

Figure 1

17 pages, 1610 KB  
Article
Salt Stress Highlights the Relevance of Genotype × Genotype Interaction in the Nitrogen-Fixing Symbiosis between Sinorhizobium meliloti and Alfalfa
by Agnese Bellabarba, Francesca Decorosi, Camilla Fagorzi, Amina El Hadj Mimoune, Arianna Buccioni, Margherita Santoni, Gaio Cesare Pacini, Abdelkader Bekki, Khalid Azim, Majida Hafidi, Marco Mazzoncini, Alessio Mengoni, Francesco Pini and Carlo Viti
Soil Syst. 2023, 7(4), 112; https://doi.org/10.3390/soilsystems7040112 - 18 Dec 2023
Cited by 7 | Viewed by 3210
Abstract
Sustainable-forage production is globally increasing, especially in marginal areas where the edaphic conditions for plant growth are not optimal. Soil salinization influences the symbiotic interaction between alfalfa and rhizobia. The efficiency of different symbiotic pairs (Sinorhizobium meliloti—Medicago sativa) was evaluated in [...] Read more.
Sustainable-forage production is globally increasing, especially in marginal areas where the edaphic conditions for plant growth are not optimal. Soil salinization influences the symbiotic interaction between alfalfa and rhizobia. The efficiency of different symbiotic pairs (Sinorhizobium meliloti—Medicago sativa) was evaluated in relation to NaCl application (100 mM) on two different alfalfa cultivars (Marina and Etrusca) and 21 S. meliloti strains isolated in Algeria. At 100 mM NaCl, it was observed that there was a higher variability of plant dry weight compared to the control. The strains able to improve plant growth at 100 mM NaCl were different and specific for each alfalfa cultivar, highlighting that (symbiont) G × (host) G interaction is magnified under stressed (saline) conditions (E). Three strains were then identified as candidate inoculants for M. sativa cv Marina and used for an in-field experiment with induced stress (no irrigation), together with S. meliloti GR4 (a highly competitive strain). In-field experiments, showed a high variability, and a significant difference of plant biomass was observed only for those inoculated with S. meliloti GR4. Obtained results suggest that multiple traits should be considered for inoculant-strain selection, and for an efficient translation from lab to field, it requires extensive comprehension of the mechanisms driving G × G × E interaction. Full article
(This article belongs to the Special Issue Crop Response to Soil and Water Salinity)
Show Figures

Figure 1

Back to TopTop