Sign in to use this feature.

Years

Between: -

Subjects

remove_circle_outline
remove_circle_outline
remove_circle_outline
remove_circle_outline
remove_circle_outline
remove_circle_outline
remove_circle_outline
remove_circle_outline
remove_circle_outline

Journals

Article Types

Countries / Regions

Search Results (18)

Search Parameters:
Keywords = double parallel cracks

Order results
Result details
Results per page
Select all
Export citation of selected articles as:
29 pages, 15877 KB  
Article
Fracture Evolution in Rocks with a Hole and Symmetric Edge Cracks Under Biaxial Compression: An Experimental and Numerical Study
by Daobing Zhang, Linhai Zeng, Shurong Guo, Zhiping Chen, Jiahua Zhang, Xianyong Jiang, Futian Zhang and Anmin Jiang
Mathematics 2025, 13(24), 4035; https://doi.org/10.3390/math13244035 - 18 Dec 2025
Cited by 1 | Viewed by 310
Abstract
This study employs physical experiments and the RFPA3D numerical method to investigate the fracture evolution of rocks containing a central hole with symmetrically arranged double cracks (seven inclination angles β) under biaxial compression. The results demonstrate that peak stress and strain exhibit [...] Read more.
This study employs physical experiments and the RFPA3D numerical method to investigate the fracture evolution of rocks containing a central hole with symmetrically arranged double cracks (seven inclination angles β) under biaxial compression. The results demonstrate that peak stress and strain exhibit nonlinear increases with rising β. Tensile–shear failure dominates at lower angles (β = 0–60°), characterized by secondary crack initiation at defect tips and wing/anti-wing crack development at intermediate angles (β = 45–60°). At higher angles (β = 75–90°), shear failure prevails, governed by crack propagation along hole walls. When β exceeds 45°, enhanced normal stress on crack planes suppresses mode II propagation and secondary crack formation. Elevated lateral pressures (15–20 MPa) significantly alter failure patterns by redirecting the maximum principal stress, causing cracks to align parallel to this orientation and driving anti-wing cracks toward specimen boundaries. Three-dimensional analysis reveals critical differences between internal and surface fracture propagation, highlighting how penetrating cracks around the hole crucially impact stability. This study provides valuable insights into complex fracture mechanisms in defective rock masses, offering practical guidance for stability assessment in underground mining operations where such composite defects commonly occur. Full article
Show Figures

Figure 1

18 pages, 9623 KB  
Article
Study on Multi-Crack Damage Evolution and Fatigue Life of Corroded Steel Wires Inside In-Service Bridge Suspenders
by Luming Deng and Yulin Deng
Appl. Sci. 2024, 14(20), 9596; https://doi.org/10.3390/app14209596 - 21 Oct 2024
Cited by 4 | Viewed by 2056
Abstract
The parallel steel wires used in arch bridge suspenders experience random corrosion damage on their surfaces during service. Corrosion damage, including micro-cracks, pitting, and a combination of both, leads to significant stress concentration under axial loading, which affects the performance of the steel [...] Read more.
The parallel steel wires used in arch bridge suspenders experience random corrosion damage on their surfaces during service. Corrosion damage, including micro-cracks, pitting, and a combination of both, leads to significant stress concentration under axial loading, which affects the performance of the steel wires. The change in the stress field caused by surface damage alters the stress intensity factor at the crack tip, and the presence of adjacent crack tips significantly amplifies the stress intensity factor, thereby accelerating crack propagation. The development of small surface damages in the steel wires is difficult to control and observe through experiments. By utilizing finite element methods for simulation, it is possible to intuitively analyze the crack propagation process, the trend of stress changes at the crack tip, and the interaction between damages. Numerical simulation results based on Paris’ law indicate that corrosion pits have a certain impact on the stress intensity factor at the crack tip. The propagation process of coplanar double cracks is highly sensitive to the initial crack size and the distance between adjacent crack tips. When the crack spacing is less than the crack depth, the stress intensity factor at the adjacent crack tips exhibits significant amplification. Based on this phenomenon, the coplanar double-crack system can be simplified to a complete single crack for analysis. By comparing the fatigue life of the double-crack system with that of the equivalent single crack, the effectiveness of the simplification rule has been validated. Full article
(This article belongs to the Special Issue Construction Materials: Characterization, Structure and Durability)
Show Figures

