Sign in to use this feature.

Years

Between: -

Subjects

remove_circle_outline
remove_circle_outline
remove_circle_outline
remove_circle_outline
remove_circle_outline
remove_circle_outline
remove_circle_outline
remove_circle_outline
remove_circle_outline

Journals

remove_circle_outline
remove_circle_outline
remove_circle_outline
remove_circle_outline
remove_circle_outline
remove_circle_outline
remove_circle_outline
remove_circle_outline
remove_circle_outline
remove_circle_outline
remove_circle_outline
remove_circle_outline
remove_circle_outline
remove_circle_outline

Article Types

Countries / Regions

remove_circle_outline
remove_circle_outline
remove_circle_outline
remove_circle_outline

Search Results (1,971)

Search Parameters:
Keywords = doping states

Order results
Result details
Results per page
Select all
Export citation of selected articles as:
11 pages, 5308 KB  
Article
Tunable Wavelength-Multiplexed Dual-Frequency Bound Pulse in a Carbon-Nanotube-Based Fiber Laser
by Lin Wang, Guoqing Hu, Yan Wang, Guangwei Chen, Liang Xuan, Zhehai Zhou and Jun Yu
Micromachines 2026, 17(1), 133; https://doi.org/10.3390/mi17010133 - 20 Jan 2026
Abstract
We experimentally and theoretically demonstrate coexistence of three different wavelength-multiplexed bound dual-frequency pulses in an all-fiber mode-locked fiber laser, effectively achieved by exploiting polarization-dependent loss effects and two uneven gain peaks of Er-doped fiber. With the single wall carbon-nanotube-based intensity modulation, wavelength-multiplexed dual-frequency [...] Read more.
We experimentally and theoretically demonstrate coexistence of three different wavelength-multiplexed bound dual-frequency pulses in an all-fiber mode-locked fiber laser, effectively achieved by exploiting polarization-dependent loss effects and two uneven gain peaks of Er-doped fiber. With the single wall carbon-nanotube-based intensity modulation, wavelength-multiplexed dual-frequency pulses located at 1531.1 nm and 1556.6 nm are obtained. Changing the polarization rotation angles in the fiber cavity, one of the two asynchronous pulses evolves into a bound state of a doublet, in which the center wavelength of the bound solitons is centered at ~1530 nm or ~1556 nm. The relative phase between the two bound solitons or modulation depth of bound solitons can be switched by a polarization controller. A simulation method based on coupled Ginzburg–Landau equations is provided to characterize the laser physics and understand the mechanism behind the dynamics of tuning between different bound dual-frequency pulses. The proposed fiber laser will provide a potential way to understand multiple soliton dynamics and implementation in optical frequency combs generation. Full article
(This article belongs to the Special Issue Integrated Photonics and Optoelectronics, 2nd Edition)
Show Figures

Figure 1

14 pages, 9710 KB  
Article
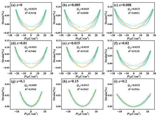
Composition-Driven Ultra-Low Hysteresis Electrostrictive Strain in BaTiO3-BaZrO3-Bi(Zn2/3Nb1/3)O3 Ceramics with High Thermal Stability
by Xuyi Yang, Qinyi Chen, Qilong Xiao, Qiang Yang, Wenjuan Wu, Bo Wu, Hong Tao, Junjie Li, Xing Zhang and Yi Guo
Materials 2026, 19(2), 374; https://doi.org/10.3390/ma19020374 - 16 Jan 2026
Viewed by 132
Abstract
High electrostrain, excellent thermal stability, and low hysteresis are critical requirements for advanced high-precision actuators. However, simultaneously achieving these synergistic properties in lead-free ferroelectric ceramics remains a significant challenge. In this work, a targeted B-site doping strategy was employed to develop novel lead-free [...] Read more.
High electrostrain, excellent thermal stability, and low hysteresis are critical requirements for advanced high-precision actuators. However, simultaneously achieving these synergistic properties in lead-free ferroelectric ceramics remains a significant challenge. In this work, a targeted B-site doping strategy was employed to develop novel lead-free (0.99-x)BaTiO3-xBaZrO3-0.01Bi(Zn2/3Nb1/3)O3 (BT-xBZ-BZN, x = 0–0.2) ceramics. Systematic investigation identified optimal Zr4+ substitution at x = 0.1, which yielded an outstanding combination of electromechanical properties. For this optimal composition, a high unipolar electrostrain (Smax = 0.11%) was achieved at 50 kV/cm, accompanied by an ultra-low hysteresis (HS = 1.9%). Concurrently, a large electrostrictive coefficient (Q33 = 0.0405 m4/C2) was determined, demonstrating excellent thermal robustness with less than 10% variation across a broad temperature range of 30–120 °C. This superior comprehensive performance is attributed to a composition-driven evolution from a long-range ferroelectric to a pseudocubic relaxor state. In this state, the dominant electrostrictive effect, propelled by reversible dynamics of polar nanoregions (PNRs), minimizes irreversible domain switching. These findings not only present BT-xBZ-BZN (x = 0.1) as a highly promising lead-free candidate for high-precision, low-loss actuator devices, but also provide a viable design strategy for developing high-performance electrostrictive materials with synergistic large strain and superior thermal stability. Full article
(This article belongs to the Section Advanced and Functional Ceramics and Glasses)
Show Figures

