Sign in to use this feature.

Years

Between: -

Subjects

remove_circle_outline
remove_circle_outline
remove_circle_outline
remove_circle_outline
remove_circle_outline
remove_circle_outline
remove_circle_outline
remove_circle_outline

Journals

Article Types

Countries / Regions

Search Results (16)

Search Parameters:
Keywords = dry matter content of cob

Order results
Result details
Results per page
Select all
Export citation of selected articles as:
29 pages, 9251 KB  
Article
Using Genome-Wide Association Studies to Reveal DArTseq and SNP Loci Associated with Agronomic Traits and Yield in Maize
by Maciej Lenort, Agnieszka Tomkowiak, Jan Bocianowski, Roksana Bobrowska, Danuta Kurasiak-Popowska, Sylwia Mikołajczyk, Tomasz Kosiada, Dorota Weigt and Przemysław Gawrysiak
Curr. Issues Mol. Biol. 2025, 47(12), 1008; https://doi.org/10.3390/cimb47121008 - 30 Nov 2025
Viewed by 388
Abstract
Next-generation sequencing (NGS) has revolutionized genetic research, enabling the massive, rapid, and relatively inexpensive analysis of the genomes, transcriptomes, and epigenomes of various organisms, including maize. Therefore, this paper uses NGS, association mapping, and physical mapping to identify candidate genes associated with yield [...] Read more.
Next-generation sequencing (NGS) has revolutionized genetic research, enabling the massive, rapid, and relatively inexpensive analysis of the genomes, transcriptomes, and epigenomes of various organisms, including maize. Therefore, this paper uses NGS, association mapping, and physical mapping to identify candidate genes associated with yield structure traits and yield in maize (Zea mays L.). Furthermore, expression analysis of selected candidate genes was performed to confirm their contribution to yield formation. The plant material used for the study was 186 F1 hybrids and 20 reference genotypes (high-yielding and low-yielding). Field experiments were conducted simultaneously in two locations (in Smolice and Kobierzyce). NGS yielded a total of 45,876 molecular markers (24,437 SilicoDArT markers and 21,439 SNP markers) relevant to yield and crop structure. The largest number of markers in both localities (Smolice and Kobierzyce) was related to: the number of grain rows (6960), dry matter content after harvest (6616), the number of grains in a row (6721), mass of grain from the cob (6616), and cob length (6564). The smallest number of markers in both localities was related to yield (t ha−1) (1114) and yield from the plot (1237). To narrow down the number of markers for physical mapping, ten were selected from all the significant ones associated with the same traits in both localities (Kobierzyce and Smolice). Significant markers included eight silicoDArT markers (459199, 2447305, 4768759, 4579916, 4764335, 2448946, 2492509, 4774802) and two SNP markers (9692004, 5587791). These markers were used for physical mapping. These markers are located on chromosomes 7, 8, and 10. Some of these markers are located at a considerable distance from characterized genes or within uncharacterized genes. Two markers caught our attention: SNP 5587791 and silicoDArT 4774802. The first one is located on chromosome 8 inside exon 5 of the LOC100383455 U-box domain-containing protein 7 gene, the second marker is also located on chromosome 8 near (300 bp) the LOC103635953 putative WUSCHEL-related homeobox 2 protein gene. Our own research and literature reports indicate the usefulness of next-generation sequencing, association mapping, and physical mapping for identifying candidate genes associated with economically important traits in maize. Furthermore, two genes characterized in detail in the publication, LOC100383455 U-box domain-containing protein 7 gene and LOC103635953 putative WUSCHEL-related homeobox 2 protein gene, may be involved in processes related to maize yield. Full article
(This article belongs to the Special Issue Featured Papers in Bioinformatics and Systems Biology)
Show Figures

Figure 1

18 pages, 2479 KB  
Article
Material Properties Changes Caused by High Temperature Drying—Corn Cobs Case Study
by Marek Wróbel, Marcin Jewiarz, Jozef Krilek and Luiza Dmochowska-Kuc
Materials 2025, 18(10), 2302; https://doi.org/10.3390/ma18102302 - 15 May 2025
Cited by 1 | Viewed by 1513
Abstract
Biomass is an energy source with variable physico-chemical properties. Thermal treatments lower moisture and volatile matter contents. They also raise the high heating value (HHV). This is especially desirable for agro-wastes with low-energy potential, like maize cobs. To make pellets from biomass, it [...] Read more.
Biomass is an energy source with variable physico-chemical properties. Thermal treatments lower moisture and volatile matter contents. They also raise the high heating value (HHV). This is especially desirable for agro-wastes with low-energy potential, like maize cobs. To make pellets from biomass, it is important to keep the lignin intact. It is responsible for particle adhesion. This paper presents a study focused on high-temperature drying of maize cobs. The process temperatures were selected from a range between 60 and 220 °C. The upper temperature limit prevents significant lignin breakdown. We also do not exceed the self-ignition temperature of the raw material. The study analyzed changes in basic technical parameters. These include moisture content, ash content, volatile matter, and HHV. We tested the grinding and densification process. We measured the raw material’s particle size distribution (PSD), specific density, and the mechanical durability (DU) of the agglomerates. The study showed a positive effect of high-temperature drying on the technical parameters. We found that the drying of corn cobs at a temperature of 180 °C gives the best results. Both PSD and DU values indicate that it is possible to create quality compacted biofuels from this material. Full article
(This article belongs to the Special Issue Innovative Utilization of Biomass for Sustainable Energy Production)
Show Figures

