Sign in to use this feature.

Years

Between: -

Subjects

remove_circle_outline
remove_circle_outline
remove_circle_outline
remove_circle_outline
remove_circle_outline
remove_circle_outline

Journals

Article Types

Countries / Regions

Search Results (29)

Search Parameters:
Keywords = e-nutrition literacy

Order results
Result details
Results per page
Select all
Export citation of selected articles as:
19 pages, 2094 KB  
Article
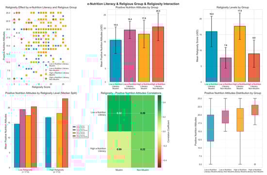
How Do e-Nutrition Literacy and Faith Shape Positive Nutrition Attitudes? A Machine Learning Approach in Türkiye
by Hande Ongun Yilmaz, Sedat Arslan and Salim Yilmaz
Nutrients 2026, 18(3), 413; https://doi.org/10.3390/nu18030413 - 27 Jan 2026
Abstract
Background/Objectives: Evidence on religiosity, religious affiliation, and e-nutrition literacy in shaping nutrition attitudes is limited in adult majority-Muslim contexts. The aim of this study is to examine the independent and interactive associations of religiosity, religious affiliation, and e-nutrition literacy with positive nutrition [...] Read more.
Background/Objectives: Evidence on religiosity, religious affiliation, and e-nutrition literacy in shaping nutrition attitudes is limited in adult majority-Muslim contexts. The aim of this study is to examine the independent and interactive associations of religiosity, religious affiliation, and e-nutrition literacy with positive nutrition attitudes among adults in Türkiye. Methods: This study involved a cross-sectional online survey conducted November–December 2024 via convenience and snowball sampling. After quality checks, 1104 adults remained (mean age = 25.7 years, mean BMI = 23.5 kg/m2; 69.3% female, 90.7% Muslim). Religiosity was measured with the Duke University Religion Index, and nutrition literacy and positive nutrition attitudes with validated scales. Demographics and anthropometrics were self-reported. Positive Nutrition Attitudes was the primary outcome, predicted by e-nutrition literacy, analyzed using robust OLS and explored for nonlinearities/interactions with Random Forests and SHAP. A generalized linear model tested three-way interactions of e-nutrition literacy, religious affiliation, and religiosity, adjusting for age and BMI. Performance used train or test splits and five-fold cross-validation. Results: e-Nutrition literacy was the strongest predictor (β = 0.155, p < 0.001). Cross-validated R2 was modest (about 0.04). Random Forests slightly improved fit (test R2 about 0.064). SHAP indicated a literacy threshold near 26.1 with predominantly positive contributions above this value. In threshold-stratified models, religiosity showed a positive association (β = 0.332, p = 0.010). Non-Muslims had higher unadjusted means, but affiliation effects were not significant after adjustment. Conclusions: The results highlight the threshold-dependent role of e-nutrition literacy in positive nutrition attitudes and the independent effect of religiosity. These results suggest that boosting literacy above the critical threshold and incorporating religious values may support healthier nutrition behaviors. Full article
Show Figures