Figure 1

11 pages, 1187 KB  
Article
Room-Temperature Phosphorescence of Quinine Sulfate in PVA Films: The Effect of Humidity
by Agnieszka Jablonska, Bong Lee, R. Max Petty, Danh Pham, Rajveer Sagoo, Trang Thien Pham, Zygmunt Gryczynski and Ignacy Gryczynski
Optics 2026, 7(1), 7; https://doi.org/10.3390/opt7010007 - 14 Jan 2026
Viewed by 137
Abstract
We report the first observation of room-temperature phosphorescence (RTP) of quinine sulfate (QS) in poly (vinyl alcohol) (PVA) films. Steady-state and time-gated measurements were performed to characterize the phosphorescence spectra, anisotropies, and lifetimes to estimate the phosphorescence properties. The RTP response of organic [...] Read more.
We report the first observation of room-temperature phosphorescence (RTP) of quinine sulfate (QS) in poly (vinyl alcohol) (PVA) films. Steady-state and time-gated measurements were performed to characterize the phosphorescence spectra, anisotropies, and lifetimes to estimate the phosphorescence properties. The RTP response of organic emitters in polymer matrices is particularly sensitive to ambient humidity and oxygen levels. Hence, to assess the environmental stability of the system, QS-doped PVA films were cast from a single batch and divided into paired specimens, one of which was encapsulated with a pressure-sensitive laminate, while the other one was left non-laminated. Over 14 days under ambient laboratory conditions, the absorbance and fluorescence of both films remained unchanged, whereas the exhibited phosphorescence diverged significantly. The unlaminated film exhibited a progressive loss of afterglow intensity, a noticeable red shift in the phosphorescence spectrum, and a pronounced shortening of the phosphorescence lifetime, while the laminated film retained its initial RTP intensity, spectral profile, and lifetime throughout the entire experiment. Full article
(This article belongs to the Special Issue Optoelectronic Thin Films)
Show Figures