Graphical abstract

22 pages, 1466 KB  
Article
Crop Technology, Cultivation System, and Maize Production Characteristics
by Daniel Păcurar, Horia Pop, Ioan Oroian, Petru Burduhos, Oana Abrudan (Radu), Cristian Mălinaș and Antonia Cristina Maria Odagiu
Sustainability 2025, 17(9), 4132; https://doi.org/10.3390/su17094132 - 2 May 2025
Viewed by 1561
Abstract
The maize crop is an essential contributor to food security. At a global level, it is the cereal with the highest production, and the second imported commodity. This study evaluates the impact of precision agriculture on the morpho-productive traits and agronomic efficiency of [...] Read more.
The maize crop is an essential contributor to food security. At a global level, it is the cereal with the highest production, and the second imported commodity. This study evaluates the impact of precision agriculture on the morpho-productive traits and agronomic efficiency of the Turda 201 maize hybrid under distinct cultivation systems. A bifactorial field trial was conducted in Cojocna, Transylvania (Romania), using two factors: the farming system (organic vs. conventional) and the cultivation technology (standard vs. precision). The work hypothesis is that precision agriculture can enhance maize performance compared to standard methods. The results indicated that morphological traits such as plant height (197 cm), cob length (17.20 cm), and leaf number (10.60) were significantly higher in the conventional system, particularly under precision technology. In the organic system, while improvements were observed with precision input, overall growth and yield remained lower. The same trends are seen in production traits, which are lower in an organic system compared with conventional (6464.22 kg/ha vs. 9204 kg/ha, when precision technology was used). Agronomic efficiency has a spectacular increase in the conventional–precision experimental variant (4.92 kg/kg) compared with the organic–standard experimental variant (0.002 kg/kg). Crude protein, dry matter, nitrogen-free matter, and starch content are the main qualitative maize characteristics influenced by the cropping system and technology. The conventional–precision experimental variant led to the highest values of the above-mentioned parameters compared with the organic–standard experimental variant (86.90% vs. 83.60% dry matter; 10.75% vs. 8.65% crude protein; 72.60% vs. 64.40% nitrogen-free matter; 83.15% vs. 79.50% starch). Principal Component Analysis revealed that the crop system (PC1) was the dominant factor influencing morpho-productive traits, while environmental factors (PC2) contributed mainly to the variability of the characteristics. These findings support the use of precision agriculture as a tool for enhancing sustainable maize production, particularly in conventional systems. Full article
(This article belongs to the Section Environmental Sustainability and Applications)
Show Figures

Figure 1

20 pages, 1747 KB  
Article
Rational Combination of Selenium Application Rate and Planting Density to Improve Selenium Uptake, Agronomic Traits, and Yield of Dryland Maize
by Fei Gao, Le Wang, Rong Zhao, Yixiong Wang, Yankun Ma, Rulan Yang, Qi Zhang and Chuangyun Wang
Plants 2024, 13(10), 1327; https://doi.org/10.3390/plants13101327 - 11 May 2024
Cited by 6 | Viewed by 2487
Abstract
Exogenous selenium application could effectively improve the selenium absorption of crops affected by different climatic conditions due to changes in the planting environment and planting conditions. We planted maize at planting densities of 67,500 plants ha−1 (D1) and 75,000 plants ha−1 [...] Read more.
Exogenous selenium application could effectively improve the selenium absorption of crops affected by different climatic conditions due to changes in the planting environment and planting conditions. We planted maize at planting densities of 67,500 plants ha−1 (D1) and 75,000 plants ha−1 (D2). Five selenium fertilizer gradients of 0 mg m−2 (Se0), 7.5 mg m−2 (Se1), 15.0 mg m−2 (Se2), 22.5 mg m−2 (Se3), and 30.0 mg m−2 (Se4) were applied to investigate the response of the plants to selenium fertilizer application in terms of the gradient selenium absorption and substance accumulation. With the increase in the amount of selenium fertilizer applied, more of the selenium fertilizer will be absorbed and transported from the leaves to the grains, and the selenium content of the grains will gradually increase and exceed the selenium content of leaves. Under the D2 density in 2022, the selenium content of the grains under Se1, Se2, Se3, and Se4 treatments increased by 65.67%, 72.71%, and 250.53%, respectively, compared with that of Se0. A total of 260.55% of the plants showed a gradient of grain > leaf > cob > stalk from the Se2 treatment, and the overall selenium content of the plants increased first and then decreased. Under the D1 density, compared with the Se0, the dry matter mass of the Se1, Se2, Se3, and Se4 treatments significantly improved by 5.84%, 1.49%, and 14.26% in 2021, and significantly improved by 4.84%, 3.50%, and 2.85% in 2022. The 1000-grain weight under Se2, Se3, and Se4 treatments improved by 8.57%, 9.06%, and 15.56% compared to that under the Se0 treatment, and the yield per ha under the Se2, Se3, and Se4 treatments was 18.58%, 9.09%, and 21.42% higher than that under Se0 treatment, respectively. In addition, a reasonable combination of selenium application rate and density could improve the chlorophyll content and stem growth of dryland maize. This lays a foundation for the efficient application of selenium fertilizer and provides an important reference. Full article
(This article belongs to the Section Plant–Soil Interactions)
Show Figures