Figure 1

21 pages, 18028 KB  
Article
Mechanical Properties and DEM-Based Simulation of Double-Fractured Sandstone Under Cyclic Loading and Unloading
by Lichen Sun, Peijie Lou, Cheng Pan and Penghui Ji
Sustainability 2024, 16(20), 9000; https://doi.org/10.3390/su16209000 - 17 Oct 2024
Cited by 6 | Viewed by 1762
Abstract
In response to the challenges posed by long-term cyclic loading and unloading in underground rock engineering, this study systematically investigates the macro- and meso-mechanical response mechanisms of fractured rock masses under cyclic loading conditions. We performed graded cyclic loading–unloading tests on parallel double-fractured [...] Read more.
In response to the challenges posed by long-term cyclic loading and unloading in underground rock engineering, this study systematically investigates the macro- and meso-mechanical response mechanisms of fractured rock masses under cyclic loading conditions. We performed graded cyclic loading–unloading tests on parallel double-fractured sandstone samples with varying spatial distribution configurations. These tests were integrated with digital image correlation (DIC) technology, fractal dimension analysis, and discrete element method (DEM) numerical simulations to analyze the mechanical properties, deformation characteristics, crack propagation features, and meso-fracture mechanisms of the fractured rock masses. The findings indicate that the diverse spatial distribution characteristics of the double fractures exert a significant influence on the loading–unloading processes, surface deformation fields, and fracture states of the rock. Cyclic loading leads to an increase in the fractal dimension of the fractured samples, resulting in more intricate and chaotic crack propagation patterns. Furthermore, DEM simulations reveal the impact of fracture spatial configurations on the force chain distribution within the rock bridges. The equivalent stress nephogram effectively represents the stress field distribution. This offers valuable insights for predicting meso-fracture trends in rocks. This paper comprehensively integrates both experimental and numerical simulation methodologies to deliver a thorough analysis of the complex mechanical behavior of fractured rock masses under cyclic loading conditions, with direct relevance to engineering applications such as mine excavation and slope stabilization. Full article
(This article belongs to the Section Sustainable Engineering and Science)
Show Figures

Figure 1

15 pages, 10942 KB  
Article
Calculation of Stress Intensity Factor for Annular Double Cracks on Inner Surface of Pipeline
by Jintai Cui, Huifang Li, Zhiwei Wu and Caifu Qian
Coatings 2024, 14(6), 744; https://doi.org/10.3390/coatings14060744 - 12 Jun 2024
Cited by 3 | Viewed by 1379
Abstract
Cracks in engineered pipelines often appear in the form of multiple cracks or crack clusters with interactions between them. It is important to study the interaction between cracks if the pipeline crack cluster is to be evaluated in terms of equivalence and safety [...] Read more.
Cracks in engineered pipelines often appear in the form of multiple cracks or crack clusters with interactions between them. It is important to study the interaction between cracks if the pipeline crack cluster is to be evaluated in terms of equivalence and safety assessment. In this paper, based on FRANC3D crack analysis software, the interaction between circumferential parallel double cracks on the inner surface of pipelines was investigated, the factors affecting the interaction were examined, and the empirical equations for calculating the stress intensity factor (SIF) of double cracks was proposed. The results show that if there is no bias between the double cracks, the crack leading edge is shielded, but if there is offset between the double cracks, the crack leading edge is subjected to different interactions at different locations. The distal end of the cracks is generally strengthened, while the proximal end of the cracks is probably more shielded. The interaction effects between cracks are dependent on their relative positions rather than the pipe size or concerned crack size. According to the numerical simulation, boundaries for shielding or enhancing interactions were obtained, and the stress intensity factor calculation equations were fitted. Full article
Show Figures

