Sign in to use this feature.

Years

Between: -

Subjects

remove_circle_outline
remove_circle_outline
remove_circle_outline
remove_circle_outline
remove_circle_outline
remove_circle_outline
remove_circle_outline
remove_circle_outline
remove_circle_outline

Journals

remove_circle_outline
remove_circle_outline
remove_circle_outline
remove_circle_outline
remove_circle_outline
remove_circle_outline
remove_circle_outline
remove_circle_outline
remove_circle_outline
remove_circle_outline
remove_circle_outline
remove_circle_outline

Article Types

Countries / Regions

remove_circle_outline
remove_circle_outline
remove_circle_outline
remove_circle_outline
remove_circle_outline
remove_circle_outline

Search Results (1,191)

Search Parameters:
Keywords = docking score

Order results
Result details
Results per page
Select all
Export citation of selected articles as:
27 pages, 6034 KB  
Article
Identification of Novel Extracellular-Signal-Regulated Kinase 2 Inhibitors Through Machine Learning-Driven De Novo Design, Molecular Docking, and Free-Energy Perturbation
by Ibrahim A. Alsarra, Mahima Sudhir Kolpe and Md Ataul Islam
Pharmaceuticals 2026, 19(2), 337; https://doi.org/10.3390/ph19020337 - 20 Feb 2026
Abstract
Background: The extracellular-signal-regulated kinase (ERK) cascade regulates cell proliferation, differentiation, and survival, and ERK2 mediates substrate phosphorylation, influencing gene expression and cellular functions. Methods: In the current study, a pool of new molecules was generated using the DeLA-Drug, a machine learning [...] Read more.
Background: The extracellular-signal-regulated kinase (ERK) cascade regulates cell proliferation, differentiation, and survival, and ERK2 mediates substrate phosphorylation, influencing gene expression and cellular functions. Methods: In the current study, a pool of new molecules was generated using the DeLA-Drug, a machine learning (ML)-assisted de novo design tool. The chemical space was reduced through a similarity search against active ERK2 inhibitors and molecular docking with AutoDock vina, followed by pharmacokinetic assessment in DeepPK. Poses of the final selected molecules were refined in DiffDock, and dynamicity was assessed through molecular dynamics (MD) simulation. Finally, the free-energy perturbation (FEP)-based binding affinity was explored in Gromacs2023.4. Results: From the above approaches, four molecules (Ek1, Ek2, Ek3, and Ek4) were identified as promising candidates with favorable binding interactions. Molecular docking revealed that the selected molecules exhibited higher binding affinity for ERK2, ranging from −9.50 to −10.50 kcal/mol. The dynamics assessment via MD simulation clearly revealed their strong association with ERK2, corroborated by the lower deviation of the ERK2 backbone in dynamic states. All four screened molecules have satisfactory pharmacokinetic properties, medicinal chemistry properties, and good synthetic accessibility scores, indicating their potential as drug-like compounds under Lipinski’s rule of five to inhibit or modulate ERK2 activity. The FEP energy of Ek1 was found to be −26.85 kJ/mol, which is higher than the standard molecule (−22.77 kJ/mol) and indicates its strong affinity toward ERK2. Conclusions: These results suggest that all proposed ERK2 modulators are potential avenues for future drug discovery targeting ERK2, subject to experimental validation. Full article
(This article belongs to the Section AI in Drug Development)
13 pages, 2920 KB  
Article
In Silico Characterization of Two Human Pegivirus Proteins Highlights Similarities with Hepatitis C Virus and Possible Therapeutic Repurposing
by Kaleigh M. Copenhaver, Barbara A. Hanson, Joshua J. Ziarek and Igor J. Koralnik
Viruses 2026, 18(2), 261; https://doi.org/10.3390/v18020261 - 19 Feb 2026
Abstract
Human Pegivirus (HPgV) is an understudied flavivirus that is highly prevalent and often persists in the blood and tissues of humans. HPgV-infected brain tissue from individuals with Parkinson’s disease has shown significant transcriptomic and immune signaling differences compared to non-infected Parkinson’s brains. The [...] Read more.
Human Pegivirus (HPgV) is an understudied flavivirus that is highly prevalent and often persists in the blood and tissues of humans. HPgV-infected brain tissue from individuals with Parkinson’s disease has shown significant transcriptomic and immune signaling differences compared to non-infected Parkinson’s brains. The HPgV genome is similar to Hepatitis C Virus (HCV), a well-characterized flavivirus with multiple approved small-molecule therapeutics. Here, we used HCV crystal structures to create homology models for two HPgV non-structural (NS) proteins, the serine protease (NS3) and the RNA-dependent RNA polymerase (NS5B), and performed molecular dynamic simulations. HCV and HPgV proteins had minimal structural differences, as seen by the Root Mean Square Deviation (RMSD) difference between NS3 (1.00 Å) and NS5B (1.26 Å). FDA-approved small molecules were then docked in silico to the NS3 and NS5B subunits of HCV and HPgV. HCV had weak to moderate correlated docking scores with HPgV NS3 (R2 = 0.21, p < 0.001) and NS5B (R2 = 0.58, p < 0.001). The predicted protein–ligand interactions showed potential binding between HCV antivirals and conserved residues of HPgV, including the catalytic triad for NS3 or the GDD motif for NS5B. Together, these results provide structural insights for key HPgV proteins and highlight possibilities for therapeutic repurposing of HCV antivirals. Full article
(This article belongs to the Section General Virology)
Show Figures