Figure 1

21 pages, 3505 KB  
Article
Ridge Cultivation for the Adaption of Fodder Maize (Zea mays L.) to Suboptimal Conditions of Low Mountain Ranges in Organic Farming in Central Europe
by Tsvetelina Krachunova, Martin Scholz, Sonoko D. Bellingrath-Kimura and Knut Schmidtke
Agriculture 2023, 13(3), 650; https://doi.org/10.3390/agriculture13030650 - 9 Mar 2023
Cited by 1 | Viewed by 2834
Abstract
Fodder maize cultivation under low mountain conditions in Central Europe presents obstacles for organic dairy farmers; low temperatures and high precipitation values in spring delay the juvenile development of maize, which leads to lower and fluctuating yields. Increasing the soil temperature during the [...] Read more.
Fodder maize cultivation under low mountain conditions in Central Europe presents obstacles for organic dairy farmers; low temperatures and high precipitation values in spring delay the juvenile development of maize, which leads to lower and fluctuating yields. Increasing the soil temperature during the critical growth phase of maize in spring is beneficial for maize cultivation. For this reason, 0.15 m high ridge-row cultivation (RCM) of maize was compared to a typical flat surface cultivation method (FCM) with 0.75 m row spacing in three environments (En) in 2017, 2018 and 2020 on-farm at low mountain sites in Germany. In the experiment, with randomised block design and one-factorial arrangement, soil temperature (ST) at 0.05 m soil depth at midday, field emergence (FE) 4, 8, 16 and 20 days after sowing (DAS), dry matter yields (DM) in every En and plant development and N, P, K content in En 2020 were investigated. RCM led to a significantly higher ST 4 DAS in every En, 12 and 20 days in 2018 and 8 and 16 DAS in 2020. RCM did not accelerate maize FE but positively impacted plant development and starch content. RCM generated a higher dry matter (DM) yield of whole maize plants and corn cobs, and a higher protein yield than FCM. RCM slightly increased the plant-available P and Mg content from 0 to 0.3 m and influenced significantly the mineral N content from 0 to 0.3 m at the beginning of grain development. RCM, a simple cultivation technique, demonstrated benefits for maize cultivation, particularly for climatically marginal locations in Germany. Full article
(This article belongs to the Section Crop Production)
Show Figures