Figure 1

22 pages, 4484 KB  
Article
Research on the Application and Performance Optimization of GPU Parallel Computing in Concrete Temperature Control Simulation
by Xuerui Zheng, Jiping Jin, Yajun Wang, Min Yuan and Sheng Qiang
Buildings 2023, 13(10), 2657; https://doi.org/10.3390/buildings13102657 - 21 Oct 2023
Cited by 3 | Viewed by 2905
Abstract
With the development of engineering technology, engineering has higher requirements for the accuracy and the scale of simulation calculation. The computational efficiency of traditional serial programs cannot meet the requirements of engineering. Therefore, reducing the calculation time of the temperature control simulation program [...] Read more.
With the development of engineering technology, engineering has higher requirements for the accuracy and the scale of simulation calculation. The computational efficiency of traditional serial programs cannot meet the requirements of engineering. Therefore, reducing the calculation time of the temperature control simulation program has important engineering significance for real-time simulation of temperature field and stress field, and then adopting more reasonable temperature control and crack prevention measures. GPU parallel computing is introduced into the temperature control simulation program of massive concrete to solve this problem and the optimization is carried out. Considering factors such as GPU clock rate, number of cores, parallel overhead and Parallel Region, the improved GPU parallel algorithm analysis indicator formula is proposed. It makes up for the shortcomings of traditional formulas that focus only on time. According to this formula, when there are enough threads, the parallel effect is limited by the size of the parallel domain, and when the parallel domain is large enough, the efficiency is limited by the parallel overhead and the clock rate. This paper studies the optimal Kernel execution configuration. Shared memory is utilized to improve memory access efficiency by 155%. After solving the problem of bank conflicts, an accelerate rate of 437.5× was realized in the subroutine of the matrix transpose of the solver. The asynchronous parallel of data access and logical operation is realized on GPU by using CUDA Stream, which can overlap part of the data access time. On the basis of GPU parallelism, asynchronous parallelism can double the computing efficiency. Compared with the serial program, the accelerate rate of inner product matrix multiplication of the GPU asynchronous parallel program is 61.42×. This study further proposed a theoretical formula of data access overlap rate to guide the selection of the number of CUDA streams to achieve the optimal computing conditions. The GPU parallel program compiled and optimized by the CUDA Fortran platform can effectively improve the computational efficiency of the simulation program for concrete temperature control, and better serve engineering computing. Full article
(This article belongs to the Special Issue Application of Computer Technology in Buildings)
Show Figures

Figure 1

13 pages, 3833 KB  
Article
Enhanced Rupture Force in a Cut-Dispersed Double-Network Hydrogel
by Shilei Zhu, Dongdong Yan, Lin Chen, Yan Wang, Fengbo Zhu, Yanan Ye, Yong Zheng, Wenwen Yu and Qiang Zheng
Gels 2023, 9(2), 158; https://doi.org/10.3390/gels9020158 - 16 Feb 2023
Cited by 2 | Viewed by 2781
Abstract
The Kirigami approach is an effective way to realize controllable deformation of intelligent materials via introducing cuts into bulk materials. For materials ranging from ordinary stiff materials such as glass, ceramics, and metals to soft materials, including ordinary hydrogels and elastomers, all of [...] Read more.
The Kirigami approach is an effective way to realize controllable deformation of intelligent materials via introducing cuts into bulk materials. For materials ranging from ordinary stiff materials such as glass, ceramics, and metals to soft materials, including ordinary hydrogels and elastomers, all of them are all sensitive to the presence of cuts, which usually act as defects to deteriorate mechanical properties. Herein, we study the influence of the cuts on the mechanical properties by introducing “dispersed macro-scale cuts” into a model tough double network (DN) hydrogel (named D-cut gel), which consists of a rigid and brittle first network and a ductile stretchable second network. For comparison, DN gels with “continuous cuts” having the same number of interconnected cuts (named C-cut gel) were chosen. The fracture tests of D-cut gel and C-cut gel with different cut patterns were performed. The fracture observation revealed that crack blunting occurred at each cut tip, and a large wrinkle-like zone was formed where the wrinkles were parallel to the propagation direction of the cut. By utilizing homemade circular polarizing optical systems, we found that introducing dispersed cuts increases the rupture force by homogenizing the stress around the crack tip surrounding every cut, which reduces stress concentration in one certain cut. We believe this work reveals the fracture mechanism of tough soft materials with a kirigami cut structure, which should guide the design of advanced soft and tough materials along this line. Full article
(This article belongs to the Special Issue Properties and Structure of Hydrogel-Related Materials)
Show Figures