Figure 1

29 pages, 23910 KB  
Article
Computational Screening of AI-Generated Antihypertensive Virtual Leads for Polypharmacological Anticancer Potential
by Uche A. K. Chude-Okonkwo and Mokete Motente
Drugs Drug Candidates 2026, 5(1), 16; https://doi.org/10.3390/ddc5010016 - 19 Feb 2026
Abstract
Background: The growing recognition of shared molecular pathways and molecular signatures between cardiovascular diseases and cancer has motivated interest in exploring antihypertensive-associated chemical space for oncological applications. Concurrently, artificial intelligence (AI)-driven molecular generation has enabled the rapid creation of virtual lead candidates for [...] Read more.
Background: The growing recognition of shared molecular pathways and molecular signatures between cardiovascular diseases and cancer has motivated interest in exploring antihypertensive-associated chemical space for oncological applications. Concurrently, artificial intelligence (AI)-driven molecular generation has enabled the rapid creation of virtual lead candidates for specific therapeutic indications, although their broader biological interaction profiles often remain unexplored. Methods: In this paper, we explore the computational screening of a library of AI-generated antihypertensive virtual lead compounds to evaluate their polypharmacological anticancer potential. The compounds were originally designed and prioritized for modulating β-adrenergic receptors but are here re-evaluated in a cancer-focused context using a multi-stage in silico approach. We chose five (5) known cancer target proteins and performed compound profiling for drug-likeness, pharmacokinetic suitability, and safety. Docking simulations, binding free energy estimates, molecular interaction mapping, and pharmacophore modeling were used to evaluate the molecules’ interactions with the cancer-linked protein targets. We employed the binding free energy estimates of the ligand–protein complexes to determine compounds with polypharmacological anticancer potential. In addition, molecular dynamics simulations of some of the compounds with polypharmacological anticancer potential were employed to evaluate binding stability and dynamic behavior of selected ligand–target complexes. Results: Several compounds showed good docking scores, physicochemical characteristics, and pharmacokinetic profiles. Also, the results reveal that several AI-generated antihypertensive virtual leads exhibit favorable multi-target binding profiles, with consistent docking affinities and stable interaction networks across multiple cancer-related targets. Conclusions: Our findings suggest that several of the hypothetically evaluated compounds exhibit favorable physicochemical properties, acceptable predicted pharmacokinetic and safety profiles, and consistent predicted binding affinities across multiple cancer-relevant targets. Full article
(This article belongs to the Section In Silico Approaches in Drug Discovery)
Show Figures