Figure 1

26 pages, 4395 KB  
Article
Examination of Different Sporidium Numbers of Ustilago maydis Infection on Two Hungarian Sweet Corn Hybrids’ Characteristics at Vegetative and Generative Stages
by Lóránt Szőke, Makoena Joyce Moloi, Dávid Kaczur, László Radócz and Brigitta Tóth
Life 2023, 13(2), 433; https://doi.org/10.3390/life13020433 - 3 Feb 2023
Viewed by 2791
Abstract
Corn smut is one of the major diseases in corn production. The cob infection causes high economic and quality loss. This research investigated the effects of three different concentrations of corn smut infection (2500, 5000, and 10,000 sporidia/mL) on two Hungarian sweet corn [...] Read more.
Corn smut is one of the major diseases in corn production. The cob infection causes high economic and quality loss. This research investigated the effects of three different concentrations of corn smut infection (2500, 5000, and 10,000 sporidia/mL) on two Hungarian sweet corn hybrids (Desszert 73 and Noa). Plants were infected at the vegetative (V4–V5) and the generative (V7) stages. The effects of the corn smut infection were evaluated at 7 and 14 days after the pathogen infection (DAPI) at vegetative and at 21 DAPI at generative stages. The photosynthetic pigments (relative chlorophyll, chlorophyll-a and b, and carotenoids), malondialdehyde (MDA), and proline concentration, activities of the antioxidant enzymes [ascorbate peroxidase (APX), guaiacol peroxidase (POX), and superoxide dismutase (SOD)], morphological characteristics (plant height, stem and cob diameter, cob length, cob and kernel weights), mineral contents (Al, B, Ca, Cr, Cu, Fe, K, Mg, Mn, Na, P, Pb, S, Sr, and Zn), and quality parameters (dry matter, fiber, fat, ash, nitrogen, and protein) were measured. At both sampling times (7 and 14 DAPI) in both hybrids, the corn smut infection reduced the photosynthetic pigments (relative chlorophyll, chlorophylls-a, and b, and carotenoids) irrespective of the spore concentration. Under the same conditions, the MDA and proline contents, as well as the activities of APX, POX, and SOD increased at both sampling times. The negative effects of the corn smut infection were also observed at the generative stage. Only the 10,000 sporidia/mL of corn smut caused symptoms (tumor growth) on the cobs of both hybrids at 21 DAPI. Similarly, this treatment impacted adversely the cob characteristics (reduced cob length, kernel weight, and 100 grains fresh and dry weight) for both hybrids. In addition, crude fat and protein content, Mg, and Mn concentration of grains also decreased in both hybrids while the concentration of Al and Ca increased. Based on these results, the sweet corn hybrids were more susceptible to corn smut at the vegetative stage than at the generative stage. Full article
(This article belongs to the Special Issue Plant Biotic and Abiotic Stresses)
Show Figures

Graphical abstract

9 pages, 538 KB  
Article
Anaerobic Storage Characteristics of Whole-Ear Corn and Stover
by Adam B. Hemmelgarn, Kevin J. Shinners, Aaron J. Timm and Matthew F. Digman
AgriEngineering 2023, 5(1), 173-181; https://doi.org/10.3390/agriengineering5010012 - 20 Jan 2023
Cited by 1 | Viewed by 2715
Abstract
Whole-plant corn has been previously investigated as a biomass feedstock. Current approaches are analogous to harvesting whole-plant corn for livestock feed or biogas production. They include utilizing a self-propelled forage harvester to harvest the plant as a bulk material and storing it anaerobically. [...] Read more.
Whole-plant corn has been previously investigated as a biomass feedstock. Current approaches are analogous to harvesting whole-plant corn for livestock feed or biogas production. They include utilizing a self-propelled forage harvester to harvest the plant as a bulk material and storing it anaerobically. This process leads to grain damage, reducing the marketability of the grain after fractionation. This work investigated a process that included harvesting and anaerobically storing whole-ear corn with corn stover as an alternative. Over two harvest seasons, dry matter losses, moisture content changes, and grain damage were assessed after anaerobic storage. Less than 3% grain damage was observed across all treatments. Stover moisture decreased by 3% to 7% wet basis. Depending on the harvest year (p < 0.001), grain moisture content increased by 7 to 10 percentage points wet basis (p = 0.012). Cob moisture increased by about four percentage points wet basis regardless of harvest year (p = 0.49). Dry matter losses for the overall treatment were less than 3% across both harvest seasons, but high variability was observed when reviewing the losses in the ear and stover fractions. Based on this work, whole ear storage should be considered where subsequent grain fractionation and the marketability of the grain fraction are a concern. Full article
(This article belongs to the Section Pre and Post-Harvest Engineering in Agriculture)
Show Figures