Figure 1

21 pages, 1259 KB  
Review
Transition Metal-Doped ZnO and ZrO2 Nanocrystals: Correlations Between Structure, Magnetism, and Vibrational Properties—A Review
by Izabela Kuryliszyn-Kudelska and Witold Daniel Dobrowolski
Appl. Sci. 2026, 16(2), 786; https://doi.org/10.3390/app16020786 - 12 Jan 2026
Viewed by 114
Abstract
Transition metal (TM)-doped zinc oxide (ZnO) and zirconium dioxide (ZrO2) nanocrystals exhibit complex correlations between crystal structure, defect chemistry, vibrational properties, and magnetic behavior that are strongly governed by synthesis route and dopant incorporation mechanisms. This review critically summarizes recent progress [...] Read more.
Transition metal (TM)-doped zinc oxide (ZnO) and zirconium dioxide (ZrO2) nanocrystals exhibit complex correlations between crystal structure, defect chemistry, vibrational properties, and magnetic behavior that are strongly governed by synthesis route and dopant incorporation mechanisms. This review critically summarizes recent progress on Fe-, Mn-, and Co-doped ZnO and ZrO2 nanocrystals synthesized by wet chemical, hydrothermal, and microwave-assisted hydrothermal methods, with emphasis on synthesis-driven phase evolution and apparent solubility limits. ZnO and ZrO2 are treated as complementary host lattices: ZnO is a semiconducting, piezoelectric oxide with narrow solubility limits for most 3d dopants, while ZrO2 is a dielectric, polymorphic oxide in which transition metal doping may stabilize tetragonal or cubic phases. Structural and microstructural studies using X-ray diffraction, electron microscopy, Raman spectroscopy, and Mössbauer spectroscopy demonstrate that at low dopant concentrations, TM ions may be partially incorporated into the host lattice, giving rise to diluted or defect-mediated magnetic behavior. When solubility limits are exceeded, nanoscopic secondary oxide phases emerge, leading to superparamagnetic, ferrimagnetic, or spin-glass-like responses. Magnetic measurements, including DC magnetization and AC susceptibility, reveal a continuous evolution from paramagnetism in lightly doped samples to dynamic magnetic states characteristic of nanoscale magnetic entities. Vibrational spectroscopy highlights phonon confinement, surface optical phonons, and disorder-activated modes that sensitively reflect nanocrystal size, lattice strain, and defect populations, and often correlate with magnetic dynamics. Rather than classifying these materials as diluted magnetic semiconductors, this review adopts a synthesis-driven and correlation-based framework that links dopant incorporation, local structural disorder, vibrational fingerprints, and magnetic response. By emphasizing multi-technique characterization strategies required to distinguish intrinsic from extrinsic magnetic contributions, this review provides practical guidelines for interpreting magnetism in TM-doped oxide nanocrystals and outlines implications for applications in photocatalysis, sensing, biomedicine, and electromagnetic interference (EMI) shielding. Full article
(This article belongs to the Section Applied Physics General)
Show Figures

Figure 1

15 pages, 2248 KB  
Article
Bandgap Engineering of Ga2O3 by MOCVD Through Alloying with Indium
by Md Minhazul Islam, A. Hernandez, H. Appuhami, A. Banerjee, Blas Pedro Uberuaga and F. A. Selim
Nanomaterials 2026, 16(2), 93; https://doi.org/10.3390/nano16020093 - 12 Jan 2026
Viewed by 227
Abstract
Ga2O3 and In2O3 are vital semiconductors with current and future electronic device applications. Here, we study the alloying of In2O3 and Ga2O3 (IGO) and the associated changes in structure, morphology, band [...] Read more.
Ga2O3 and In2O3 are vital semiconductors with current and future electronic device applications. Here, we study the alloying of In2O3 and Ga2O3 (IGO) and the associated changes in structure, morphology, band gap, and electrical transport properties. Undoped films of IGO were deposited on sapphire substrates with varying indium (In) percentage from zero to 100% by metal-organic chemical vapor deposition (MOCVD). Some films were annealed in H2 to induce electrical conductivity. The measurements showed the optical band gap decreased by adding In; this was confirmed by density functional (DFT) calculations, which revealed that the nature of the valence band maximum and conduction band minimum strongly relate to the chemistry and that the band gap drops by adding In. The as-grown films were highly resistive except for pure In2O3, which possesses p-type conductivity, likely arising from In vacancy-related acceptor states. N-type conductivity was induced in all films after H-anneal. DFT calculations revealed that the presence of In decreases the electron effective mass, which is consistent with the electrical transport measurements that showed higher electron mobility for higher In percentage. The work revealed the successful band gap engineering of IGO and the modification of its band structure while maintaining high-quality films by MOCVD. Full article
(This article belongs to the Section Synthesis, Interfaces and Nanostructures)
Show Figures

