Sign in to use this feature.

Years

Between: -

Subjects

remove_circle_outline
remove_circle_outline
remove_circle_outline
remove_circle_outline
remove_circle_outline
remove_circle_outline
remove_circle_outline
remove_circle_outline
remove_circle_outline

Journals

Article Types

Countries / Regions

Search Results (61)

Search Parameters:
Keywords = drawdown operations

Order results
Result details
Results per page
Select all
Export citation of selected articles as:
19 pages, 3526 KB  
Article
The Impact of Water Wells Efficiency on Hydrogeological Parameters Assessment and Defect Identification
by Krzysztof Polak and Karolina Kaznowska-Opala
Water 2025, 17(22), 3293; https://doi.org/10.3390/w17223293 - 18 Nov 2025
Viewed by 533
Abstract
This article presents an analysis of the changes in hydrogeological parameters considering borehole efficiency. The first part presents the initial assumptions and methodology for determining hydraulic and hydrogeological parameters. Then, the results of parameter changes analysis are presented for 40 cases of water [...] Read more.
This article presents an analysis of the changes in hydrogeological parameters considering borehole efficiency. The first part presents the initial assumptions and methodology for determining hydraulic and hydrogeological parameters. Then, the results of parameter changes analysis are presented for 40 cases of water wells which have been occurring over several decades of their operation. The tested wells were drilled in porous aquifers—Quaternary and Neogene sands—as well as fissured aquifers—Cretaceous marls, Jurassic limestones and marls, and Triassic limestones and dolomites. They were divided into groups depending on the type of aquifer medium and the nature of the damage. Group 1 includes wells where water contamination occurred and where changes in hydraulic parameters suggested damage of a critical nature. Group 2 includes wells with a marked increase inflow resistance where advanced clogging was proposed. In Group 3, the changes were similar, but the extent was not as advanced. The efficiency curves analysis and step-drawdown test results made it possible to determine parameters such as hydraulic conductivity, penetration ratio, well-screen transmissivity and current critical well-yield. The calculation methodology used indicates the types and causes of damage and allows a preliminary assessment of the chance of rehabilitating the object in accordance with the principle of sustainable management of environmental resources and technical assets. Alternatively, it allows for the selection of more detailed or invasive diagnostic tests. Full article
(This article belongs to the Section Hydrogeology)
Show Figures

Figure 1

18 pages, 2012 KB  
Article
Gas-Powered Negative-Pressure Pump for Liquid Unloading in Underground Gas Storage
by Bing Leng, Xiangyu Meng, Mingtao Liu, Ruihui Hao, Guoyu Wang, Gang Wang, Pengfei Luo, Xiangji Dou, Haiyang He, Yiming Li and Ning Ni
Appl. Sci. 2025, 15(21), 11366; https://doi.org/10.3390/app152111366 - 23 Oct 2025
Viewed by 525
Abstract
The efficiency of liquid unloading in dewatering wells directly affects the performance of the Liaohe Ma-19 gas storage facility—the first strongly water-flooded depleted reservoir in China converted for storage use. However, existing hydraulic jet pumps often exhibit low liquid-removal efficiency and capacity mismatches [...] Read more.
The efficiency of liquid unloading in dewatering wells directly affects the performance of the Liaohe Ma-19 gas storage facility—the first strongly water-flooded depleted reservoir in China converted for storage use. However, existing hydraulic jet pumps often exhibit low liquid-removal efficiency and capacity mismatches with field operating conditions. To address these limitations, a gas-powered negative-pressure pump system was developed based on gas dynamics principles. Using a custom-built flow loop with injection pressures up to 10 MPa and flow rates of 500–1200 m3/h, the effects of backpressure, nozzle-to-throat area ratio, and formation pressure on pump performance were systematically investigated. The results indicate that an optimal nozzle-to-throat area ratio of 0.19 achieves critical gas velocity at the throat, maximizing the negative pressure effect. Compared with conventional hydraulic jet pumps, the gas-driven system reduces start-up pressure by 87% and increases pressure drawdown by over 50%, while eliminating post-shut-in liquid accumulation through the use of compressed gas as the power fluid. This study demonstrates that the proposed system offers an efficient and reliable artificial lift solution for liquid unloading in gas storage operations. Full article
(This article belongs to the Special Issue Sustainability and Challenges of Underground Gas Storage Engineering)
Show Figures