Figure 1

13 pages, 3596 KB  
Article
The Influence of Precision Dripping Irrigation System on the Phenology and Yield Indices of Sweet Maize Hybrids
by Árpád Illés, Atala Szabó, Seyed Mohammad Nasir Mousavi, Csaba Bojtor, Attila Vad, Endre Harsányi and Lúcia Sinka
Water 2022, 14(16), 2480; https://doi.org/10.3390/w14162480 - 12 Aug 2022
Cited by 10 | Viewed by 3138
Abstract
Sweet maize is an annual plant that is extremely useful and economical for planting and harvesting. However, maize stands are damaged quickly in the case of nutrient and water deficiency. This research was carried out under dripping irrigation conditions and control plots without [...] Read more.
Sweet maize is an annual plant that is extremely useful and economical for planting and harvesting. However, maize stands are damaged quickly in the case of nutrient and water deficiency. This research was carried out under dripping irrigation conditions and control plots without irrigation, involving seven different maize hybrids. The obtained results showed no existing variation in the dry matter content of cob (DMC) between the irrigated and non-irrigated treatments. Correlation analysis showed that increasing DMC causes decreasing moisture content of cob (MC) of sweet maize with irrigated and non-irrigated treatments. DMC and MC are important factors in the yield index on irrigation treatments. Biplots showed that the Dessert R72 (10.82) hybrid had maximum yield and effect on Brix/Abbe and Brix/Atago Pal-1, while the Messenger hybrids (42.96) had maximum effect on MC. It was also shown that DMC and MC are important factors in the yield index on irrigation treatments on hybrids. The Noa (37.97) and Honey hybrids (27.88) had minimum effect and performance on non-irrigation and irrigation treatments. The Messenger (11.25) and SF1379 hybrids (10.5) had a maximum performance on Brix Abbe and Brix Pal in the irrigation treatment and Dessert R78 (13.5), the Messenger hybrid (11.8) had a maximum performance on Brix/Abbe and Brix/Atago Pal-1 in non-irrigation treatment. The Dessert R78 (13.5) is the best-performing hybrid in terms of the yield of Brix/Abbe and Brix/Atago Pal-1 in the performed irrigation treatments. Full article
(This article belongs to the Special Issue Research on Irrigation Strategies for Sustainable Water Management)
Show Figures

Figure 1

18 pages, 3081 KB  
Article
The Effect of Polyethylene Film and Polypropylene Non-Woven Fabric Cover on Cobs Parameters and Nutritional Value of Two Sweet Maize (Zea mays L. var. saccharata Bailey) Hybrids
by Katarzyna Adamczewska-Sowińska, Józef Sowiński, Mirosław Anioł, Piotr Ochodzki and Roman Warzecha
Agronomy 2021, 11(3), 539; https://doi.org/10.3390/agronomy11030539 - 12 Mar 2021
Cited by 2 | Viewed by 3079
Abstract
In 2012–2014, at the Research and Didactic Station of the Department of Horticulture at Wroclaw University of Environmental and Life Sciences (51°19′06″ N, 17°03′49″ E), field studies were conducted to evaluate the responses of two sweet maize hybrids to sowing dates (early and [...] Read more.
In 2012–2014, at the Research and Didactic Station of the Department of Horticulture at Wroclaw University of Environmental and Life Sciences (51°19′06″ N, 17°03′49″ E), field studies were conducted to evaluate the responses of two sweet maize hybrids to sowing dates (early and optimum) and five methods of maize plant coverings—polyethylene film: perforated (PE), red (PER), green (PEG), polypropylene non-woven fabric (PP), and control (C), with non-irrigation systems. Total yield and morphological characteristics of cobs were compared. In 2012 soluble sugars and carotenoids content were measured. The use of maize cover at the beginning of growth (PE and PER) significantly influenced the number of rows, while PE and PEG increased the number of grains per cob. Covering maize sown at a later date, with polyethylene film and non-woven fabric, ensured better production effects than using such covers after earlier sowing. Signet F1 hybrid was charact0erized by significantly higher sugar content and Rustler F1 by higher lutein and zeaxanthin levels. The application of the optimum sowing date resulted in a significantly higher yield of cobs, by 11.3%, than after early sowing. The yield increase as a result of the applied covers was higher after sowing at a later date. The content of dry matter in grains was positively correlated with the content of sucrose, glucose, and fructose. The change in carotenoids content also depended on the accumulation of dry matter in the kernels. The study confirmed the correlation of sweet maize accumulated growing degree days (AGDD), and revealed dependence of grain quality on dry matter content in the grain. Full article
(This article belongs to the Section Horticultural and Floricultural Crops)
Show Figures

Figure 1

21 pages, 2473 KB  
Article
Effect of Harvesting Corn after Frost in Alberta (Canada) on Whole-Plant Yield, Nutritive Value, and Kernel Properties
by Jessie Guyader, Vern S. Baron and Karen A. Beauchemin
Agronomy 2021, 11(3), 459; https://doi.org/10.3390/agronomy11030459 - 1 Mar 2021
Cited by 5 | Viewed by 2615
Abstract
This study compares yield, nutritive value, and kernel properties of whole plant corn (WPC) harvested before and after a light frost in short growing season areas. Six corn hybrids grown in two years at three locations within Alberta (Canada) were harvested before or [...] Read more.
This study compares yield, nutritive value, and kernel properties of whole plant corn (WPC) harvested before and after a light frost in short growing season areas. Six corn hybrids grown in two years at three locations within Alberta (Canada) were harvested before or after the first frost. Samples of WPC were analyzed for dry matter (DM) content, neutral detergent fiber (NDF) concentration, starch concentration, and 48-h in vitro DM and NDF digestibility (DMD and NDFD, respectively). Cob samples were analyzed for DM, and kernels were analyzed for DM, hardness, particle size distribution, density, and stage of maturity. Delaying harvest to after frost increased DM content of WPC at all locations but exceeded the recommended range (32–38%) in the two warmest locations. Whatever the year and hybrid, DM yield was either not affected or decreased after frost. Postfrost harvest increased starch concentration and modified kernel characteristics only if these were less than expected before frost. Fiber concentration was not affected by harvesting time. Frost had either no impact or increased DMD or NDFD of WPC. We conclude that delaying harvest until after frost in short growing season areas can be beneficial when whole-plant DM content is low before frost. Full article
Show Figures