Figure 1

24 pages, 7298 KB  
Article
Effects of Anionic Groups on Structural and Luminescent Properties of ZnO:Sm3+ Phosphors Synthesized via Combustion Method
by Edwin Tumelo Maleho, Machaba Leanyatsa Abraham Letswalo and Buyisiwe M. Sondezi
Molecules 2026, 31(2), 206; https://doi.org/10.3390/molecules31020206 - 7 Jan 2026
Viewed by 173
Abstract
BO33−, PO43−, and SO42− anionic groups were used to study their effects on the structure and luminescence of Sm3+-doped ZnO. ZnO, ZnO:Sm3+, ZnO, Zn4B6O13:Sm3+ [...] Read more.
BO33−, PO43−, and SO42− anionic groups were used to study their effects on the structure and luminescence of Sm3+-doped ZnO. ZnO, ZnO:Sm3+, ZnO, Zn4B6O13:Sm3+, and Zn2P2O7:Sm3+ phosphors were successfully synthesized via combustion synthesis. While BO33− and PO43− ions led to the formation of new crystalline phases, the sulfate precursor decomposed during synthesis, yielding ZnO with only minor surface sulfur traces. The XRD results revealed the formation of wurtzite crystal structures in the ZnO, ZnO:Sm3+, and ZnO-SO4:Sm3+ samples, while a complete change of structure was observed after the incorporation of borate (BO33−) and phosphate (PO43−) ions into ZnO:Sm3+ to Zn4B6O13:Sm3+ and Zn2P2O7:Sm3+, respectively. The structures for borate and phosphate ions were confirmed as cubic (Zn4B6O13) and monoclinic (Zn2P2O7) crystal structures, respectively. The morphological studies of ZnO:Sm3+ and ZnO-SO4:Sm3+ were characterized by aggregated particles with different shapes and sizes. Zn4B6O13 and Zn2P2O7 samples were characterized by having cubic and rough surfaces, respectively. The oxidation state of the Sm ions was confirmed by XPS analysis. The photoluminescence studies revealed a broad-band emission for the ZnO:Sm3+ and ZnO-SO4:Sm3+ materials and characteristic Sm3+ emissions (from the 4G5/2 level to lower states 6HJ (J = 5/2, 7/2, 9/2, and 11/2)) for the Zn4B6O13 and Zn2P2O7 samples. Enhanced emissions were observed after the incorporation of anionic group systems. The most intense PL emission was observed from the Zn4B6O13 phosphor material. The CIE calculations revealed that the best color purity results were from Zn4B6O13, which lay in the orange region with 98% color purity. Full article
(This article belongs to the Special Issue Chemiluminescence and Photoluminescence of Advanced Compounds)
Show Figures

Figure 1

9 pages, 1736 KB  
Article
Tin–Lead Liquid Metal Alloy Source for Focused Ion Beams
by Bryan Flores, Shei Sia Su, Coleman Cariker, Ricardo A. Dacosta, Aaron M. Katzenmeyer, Alex A. Belianinov and Michael Titze
Micromachines 2026, 17(1), 76; https://doi.org/10.3390/mi17010076 - 6 Jan 2026
Viewed by 394
Abstract
Focused Ion Beam (FIB) systems are increasingly utilized in nanotechnology for nanostructuring, surface modification, doping, and rapid prototyping. Recently, their potential for quantum applications has been explored, leveraging FIB’s direct-write capabilities for in situ single ion implantation, which is crucial for fabricating single [...] Read more.
Focused Ion Beam (FIB) systems are increasingly utilized in nanotechnology for nanostructuring, surface modification, doping, and rapid prototyping. Recently, their potential for quantum applications has been explored, leveraging FIB’s direct-write capabilities for in situ single ion implantation, which is crucial for fabricating single photon emitters. Color centers in diamond can function as qubits and are of particular interest due to their capacity to store and transmit quantum information. While Group-IV color centers exhibit high brightness, they require low temperatures to retain coherence. However, lead-vacancy in diamond (PbV) operates at the higher end (4 K) of this temperature spectrum due to larger ground-state splitting, making them particularly interesting. In this context, our study presents results for lead (Pb)-containing alloys with eutectic points below 600 °C and results on using tantalum (Ta) and titanium (Ti) as emitter materials for a Pb liquid metal alloy ion source. We show that a standard FIB system is able to resolve the different Pb isotopes and achieve nanoscale spot sizes, as required for quantum information science applications. Full article
(This article belongs to the Special Issue Recent Advances in Micro/Nanofabrication, 3rd Edition)
Show Figures