Figure 1

15 pages, 277 KB  
Article
Adherence to the Mediterranean Diet and Sustainable Nutrition: The Role of Nutrition Literacy Across Generations
by Çağla Pınarlı Falakacılar, Merve Terzi and Merve Özvar Kütük
Sustainability 2026, 18(1), 61; https://doi.org/10.3390/su18010061 - 20 Dec 2025
Viewed by 496
Abstract
Background: Sustainable diets, particularly the Mediterranean diet, are associated with improved human and planetary health. Nutrition literacy influences food choices, yet intergenerational differences in literacy and adherence to sustainable diets remain underexplored. This study examined the relationship between nutrition literacy, adherence to [...] Read more.
Background: Sustainable diets, particularly the Mediterranean diet, are associated with improved human and planetary health. Nutrition literacy influences food choices, yet intergenerational differences in literacy and adherence to sustainable diets remain underexplored. This study examined the relationship between nutrition literacy, adherence to the Mediterranean diet, and sustainable nutrition behaviors among Generation X, Y, and Z adults living in Istanbul. Methods: A cross-sectional online survey was conducted among adults aged 18–60 years. Data were collected through a demographic questionnaire, the E-Healthy Nutrition Literacy Scale, and the Short Questionnaire for Mediterranean Diet Adherence and Sustainable Nutrition. Parametric statistical analyses were performed. Results: Among 1395 participants, adherence to the Mediterranean diet did not significantly differ by generation or gender (p > 0.05). Participants with prior nutrition education were significantly more likely to achieve high nutrition literacy scores and adhere to sustainable eating practices. Adherence to sustainable nutrition increased across generations, with Generation Z exhibiting the highest proportion of low adherence (53%), while Generations Y and X demonstrated progressively higher rates of moderate (39%) and high adherence (31.6%) (p < 0.05). Correlation analyses indicated that adherence to sustainable nutrition was positively associated with the application dimension of nutrition literacy, suggesting that both knowledge and practical skills may influence sustainable nutrition behaviors. Conclusion: Older and more educated participants achieved higher nutrition literacy and sustainable nutrition adherence scores. Knowledge alone is insufficient to ensure healthy or sustainable eating. Enhancing practical skills and providing sustainability-focused nutrition education may improve diet quality and public health. Full article
14 pages, 383 KB  
Protocol
NutriWomen, Novel Evidence-Based Web Platform to Support Women’s Health, Nutrition Decisions and Address Nutrition Misinformation on Social Media: Protocol for a Digital Tool Development
by Mireia Bosch Pujadas, Andreu Prados-Bo, Alessandra Wagner, Bradley C. Johnston, Andreu Farran-Codina and Montserrat Rabassa
Nutrients 2026, 18(1), 20; https://doi.org/10.3390/nu18010020 - 19 Dec 2025
Viewed by 539
Abstract
Background: Social media, especially Instagram, spreads nutrition-related information that often lacks scientific rigor. Many women report feeling inadequately informed about women’s health by healthcare professionals, turning to social media, increasing exposure to misinformation. Objectives: The NutriWomen platform aims to assess the [...] Read more.
Background: Social media, especially Instagram, spreads nutrition-related information that often lacks scientific rigor. Many women report feeling inadequately informed about women’s health by healthcare professionals, turning to social media, increasing exposure to misinformation. Objectives: The NutriWomen platform aims to assess the quality, methodological soundness, and credibility of nutritional health claims and dietary recommendations on Instagram targeting women across different life stages. Its goal is to develop a systematic and scientifically grounded evaluation framework to assess Instagram nutrition-related claims and the methodological quality and interpretability of their supporting evidence, and to translate the results into accessible outputs that help women make informed nutrition decisions across life stages. Methods: This study follows a five-stage design Stage 1 involves a retrospective content analysis of Instagram posts containing nutrition-related claims targeted at women, identified through the “Top posts” function and screened using predefined criteria. Stage 2 assesses information quality using a validated 14-item tool. Stage 3 evaluates the scientific accuracy of claims by formulating PI(E)CO(TS) questions, selecting key outcomes, retrieving evidence from PubMed and the Cochrane Database, and appraising systematic reviews with a modified AMSTAR-2 tool incorporating GRADE ratings, when available. Stage 4 develops the NutriWomen website platform to translate assessments into accessible visual summaries. Stage 5 conducts a mixed-methods study with peri-, meno-, and postmenopausal women to explore information needs and evaluate platform usability through focus groups. Conclusions: The NutriWomen platform will be the first website to systematically publish the results of evaluations assessing the scientific quality of nutritional health claims on Instagram targeted at women across different life stages. It will provide a replicable methodology, and a digital tool designed to empower women with trustworthy nutrition information, with the potential to enhance health literacy and promote better health outcomes. Full article
Show Figures