Figure 1

22 pages, 993 KB  
Article
Particle Filtering Estimation of Regime Switching Factor Model and Its Application in Statistical Arbitrage Strategy
by Yu Mu and Robert J. Frey
J. Risk Financial Manag. 2025, 18(10), 549; https://doi.org/10.3390/jrfm18100549 - 1 Oct 2025
Viewed by 1200
Abstract
Statistical factor models are widely applied across various domains of the financial industry, including risk management, portfolio selection, and statistical arbitrage strategies. However, conventional factor models often rely on unrealistic assumptions and fail to account for the fact that financial markets operate under [...] Read more.
Statistical factor models are widely applied across various domains of the financial industry, including risk management, portfolio selection, and statistical arbitrage strategies. However, conventional factor models often rely on unrealistic assumptions and fail to account for the fact that financial markets operate under multiple regimes. In this paper, we propose a regime-switching factor model estimated via a particle filtering algorithm, which is a Monte Carlo-based method well-suited for handling nonlinear and non-Gaussian systems. Our empirical results show that incorporating dynamic structure and a regime-switching mechanism significantly enhances the model’s ability to detect structure breaks and adapt to evolving market conditions. This leads to improved performance and reduced drawdowns in the equity statistical arbitrage strategies. Full article
(This article belongs to the Section Risk)
Show Figures

Figure 1

20 pages, 3818 KB  
Article
Seasonal Design Floods Estimated by Stationary and Nonstationary Flood Frequency Analysis Methods for Three Gorges Reservoir
by Bokai Sun, Shenglian Guo, Sirui Zhong, Xiaoya Wang and Na Li
Hydrology 2025, 12(10), 258; https://doi.org/10.3390/hydrology12100258 - 30 Sep 2025
Cited by 1 | Viewed by 1176
Abstract
Seasonal design floods and operational water levels are critical for high-efficient water resource utilization. In this study, statistical and rational analyses methods were applied to divide the flood season based on seasonal rainfall patterns. The Mann–Kendall test and Theil–Sen analysis were used to [...] Read more.
Seasonal design floods and operational water levels are critical for high-efficient water resource utilization. In this study, statistical and rational analyses methods were applied to divide the flood season based on seasonal rainfall patterns. The Mann–Kendall test and Theil–Sen analysis were used to detect trend changes in the observed flow series. Both stationary and nonstationary flood frequency analysis methods were conducted to estimate seasonal design floods. The Three Gorges Reservoir (TGR) in the Yangtze River, China, was selected as the case study. Results show that the TGR flood season could be divided into four periods: the reservoir drawdown period (1 May–20 June), the Meiyu flood period (21 June–31 July), the transition period (1 August–10 September), and the Autumn Rain refill period (11 September–31 October). Trend analyses indicate that the flow series at the TGR dam site exhibited a decreasing trend in recent decades. Upstream reservoir regulation has significantly reduced inflow discharges of TGR, and the nonstationary seasonal 1000-year design floods in the transition period are decreased by about 20%, and the flood control water level could rise from 145 m to 157 m, which can generate 2.288 billion kW h more hydropower (16.57% increase) while maintaining unchanged flood prevention standards. This study provides valuable insights into the TGR operational water level in the flood season and highlights the necessity of considering the regulation impact of upstream reservoirs for design floods and reservoir operational water levels. Full article
Show Figures