Figure 1

13 pages, 9612 KB  
Communication
Lanthanide-Doped Cs2ZrCl6 Perovskite Nanocrystals for Multimode Anti-Counterfeiting Application
by Longbin You, Qixin Wang, Yuting Liao, Xiaotian Zhu, Keyuan Ding and Xian Chen
Nanomaterials 2026, 16(1), 68; https://doi.org/10.3390/nano16010068 - 2 Jan 2026
Viewed by 433
Abstract
The escalating prevalence of counterfeiting and forgery has imposed unprecedented demands on advanced anti-counterfeiting technologies. Traditional luminescent materials, relying on single-mode or static emission, are inherently vulnerable to replication using commercially available phosphors or simple spectral blending. Multimode luminescent materials exhibiting excitation wavelength-dependent [...] Read more.
The escalating prevalence of counterfeiting and forgery has imposed unprecedented demands on advanced anti-counterfeiting technologies. Traditional luminescent materials, relying on single-mode or static emission, are inherently vulnerable to replication using commercially available phosphors or simple spectral blending. Multimode luminescent materials exhibiting excitation wavelength-dependent emission offer significantly higher encoding capacity and forgery resistance. Herein, we report the colloidal synthesis of lanthanide-doped Cs2ZrCl6 nanocrystals (Ln3+ = Tb, Eu, Pr, Sm, Dy, Ho) via a robust hot-injection route. These nanocrystals universally exhibit efficient host-to-guest energy transfer from self-trapped excitons (STEs) under 254 nm, yielding sharp characteristic Ln3+ f–f emission alongside the intrinsic broadband STE luminescence. Critically, Tb3+ enables direct 4f → 5d excitation at ~275 nm, while Eu3+ introduces a low-energy Eu3+ ← Cl LMCT band at ~305 nm, completely bypassing STE emission. Due to their multimode luminescent characteristics, we fabricate a triple-mode anti-counterfeiting label displaying different colors under different types of excitation. These findings establish a breakthrough excitation-encoded multimode platform, offering potential applications for next-generation photonic security labels, scintillation detectors, and solid-state lighting applications. Full article
Show Figures

Figure 1

16 pages, 5891 KB  
Article
Solar-Driven Photodegradation of Methylene Blue Dye Using Al-Doped ZnO Nanoparticles
by Md. Shakil Rana, Rupna Akther Putul, Nanziba Salsabil, Maliha Tasnim Kabir, Md. Shakhawoat Hossain, Shah Md. Masum and Md. Ashraful Islam Molla
Appl. Nano 2026, 7(1), 3; https://doi.org/10.3390/applnano7010003 - 2 Jan 2026
Viewed by 609
Abstract
ZnO semiconductor-based photocatalysts are mainly studied for the elimination of toxic textile dyes. Metal-doped ZnO displays better performance for this purpose. Herein, Al-doped ZnO (Al–ZnO) was prepared using the mechanochemical calcination method with varying aluminum concentrations for the degradation of the persistent methylene [...] Read more.
ZnO semiconductor-based photocatalysts are mainly studied for the elimination of toxic textile dyes. Metal-doped ZnO displays better performance for this purpose. Herein, Al-doped ZnO (Al–ZnO) was prepared using the mechanochemical calcination method with varying aluminum concentrations for the degradation of the persistent methylene blue (MB) dye. Various characterization techniques, including XRD, FTIR, FESEM, TEM, UV-DRS, and XPS, revealed the improved properties of 3% Al–ZnO in degrading the MB dye. It exhibits 96.56% degradation of 25 mg/L MB dye under 60 min of natural sunlight irradiation with a catalyst dose of 0.5 g/L at a natural pH of 6.4. A smaller particle size, a lower band gap energy of 3.264 eV, and the presence of oxygen vacancies and defect states all facilitate photocatalytic degradation. Radical scavenger experiments using ascorbic acid (for •O2), 2-propanol (for •OH), and diammonium oxalate (for h+) confirmed the crucial role of superoxide (•O2) and hydroxyl (•OH) radicals in the degradation mechanism. The achievement of 82.80% MB degradation efficiency at the 4th cycle validates the notable stability and excellent reusability of Al–ZnO. Full article
Show Figures