Figure 1

11 pages, 247 KB  
Article
Improving Nutritive Value of Purple Field Corn Residue and Rice Straw by Culturing with White-Rot Fungi
by Benjamad Khonkhaeng and Anusorn Cherdthong
J. Fungi 2020, 6(2), 69; https://doi.org/10.3390/jof6020069 - 21 May 2020
Cited by 40 | Viewed by 4962
Abstract
It was hypothesized that white-rot fungus fermented with rice straw and purple field corn improves nutrient utilization via enhanced digestibility and lowers methane (CH4) production due to the effects of the lovastatin compound. The aim of the current experiment was to [...] Read more.
It was hypothesized that white-rot fungus fermented with rice straw and purple field corn improves nutrient utilization via enhanced digestibility and lowers methane (CH4) production due to the effects of the lovastatin compound. The aim of the current experiment was to investigate the effect of inoculation of two fungi belonging to white-rot fungus type on feed value and ruminal fermentation characteristic. The experiment was carried out according to a completely randomized 3 × 3 factorial design: three roughage sources (rice straw, purple corn stover, and purple corn field cob) for three inoculation methods (untreated, P. ostreatus treated, and V. volvacea treated). The two fungi increased concentration of lovastatin when compared to the untreated, and P. ostreatus had higher lovastatin production potential than V. volvacea (p < 0.05). The yield of lovastatin was obtained from rice straw fermentation with P. ostreatus. The monomeric anthocyanin content (MAC) in untreated purple field corn cobs was higher than in the fermentation groups. Ruminal fermentation gas production from soluble fractions ranged from −2.47 to 1.14 and differed among the treatments (p < 0.01). In comparison to all treatments, the gas production rate for the insoluble fraction was significantly highest (p < 0.01) in treatment alone, in which purple field corn stover was fermented with P. ostreatus and V. volvacea. There was significant interaction in in vitro dry matter digestibility at 12 h of incubation. Purple field corn cob had a higher significant effect on in vitro DM digestibility at 12 and 24 h after incubation when compared to that of other groups. Moreover, current research has found that roughage fermented with P. ostreatus and V. volvacea increased in vitro DM digestibility at 24 h after incubation. Fermenting roughage with fungi did not affect rumen pH, which ranged from 6.60 to 6.91 (p > 0.05), while P. ostreatus resulted in increased levels of ruminal ammonia-nitrogen concentrations. Propionic acid increased in all roughages fermented with P. ostreatus or V. volvacea after 8 h of ruminal fermentation testing. The two fungi fermented as substrate treatments had significantly lower (p < 0.05) CH4 production. Based on the improved rumen DM digestibility and reduced CH4 production, P. ostreatus and V. volvacea could be utilized for enhancing feeding efficiency of roughage. Full article
21 pages, 642 KB  
Article
Effects of Non-Leguminous Cover Crops on Yield and Quality of Baby Corn (Zea mays L.) Grown under Subtropical Conditions
by Atinderpal Singh, Sanjit K. Deb, Sukhbir Singh, Parmodh Sharma and Jasjit S. Kang
Horticulturae 2020, 6(2), 21; https://doi.org/10.3390/horticulturae6020021 - 3 Apr 2020
Cited by 4 | Viewed by 5507
Abstract
Effects of non-leguminous cover crops and their times of chopping on the yield and quality of no-till baby corn (Zea mays L.) were evaluated during two kharif seasons (May-August in 2014 and 2015) under subtropical climatic conditions of Punjab, India. The experiment [...] Read more.
Effects of non-leguminous cover crops and their times of chopping on the yield and quality of no-till baby corn (Zea mays L.) were evaluated during two kharif seasons (May-August in 2014 and 2015) under subtropical climatic conditions of Punjab, India. The experiment was laid out in a split-plot design with four replications at Punjab Agricultural University’s Research Farm. Three cover crops (pearl millet (Pennisetum glaucum L.), fodder maize (Zea mays L.), and sorghum (Sorghum bicolor L.)) and the control (no cover crop) were in the main plots and chopping time treatments (25, 35, 45 days after planting (DAP)) in the subplots. During both kharif seasons, the yield (cob and fodder yield) and dry matter accumulation of baby corn following cover crop treatments, especially pearl millet, were significantly (p ≤ 0.05) higher than the control, and improved with increments in chopping time from 25 to 45 DAP. The effect of cover crops on baby corn quality (i.e., protein, starch, total soluble solids, crude fiber, total solid, and sugar content) did not differ among treatments, while increasing increments in chopping time had a significant effect on the protein and sugar content of baby corn. The use of cover crops and increment in chopping time helped in enhancing topsoil quality, especially available nitrogen; yet, the effect of cover crops and their times of chopping on topsoil organic carbon, phosphorus, and potassium did not differ among treatments. During both seasons, there was no significant interaction between cover crop and time of chopping among treatments with respect to baby corn yield and quality, as well as topsoil quality parameters. Full article
Show Figures