Figure 1

26 pages, 4865 KB  
Article
Field and Numerical Analysis of Downhole Mechanical Inflow Control Devices (ICD and AICD) for Mature Heavy Oil Fields
by Miguel Asuaje, Camilo Díaz, Nicolás Ratkovich, Andrés Pinilla and Ricardo Nieto
Processes 2025, 13(8), 2538; https://doi.org/10.3390/pr13082538 - 12 Aug 2025
Cited by 1 | Viewed by 1146
Abstract
The challenge of excess water production in mature heavy oil reservoirs presents significant environmental and economic concerns. This study evaluates the effectiveness of inflow control devices (ICDs) and autonomous inflow control devices (AICDs) for managing water production in heavy oil reservoirs with strong [...] Read more.
The challenge of excess water production in mature heavy oil reservoirs presents significant environmental and economic concerns. This study evaluates the effectiveness of inflow control devices (ICDs) and autonomous inflow control devices (AICDs) for managing water production in heavy oil reservoirs with strong aquifer drives. Our investigation comprises two field implementations and a computational fluid dynamics (CFD) study. In the first field implementation, both ICDs and AICDs achieved substantial water reduction (25% and 32%, respectively) compared to conventional slotted liner completions, with ICDs demonstrating superior oil production performance, extending well life by approximately 30% and doubling accumulated oil. The second field implementation featured rate-controlled production (RCP) devices, showing that two AICD wells together produced 60% more accumulated oil and 40% less water than a single conventional well, effectively relieving surface facility bottlenecks. Full 3D Navier–Stokes simulations for a third field implementation revealed that passive ICDs outperformed AICDs under specific draw-down and spacing conditions, challenging the industry preference for newer technologies. The study’s findings, which include quantifiable reductions in the carbon footprint associated with decreased power consumption, provide valuable insights for operators seeking to optimize water management while minimizing environmental impact, advancing the sustainable oil production practices aligned with UN Sustainable Development Goals 7 (Affordable and Clean Energy), 9 (Industry, Innovation and Infrastructure), and 13 (Climate Action). Full article
Show Figures

Figure 1

41 pages, 6841 KB  
Article
Distributionally Robust Multivariate Stochastic Cone Order Portfolio Optimization: Theory and Evidence from Borsa Istanbul
by Larissa Margerata Batrancea, Mehmet Ali Balcı, Ömer Akgüller and Lucian Gaban
Mathematics 2025, 13(15), 2473; https://doi.org/10.3390/math13152473 - 31 Jul 2025
Viewed by 2626
Abstract
We introduce a novel portfolio optimization framework—Distributionally Robust Multivariate Stochastic Cone Order (DR-MSCO)—which integrates partial orders on random vectors with Wasserstein-metric ambiguity sets and adaptive cone structures to model multivariate investor preferences under distributional uncertainty. Grounded in measure theory and convex analysis, DR-MSCO [...] Read more.
We introduce a novel portfolio optimization framework—Distributionally Robust Multivariate Stochastic Cone Order (DR-MSCO)—which integrates partial orders on random vectors with Wasserstein-metric ambiguity sets and adaptive cone structures to model multivariate investor preferences under distributional uncertainty. Grounded in measure theory and convex analysis, DR-MSCO employs data-driven cone selection calibrated to market regimes, along with coherent tail-risk operators that generalize Conditional Value-at-Risk to the multivariate setting. We derive a tractable second-order cone programming reformulation and demonstrate statistical consistency under empirical ambiguity sets. Empirically, we apply DR-MSCO to 23 Borsa Istanbul equities from 2021–2024, using a rolling estimation window and realistic transaction costs. Compared to classical mean–variance and standard distributionally robust benchmarks, DR-MSCO achieves higher overall and crisis-period Sharpe ratios (2.18 vs. 2.09 full sample; 0.95 vs. 0.69 during crises), reduces maximum drawdown by 10%, and yields endogenous diversification without exogenous constraints. Our results underscore the practical benefits of combining multivariate preference modeling with distributional robustness, offering institutional investors a tractable tool for resilient portfolio construction in volatile emerging markets. Full article
(This article belongs to the Special Issue Modern Trends in Mathematics, Probability and Statistics for Finance)
Show Figures