Graphical abstract

21 pages, 7736 KB  
Article
Heat Conduction and Cracking of Functionally Graded Materials Using an FDEM-Based Thermo-Mechanical Coupling Model
by Du Han, Hongwei Fan, Chengzeng Yan, Tie Wang, Yu Yang, Sajid Ali and Gang Wang
Appl. Sci. 2022, 12(23), 12279; https://doi.org/10.3390/app122312279 - 30 Nov 2022
Cited by 15 | Viewed by 3273
Abstract
In this paper, the steady-state and transient heat transfer processes of functionally graded materials (FGMs) are analyzed using a coupled thermo-mechanical model in a GPU parallel multiphysics finite–discrete element software, namely MultiFracS. First, the coupled model to handle the heat transfer problem of [...] Read more.
In this paper, the steady-state and transient heat transfer processes of functionally graded materials (FGMs) are analyzed using a coupled thermo-mechanical model in a GPU parallel multiphysics finite–discrete element software, namely MultiFracS. First, the coupled model to handle the heat transfer problem of heterogeneous materials is verified. Then, the advantages and disadvantages of FGMs and composite materials in response to thermal shock loads are compared and the results indicate that FGMs can overcome extreme environments better than composite materials. Finally, the influence of the geometric distribution characteristics of the double-edge cracks in the gradient material plate on the crack propagation is analyzed. The simulation results show that the interaction between the cracks affects the crack propagation path under the thermal load. The inclination angle and spacing of double-edge cracks greatly influence crack propagation. Specifically, a larger inclination angle and spacing can lead to a smaller crack propagation angle. The approach in this paper provides a new quantitative tool for investigating the thermal, elastic, and cracking of functionally graded materials. Full article
(This article belongs to the Special Issue Multiphysics Modeling for Fracture and Fragmentation of Geomaterials)
Show Figures

Figure 1

26 pages, 22212 KB  
Article
Characterizing the Tensile Behavior of Double Wire-Feed Electron Beam Additive Manufactured “Copper–Steel” Using Digital Image Correlation
by Vladimir Kibitkin, Andrey Vorontsov, Kseniya Osipovich, Nikolay Shamarin, Andrey Chumaevskii, Valery Rubtsov, Evgeny Moskvichev, Nickolai Savchenko and Evgeny Kolubaev
Metals 2022, 12(11), 1797; https://doi.org/10.3390/met12111797 - 24 Oct 2022
Cited by 6 | Viewed by 2098
Abstract
The paper presents the results of the evaluation of the mechanical characteristics of samples of multi-metal “copper-steel” structures fabricated by additive double wire electron beam method. The global and local mechanical characteristics were evaluated using uniaxial tensile tests and full-field two-dimensional digital image [...] Read more.
The paper presents the results of the evaluation of the mechanical characteristics of samples of multi-metal “copper-steel” structures fabricated by additive double wire electron beam method. The global and local mechanical characteristics were evaluated using uniaxial tensile tests and full-field two-dimensional digital image correlation (DIC) method. DIC revealed the peculiarities of the fracture stages: at the first stage (0.02<ε0.08) the formation of V-shaped shear lines occurs; at the second stage (0.08<ε0.15) transverse shear lines lead to the formation of a block structure; at the third stage (0.15<ε0.21) the plasticity resource ends in the central part of the two necks cracks are formed, and the main crack is the cause of the fracture of the joint. It is found that shear lines are formed first in copper and then propagate to steel. Electron microscopy proves that uniformly distributed iron particles could always be found in the “Fe-Cu” and “Cu-Fe” interfaces. Additionally, the evolution of average strain rates and standard deviations were measured (calculated) in the regions of necks in copper and steel regions. New shear approach shows that the most of angles for parallel shears components are ±45°, rupture angles are about 0°, and combined account of these two types of shears provides us additional discrete angles. Full article
Show Figures