Figure 1

51 pages, 3438 KB  
Article
Novel Active Homo-Aza (Lactam) Steroidal Antimetabolites for the Treatment of Human Pancreatic and Colorectal Cancer
by Konstantinos E. Alifieris, Panagiotis Dalezis, Sofia Sagredou, Ioanna A. Anastasiou, Maria Deligiorgi, Christos Siokatas, Nikolaos Spanakis, Konstantinos Almpanakis, Maria Voura, Kyriakos Orfanakos, Mihalis Panayiotidis, Vasiliki Sarli and Dimitrios T. Trafalis
Pharmaceuticals 2026, 19(2), 331; https://doi.org/10.3390/ph19020331 - 17 Feb 2026
Viewed by 187
Abstract
Background: Colorectal and pancreatic cancers remain therapeutically challenging, with limitations in efficacy and limitations due to toxicity from conventional antimetabolites such as 5-fluorouracil (5-FU), methotrexate (MTX), and gemcitabine (GEM). Steroidal conjugation offers an approach to enhance selectivity and toxicokinetics. Methods: Five novel [...] Read more.
Background: Colorectal and pancreatic cancers remain therapeutically challenging, with limitations in efficacy and limitations due to toxicity from conventional antimetabolites such as 5-fluorouracil (5-FU), methotrexate (MTX), and gemcitabine (GEM). Steroidal conjugation offers an approach to enhance selectivity and toxicokinetics. Methods: Five novel hybrid homo-aza (lactam) steroidal antimetabolites (GE23, CS18, CS23, KA44, MV16) were synthesized and tested against three pancreatic and four colorectal carcinoma cell lines with distinct molecular characteristics. Antiproliferative activity (MTT), apoptosis (Annexin V/PI), and cell cycle effects were assessed. Thymidylate synthase (TS) and dihydrofolate reductase (DHFR) inhibition was examined via molecular docking, Western blot, and enzymatic assays. Correlations between docking binding scores (DBS) and biological data were analyzed, and effects were compared with reference drugs (5-FU, MTX, GEM). Results: CS23, CS18, and KA44 exhibited the most potent cytostatic activity (mean GI50 10–80 µM). CS23 also induced high cytocidal effects, strong apoptosis (40% at 72 h), and G1/S arrest. Moreover, docking predicted the high binding affinity of CS23 for both TS (−11.2 kcal/mol) and DHFR (−11.5 kcal/mol), which was validated by Western blot and enzymatic inhibition (IC50 ≈ 20 nM). Correlation analyses showed significant relationships between hybrid steroidal antimetabolites’ cytostatic efficacy and DBS for TS (r = −0.75) and DHFR (r = −0.76), and combined DBS values predicted growth inhibition (r = −0.81, p < 0.01). No simple, universal correlation with single mutations of KRAS, BRAF, PI3K, or TP53 was found. Conclusions: Lactam steroidal antimetabolite hybrids, particularly CS23, act as dual TS/DHFR inhibitors, inducing apoptosis and cell cycle arrest with improved selectivity. Their strong in silico–in vitro concordance provides a compelling preclinical rationale for further evaluation of steroidal antimetabolites as next-generation therapeutics for resistant gastrointestinal malignancies. Full article
61 pages, 10422 KB  
Article
Hybrid Computational Framework Integrating Ensemble Learning, Molecular Docking, and Dynamics for Predicting Antimalarial Efficacy of Malaria Box Compounds
by Martín Moreno, Sebastián A. Cuesta, José R. Mora, Edgar A. Márquez Brazon, José L. Paz, Guillermin Agüero-Chapin, Noel Pérez-Pérez and César R. García-Jacas
Int. J. Mol. Sci. 2026, 27(4), 1875; https://doi.org/10.3390/ijms27041875 - 15 Feb 2026
Viewed by 196
Abstract
The emergence of drug-resistant strains of Plasmodium falciparum continues to challenge global malaria control efforts, underscoring the urgent need for novel therapeutic strategies. In this study, we present an integrative computational framework that combines ensemble machine learning, molecular docking, and molecular dynamics simulations [...] Read more.
The emergence of drug-resistant strains of Plasmodium falciparum continues to challenge global malaria control efforts, underscoring the urgent need for novel therapeutic strategies. In this study, we present an integrative computational framework that combines ensemble machine learning, molecular docking, and molecular dynamics simulations to predict and characterize the antimalarial activity of compounds from the Malaria Box database. Initially, topographical and quantum mechanical descriptors were used to construct regression models for predicting pEC50 values, but due to the limited predictive performance in the global regression, a classification strategy was adopted, categorizing compounds into “active” and “very active” classes. The best ensemble classifier achieved robust performance (Acc10-fold = 0.738, Accext = 0.675), with good sensitivity and specificity over individual models. Subsequent regression modeling within each class yielded high predictive accuracy, with ensemble models reaching Q210-fold values of 0.810 and 0.793 for the very active and active classes, respectively. To explore potential mechanisms of action, molecular docking was performed against P. falciparum Cytochrome B, revealing strong binding affinities for most compounds, particularly those forming π–π stacking and hydrogen bonds with Glu272. Molecular dynamics simulations over 200 ns confirmed the stability of several ligand–protein complexes, including unexpected behavior from compound M31, which demonstrated stable binding despite poor docking scores, suggesting a possible competitive inhibition mechanism. Binding free energy calculations further validated these findings, highlighting several promising candidates for future experimental evaluation. This integrative approach offers a powerful platform for accelerating antimalarial drug discovery by combining predictive modeling with mechanistic insights. Full article
(This article belongs to the Section Molecular Informatics)
Show Figures

Figure 1

16 pages, 3295 KB  
Article
Houttuynia cordata Polysaccharide Alleviates Hepatic Ischemia-Reperfusion Injury by Regulating Macrophage Polarization via Inhibiting the TLR4/NF-κB Signaling Pathway
by Bo Yu, Dalin He, Zhan Chen, Yujie Zhou, Jiangqiao Zhou, Tianyu Wang, Qiangmin Qiu, Zhongbao Chen, Xiaoxiong Ma, Jiefu Zhu, Shusen Zheng and Tao Qiu
Biomedicines 2026, 14(2), 433; https://doi.org/10.3390/biomedicines14020433 - 14 Feb 2026
Viewed by 135
Abstract
Background: Hepatic ischemia-reperfusion injury (HIRI) is a major complication in liver surgery with limited therapeutic options. Houttuynia cordata polysaccharide (HCP), a key bioactive component of the traditional anti-inflammatory herb, has demonstrated immunomodulatory potential, but its effect on HIRI remains unclear. Methods: A murine [...] Read more.
Background: Hepatic ischemia-reperfusion injury (HIRI) is a major complication in liver surgery with limited therapeutic options. Houttuynia cordata polysaccharide (HCP), a key bioactive component of the traditional anti-inflammatory herb, has demonstrated immunomodulatory potential, but its effect on HIRI remains unclear. Methods: A murine model of 70% hepatic ischemia for 60 min followed by reperfusion was established. Mice were administered low-dose (50 mg/kg) or high-dose (100 mg/kg) HCP or the positive control N-acetylcysteine (150 mg/kg). Liver injury was assessed by serum ALT/AST levels, histopathology, oxidative stress markers, and inflammatory cytokines. Macrophage polarization and the TLR4/NF-κB pathway were analyzed using flow cytometry, qPCR, and Western blot. The TLR4 inhibitor TAK-242 was used for reverse validation, and molecular docking was performed to predict HCP binding to the TLR4/MD-2 complex. Results: HCP significantly attenuated HIRI-induced liver injury, as shown by reduced ALT/AST, improved histopathological scores, decreased MDA, increased SOD, and lower TNF-α and IL-6 levels. Mechanistically, HCP promoted a shift from M1 to M2 macrophage polarization, with increased CD206+ cells and Arg-1/IL-10 expression and decreased CD86+ cells and iNOS/IL-1β expression. HCP also suppressed TLR4/MyD88/NF-κB pathway activation, inhibiting NF-κB p65 phosphorylation and nuclear translocation. These protective effects were largely reversed by TAK-242 in vivo and in vitro. Molecular docking indicated stable binding between HCP and TLR4/MD-2. Conclusions: HCP protects against HIRI by targeting TLR4 to inhibit NF-κB signaling, thereby reprogramming macrophage polarization toward the M2 phenotype and alleviating inflammation and oxidative stress. These findings highlight HCP as a promising natural agent for HIRI intervention. Full article
(This article belongs to the Section Cell Biology and Pathology)
Show Figures