Figure 1

12 pages, 1497 KB  
Article
Deriving Implicit Optimal Operation Rules for Reservoirs Based on TgLSTM
by Ran He, Wenhao Jia and Zhengzhe Qian
Water 2025, 17(14), 2059; https://doi.org/10.3390/w17142059 - 10 Jul 2025
Viewed by 630
Abstract
With the continuous improvement of reservoir projects and the advancement of digital twin basin initiatives in China, rapidly and accurately generating long-term practical reservoir operation schedules has become a key priority for stakeholders. This study proposes a Theory-guided Long Short-Term Memory (TgLSTM) model [...] Read more.
With the continuous improvement of reservoir projects and the advancement of digital twin basin initiatives in China, rapidly and accurately generating long-term practical reservoir operation schedules has become a key priority for stakeholders. This study proposes a Theory-guided Long Short-Term Memory (TgLSTM) model to extract optimal reservoir operation rules accurately and reliably. Concretely, TgLSTM integrates data-fitting accuracy with the physical constraints of an operation, e.g., water level constraints and minimal discharge constraints, to address the low credibility often observed in conventional LSTM networks. Using the Three Gorges Reservoir during the dry season as a case study, a multi-year hydrological series optimized by particle swarm optimization (PSO) was used to train the TgLSTM network and derive optimized operation rules. Results show that TgLSTM efficiently generates operation schemes close to the theoretical optimum, achieving power generations of 4.27 × 1010 kW·h and 4.19 × 1010 kW·h in two test years, with deviations of only 4.20% and 2.33%, respectively. Compared to traditional LSTM models, TgLSTM is more reliable as it captures key operational characteristics such as terminal water levels and water level fluctuations, maintaining an average ten-day drawdown depth below 1.5 m—significantly lower than the 7 m fluctuations observed with conventional LSTM. Furthermore, comparative analyses against SwR, BP–ANN, and SVM confirm that TgLSTM offers a moderate performance in absolute metrics but is the best to simulate the constrained reservoir operation. Full article
Show Figures

Figure 1

19 pages, 3923 KB  
Article
Palygorskite as an Extender Agent in Light Cement Pastes for Oil Wells: Performance Analysis
by Rafael A. Ventura, José V. A. Carvalho, Raphael R. da Silva, Francisco G. H. S. Pinto, Júlio C. O. Freitas and Sibele B. C. Pergher
Minerals 2025, 15(6), 637; https://doi.org/10.3390/min15060637 - 11 Jun 2025
Cited by 1 | Viewed by 1006
Abstract
Cementing operations are among the most critical steps in oil-well construction. When performed improperly, the integrity and useful life of the well can be significantly compromised. Light cement pastes are used to cement formations with a low fracture gradient to ensure zonal isolation [...] Read more.
Cementing operations are among the most critical steps in oil-well construction. When performed improperly, the integrity and useful life of the well can be significantly compromised. Light cement pastes are used to cement formations with a low fracture gradient to ensure zonal isolation and maintain the integrity of the casing. Extenders are additives used to reduce the density of cement pastes, ensuring that the paste has desirable properties before and after setting. This work aimed to evaluate the application of palygorskite clay as an additive in lightweight cement pastes for oil wells, highlighting how its fibrous morphology influences the microstructure and enhances the macroscopic properties of the hardened cement matrix. For this, the clay sample was initially characterized regarding its physicochemical properties using X-ray diffraction (XRD), X-ray fluorescence (XRF), thermogravimetry (TG), textural analysis (BET/N2), and scanning electron microscopy (SEM). Lightweight pastes (1.56 g/cm3) were then formulated, varying the clay concentration by 1%, 3%, and 6% of the total mass. Cement pastes using bentonite were also formulated for comparison. Technological tests of atmospheric consistency, rheological behavior, free water, and stability were applied. It can be noted that the pastes formulated with palygorskite had lower viscosity, reflected in the reduced plastic viscosity and yield stress values, indicating easier flow behavior when compared with bentonite-based pastes. The pastes formulated with 6% palygorskite and 3% bentonite showed satisfactory stability and drawdown results. Therefore, applying palygorskite satisfies the minimum requirements for acting as an extending agent for lightweight cement pastes and is an option for application in oil-well cementing operations. Full article
Show Figures