Figure 1

14 pages, 3619 KB  
Article
Multifunctional Benzene-Based Solid Additive for Synergistically Boosting Efficiency and Stability in Layer-by-Layer Organic Photovoltaics
by Junchen Li, Peng He, Wuchao Xie, Yujie Xie, Yongquan Fu, Shutian Huang, Guojuan Lai, Zhen Wang, Fujun Zhang and Xixiang Zhu
Energies 2026, 19(1), 211; https://doi.org/10.3390/en19010211 - 31 Dec 2025
Viewed by 281
Abstract
The realization of desirable vertical phase separation, enabled by sequential processing that allows for the separate deposition and targeted regulation of donor and acceptor components to construct a well-defined donor–acceptor (D-A) interface, serves as a pivotal factor governing the performance of layer-by-layer organic [...] Read more.
The realization of desirable vertical phase separation, enabled by sequential processing that allows for the separate deposition and targeted regulation of donor and acceptor components to construct a well-defined donor–acceptor (D-A) interface, serves as a pivotal factor governing the performance of layer-by-layer organic photovoltaics (LOPVs). This study explores the utility of 4-trifluoromethyl benzoic anhydride (4-TBA), a multifunctional benzene-based solid additive, in the PM6/L8-BO LOPV system, focusing on its role in regulating the vertical phase separation of donor-PM6 and acceptor-L8-BO components to form a well-structured D-A interface. To this end, 4-TBA is doped into the donor-PM6 layer, acceptor-L8-BO layer, or both layers, and its effects on device performance are systematically characterized. The results show that simultaneous doping of 0.05 wt% 4-TBA in both PM6 and L8-BO layers yields the optimal performance, with the power conversion efficiency reaching 18.49% compared to the pristine device with a PCE of 17.05%, and this is accompanied by a significant increase in short-circuit current density from 24.71 mA/cm2 to 26.65 mA/cm2. Additionally, the optimal devices exhibit better stability, as unencapsulated devices retain 76% of their initial PCE after 175 h under ambient conditions compared to 73% for the devices without 4-TBA doping. Essentially, solid additive 4-TBA modulates molecular packing via its interaction between the donor and acceptor molecules and enhances molecular aggregation and hydrophobicity, thereby suppressing bimolecular and trap-assisted recombination, reducing trap density of states, and forming favorable interpenetrating networks. This work validates 4-TBA, which contains benzene rings and other functional groups, as a versatile additive suitable for the LOPV system and offers a generalizable strategy for optimizing LOPV performance by leveraging multifunctional solid additives. Full article
(This article belongs to the Section A2: Solar Energy and Photovoltaic Systems)
Show Figures

Figure 1

13 pages, 1856 KB  
Article
White Organic Light-Emitting Diodes from Single-Component Nonconjugated Polymers by Combining Monomer Emission with Electromer Emission
by Chao Zheng, Mingze Li, Zhiwen Xu, Yaxuan Pan, Qi Zhou, Yujie Fu, Dongyue Cui, Huanhuan Li, Ye Tao and Runfeng Chen
Molecules 2026, 31(1), 101; https://doi.org/10.3390/molecules31010101 - 26 Dec 2025
Viewed by 369
Abstract
White organic light-emitting diodes (OLEDs) offer a promising solution for next-generation lighting technologies and their ability to emit white light through various mechanisms make them an attractive option for illumination and display applications. Here, we design and prepare a series of N, [...] Read more.
White organic light-emitting diodes (OLEDs) offer a promising solution for next-generation lighting technologies and their ability to emit white light through various mechanisms make them an attractive option for illumination and display applications. Here, we design and prepare a series of N,N-difluorenevinylaniline-based small molecules and polymer, and realize white OLEDs based on these luminescent materials with combined blue monomer emission and orange electromer emission upon electronic excitation in the solution-processed devices. Impressively, the single-component nonconjugated polymer exhibits the best device performance, because the nonconjugated structure favors good solubility of the polymers, while the conjugated starburst unit functions as highly luminescent fluorophore in both single molecular and aggregated structures for the blue and orange emissions, respectively. Specifically, the non-doped solution-processed OLEDs achieve warm white electroluminescence with a maximum luminance of 1806 cd/m2 and a maximum external quantum efficiency of 2.63%. And, the OLEDs based on the monomer also exhibit white electroluminescence with Commission Internationale de L’Eclairage coordinates of (0.30, 0.32). These results highlight a promising strategy for the material design and preparation of single-component nonconjugated polymers with rich emissive behaviors in solid states towards efficient and solution-processable white OLEDs. Full article
(This article belongs to the Special Issue Insight into Organic Semiconductor Materials)
Show Figures