Figure 1

16 pages, 21284 KB  
Article
Analysis of Acoustic Emission Characteristics and Failure Mode of Deep Surrounding Rock of Sanshandao Gold Mine
by Guang Li, Rong Lu, Fengshan Ma and Jie Guo
Int. J. Environ. Res. Public Health 2022, 19(20), 13351; https://doi.org/10.3390/ijerph192013351 - 16 Oct 2022
Cited by 6 | Viewed by 2432
Abstract
In mining engineering, crack distribution has a considerable influence on the mechanical behavior and stability of the surrounding rock mass. Using the granite of the Sanshandao gold mine as experimental samples, the deformation and failure of fractured rock were analyzed based on a [...] Read more.
In mining engineering, crack distribution has a considerable influence on the mechanical behavior and stability of the surrounding rock mass. Using the granite of the Sanshandao gold mine as experimental samples, the deformation and failure of fractured rock were analyzed based on a rock uniaxial compression test with acoustic emission monitoring. We analyzed the characteristics of different stages of rock sample deformation, and evaluated the failure mode of seven types of rock samples. The results show that the cracks had a considerable impact on rock sample strength and mechanical behavior, and the strength of intact rock was the highest, while that of the sample with parallel double cracks was the lowest. The acoustic emission parameters, AF, RA, and lg(AF/RA), have different change trends in different stages of rock deformation and failure. Based on these change trends, the failure modes of rock samples with different crack distributions were identified. Additionally, for the rock samples with seven types of crack distribution, a sudden or progressive failure caused by the b-value curves was observed. The research findings provide a database for deep surrounding rock stability in the study area and provide suggestions for failure prediction. Full article
(This article belongs to the Special Issue Full Life-Cycle Safety Management of Coal and Rock Dynamic Disasters)
Show Figures

Figure 1

19 pages, 7667 KB  
Article
Effect of Residual Stress on Hydrogen Diffusion in Thick Butt-Welded High-Strength Steel Plates
by Jinhui Jiang, Wenshuo Zeng and Liangbi Li
Metals 2022, 12(7), 1074; https://doi.org/10.3390/met12071074 - 23 Jun 2022
Cited by 11 | Viewed by 3343
Abstract
Thick high-strength steel plates are increasingly being used for ship structures. Moreover, hydrogen enters the process of manufacturing and service, and large residual tensile stress occurs near the weld. Such stress can facilitate the diffusion and accumulation of hydrogen in the material, leading [...] Read more.
Thick high-strength steel plates are increasingly being used for ship structures. Moreover, hydrogen enters the process of manufacturing and service, and large residual tensile stress occurs near the weld. Such stress can facilitate the diffusion and accumulation of hydrogen in the material, leading to hydrogen embrittlement fracture of the shell. Therefore, residual-stress-induced diffusion and accumulation of hydrogen in the stress concentration region of thick butt-welded high-strength steel plate structures need to be studied. In this study, manual metal arc welding was realized by numerical simulation of residual stress in a thick butt-welded high-strength steel plate model using the thermoelastic–plastic theory and a double ellipsoidal heat source model. To analyze residual stress, a set of numerical simulation methods was obtained through comparative analysis of the test results of relevant literature. Residual and hydrostatic stress distributions were determined based on these methods. Then, hydrogen diffusion parameters in each region of the model were obtained through experimental tests. Finally, the results of the residual stress field were used as the predefined field of hydrogen diffusion to conduct a numerical simulation analysis. The distribution of hydrogen diffusion under the influence of residual stress was obtained based on the theory of stress-induced hydrogen diffusion. The weak area of the welding joint was found to be near the weld toe, which exhibited high hydrostatic stress and hydrogen concentration. Further, the maximum hydrogen concentration value of the vertical weld path was approximately 6.1 ppm, and the maximum value of the path parallel to the weld centerline and 31 mm away from the weld centerline was approximately 6.22 ppm. Finally, the hydrostatic tensile stress in the vertical weld path was maximized (~345 MPa), degrading the material properties and causing hydrogen-related cracking. Hence, a reliable method for the analysis of hydrogen diffusion according to residual stress in thick high-strength steel plates was obtained. This work could provide a research basis for controlling and eliminating the adverse effects of hydrogen on the mechanical properties of ship structures and ensuring the safe service of marine equipment. Full article
Show Figures