Figure 1

24 pages, 757 KB  
Review
School-Based Interventions to Prevent Overweight in Latin America: A Scoping Review and Policy Analysis
by Analí Morales-Juárez, Norma Alfaro, Yvette Fautsch-Macías, Maaike Arts, Paula Veliz and María F. Kroker-Lobos
Nutrients 2025, 17(21), 3435; https://doi.org/10.3390/nu17213435 - 31 Oct 2025
Viewed by 1567
Abstract
Overweight, including its severe form obesity, among children and adolescents has risen rapidly in Latin America. Schools play a critical role in addressing this growing public health challenge, as they offer a structured setting to implement preventive interventions targeting nutrition literacy, physical activity, [...] Read more.
Overweight, including its severe form obesity, among children and adolescents has risen rapidly in Latin America. Schools play a critical role in addressing this growing public health challenge, as they offer a structured setting to implement preventive interventions targeting nutrition literacy, physical activity, and the food environment. The aim of this article is to describe the effectiveness of school-based interventions for preventing overweight in Latin America and whether existing policies, programs and other initiatives in the region align with the best available evidence. Among the 27 interventions included, most were conducted in Chile (41%), used a pre–post design (41%), adopted a preventive approach (85%), and reported positive effects (52%). Effective interventions included activities on nutrition literacy, physical activity, nutritious foods and diets, provision of free and safe drinking water (e.g., water that is free from microbial contamination and suitable for drinking), and healthy food environment. Experimental studies showed that the duration of effective interventions ranged from two months to two years and were primarily directed at primary school students including parents and teachers. Argentina, Chile, Colombia, Mexico, Peru, and Uruguay had multi-component policies and programs under a regulatory framework (e.g., laws or regulations passed by a government) based on the best available evidence to prevent overweight in school-aged children and adolescents. Only a limited number of countries have implemented these interventions. Ensuring program sustainability is critical to inform evidence-based childhood overweight prevention policies in the region. Policymakers should use the best scientific evidence to guide childhood overweight prevention strategies. Full article
Show Figures

Figure 1

17 pages, 437 KB  
Article
The Impact of Chinese Adult’s Food Literacy on Healthy Eating Intentions Based on the Planned Behaviour Theory
by Yingying Li and Ji-Yun Hwang
Nutrients 2025, 17(20), 3295; https://doi.org/10.3390/nu17203295 - 20 Oct 2025
Viewed by 941
Abstract
Background: Unhealthy diets are major contributors to obesity and chronic diseases. In 2023, 50.7% of Chinese adults were overweight or obese, underscoring the need to strengthen healthy-eating intentions. Methods: We analysed a cross-sectional online survey of 1145 adults (18–64 years) from Henan and [...] Read more.
Background: Unhealthy diets are major contributors to obesity and chronic diseases. In 2023, 50.7% of Chinese adults were overweight or obese, underscoring the need to strengthen healthy-eating intentions. Methods: We analysed a cross-sectional online survey of 1145 adults (18–64 years) from Henan and Shandong. Moderation was tested using multiple linear regression with mean-centred interaction terms between each Theory of Planned Behaviour (TPB) construct (attitude, subjective norms, and perceived behavioural control [PBC]) and each food-literacy component (production, choices, preparation and cooking, intake, disposal). Models were adjusted for age, occupation, marital status, alcohol use, physician-diagnosed chronic disease, and living with family. To address multicollinearity, we performed a ridge-regression robustness check (L2-regularised linear model; λ = 0.02 selected by 10-fold cross-validation; CV-RMSE = 0.483; CV-R2 = 0.631). We report B, SE, β, p-values, and R2/adjusted R2. Results: The overall food-literacy score did not significantly moderate the associations between attitude, subjective norms, or PBC and healthy-eating intention (p = 0.328, 0.671, 0.985). In component-wise analyses, only intake (intake) significantly moderated the PBC–intention association (B = 0.002, SE = 0.001, t = 2.497, p = 0.013); in the ridge model, the effect remained positive (β = 0.182; λ = 0.02). PBC (β = 0.459) and subjective norms (β = 0.169) were the strongest main-effect predictors. The best-fitting model explained R2 = 0.663 of the variance in intention (adjusted R2 = 0.663). Conclusions: Among adults in Henan and Shandong, the intake component of food literacy strengthened the association between PBC and healthy-eating intention, whereas overall food literacy showed no general moderating effect. Interventions should prioritise intake-related skills (e.g., portion planning, lower-sodium choices and nutrition label use) to enhance perceived behavioural control and, in turn, intention. Given the cross-sectional design, causal inference is limited; longitudinal, capability-building evaluations are warranted. Full article
(This article belongs to the Section Nutrition and Public Health)
Show Figures