Figure 1

30 pages, 6607 KB  
Article
N-Benzyl-6-Chloro-4-Hydroxy-2-Quinolone-3-Carboxamides: Synthesis, Computational Studies, and Biological Investigation as Anticancer Agents
by Sara Jamal Meknas, Eveen Al-Shalabi, Rima Hajjo, Sanaa K. Bardaweel, Ghassan Abushaikha, Kamal Sweidan, Swapnaa Balaji, Amit K. Tiwari, Haizhen A. Zhong and Dima A. Sabbah
Molecules 2026, 31(4), 655; https://doi.org/10.3390/molecules31040655 - 13 Feb 2026
Viewed by 216
Abstract
Cancer remains the second leading cause of death worldwide, highlighting the urgent need for novel therapeutic agents. In this work, twenty derivatives of N-benzyl-6-chloro-4-hydroxy-2-quinolone-3-carboxamides were synthesized and spectroscopically analyzed using FT-IR, NMR (1H and 13C), and elemental analysis. Substitution [...] Read more.
Cancer remains the second leading cause of death worldwide, highlighting the urgent need for novel therapeutic agents. In this work, twenty derivatives of N-benzyl-6-chloro-4-hydroxy-2-quinolone-3-carboxamides were synthesized and spectroscopically analyzed using FT-IR, NMR (1H and 13C), and elemental analysis. Substitution of benzyl moiety with o-CH3 (8), p-OCH3 (10), m-CH3 (18), p-CH3 (19), and p-CF3 (21) demonstrated three-fold distinct cytotoxicity against human colon cancer (HCT-116) cells with IC50s of 72.0, 100.0–112.0 µM. The cheminformatics calculations disclosed that the analogues possess diverse physicochemical properties and invariable predictions across six drug-likeness scoring models, supporting their potential cytotoxicity profile against colorectal cancer cell lines (Caco-2 and HCT-116). The docking studies against both wild-type and mutant PI3Kα clarified binding interactions, implying that particular functionalities improve efficacy and selectivity. This study provides further evidence for the therapeutic promise of quinolones in targeting cancer-specific pathways and expedites the process for developing potent anticancer agents. Full article
(This article belongs to the Special Issue Novel Heterocyclic Compounds: Synthesis and Applications)
Show Figures

Graphical abstract

33 pages, 7630 KB  
Article
In Silico Molecular Docking and Pharmacokinetic Evaluation of Cannabinoid Derivatives as Multi-Target Inhibitors for EGFR, VEGFR-1, and VEGFR-2 Proteins
by Akhtar Ayoobi and Hyong Woo Choi
Curr. Issues Mol. Biol. 2026, 48(2), 204; https://doi.org/10.3390/cimb48020204 - 12 Feb 2026
Viewed by 161
Abstract
Cancer therapy development increasingly focuses on multi-target approaches to inhibit key proteins involved in tumor growth and angiogenesis. This study explored the potential inhibitory interactions of 110 cannabinoid derivatives using molecular docking simulations against epidermal growth factor receptor (EGFR), vascular endothelial growth factor [...] Read more.
Cancer therapy development increasingly focuses on multi-target approaches to inhibit key proteins involved in tumor growth and angiogenesis. This study explored the potential inhibitory interactions of 110 cannabinoid derivatives using molecular docking simulations against epidermal growth factor receptor (EGFR), vascular endothelial growth factor receptor-1 (VEGFR-1), and VEGFR-2. Blind docking with AutoDock Vina identified eight recurrent hits across all three targets, including polar THC glucuronides and more drug-like cannabinoid scaffolds. Among these, 2′-Hydroxy-Delta (9)-THC and Ajulemic Acid combined favorable multi-target binding with superior predicted pharmacokinetic properties compared with other cannabinoids and reference inhibitors (lapatinib, motesanib, and sorafenib). ADME predictions highlighted Ajulemic Acid as the most promising oral candidate, showing optimal molecular weight, high oral bioavailability, and good gastrointestinal absorption, while 2′-Hydroxy-Delta (9)-THC exhibited potential for central nervous system exposure due to predicted blood–brain barrier permeability. In contrast, glucuronidated THC metabolites and highly lipophilic cannabinol esters displayed strong docking scores but suboptimal drug-likeness, suggesting prodrug- or metabolite-like behavior rather than suitability as primary oral leads. Toxicity predictions classified all compounds as moderately toxic, with Ajulemic Acid showing a comparatively more favorable safety profile. These findings do not demonstrate biological inhibition and should be interpreted strictly as hypothesis-generating computational evidence, providing a rational framework for future in vivo and in vitro validations. Full article
Show Figures