Figure 1

22 pages, 20877 KB  
Article
Experimental Analysis of Matrix Cracking in Glass Fiber Reinforced Composite Off-Axis Plies under Static and Fatigue Loading
by Gordon Just, Ilja Koch and Maik Gude
Polymers 2022, 14(11), 2160; https://doi.org/10.3390/polym14112160 - 26 May 2022
Cited by 7 | Viewed by 3122
Abstract
The inter-fiber failure of glass fiber-reinforced epoxy specimens with four different fiber angles was analyzed. Flat specimens were subjected to static and fatigue loading considering different load levels and load ratios. Damage investigation in terms of crack density measurement was performed by transmitted [...] Read more.
The inter-fiber failure of glass fiber-reinforced epoxy specimens with four different fiber angles was analyzed. Flat specimens were subjected to static and fatigue loading considering different load levels and load ratios. Damage investigation in terms of crack density measurement was performed by transmitted white light imaging using a digital camera and LED illumination from the back of the specimen on a servo-hydraulic testing machine. Static and fatigue results were examined with respect to crack initiation and crack growth, considering the special case of bonding yarns parallel to the fiber directions. The bonding yarns act as stress concentrations, influencing the early cracking behavior, and complicate the detectability of cracks growing underneath or next to the bonding yarns. In cyclic loading, the influence of load level, load ratio, mean stress, fiber orientation, and ply thickness was the focus of the experimental campaign. Cyclic cracking behavior in terms of initiation and growth was analyzed based on the applied loading conditions and laminate configurations. It was found that halving the ply thickness nearly doubled the amount of microcracks in case of high loads. For low loads, no such effect was observed up to 5×105 loading cycles. Experimental findings on individual crack growth confirmed that crack interaction started for crack spacings less than four times the ply thickness and that subsequent crack growth shifted into regions of larger local crack spacing. Full article
(This article belongs to the Special Issue Fiber Reinforced Polymer Materials)
Show Figures