Figure 1

11 pages, 218 KB  
Article
Assessment of Dental Care Utilization Based on Health Information Literacy in Korean Adults
by Sun-Kyoung Lee and Jeong-Min Seong
Dent. J. 2025, 13(10), 467; https://doi.org/10.3390/dj13100467 - 14 Oct 2025
Viewed by 850
Abstract
Background/Objectives: This study aimed to examine the utilization of dental care services according to the health information literacy among Korean adults. Methods: This study used secondary raw data from the 9th National Health and Nutrition Examination Survey (2023), which included 3356 adults aged [...] Read more.
Background/Objectives: This study aimed to examine the utilization of dental care services according to the health information literacy among Korean adults. Methods: This study used secondary raw data from the 9th National Health and Nutrition Examination Survey (2023), which included 3356 adults aged 20 years and older. Frequency analysis, cross-analysis, and logistic regression were performed (p < 0.05). Data were analyzed using IBM SPSS software (ver. 22.0). Results: Using cross-analysis to identify the relationship between health information understanding and oral examinations within the last year, statistically significant differences were confirmed for all questions (p < 0.05). A statistically significant association was identified between individuals’ level of health information literacy and their engagement in preventive dental care, particularly the utilization of scaling procedures (p < 0.05). The higher their understanding of health information, the more likely they were to have undergone an oral examination in the previous year (nearly twice as likely higher; p = 0.003). The higher the understanding of health information regarding preventive treatment (scaling), the more likely the participant was to receive it (i.e., 2.2 times higher; p < 0.001). Conclusions: Educational interventions and policy support to improve the ability to understand health information can be important strategies for promoting the practice of preventive oral health and improving oral health level in people. Full article
36 pages, 2837 KB  
Perspective
Home Environment as a Therapeutic Target for Prevention and Treatment of Chronic Diseases: Delivering Restorative Living Spaces, Patient Education and Self-Care by Bridging Biophilic Design, E-Commerce and Digital Health Technologies
by Dorothy Day Huntsman and Grzegorz Bulaj
Int. J. Environ. Res. Public Health 2025, 22(2), 225; https://doi.org/10.3390/ijerph22020225 - 5 Feb 2025
Cited by 6 | Viewed by 9209
Abstract
A high prevalence of chronic diseases exposes diverse healthcare pain points due to the limited effectiveness of pharmaceutical drugs and biologics, sedentary lifestyles, insufficient health literacy, chronic stress, unsatisfactory patient experience, environmental pollution and competition with commercial determinants of health. To improve patient [...] Read more.
A high prevalence of chronic diseases exposes diverse healthcare pain points due to the limited effectiveness of pharmaceutical drugs and biologics, sedentary lifestyles, insufficient health literacy, chronic stress, unsatisfactory patient experience, environmental pollution and competition with commercial determinants of health. To improve patient care and long-term outcomes, the impact of the home environment is overlooked and underutilized by healthcare. This cross-disciplinary work describes perspectives on (1) the home environment as a therapeutic target for the prevention and treatment of chronic diseases and (2) transforming health-centric household goods e-commerce platforms into digital health interventions. We provide a rationale for creating therapeutic home environments grounded in biophilic design (multisensory, environmental enrichment) and supporting physical activities, quality sleep, nutrition, music, stress reduction, self-efficacy, social support and health education, hence providing clinical benefits through the modulation of the autonomic nervous system, neuroplasticity and behavior change. These pleiotropic “active non-pharmacological ingredients” can be personalized for people living with depression, anxiety, migraine, chronic pain, cancer, cardiovascular and other conditions. We discuss prospects for integrating e-commerce with digital health platforms to create “therapeutic home environment” interventions delivered through digital therapeutics and their combinations with prescription drugs. This multimodal approach can enhance patient engagement while bridging consumer spending with healthcare outcomes. Full article
Show Figures