Figure 1

26 pages, 18301 KB  
Article
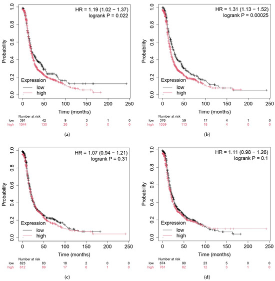
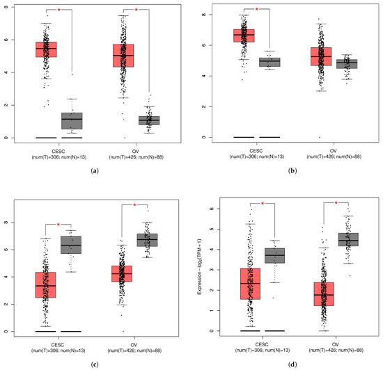
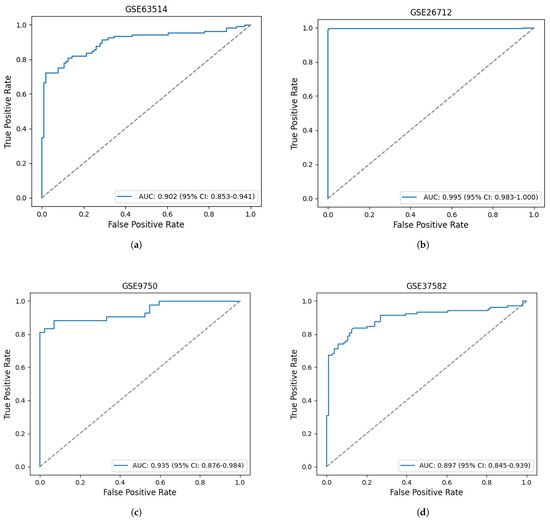
Precision Biomarker Identification in Gynecological Cancers Using Coexpression Networks and Attention-Based LSTM in Healthcare 4.0
by Sakib Sarker, Emon Ahammed, Md. Faruk Hosen, Mohammad Badrul Alam Miah, Mohammad Amanul Islam, Deepak Ghimire, Youngbae Hwang and A. S. M. Sanwar Hosen
Diagnostics 2026, 16(4), 546; https://doi.org/10.3390/diagnostics16040546 - 12 Feb 2026
Viewed by 131
Abstract
Background: Cervical cancer (CC) and ovarian cancer (OC) are among the most prevalent and lethal gynecological malignancies in women, necessitating the identification of reliable biomarkers for early diagnosis and prognosis. Methods: This study integrates bioinformatics and Healthcare 4.0 to identify key biomarkers associated [...] Read more.
Background: Cervical cancer (CC) and ovarian cancer (OC) are among the most prevalent and lethal gynecological malignancies in women, necessitating the identification of reliable biomarkers for early diagnosis and prognosis. Methods: This study integrates bioinformatics and Healthcare 4.0 to identify key biomarkers associated with these cancers. Differentially expressed genes (DEGs) were identified from two microarray datasets. mRMR followed by SVM-RFE was applied to the identified DEGs to extract the most significant ML-based DEGs (MDEGs). The predictive ability of the selected gene subsets was further evaluated via multiple classifiers, where attention-based long short-term memory (AttLSTM) consistently achieved the best performance across both datasets. In parallel, WGCNA was conducted to identify coexpression-associated genes (CAGs) from significant modules in each dataset. A PPI network (PPIN) was constructed using the genes common to MDEGs and CAGs and was analyzed via Cytoscape. Results: Four hub genes, MCM3, FOXM1, SH3BP5, and PAPSS2, were identified via the degree method. mRNA expression analysis revealed that FOXM1 and MCM3 were upregulated, whereas SH3BP5 and PAPSS2 were downregulated in cancer tissues compared with normal tissues. ROC curve analysis demonstrated the high prognostic significance of these hub genes, with substantial AUC scores indicating strong discriminatory power. Furthermore, molecular docking analysis with an FDA-approved drug compound confirmed the significant binding affinity between these genes and the drug molecules. Conclusions: These findings suggest that FOXM1, MCM3, SH3BP5, and PAPSS2 could serve as biomarkers for early prognosis, diagnosis, and targeted therapy in patients with cervical and ovarian cancer. Full article
(This article belongs to the Section Machine Learning and Artificial Intelligence in Diagnostics)
Show Figures