Figure 1

22 pages, 4552 KB  
Article
Wellhead Stability During Development Process of Hydrate Reservoir in the Northern South China Sea: Sensitivity Analysis
by Qingchao Li, Qiang Li, Jingjuan Wu, Kaige He, Yifan Xia, Junyi Liu, Fuling Wang and Yuanfang Cheng
Processes 2025, 13(6), 1630; https://doi.org/10.3390/pr13061630 - 22 May 2025
Cited by 16 | Viewed by 1496
Abstract
Natural gas hydrates are a promising alternative energy source for oil and gas in the future. However, geomechanical issues, such as wellhead instability, may arise, affecting the safe and efficient development of hydrates. In the present work, a sensitivity analysis was performed on [...] Read more.
Natural gas hydrates are a promising alternative energy source for oil and gas in the future. However, geomechanical issues, such as wellhead instability, may arise, affecting the safe and efficient development of hydrates. In the present work, a sensitivity analysis was performed on sediment subsidence and wellhead instability during the development of marine hydrates using a multi-field coupled model. This is accomplished by adjusting the corresponding parameters based on the basic data of the default case. Meanwhile, the corresponding influencing mechanisms were explored. Finally, design recommendations for operation parameters were proposed based on the research findings regarding wellhead stability. It was found that the wellhead undergoes rapid sinking during a certain period in the early stage of hydrate development, followed by a slower, continued sinking. The sensitivity analysis found that when the depressurization amplitude is small, the wellhead sinking is also minimal. To maintain wellhead stability during the development process, it is recommended that neither the depressurization amplitude or drawdown pressure exceed 3.0 MPa. Although a high heating temperature can increase gas production to some extent, the accompanying excessive hydrate dissociation may compromise the stability of both the formation and wellhead. To balance gas production and wellhead stability, it is recommended that the heating amplitude does not exceed 50 °C. In addition, the permeability influences the distribution of pore pressure, which in turn affects sediment subsidence and wellbore stability. Wellhead stability deteriorates as permeability increases. Therefore, it is crucial to accurately determine the reservoir characteristics (such as permeability) before developing hydrates to avoid wellhead instability. Finally, the investigation results reveal that using different versions of the investigation model can impact the accuracy of the results, and neglecting certain physical fields may lead to an underestimation of the wellhead sinking. Full article
Show Figures

Figure 1

37 pages, 20031 KB  
Article
MODFLOW Application for Exploitable Groundwater Resource Assessment of the Zhem Artesian Basin Aquifer Complex, Kazakhstan
by Daniyar Serikovich Sapargaliyev, Yermek Zhamshitovich Murtazin, Vladimir Mirlas, Vladimir Alexandrovich Smolyar and Yaakov Anker
Appl. Sci. 2025, 15(10), 5443; https://doi.org/10.3390/app15105443 - 13 May 2025
Viewed by 1715
Abstract
Groundwater resources are becoming increasingly scarce, especially in arid regions of western Kazakhstan. By 2070, the domestic and drinking water demands will increase from 640 to 901 thousand m3/day. This deficiency may be overcome by utilizing the Zhem Artesian Basin’s Cretaceous [...] Read more.
Groundwater resources are becoming increasingly scarce, especially in arid regions of western Kazakhstan. By 2070, the domestic and drinking water demands will increase from 640 to 901 thousand m3/day. This deficiency may be overcome by utilizing the Zhem Artesian Basin’s Cretaceous Albian–Cenomanian aquifer complex. The hydrodynamic interactions between the 123 known aquifer segments and recharge zones of these promising, exploitable, high-quality groundwater sources are unclear. While MODFLOW is a nominal platform for groundwater flow assessment, which is usually used for the simulation of simple hydrological scenarios, in this study, integrating several different scales and functional modules over a GIS platform enabled delineation and the forecast of this multi-layer aquifer complex. The MODFLOW simulation assessed exploitable groundwater resources and reservoir interactions, enabling the establishment of a simultaneous operation to the Zhem aquifer complex and its neighboring reservoirs. The model suggests that the total exploitable groundwater resources may grow to 629.4 thousand m3/day during the next 50 years. The simultaneous drawdown model suggests a water level decrease of up to 80 m at the end of this period, which will cause a river flow reduction of approximately 6% of the average long-term river flow. Thus, the assessed exploitable groundwater resources will cover more than 70% of the future regional water demand. The mathematical model developed may be used for monitoring and forecasting groundwater head and water balance changes and may be applied to attain a more detailed groundwater resource transfer scheme with economic criteria. Full article
Show Figures