Figure 1

32 pages, 842 KB  
Review
A Scoping Review of Tools to Assess Digital Health Literacy Among Middle-Aged and Older Adults for Application to Dietetic Practice
by Jingyi Jess Bai, Mariam Mandoh, Yee Mei Yu and Margaret Allman-Farinelli
Dietetics 2024, 3(4), 523-554; https://doi.org/10.3390/dietetics3040037 - 25 Nov 2024
Cited by 1 | Viewed by 7219
Abstract
Medical Nutrition Therapy (MNT) services have shifted from only in-person to digital consultations. This may present a challenge to older patients if they are not digitally literate. This scoping review aimed to identify and analyse tools for assessing digital health literacy to guide [...] Read more.
Medical Nutrition Therapy (MNT) services have shifted from only in-person to digital consultations. This may present a challenge to older patients if they are not digitally literate. This scoping review aimed to identify and analyse tools for assessing digital health literacy to guide dietetic practice in screening patients for digital care needs and training. Publications that used or tested a digital health literacy tool with participants aged 45 years and older in clinical, community, or population settings were deemed eligible. Five scientific databases, reference lists of identified studies, and publications from key authors were searched for peer-reviewed articles published in English between 2014 and March 2024. Relevant data on participant characteristics, tool design, and validation were charted. The generalisability of studies and applicability of tools were assessed using 4-point scales. Searches yielded 1823 articles, of which 66 articles were included in the final analysis. Eight tools were identified, and the electronic Health Literacy Scale (eHEALS) was the most frequently used. After evaluating the validity and feasibility of these tools, the adapted eHEALS emerged as the most applicable for digitally delivered MNT. Future studies should explore effective educational programmes for less digitally literate populations to better connect them to online MNT healthcare services. Full article
Show Figures

Figure 1

11 pages, 465 KB  
Article
Preliminary Effectiveness of a One-Week Summer Day Camp for Improving Children’s Health Behaviors and Psychosocial Well-Being Outcomes
by Qiaoyin Tan, Yuxin Nie, Paul Son, Renee A. Underwood, Peyton Murray, Callie Hebert, K-Lynn McKey, Chelsea Hendrick, Amanda E. Staiano and Senlin Chen
Children 2024, 11(9), 1097; https://doi.org/10.3390/children11091097 - 7 Sep 2024
Cited by 1 | Viewed by 2432
Abstract
Purpose: Summer day camp offers children opportunities to grow knowledge and skills, be physically active, and have fun. Compared to healthy children, at-risk children (i.e., overweight, or with obesity and chronic health conditions) typically display less optimal health behaviors and psychosocial well-being, especially [...] Read more.
Purpose: Summer day camp offers children opportunities to grow knowledge and skills, be physically active, and have fun. Compared to healthy children, at-risk children (i.e., overweight, or with obesity and chronic health conditions) typically display less optimal health behaviors and psychosocial well-being, especially during summer months. This study examined the preliminary effectiveness of an American-Diabetes-Association-sponsored summer day camp at improving children’s health behaviors (i.e., physical activity, screen time, diet, sleep) and psychosocial well-being outcomes (i.e., quality of life [QoL], enjoyment, weight-related self-efficacy). Method: The sample consisted of 39 participants, including 19 boys and 20 girls, with majority being overweight (n = 4 or 10%) or with obesity (n = 26 or 67%), who attended the day camp for one week. Results: Significant improvements were observed in screen time, quality of life, and physical function. The results further showed significant time by gender interaction effect for overall QoL (p < 0.05, ηp2 = 0.15), physical health (a dimension of QoL; p < 0.05, ηp2 = 0.18), and significant time by household income for the psychosocial health (another dimension of QoL), favoring boys and those from higher income families. Discussion: The findings indicate a positive preliminary effectiveness of the summer camp at reducing children’s screen time and improving their QoL, especially in boys and those from higher-income families. Future research should focus on health disparities and expansion of this camp for the potential of longer-term and more robust effects related to wellness, nutrition literacy, physical activity promotion, and obesity prevention. Full article
(This article belongs to the Section Pediatric Mental Health)
Show Figures