Figure 1

16 pages, 1430 KB  
Article
Milk Urea Concentration in Dairy Sheep: Accounting for Dietary Energy Concentration
by Valeria Giovanetti, Filippo Boe, Mauro Decandia, Giovanni Cristoforo Bomboi, Alberto Stanislao Atzori, Antonello Cannas and Giovanni Molle
Animals 2019, 9(12), 1118; https://doi.org/10.3390/ani9121118 - 11 Dec 2019
Cited by 13 | Viewed by 4068
Abstract
In dairy sheep milk urea concentration (MUC) is highly and positively correlated with dietary crude protein (CP) content and, to a lesser extent, with protein intake. However, the effect of dietary energy and carbohydrate sources on MUC of lactating ewes is not clear. [...] Read more.
In dairy sheep milk urea concentration (MUC) is highly and positively correlated with dietary crude protein (CP) content and, to a lesser extent, with protein intake. However, the effect of dietary energy and carbohydrate sources on MUC of lactating ewes is not clear. Thus, the objective of this study was to assess the effects of diets differing in energy concentration and carbohydrate sources on MUC values in lactating dairy ewes. Two experiments were conducted (experiment 1, E1, and experiment 2, E2) on Sarda ewes in mid and late lactation kept in metabolic cages for 23 d. In both experiments, homogeneous groups of five ewes were submitted to four (in E1) or three (in E2) dietary treatments, consisting of pelleted diets ranging from low energy (high-fiber diets: 1.2–1.4 Mcal of net energy for lactation (NEL)) to high energy (high-starch diets: 1.7–1.9 Mcal of NEL) contents, but with a similar CP concentration (18.4% dry matter (DM), on average). Each diet had a different main ingredient as follows: corn flakes, barley meal, beet pulp, or corn cobs in E1 and corn meal, dehydrated alfalfa, or soybean hulls in E2. Regression analysis using treatment means from both experiments showed that the best predictor of MUC (mg/100 mL) was the dietary NEL (Mcal/kg DM, MUC = 127.6 − 51.2 × NEL, R2 = 0.85, root of the mean squared error (rmse) = 4.36, p < 0.001) followed by the ratio CP/NEL (g/Mcal, MUC = −14.9 + 0.5 × CP/ NEL, R2 = 0.83, rmse = 4.63, p < 0.001). A meta-regression of an extended database on stall-fed dairy ewes, including the E1 and E2 experimental data (n = 44), confirmed the predictive value of the CP/ NEL ratio, which resulted as the best single predictor of MUC (MUC = −13.7 + 0.5 × CP/NEL, R2 = 0.93, rmse = 3.30, p < 0.001), followed by dietary CP concentration (MUC = −20.7 + 3.7 × CP, R2 = 0.82, rmse = 4.89, p < 0.001). This research highlights that dietary energy content plays a pivotal role in modulating the relationship between MUC and dietary CP concentration in dairy sheep. Full article
(This article belongs to the Special Issue Small Ruminant Nutrition and Metabolism)
Show Figures