Graphical abstract

11 pages, 4932 KB  
Article
Enhanced Electron–Phonon Coupling of Superconductivity in Indium-Doped Topological Crystalline Insulator SnTe
by Kwan-Young Lee, Gareoung Kim, Jae Hyun Yun, Jin Hee Kim and Jong-Soo Rhyee
Materials 2026, 19(1), 73; https://doi.org/10.3390/ma19010073 - 24 Dec 2025
Viewed by 415
Abstract
Indium-doped SnTe (Sn1−xInxTe) provides a model platform for exploring the emergence of superconductivity within a topological crystalline insulator. Here, we present a systematic investigation of the structural, transport, and thermodynamic properties of high-quality single crystals with 0.0 ≤ x [...] Read more.
Indium-doped SnTe (Sn1−xInxTe) provides a model platform for exploring the emergence of superconductivity within a topological crystalline insulator. Here, we present a systematic investigation of the structural, transport, and thermodynamic properties of high-quality single crystals with 0.0 ≤ x ≤ 0.5. All compositions up to x = 0.4 form a single-phase cubic structure, enabling a controlled study of the superconducting state. Electrical resistivity and specific heat measurements reveal a bulk, fully gapped s-wave superconducting phase whose transition temperature increases monotonically with In concentration, reaching Tc ≈ 4.7 K at x = 0.5. Analysis of the electronic specific heat and McMillan formalism shows that the electron–phonon coupling constant λel-ph systematically increases with doping, while the Debye temperature systematically decreases, resulting in the lattice softening. This behavior, together with the observed evolution of the normal-state resistivity exponent from Fermi-liquid (n ≈ 2.04) toward non-Fermi-liquid values (n ≈ 1.72), demonstrates a clear crossover from weak to strong interaction with increasing In content. These results establish Sn1−xInxTe as a tunable superconducting system in which coupling strength can be continuously controlled, offering a promising platform for future studies on the interplay between phonon-mediated superconductivity and crystalline topological band structure. Full article
Show Figures

Figure 1

16 pages, 4364 KB  
Article
Study on Crystal Plane Adjustment of Pt/P-CNTs Catalyst and Its Electrocatalytic Performance in Methanol Oxidation
by Wenpeng Zhang, Yan Zhao and Hongwei Li
Catalysts 2026, 16(1), 6; https://doi.org/10.3390/catal16010006 - 22 Dec 2025
Viewed by 323
Abstract
To improve the electrocatalytic methanol oxidation (MOR) performance of platinum (Pt)-based catalysts in direct methanol fuel cells (DMFCs), this study uses phosphorus-doped carbon nanotubes (P-CNTs) as a support material. Through a hydrothermal method, different proportions of potassium bromide (KBr) are introduced as a [...] Read more.
To improve the electrocatalytic methanol oxidation (MOR) performance of platinum (Pt)-based catalysts in direct methanol fuel cells (DMFCs), this study uses phosphorus-doped carbon nanotubes (P-CNTs) as a support material. Through a hydrothermal method, different proportions of potassium bromide (KBr) are introduced as a structural directing agent to prepare a series of Pt/P-CNTs-M catalysts (where M represents the molar ratio of KBr to Pt). The study systematically investigates the mechanism by which KBr regulates the crystal plane of Pt nanoparticles and its structure–activity relationship. Physical characterization revealed that KBr selectively regulates Pt crystal plane growth through Br adsorption. When M = 30, Pt/P-CNTs-30 exhibited the highest proportion of exposed Pt(111) crystal planes (27.21%), with Pt0 content reaching 51.64%, and featured moderate particle size (2.22 nm) and uniform dispersion. Electrochemical testing indicates that the MOR mass-specific activity of this catalyst reaches 3559.85 mA·mg−1Pt, which is 1.17 times that of Pt/P-CNTs-0; it exhibits the lowest charge transfer impedance, with a current density of 488.25 mA·mg−1Pt still maintained after 3600 s of chronoamperometry testing, and a more negative CO oxidation onset potential, demonstrating optimal resistance to poisoning. The study indicates that an appropriate KBr ratio can synergistically optimize Pt crystal plane structure and electronic states, providing a theoretical basis for the design of high-efficiency fuel cell catalysts. Full article
(This article belongs to the Section Electrocatalysis)
Show Figures