Figure 1

17 pages, 2743 KB  
Article
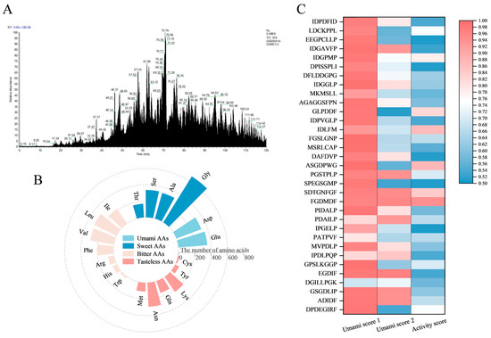
Preparation and Identification of the Novel Umami Peptides from Sea Cucumber Viscera Hydrolysate
by Xinmiao Ren, Yiling Zhong, Changyun Wang, Qingping Liang, Shuang Li, Rongqiang Chen, Dongyu Li, Changliang Zhu, Xiaodan Fu and Haijin Mou
Foods 2026, 15(4), 673; https://doi.org/10.3390/foods15040673 - 12 Feb 2026
Viewed by 140
Abstract
Sea cucumber viscera by-products are abundant but remain underutilized. Although the development of umami peptides from marine by-products has been well-reported, sea cucumber viscera have received less attention. In this study, an umami-rich hydrolysate was prepared from sea cucumber viscera through synergistic dual-enzyme [...] Read more.
Sea cucumber viscera by-products are abundant but remain underutilized. Although the development of umami peptides from marine by-products has been well-reported, sea cucumber viscera have received less attention. In this study, an umami-rich hydrolysate was prepared from sea cucumber viscera through synergistic dual-enzyme hydrolysis. Under optimal conditions, the co-hydrolysis using Flavourzyme and aminopeptidase yielded extraction rates of 69.38% for solids, 67.29% for protein, and 66.96% for total sugar, and produced a 1.75-fold higher umami signal intensity (electronic tongue) than the single-enzyme (Flavourzyme) hydrolysate. The target umami fraction was enriched through sensory-guided separation combined with ultrafiltration and ion-exchange chromatography. Thirty-three umami peptides, predominantly derived from actin hydrolysis, were identified in this fraction via peptidomics and virtual screening. Based on docking simulations against the umami receptor T1R1/T1R3, two peptides (DFLDDGPG and SDTGNFGF) with the lowest docking scores were selected. The predictions revealed that two peptides bind to the T1R3 subunit via hydrogen bonds and π-related interactions. The umami-enhancing effect of peptide DFLDDGPG in salty systems was demonstrated by a trained panel (n = 10) across concentration ranges of 0.1–1.0 mg/mL peptide and 0.1–1.0% NaCl, with a positive correlation validated by RSM and ANOVA (p < 0.05). This study identified novel umami peptides from sea cucumber by-products as promising candidates for natural, low-sodium flavor enhancers. Full article
(This article belongs to the Section Food Nutrition)
Show Figures

Graphical abstract

14 pages, 3061 KB  
Article
Tetradecylamine: A Newly Identified Biogenic Amine Compound from the Venom of Vespa affinis
by Supawadee Sriburin, Nikorn Shinsuphan, Anuwatchakij Klamrak, Yutthakan Saengkun, Piyapon Janpan, Nisachon Jangpromma, Rina Patramanon, Sirinan Kulchat, Arunrat Chaveerach, Jringjai Areemit, Jureerut Daduang and Sakda Daduang
Biology 2026, 15(4), 316; https://doi.org/10.3390/biology15040316 - 11 Feb 2026
Viewed by 168
Abstract
The venom of the Asian hornet (Vespa affinis) comprises a complex mixture of biologically active substances, including various enzymes such as phospholipase A and hyaluronidase; amines such as histamine, serotonin, and catecholamines; peptides such as mastoparan and vespakinin; and other components [...] Read more.
The venom of the Asian hornet (Vespa affinis) comprises a complex mixture of biologically active substances, including various enzymes such as phospholipase A and hyaluronidase; amines such as histamine, serotonin, and catecholamines; peptides such as mastoparan and vespakinin; and other components including acetylcholine and antigen 5. This complexity reflects the highly evolved nature of V. affinis as a venomous insect. The composition of animal venoms often exhibits a certain degree of variability, making the study of biogenic amines particularly intriguing. The objective of this research was to confirm and identify the presence of tetradecylamine in the venom of Vespa affinis using the scientific computational analysis software MetFrag. In addition, the study aimed to construct the biosynthetic pathway of this compound and to predict its potential biological roles. The predicted biosynthetic route of tetradecylamine suggested its possible involvement in antibacterial activity. Antibacterial assays were performed against four bacterial strains Escherichia coli, Staphylococcus aureus, Bacillus cereus, and Klebsiella pneumoniae. The results revealed that tetradecylamine exhibited notable inhibitory effects, with minimum inhibitory concentration (MIC) values of 2, 4, 8, and 4 µg/mL, and minimum bactericidal concentration (MBC) values of 2, 4, 8, and 4 µg/mL, respectively. Furthermore, molecular docking studies were conducted using penicillin-binding protein 2x (PBP2x, PDB ID: 5OIZ) as the target protein. Among eight tested ligands, streptomycin exhibited the highest binding affinity with a docking score of 64.76. In contrast, biogenic amines such as 2-phenylethylamine and tetradecylamine showed docking scores of 33.74 and 48.2, respectively. In the MurA protein (PDB ID: 3VCY), the biogenic amine ligand tetradecylamine exhibited a binding affinity comparable to that of certain reference drugs. Specifically, tetradecylamine achieved a GOLD score of 52.58, whereas ampicillin showed a higher score of 61.53. Notably, tetradecylamine demonstrated a higher binding affinity to the target protein compared with certain conventional antibiotics such as doxycycline and gentamycin. Full article
(This article belongs to the Section Biochemistry and Molecular Biology)
Show Figures