Figure 1

14 pages, 2069 KB  
Article
Do Primary Health Professionals in Brazil Have a Misperception about Food? The Role of Food Literacy as a Positive Predictor
by Larissa Baungartner Zeminian, Ligiana Pires Corona, Marcela Chagas da Silva, Isabelle do Nascimento Batista and Diogo Thimoteo da Cunha
Nutrients 2024, 16(2), 302; https://doi.org/10.3390/nu16020302 - 19 Jan 2024
Cited by 2 | Viewed by 3050
Abstract
Risk perception is socially constructed; psychological elements control people’s reactions to a hazard, and even health professionals may have difficulty determining what healthy food is. This work aimed to measure food literacy and food risk perceptions among primary healthcare professionals in a Brazilian [...] Read more.
Risk perception is socially constructed; psychological elements control people’s reactions to a hazard, and even health professionals may have difficulty determining what healthy food is. This work aimed to measure food literacy and food risk perceptions among primary healthcare professionals in a Brazilian city. In the first phase, 280 health professionals working in primary care in Rio Claro, Brazil, were studied. The Short Food Literacy Questionnaire (SFLQ-Br) and scales of risk and benefit perception of 50 foods were used. In the second phase, 20 professionals were interviewed to investigate the responses to different foods observed in the first phase. In this second phase, 16 users of the health system were also enrolled to understand their perceptions and how the nutrition messages conveyed by the health team reached them. Professionals scored an average of 34.5 on food literacy (for which there is a maximum score of 52). They showed difficulty with dietary guidelines and their interpretation. Food’s risk and benefit perception were generally consistent with the recommendations of the Food Guide for the Brazilian Population. However, some processed foods or those with no proven health benefits were considered healthy by the study participants, indicating a biased perception (e.g., gelatin, processed turkey breast, cream crackers, and cereal bars). Less misperception was observed when food literacy was higher, which positively predicted risk perception. The reasons for identifying benefits of these foods ranged from the false impression that they are natural and nutritious foods to the comparative claim that they are better for health than similar foods. The results indicate the need to educate health professionals based on current references to avoid bias in population counseling. Full article
Show Figures

Figure 1

13 pages, 1626 KB  
Review
From Health-in-All-Policies to Climate-in-All-Policies: Using the Synergies between Health Promotion and Climate Protection to Take Action
by K. Viktoria Stein and Thomas E. Dorner
Int. J. Environ. Res. Public Health 2024, 21(1), 110; https://doi.org/10.3390/ijerph21010110 - 18 Jan 2024
Cited by 5 | Viewed by 4156
Abstract
The climate crisis is developing into a life-changing event on a global level. Health promotion with the aim to increase the health status of individuals, independent of the present health status, has been developed on a scientific basis at least for the last [...] Read more.
The climate crisis is developing into a life-changing event on a global level. Health promotion with the aim to increase the health status of individuals, independent of the present health status, has been developed on a scientific basis at least for the last eight decades. There are some basic principles which are prerequisites for both health promotion and climate protection. Those principles include (1) sustainability, (2) orientation on determinants, and (3) requirement of individual as well as community approaches. People are generally aiming to protect their lifestyle habits (e.g., traveling and consumer habits) and personal property (e.g., car and house) with easy solutions and as little effort as possible, and this can affect both health and climate. To reduce the emission of greenhouse gases and to protect our environment, changes towards a sustainable lifestyle have to be embedded into everybody’s mind. Examples for domains that need to be addressed in health promotion as well as in climate protection include (health and climate) literacy, physical activity and active mobility, and nutrition and dietary habits. If health promotion fails to tackle those domains, this will continue to drive the climate crisis. And climate change, in turn, will affect health. On the other hand, developing and promoting health resources in the domains mentioned could help to mitigate the health-damaging effects of climate change. Success in the joint efforts to promote health and protect the climate would improve the One Health approach, the health of people and the environment. Full article
Show Figures