Figure 1

22 pages, 2286 KB  
Article
Reducing Carbon Emissions: A Multi-Objective Approach to the Hydropower Operation of Mega Reservoirs
by Qi Luo, Yuxuan Luo, Yanlai Zhou, Di Zhu, Fi-John Chang and Chong-Yu Xu
Sustainability 2025, 17(6), 2770; https://doi.org/10.3390/su17062770 - 20 Mar 2025
Cited by 3 | Viewed by 1169
Abstract
Optimizing the joint drawdown operation of mega reservoirs presents a significant opportunity to enhance the comprehensive benefits among hydropower output, water release, and carbon emission reduction. However, achieving the complementary drawdown operation of mega reservoirs while considering reservoir carbon emissions poses a notable [...] Read more.
Optimizing the joint drawdown operation of mega reservoirs presents a significant opportunity to enhance the comprehensive benefits among hydropower output, water release, and carbon emission reduction. However, achieving the complementary drawdown operation of mega reservoirs while considering reservoir carbon emissions poses a notable challenge. In this context, this study introduces an innovative multi-objective optimization framework tailored for the joint drawdown operation of mega reservoirs. Firstly, a multi-objective optimization model, leveraging an intelligent evolutionary algorithm, is developed to minimize reservoir carbon emissions (Objective 1), maximize hydropower output (Objective 2), and maximize water release (Objective 3). Subsequently, a multi-criteria decision-making approach to search for the optimal scheme is employed. The proposed framework is applied to seven mega reservoirs within the Hanjiang River basin, China. The results show that the framework is effective in promoting comprehensive benefits, improving hydropower production by 8.3%, reservoir carbon emission reduction by 5.6%, and water release by 6.2% from the optimal solution under wet scenarios, compared to standard operation policies. This study not only provides a fresh perspective on the multi-objective drawdown operation of mega reservoirs but also offers valuable support to stakeholders and decision-makers in formulating viable strategic recommendations that take potential carbon emissions and advantages into account. Full article
(This article belongs to the Section Sustainable Management)
Show Figures

Figure 1

17 pages, 5159 KB  
Article
The Role of the Heterogeneity of Volcanic Aquifer Properties in Assessing Sustainable Well Yield: Study Cases from Latium (Central Italy)
by Chiara Sbarbati, Matteo Paoletti and Vincenzo Piscopo
Water 2025, 17(3), 409; https://doi.org/10.3390/w17030409 - 1 Feb 2025
Viewed by 1232
Abstract
Groundwater resources from the volcanic aquifers of northern Latium (central Italy) are widely used to supply local water needs and are mainly captured through wells. Nevertheless, despite the detailed hydrogeological knowledge of these aquifers, not enough information is available on the long-term pumping [...] Read more.
Groundwater resources from the volcanic aquifers of northern Latium (central Italy) are widely used to supply local water needs and are mainly captured through wells. Nevertheless, despite the detailed hydrogeological knowledge of these aquifers, not enough information is available on the long-term pumping yield necessary to define the sustainable yield of a well. In this study, data from about 230 pumping tests (mainly step-drawdown and a few constant-flow-rate tests) performed in the volcanic aquifers of the Latium region were analyzed. Specifically, the aquifer formations intercepted by the wells are the fall and flow pyroclastic deposits of the Vico, Vulsini, and Sabatini volcanic districts; lava from the Vico, Cimino, and Vulsini volcanic districts; and Ignimbrite Cimina, one of the main pyroclastic products of the Cimino eruptions. These aquifers were grouped and analyzed by considering the type of permeability, hydrostratigraphic succession, and frequency and thickness of the aquifer horizons intercepted by wells. The results obtained in terms of specific capacity and transmissivity values are comparable among the identified different aquifer formations, showing a good correlation between the two parameters, a strong hydraulic heterogeneity (variability within five orders of magnitude), and variable responses regarding drawdown to pumping. This study highlights that the analysis of drawdown over time at a constant flow is fundamental in heterogeneous hydrogeological environments such as volcanic ones, where the trend in drawdown is often affected by the reduced spatial continuity of the most productive aquifer formations. Knowledge of the trend in drawdown over time, the thickness of the aquifer intercepted by the well, and the operating time of the well is an essential element in defining the sustainable yield of a well. Full article
Show Figures