Figure 1

40 pages, 3023 KB  
Article
Molecular Informatics, Chemometrics, and Sensory Omics for Constructing an Umami Peptide Cluster Library Across the Entire Lager Beer Brewing Process
by Yashuai Wu, Ruiyang Yin, Wenjing Tian, Wanqiu Zhao, Jiayang Luo, Mingtao Huang and Dongrui Zhao
Foods 2026, 15(4), 641; https://doi.org/10.3390/foods15040641 - 10 Feb 2026
Viewed by 180
Abstract
Umami taste in lager beer not only determined body fullness and the backbone of aftertaste, but also affected the controllability and interpretability of flavor expression across the entire brewing process. Based on stage-wise sampling, peptidomic profiles were established on wort fermentation day 0, [...] Read more.
Umami taste in lager beer not only determined body fullness and the backbone of aftertaste, but also affected the controllability and interpretability of flavor expression across the entire brewing process. Based on stage-wise sampling, peptidomic profiles were established on wort fermentation day 0, day 1, day 3, and day 9. A total of 25,592 peptides were identified by reversed-phase liquid chromatography–quadrupole time-of-flight mass spectrometry (RPLC-QTOF-MS). Molecular informatics screening was performed using UMPred-FRL (a feature representation learning-based meta-predictor for umami peptides) and TastePeptides-Meta (a one-stop platform for taste peptides and prediction models), yielding 7255 potential umami peptides. From these, 145 peptides were further selected for molecular docking. In addition, 6 representative umami peptides were selected for receptor-level validation and structural analysis. Mechanistically, the umami receptor taste receptor type 1 member 1/taste receptor type 1 member 3 (T1R1/T1R3) belonged to class C G protein-coupled receptor (GPCR) and relied on the extracellular Venus flytrap (VFT) domain for ligand capture. Ligand-induced VFT conformational convergence transmitted changes to the transmembrane region and triggered signal transduction. Docking and energy decomposition indicated that the ionic group primarily contributed to orientation and anchoring. Salt-bridge or hydrogen-bond networks were formed around Lys228, Arg240, Glu206, Asp210, Asn141, and Gln138, thereby reducing conformational freedom. Meanwhile, hydrophobic side chains obtained major binding gains within a hydrophobic microenvironment formed by Val135, Ile137, Leu165, Tyr166, Trp78, and His79. These results reflected a synergistic mode in which charge pairing enabled positioning and hydro-phobic complementarity promoted VFT closure. To experimentally confirm sensory relevance, 6 representative peptides were individually spiked into 4 brewing-stage beer samples, which produced a clear stratification pattern across stages. Notably, peptides with favorable docking-derived binding propensity did not necessarily enhance umami perception, and several longer peptides showed persistent negative sensory shifts, supporting that binding affinity alone could not be treated as a proxy for perceived umami in the beer matrix. At the node level, the cumulative abundance of umami peptides showed a significant positive correlation with umami scores, with a Pearson correlation coefficient of r = 0.963 and p = 0.037. This result indicated good linear consistency between umami peptide content and the upward shift in umami taste in lager beer. Umami peptide clusters were further proposed as a more appropriate functional unit, and an umami peptide cluster database spanning the full process was constructed. This database provided a reusable resource for process control and flavor prediction. Full article
(This article belongs to the Section Food Analytical Methods)
Show Figures

Figure 1

23 pages, 7352 KB  
Article
In Silico Targeting of Trypanothione Reductase and Glycerol-3-Phosphate Dehydrogenase in Leishmania
by Ali Alisaac
Microorganisms 2026, 14(2), 407; https://doi.org/10.3390/microorganisms14020407 - 9 Feb 2026
Viewed by 196
Abstract
Leishmaniasis remains a neglected tropical disease with treatment limitations driven by toxicity, cost, and emerging resistance. Trypanothione reductase (TryR) and glycerol-3-phosphate dehydrogenase (GPDH) are essential Leishmania enzymes supporting redox homeostasis and energy/redox-linked metabolism, providing a biologically grounded rationale for dual-target inhibition. We applied [...] Read more.
Leishmaniasis remains a neglected tropical disease with treatment limitations driven by toxicity, cost, and emerging resistance. Trypanothione reductase (TryR) and glycerol-3-phosphate dehydrogenase (GPDH) are essential Leishmania enzymes supporting redox homeostasis and energy/redox-linked metabolism, providing a biologically grounded rationale for dual-target inhibition. We applied an integrated in silico workflow to prioritize candidate inhibitors using ADMET prediction (SwissADME/pkCSM), molecular docking (AutoDock Vina), and 100 ns molecular dynamics (MD) simulations; human GPDH was included as a negative control to probe potential off-target liability. ADMET screening identified 41 drug-like candidates, with most predicted to have high GI absorption and low toxicity flags across assessed endpoints (computational predictions interpreted cautiously). Docking highlighted two leading compounds. CID 6529858 showed the most favorable predicted binding to Leishmania GPDH (−8.9 kcal/mol) with a modest parasite-favored score difference versus human GPDH (−7.2 kcal/mol; Δ = −1.7 kcal/mol), while eupatorin (CID: 97214) displayed dual-target potential (TryR −7.5 kcal/mol; Leishmania GPDH −8.2 kcal/mol; human GPDH −7.2 kcal/mol; Δ = −1.0 kcal/mol). In MD, key complexes remained stable: CID 6529858 exhibited low GPDH backbone deviation (~0.25–0.40 nm), and eupatorin showed the most stable TryR trajectory (average RMSD ~0.45 nm), supported by generally low residue fluctuations across complexes. PCA further suggested ligand-associated restriction of large-scale motions (e.g., GPDH PC1 = 27.38%; TryR PC1 = 18.1%). Overall, these results nominate eupatorin as a promising dual-target lead and CID 6529858 as a strong GPDH-focused scaffold, warranting experimental enzyme inhibition, antiparasitic efficacy, and host–cell cytotoxicity testing to confirm potency and selectivity. Full article
Show Figures