Figure 1

13 pages, 1489 KB  
Article
Fake News in the Post-COVID-19 Era? The Health Disinformation Agenda in Spain
by Carmen Costa-Sánchez, Ángel Vizoso and Xosé López-García
Societies 2023, 13(11), 242; https://doi.org/10.3390/soc13110242 - 15 Nov 2023
Cited by 9 | Viewed by 5814
Abstract
Three years after a pandemic that demonstrated the importance of reliable health information in a news agenda dominated by coronavirus disease 2019 (COVID-19), we analyze the situation of health disinformation in Spain on the basis of the verifications carried out by its main [...] Read more.
Three years after a pandemic that demonstrated the importance of reliable health information in a news agenda dominated by coronavirus disease 2019 (COVID-19), we analyze the situation of health disinformation in Spain on the basis of the verifications carried out by its main fact-checking platforms. The results show that COVID-19 shared center stage with other topics in the health area. In addition, a unique agenda is evident in each situation in the study, indicating a fact-checking strategy that is differentiated according to the media outlet and type of specialization (generalist fact-checker or one specialized in health). Vaccination, nutrition, and disease treatment emerge as the most important thematic subfields. Most health hoaxes are manufactured, i.e., created from scratch, rather than being manipulated or reconfigured from real preexisting elements. The format of text and image together predominates, and new social networks (TikTok or Telegram) have appeared as platforms for the circulation of hoaxes. This indicates that providing necessary health literacy to society and giving health issues greater presence in current fact-checking agendas are strategies for combatting disinformation, which can have serious consequences, regardless of whether there is a public health crisis such as the one experienced recently. Full article
(This article belongs to the Special Issue Fake News Post-COVID-19)
Show Figures

Figure 1

21 pages, 353 KB  
Article
Eating Choices—The Roles of Motivation and Health Literacy: A Cross-Sectional Study
by Urszula Zwierczyk, Christoph Sowada and Mariusz Duplaga
Nutrients 2022, 14(19), 4026; https://doi.org/10.3390/nu14194026 - 28 Sep 2022
Cited by 30 | Viewed by 6991
Abstract
Food choices are determined by intrinsic and extrinsic product characteristics, biological and physiological features, psychological factors, and situational and socio-cultural factors. Self-determination theory offers the explanation of health behavior change identifying motivations located along a continuum of autonomy. Another approach to the motivations [...] Read more.
Food choices are determined by intrinsic and extrinsic product characteristics, biological and physiological features, psychological factors, and situational and socio-cultural factors. Self-determination theory offers the explanation of health behavior change identifying motivations located along a continuum of autonomy. Another approach to the motivations guiding health behaviors, including food choices, relies on distinguishing thematic categories. Health motivations seem to be an obvious determinant of health behaviors, but final decisions regarding health are also the effect of other types of motivations such as economic, cultural, or emotional. The role of marketing pressure in modern society is perceived to be an important source of motivation for purchasing food and other products. The Motivation–Opportunity–Ability (MOA) framework was initially proposed in order to explain the processing of brand information from advertisements and was later expanded to other areas, including health and nutritional behaviors. The aim of this study was the analysis of determinants of food choices. We have developed a common regression model including six categories of motivations addressed by the Eating Motivations Scale and three health literacy types corresponding with element of ability from the MOA framework, adjusted for socio-demographic factors, health status, and the use of the Internet and TV. The analysis was performed on data from a computer-assisted web-based interviewing (CAWI) survey among 2008 adult Internet users completed in May 2022. The uni- and multivariate linear regression models were developed with the Index of Unhealthy Food Choices (IUFC), calculated based on the responses to items asking about the frequency of the consumption of twelve food categories. Univariate modeling revealed that IUFC is significantly associated with health, food, and e-health literacies and with five out of six eating motivations. However, the multivariate regression model yielded significant associations only for eating motivations but not for the three literacy scores. Health motivation was negatively associated with IUFC (B, standard error (SE): 0.83, 0.07; 95% confidence interval (95% CI): 0.98–0.69), but positively with emotional (B, SE: 0.22, 0.04; 95% CI: 0.14–0.3), economic (B, SE: 0.41, 0.08; 95% CI: 0.25–0.56), and marketing (B, SE: 0.62, 0.08; 95% CI: 0.47–0.78) motivations. Our findings suggest that motivations guiding food choices may prevail over the element of ‘ability’ distinguished in the frameworks and models that explain people’s behaviors, including behaviors relating to health. Thus, it is essential to emphasize development of appropriate motivations and not only to provide knowledge and skills. Furthermore, one should also remember motivations other than health motivations when searching for the determinants of health behaviors. Full article
(This article belongs to the Section Nutrition and Public Health)
16 pages, 607 KB  
Article
Understanding, Trusting, and Applying Scientific Insights to Improve Your Health: A Latent Profile Analysis Approach
by Nejc Plohl and Bojan Musil
Int. J. Environ. Res. Public Health 2022, 19(16), 9967; https://doi.org/10.3390/ijerph19169967 - 12 Aug 2022
Cited by 9 | Viewed by 29466
Abstract
Various leading causes of death can be prevented or delayed through informed decision-making and lifestyle changes. Previous work has, to some extent, linked such health-promoting behavior (HPB) with variables capturing individuals’ understanding of science, trust in science, and capacity to apply evidence-based information [...] Read more.
Various leading causes of death can be prevented or delayed through informed decision-making and lifestyle changes. Previous work has, to some extent, linked such health-promoting behavior (HPB) with variables capturing individuals’ understanding of science, trust in science, and capacity to apply evidence-based information in the health context. However, empirical research on the relationship between scientific knowledge, trust in science, health literacy, and HPB is scarce. Additionally, no study has investigated whether these characteristics interact to form homogeneous, high-risk subgroups of the population. The present online study (N = 705) revealed that trust in science and health literacy were positively related to a wide array of HPBs (e.g., healthy nutrition, physical activity, stress management), while scientific knowledge was only positively associated with COVID-19 vaccination intention. Furthermore, the results of latent profile analyses yielded four subgroups (i.e., low, moderate, and high levels of all three variables and a varied profile exhibiting very low trust in science, low health literacy, and moderate scientific knowledge). The identified subgroups differ significantly in HPB and variables determining profile membership (e.g., political conservatism). Hence, the present study offers some guidance on which groups may be targeted with public health campaigns and how they may be designed. Full article
(This article belongs to the Special Issue Health Psychology and Behaviors during COVID-19)
Show Figures