Graphical abstract

25 pages, 59682 KB  
Article
Numerical Simulation and Experimental Study on Residual Stress in the Curved Surface Forming of 12CrNi2 Alloy Steel by Laser Melting Deposition
by Zhaoxing Cui, Xiaodong Hu, Shiyun Dong, Shixing Yan and Xuan Zhao
Materials 2020, 13(19), 4316; https://doi.org/10.3390/ma13194316 - 28 Sep 2020
Cited by 15 | Viewed by 3186
Abstract
The performance and service life of the nuclear emergency diesel engine shaft made of 12CrNi2 alloy steel is very important for the safety of nuclear power. Laser melting deposition (LMD) is a challenging camshaft-forming technology due to its high precision, rapid prototyping, and [...] Read more.
The performance and service life of the nuclear emergency diesel engine shaft made of 12CrNi2 alloy steel is very important for the safety of nuclear power. Laser melting deposition (LMD) is a challenging camshaft-forming technology due to its high precision, rapid prototyping, and excellent parts performance. However, LMD is an unsteady process under the local action of laser, especially for curved surface forming, which is more likely to generate large residual stress on components, resulting in cracks and other defects. At present, the stress research on LMD curved surface forming is relatively insufficient. In the present paper, material parameter testing, high-temperature mechanical properties analysis, single-track sample preparation, and heat source checks are conducted. At the same time, the ABAQUS software and the DFLUX heat source subroutine are used to compile the curved double-ellipsoidal moving heat source, and the effects of the temperature-dependent thermophysical parameters and phase change latent heat on the temperature field are considered. A three-dimensional finite element model is established to analyze the thermal stress evolution and residual stress distribution of multi-track multi-layer on a curved surface by LMD, and the effect of the scanning method and interlayer cooling time on the residual stress of the formed components is studied. The results show that with the increase in temperature, the strength of the material reduces, and the fracture morphology of the material gradually transitions from ductile fracture to creep fracture. The material parameters provide a guarantee for the simulation, and the errors of the width and depth of the melt pool are 4% and 9.6%, respectively. The simulation and experiment fit well. After cooling, the maximum equivalent stress is 686 MPa, which appears at the junction of the substrate and the deposited layer. The larger residual stress is mainly concentrated in the lower part of the deposited layer, where the maximum circumferential stress and axial stress are the tensile stress. Compared with the axial parallel lap scanning method, the arc copying lap scanning method has a relatively smaller maximum thermal stress and residual stress after cooling. The residual stress in the deposited layer is increased to some extent with the increase in the interlayer cooling time. Full article
Show Figures

Figure 1

19 pages, 16018 KB  
Article
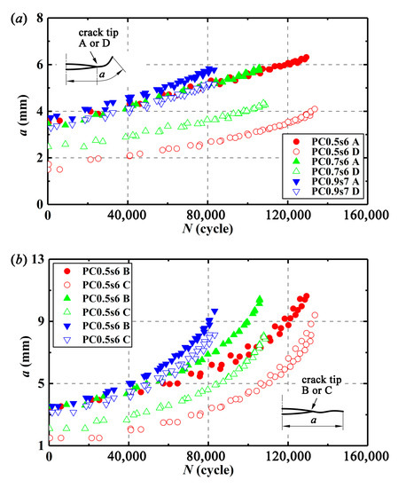
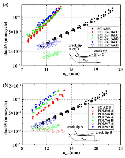
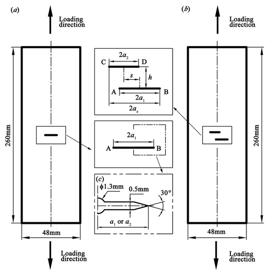
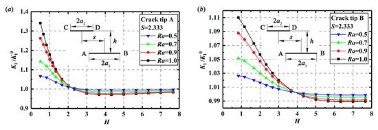
Investigation of the Enhancement Interactions between Double Parallel Cracks on Fatigue Growth Behaviors
by Zhichao Han, Caifu Qian and Huifang Li
Materials 2020, 13(13), 2952; https://doi.org/10.3390/ma13132952 - 1 Jul 2020
Cited by 8 | Viewed by 2454
Abstract
In this paper, interactions of double parallel cracks were studied by performing experiments and numerical simulations. Fatigue crack propagation tests were carried out to measure crack growth rates in the specimens with double parallel cracks or a single crack. Finite element method was [...] Read more.
In this paper, interactions of double parallel cracks were studied by performing experiments and numerical simulations. Fatigue crack propagation tests were carried out to measure crack growth rates in the specimens with double parallel cracks or a single crack. Finite element method was adopted to calculate stress intensity factors at the crack tips. Results show that the double parallel cracks at different positions present a shielding effect or enhancement effect on crack growth rates and stress intensity factors. When the double parallel cracks are offset, crack interactions mostly behave as enhancement effects. Empirical formulas were obtained to calculate the stress intensity factor at the “dangerous” crack tip of the double parallel cracks. By modifying the material parameters in Paris equation of the single crack, the double parallel cracks are simplified into a single crack with the same crack growth rates. Full article
Show Figures