Graphical abstract

16 pages, 3357 KB  
Article
Synergistic Optimization of Multiple Properties: Enhancement Mechanism of Thermoelectric and Mechanical Performances of Ta-Doped In2O3 Materials for Advanced Energy Harvesting Applications
by Jiang Zhu, Jie Zhang, Bo Feng, Yaoyang Zhang, Xiaoqiong Zuo, Zhiwen Yang, Tongqiang Xiong, Wenzheng Li, Tong Tang, Suoluoyan Yang and Ruolin Ruan
Inorganics 2026, 14(1), 4; https://doi.org/10.3390/inorganics14010004 - 22 Dec 2025
Viewed by 311
Abstract
To improve the comprehensive performance of indium oxide (In2O3) thermoelectric materials, this study systematically investigates the regulatory effects of tantalum (Ta) doping on their electrical transport characteristics, thermoelectric conversion efficiency, and mechanical properties. The results show that Ta doping [...] Read more.
To improve the comprehensive performance of indium oxide (In2O3) thermoelectric materials, this study systematically investigates the regulatory effects of tantalum (Ta) doping on their electrical transport characteristics, thermoelectric conversion efficiency, and mechanical properties. The results show that Ta doping achieves synchronous optimization of multiple properties through precise regulation of crystal structure, electronic structure, and microdefects. In terms of electrical transport, the electron doping effect of Ta5+ substituting In3+ and the introduction of impurity levels lead to a continuous increase in carrier concentration; lattice relaxation and impurity band formation at high doping concentrations promote mobility to first decrease and then increase, resulting in a significant growth in electrical conductivity. Although the absolute value of the Seebeck coefficient slightly decreases, the growth rate of electrical conductivity far exceeds the attenuation rate of its square, increasing the power factor from 1.83 to 5.26 μWcm−1K−2 (973 K). The enhancement of density of states near the Fermi level not only optimizes carrier transport efficiency but also provides electronic structure support for synergistic performance improvement. For thermoelectric conversion efficiency, the substantial increase in power factor collaborates with thermal conductivity suppression induced by lattice distortion and impurity scattering, leading to a leapfrog increase in ZT value from 0.055 to 0.329 (973 K). In terms of mechanical properties, lattice distortion strengthening, formation of strong Ta-O covalent bonds, and dispersion strengthening effect significantly improve the Vickers hardness of the material. Ta doping breaks the bottleneck of mutual property constraints in traditional modification through an integrated mechanism of “electronic structure regulation-carrier transport optimization-multiple performance synergistic enhancement”, providing a key strategy for designing high-performance indium oxide-based thermoelectric materials and facilitating their practical application in the field of green energy conversion. Full article
(This article belongs to the Section Inorganic Materials)
Show Figures

Figure 1

18 pages, 5992 KB  
Article
First Translucent BaLaLiWO6 and BaLaNaWO6 Ceramics: Structural and Spectroscopic Behavior of Passive and Nd3+-Doped Sintered Bodies
by Kacper A. Prokop, Sandrine Cottrino, Vincent Garnier, Gilbert Fantozzi, Miłosz Siczek, Krzysztof Rola, Elżbieta Tomaszewicz, Yannick Guyot, Georges Boulon and Małgorzata Guzik
Ceramics 2025, 8(4), 155; https://doi.org/10.3390/ceramics8040155 - 18 Dec 2025
Viewed by 408
Abstract
This work highlights the feasible fabrication of translucent ceramics from un-doped and Nd3+-doped BaLaLiWO6 (BLLW) and BaLaNaWO6 (BLNW) cubic tungstates using the Spark Plasma Sintering (SPS) method. Ceramics were sintered using pure-phase, homogeneous powders with submicron particle sizes, obtained [...] Read more.
This work highlights the feasible fabrication of translucent ceramics from un-doped and Nd3+-doped BaLaLiWO6 (BLLW) and BaLaNaWO6 (BLNW) cubic tungstates using the Spark Plasma Sintering (SPS) method. Ceramics were sintered using pure-phase, homogeneous powders with submicron particle sizes, obtained via the solid-state reaction method. The present study investigated the microstructural, structural, and spectroscopic properties of both un-doped and Nd3+-doped sintered specimens. All the ceramic materials exhibited certain drawbacks that significantly contributed to their low transparency in both sample types. However, initial spectroscopic tests on sintered translucent ceramics doped with Nd3+ ions revealed promising properties, comparable to those of the powdered samples. Therefore, we believe that producing higher-quality ceramics would improve their spectroscopic properties. For that, further optimization of the manufacturing conditions is necessary. Full article
(This article belongs to the Special Issue Advances in Ceramics, 3rd Edition)
Show Figures

Graphical abstract

Back to TopTop