Figure 1

19 pages, 413 KB  
Article
Health Literacy and Its Associations with Understanding and Perception of Front-of-Package Nutrition Labels among Higher Education Students
by Axelle Hoge, Mathilde Labeye, Anne-Françoise Donneau, Halehsadat Zahraei Nekoee, Eddy Husson and Michèle Guillaume
Int. J. Environ. Res. Public Health 2022, 19(14), 8751; https://doi.org/10.3390/ijerph19148751 - 19 Jul 2022
Cited by 12 | Viewed by 5091
Abstract
(1) Background: Nutrition labels on the front of food packages have increasingly become the focus of research. However, too few studies have placed special emphasis on nutritionally at-risk subpopulations, such as young adults or those with low literacy/numeracy skills. The present study [...] Read more.
(1) Background: Nutrition labels on the front of food packages have increasingly become the focus of research. However, too few studies have placed special emphasis on nutritionally at-risk subpopulations, such as young adults or those with low literacy/numeracy skills. The present study aimed to assess both the perception and objective understanding of three front-of-package labeling (FOPL) formats currently in use on the Belgian market, i.e., the Nutri-Score, Reference Intakes, and Multiple Traffic Lights, among students of varying health literacy (HL) levels. (2) Methods: A web-based survey was carried out among 2295 students of tertiary education in the province of Liège, Belgium. The questionnaire included questions related to general characteristics, objective understanding, and perception in response to the assigned FOPL format and level of HL. (3) Results: With respect to objective understanding, the Nutri-Score outperformed all other labels across all HL levels, and it was similarly understood in students of varying HL levels. Several students’ characteristics appeared to be associated with each cluster of perception, with the Nutri-Score cluster having the highest percentages of disadvantaged students, i.e., those with inadequate HL, from non-university institutions, with low self-estimated nutrition knowledge, and with low self-estimated diet quality. (4) Conclusion: Overall, the findings supported the Nutri-Score as particularly effective in guiding students in their food choices. Of particular importance is the fact that the summarized and graded color-coded nutritional label would be a useful strategy for those disadvantaged by limited HL. Full article
(This article belongs to the Section Health Behavior, Chronic Disease and Health Promotion)
Back to TopTop