Figure 1

14 pages, 3706 KB  
Article
The Characterization of Aquifer Parameters in Using Skimming Tubewells Through the Pumping Test Method: A Case Study of Tando Allahyar
by Xiufang Yang, Muhammad Uris Mirjat, Abdullah Baloch, Mashooque Ali Talpur, Shafi Muhammad Kori, Rajesh Kumar Soothar, Sher Ali Shaikh, Irshad Ali Mari and Farman Ali Chandio
Water 2024, 16(22), 3180; https://doi.org/10.3390/w16223180 - 6 Nov 2024
Viewed by 1780
Abstract
Sindh is in the lower reaches of the Indus River; it is most vulnerable to a variety of upstream water development challenges. The aim of this research was to determine aquifer characteristics in the command area of Tando Allahyar-II distributary within the culmination [...] Read more.
Sindh is in the lower reaches of the Indus River; it is most vulnerable to a variety of upstream water development challenges. The aim of this research was to determine aquifer characteristics in the command area of Tando Allahyar-II distributary within the culmination of underground water potential. The hydraulic properties of the aquifer as well as the susceptibility of the formation to tedious extraction and saltwater upcoming were recognized. Three pumping tests were performed at head, middle, and tail reaches along the selected distributary. The drawdowns were measured at head reach (5.1667 h), at middle reach (6.0 h), and at tail reach (19.667 h) of the selected distributary by performing the pumping tests. Groundwater levels were lower at the tail reach compared to those at the head and middle reaches, likely due to a higher concentration of tubewells in the lower reach. The head and middle reaches showed higher groundwater levels, possibly due to constant head conditions promoting infiltration and recharge. The pumping test versus drawdown analysis revealed that the tubewells should be run with 7-h (on) and 4-h (off) operation. Further, the tubewells at all reaches (head, middle, and tail) should be closed for a minimum of 4 h between operations. This strategy would allow safe groundwater extraction, maintain water quality, and prevent water table depletion in the study area. The hydrodynamic and hydro-salinity behaviors were scrutinized in PWMIN 5.3 (version) by means of the MODFLOW mode. The results were estimated to compare the calibration and validation simulation outcomes using measured data. The model was successfully calibrated, and the root mean square (RMS) value of the head tubewell varied between 0.024 and 0.108, whereas it speckled between 0.0166 and 0.0349 for the middle tubewell and between 0.0659 and 0.0069 for the tail tubewell. The RMS values for hydrodynamic behavior for the head, middle, and tail reaches were less than 10%. These values represent a suitable match between the observed and simulated heads when a water table depletion of 1 to 2 m was observed due to extreme pumping. However, the average relative error values, for all validated procedures, were less than 10%. Full article
(This article belongs to the Special Issue Soil and Groundwater Quality and Resources Assessment)
Show Figures