Figure 1

25 pages, 580 KB  
Article
Corn Forage Yield and Quality for Silage in Short Growing Season Areas of the Canadian Prairies
by Jessie Guyader, Vern S. Baron and Karen A. Beauchemin
Agronomy 2018, 8(9), 164; https://doi.org/10.3390/agronomy8090164 - 27 Aug 2018
Cited by 96 | Viewed by 7703
Abstract
The development of short-season hybrids has made corn (Zea mays L.) silage (CS) production possible in cooler areas. This work aimed at determining biomass yield and nutritive quality of short-season corn CS hybrids. Six corn hybrids were grown in three years [...] Read more.
The development of short-season hybrids has made corn (Zea mays L.) silage (CS) production possible in cooler areas. This work aimed at determining biomass yield and nutritive quality of short-season corn CS hybrids. Six corn hybrids were grown in three years at four locations within the Canadian prairies with four field replications. Hybrids were harvested before occurrence of frost at a target dry matter (DM) content of 300 to 400 g kg−1. Corn heat units (CHU) from seeding to harvesting (CHUseed-harv) and water supply were recorded. Samples were analysed for nutrient content; i.e., DM, neutral detergent fiber (NDF), crude protein (CP), starch, and in vitro DM and NDF digestibilities (48 h incubation). Then, CHUseed-harv, water supply, whole plant DM, CHU rating of the hybrid, and cob percentage were assessed as predictors of nutrient content. Location, hybrid, and year affected nutrient composition and yield. Overall, CP and NDF were positively correlated (r = 0.48, p < 0.01), but both were negatively correlated with DM yield (r = −0.63, −0.28, p < 0.01) and starch (both r = 0.71, p < 0.01). Within and among locations, CHUseed-harv differently affected nutrient composition and DM yield. However, DM yield was the most predictable factor (R2 = 0.86) with CHUseed-harv being the strongest contributor (48%) to the overall variability, followed by water supply (23%). Whole plant DM and CHUseed-harv were also good predictors of starch (R2 = 0.54). This work showed the high variability of biomass yield and nutritive quality of short-season CS hybrids grown in Northern areas. Full article
Show Figures

Figure 1

12 pages, 331 KB  
Article
Ash Content and Calorific Energy of Corn Stover Components in Eastern Canada
by Pierre-Luc Lizotte, Philippe Savoie and Alain De Champlain
Energies 2015, 8(6), 4827-4838; https://doi.org/10.3390/en8064827 - 26 May 2015
Cited by 64 | Viewed by 9350
Abstract
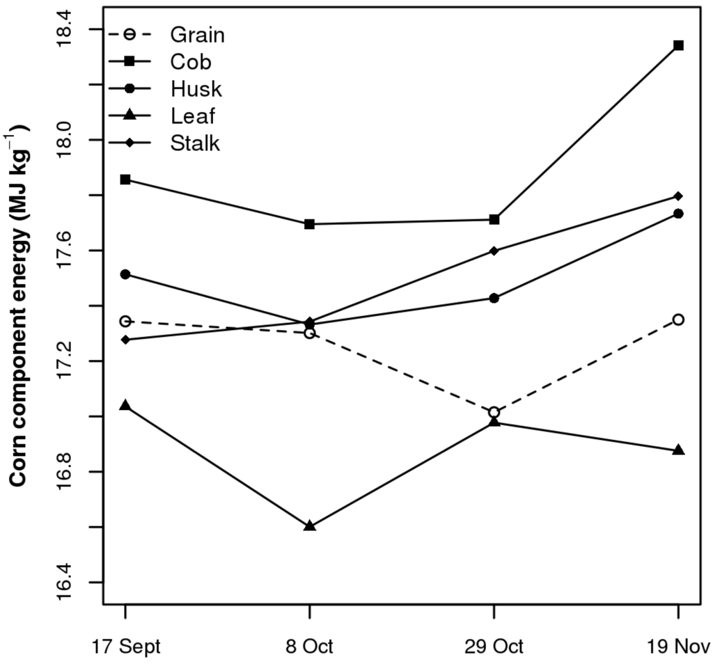
Corn stover is an abundant agricultural residue that could be used on the farm for heating and crop drying. Ash content and calorific energy of corn grain and six stover components were measured from standing plants during the grain maturing period, between mid-September [...] Read more.
Corn stover is an abundant agricultural residue that could be used on the farm for heating and crop drying. Ash content and calorific energy of corn grain and six stover components were measured from standing plants during the grain maturing period, between mid-September and mid-November. Ash of stover in standing corn averaged 4.8% in a cool crop heat unit zone (2300–2500 crop heat units (CHU)) and 7.3% in a warmer zone (2900–3100 CHU). The corn cob had the lowest ash content (average of 2.2%) while leaves had the highest content (from 7.7% to 12.6%). In the fall, ash content of mowed and raked stover varied between 5.5% and 11.7%. In the following spring, ash content of stover mowed, raked and baled in May averaged 3.6%. The cob and stalk located below the first ear contained the highest calorific energy with 17.72 MJ·kg−1. Leaves and grain had the lowest energy with an average of 16.99 MJ·kg−1. The stover heat of combustion was estimated at 17.47 MJ·kg−1 in the cool zone and 17.26 MJ·kg−1 in the warm zone. Based on presented results, a partial “cob and husk” harvest system would collect less energy per unit area than total stover harvest (44 vs. 156 GJ·ha−1) and less biomass (2.51 vs. 9.13 t·dry matter (DM)·ha−1) but the fuel quality would be considerably higher with a low ash-to-energy ratio (1.45 vs. 4.27 g·MJ−1). Full article
Show Figures

Figure 1

Back to TopTop