Figure 1

19 pages, 20626 KB  
Article
Experimental Study of the Crack Predominance of Rock-Like Material Containing Parallel Double Fissures under Uniaxial Compression
by Wei Chen, Wen Wan, Yanlin Zhao and Wenqing Peng
Sustainability 2020, 12(12), 5188; https://doi.org/10.3390/su12125188 - 25 Jun 2020
Cited by 51 | Viewed by 4811
Abstract
Fractured rock mass is a relatively complex medium in nature. It plays a key role in various projects, such as geotechnical engineering, mining engineering and tunnel engineering. Especially, the interaction between fissures has a practical function in the guidance of safe production. This [...] Read more.
Fractured rock mass is a relatively complex medium in nature. It plays a key role in various projects, such as geotechnical engineering, mining engineering and tunnel engineering. Especially, the interaction between fissures has a practical function in the guidance of safe production. This paper takes its research object as rock-like material which contains prefabricated parallel double fissures. It studies how the fissures’ length difference and spacing influence the failure of specimens under uniaxial compression, and analyzes them with fracture mechanics theory. The results include two aspects. Firstly, no matter how the length difference and spacing change, the upper fissure always generates new cracks. Secondly, the length difference and spacing produce three effects on the lower fissure. (1) The fissure propagates less obviously as the length difference increases. With the increase to 40mm, the propagation does not occur at all. (2) The decrease of spacing weakens the propagation. As it is reduced to 5 mm, the propagation stops. (3) The crack propagation is more sensitive to length difference than spacing. Regardless of spacing changes, if a length difference is large enough (40 mm or more), the new crack does not expand, while if it is small enough (10 mm or less), propagation always appears. Full article
Show Figures

Figure 1

11 pages, 6291 KB  
Review
Quarter Century Development of Laser Peening without Coating
by Yuji Sano
Metals 2020, 10(1), 152; https://doi.org/10.3390/met10010152 - 19 Jan 2020
Cited by 63 | Viewed by 7315
Abstract
This article summarizes the development of laser peening without coating (LPwC) during the recent quarter century. In the mid-1990s, the study of LPwC was initiated in Japan. The objective at that time was to mitigate stress corrosion cracking (SCC) of structural components in [...] Read more.
This article summarizes the development of laser peening without coating (LPwC) during the recent quarter century. In the mid-1990s, the study of LPwC was initiated in Japan. The objective at that time was to mitigate stress corrosion cracking (SCC) of structural components in operating nuclear power reactors (NPRs) by inducing compressive residual stresses (RSs) on the surface of susceptible components. Since the components in NPRs are radioactive and cooled underwater, full-remote operation must be attained by using lasers of water-penetrable wavelength without any surface preparation. Compressive RS was obtained on the top-surface by reducing pulse energy less than 300 mJ and pulse duration less than 10 ns, and increasing pulse density (number of pulses irradiated on unit area). Since 1999, LPwC has been applied in NPRs as preventive maintenance against SCC using frequency-doubled Q-switched Nd:YAG lasers (λ = 532 nm). To extend the applicability, fiber-delivery of intense laser pulses was developed in parallel and has been used in NPRs since 2002. Early first decade of the 2000s, the effect extending fatigue life was demonstrated even if LPwC increased surface roughness of the components. Several years ago, it was confirmed that 10 to 20 mJ pulse energy is enough to enhance fatigue properties of weld joints of a structural steel. Considering such advances, the development of 20 mJ-class palmtop-sized handheld lasers was initiated in 2014 in a five-year national program, ImPACT under the cabinet office of the Japanese government. Such efforts would pave further applications of LPwC, for example maintenance of infrastructure in the field, beyond the horizons of the present laser systems. Full article
(This article belongs to the Special Issue Laser Shock Processing and Related Phenomena)
Show Figures

Figure 1

Back to TopTop