Figure 1

42 pages, 20876 KB  
Article
Validating a Calibrated Model of a Groundwater Pump-And-Treat System Using Robust Multiple Regression
by Michael Rush, Leslie Gains-Germain, Lauren M. Foster and Tom Stockton
Water 2024, 16(22), 3178; https://doi.org/10.3390/w16223178 - 6 Nov 2024
Viewed by 1624
Abstract
Validation of groundwater models is relatively challenging due to the need to reserve scarce water level data for calibration targets. In addition, traditional statistical validation metrics are unintuitive for non-technical audiences and do not directly identify model behaviors that require further refinement. We [...] Read more.
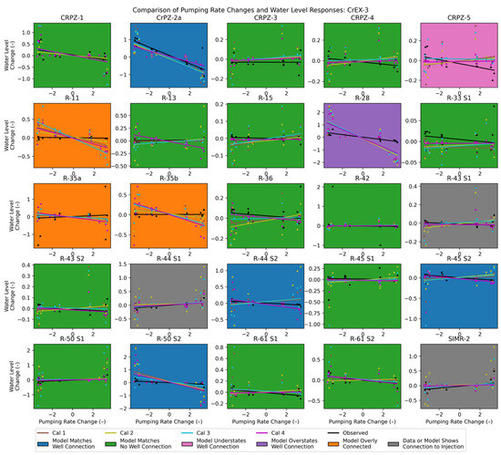
Validation of groundwater models is relatively challenging due to the need to reserve scarce water level data for calibration targets. In addition, traditional statistical validation metrics are unintuitive for non-technical audiences and do not directly identify model behaviors that require further refinement. We developed a novel model validation method that analyzes rate change events at pump-and-treat wells and statistically compares the water level responses at nearby monitoring wells between the data and model. The method takes advantage of events that occur alongside ambient pumping, unlike parameter estimation techniques that require independent drawdown or recovery events. The ability of the model to match well connections that are evident (or not evident) in the observations is characterized statistically, leading to four decision scenarios: model matches the observed connection (1) or lack thereof (2), model exhibits a connection that is not observed (3), or model over- or understates the observed connection (4). The method is applied to an FEHM-based groundwater flow and transport model that is shown to match 84.5% of the well connections analyzed. The method provides novel perspectives on the influence of calibration targets on the flow field and suggests that although the overall effect of drawdown targets was to improve the model, the choice of target well pairs creates flow pathways that may be inconsequential during normal operational conditions. The model adequately matches the flow over short spatial scales (<800 m) and over-represents the flow over greater distances (300–1200 m), suggesting the need for “null” drawdown targets in subsequent rounds of calibration. Full article
(This article belongs to the Section Hydrogeology)
Show Figures

Figure 1

12 pages, 3406 KB  
Article
Analysis of Changes in the Stress–Strain State and Permeability of a Terrigenous Reservoir Based on a Numerical Model of the Near-Well Zone with Casing and Perforation Channels
by Sergey Chernyshov, Sergey Popov, Xiaopu Wang, Vadim Derendyaev, Yongfei Yang and Huajie Liu
Appl. Sci. 2024, 14(21), 9993; https://doi.org/10.3390/app14219993 - 1 Nov 2024
Cited by 7 | Viewed by 1361
Abstract
A finite element model, which includes reservoir rock, cement stone, casing, and perforation channels, was developed. The purpose of the study is to create a geomechanical model of the zone around the well, which includes support elements and perforation channels. This model will [...] Read more.
A finite element model, which includes reservoir rock, cement stone, casing, and perforation channels, was developed. The purpose of the study is to create a geomechanical model of the zone around the well, which includes support elements and perforation channels. This model will help predict changes in the productivity coefficient of a terrigenous reservoir and determine the most efficient mode of operation of a producing well. In order to exclude the stress concentration within the casing–cement stone and cement stone–rock, the numerical model applies contact elements. As a result, structural elements slip, while the stresses are redistributed accurately. The numerical simulation of a stress state in the near-well zone was carried out by using the developed model with differential pressure drawdown on the terrigenous reservoir, one of the oil fields in the Perm region. It is shown that the safety factor of the casing reaches roughly 3–4 units. The only exceptions are the upper and lower parts of the perforations, where this parameter is close to one unit. The safety factor of cement stone accounts for 2–3 units. However, parts with its lowest value (1.35) are also concentrated near the perforation channels. In order to analyze the change in permeability, the dependence of the safety factor on effective stresses was taken into account. Therefore, it was found that, in the upper and lower parts of perforations, the stresses decreased, while permeability rose by up to 20% of the initial value. An increase in differential pressure drawdown, on the contrary, can lead to a permeability reduction of 25%, especially in the lateral parts of the perforations. Areas of rock destruction under tensile and compressive forces were identified by using the Mohr–Coulomb criterion. It is estimated that with an increase in pressure drawdown, the areas of rock destruction under tensile force disappear, while the areas of rock destruction under compression increase. After further analysis, it was found that, with the maximum pressure drawdown of 12 MPa, the well productivity index can decrease by 15% due to the reservoir rock compaction. Full article
(This article belongs to the Topic Petroleum and Gas Engineering)
Show Figures

Figure 1

Back to TopTop