Figure 1

29 pages, 5833 KB  
Article
Spacio-Linear Screening for Ligand-Docking Cavities in Protein Structures: SLAM Algorithm
by Julia Panov, Alexander Elbert, Dean S. Rosenthal, Moshe Levi, Konstantin Chumakov, Raul Andino, Leonid Brodsky and Hanoch Kaphzan
Life 2026, 16(2), 285; https://doi.org/10.3390/life16020285 - 7 Feb 2026
Viewed by 179
Abstract
Identifying structurally similar ligand-binding sites in unrelated proteins can facilitate drug repurposing, reveal off-target effects, and deepen our understanding of protein function. A number of tools were developed for structural screening, but many of them suffer from limited sensitivity and scalability. Using a [...] Read more.
Identifying structurally similar ligand-binding sites in unrelated proteins can facilitate drug repurposing, reveal off-target effects, and deepen our understanding of protein function. A number of tools were developed for structural screening, but many of them suffer from limited sensitivity and scalability. Using a data bank of crystallized protein structures, we aimed to discover novel protein targets for a ligand by leveraging a known ligand-binding query protein with a resolved structure. Here, we present SLAM (Spacio-Linear Alignment of Macromolecules), a novel alignment-based algorithm that detects local 3D similarities between ligand-binding cavities or protein-exposed surfaces of query and target proteins. SLAM encodes spatial substructure neighborhoods into short linear sequences of physicochemically annotated atoms, then applies pairwise sequence alignment combined with distance-correlation scoring to identify high-fidelity structural matches. Benchmarking using the Kahraman-36 dataset demonstrated that SLAM outperforms the state-of-the-art ProBiS algorithm in true-positive rate for predicting ligand-docking compatibility. Furthermore, SLAM identifies candidate ligands that may inhibit functionally critical domains of CRISPR-Cas proteins and predicts novel binding partners of toxic per- and polyfluoroalkyl Substance (PFAS) compounds (PFOA, PFOS) with plausible mechanistic links to toxicity. In conclusion, SLAM is a robust computationally efficient and flexible structural screening tool capable of detecting subtle physicochemical compatibilities between protein surfaces, promising to accelerate target discovery in pharmacology and elucidate protein–ligand interactions in environmental toxicology. Full article
(This article belongs to the Section Biochemistry, Biophysics and Computational Biology)
Show Figures

Figure 1

23 pages, 3194 KB  
Article
Chemical Profiling, Analgesic and Anti-Inflammatory Activities of Farsetia aegyptia and Zilla spinosa: Integrated In Vitro, In Vivo, and In Silico Studies
by Malek Besbes, Assia Hamdi, Kaouther Majouli, Mabrouk Horchani, Abeer Ayed Alshammari, Saoussen Jilani, Salwa Ahmed Lotfi, Ramzi Hadj Lajimi, Hichem Ben Jannet, Walid Ben Selma and Jamil Kraiem
Plants 2026, 15(4), 523; https://doi.org/10.3390/plants15040523 - 7 Feb 2026
Viewed by 219
Abstract
Plants are a rich source of active metabolites that have been used to treat inflammation troubles. The current study aimed to identify the analgesic and anti-inflammatory compounds in Farsetia aegyptia and Zilla spinosa extracts. The anti-inflammatory activity was evaluated using the xylene-induced ear [...] Read more.
Plants are a rich source of active metabolites that have been used to treat inflammation troubles. The current study aimed to identify the analgesic and anti-inflammatory compounds in Farsetia aegyptia and Zilla spinosa extracts. The anti-inflammatory activity was evaluated using the xylene-induced ear edema model in mice and the carrageenan-induced paw edema model in Wistar rats. Additionally, both central and peripheral analgesic effects were assessed in mice. The anti-lipoxygenase activity was examined through an in vitro enzyme inhibition assay. The phytochemical composition of the bioactive extracts was characterized using High-Resolution Liquid Chromatography–Mass Spectrometry (HR-LCMS). The aqueous extracts of both species exhibited the strongest anti-inflammatory activity. The F. aegyptia extract showed inhibition percentages of 51.82% at 6.25 mg/kg and 51.14% at 0.78 mg/kg, while the Z. spinosa extract yielded 65.05% inhibition at 12.5 mg/kg and 56.14% at 1.56 mg/kg in the paw and ear edema models, respectively. These extracts also demonstrated significant analgesic activity and inhibited lipoxygenase, with IC50 values of 0.063 mg/mL for F. aegyptia and 0.072 mg/mL for Z. spinosa. HR-LCMS analysis revealed that the main constituent in Fa was malic acid (18.83%), while retronecine (19.03%) was the primary compound in Z. spinosa. Quercetin 3-[rhamnosyl-(1->2)-rhamnosyl-(1->6)-glucoside] was detected in both extracts with important proportions 7.87% in F. aegyptia and 8.29% in Z. spinosa and displayed the best docking score of −9.2 kcal/mol against the 5-lipoxygenase receptor (PDB: 3V99) in molecular docking studies. Overall, these findings indicate that F. aegyptia and Z. spinosa have significant potential as sources of novel anti-inflammatory agents. Full article
Show Figures

Figure 1

Back to TopTop