Spacio-Linear Screening for Ligand-Docking Cavities in Protein Structures: SLAM Algorithm
Abstract
1. Introduction
2. Materials and Methods
2.1. Overview of SLAM Algorithm
2.2. SLAM Algorithm: Step-by-Step Workflow
- Step 1: Selection of Candidate Neighborhood Centers
- Step 2: Generation of Local Atom Sequences
- Step 3: Annotation of atoms with Physicochemical Properties
- Step 4: Pairwise Sequence Alignment
- Step 5: Frequency Filtering of Atom Matches
- Step 6: Expansion into Larger 3D Substructures
- Step 7: Final Scoring of 3D Alignments
2.2.1. Physicochemical Similarity Measure for Atom-to-Atom Comparison
2.2.2. Atom Pair Detection Frequency as an Indicator of Substructure Superimposability
2.2.3. Reconstructing Superimposable Substructures from High-Scoring Atom Pairs
2.2.4. Scoring of 3D Alignments
2.3. LigandPDB: Construction of a Reference Database of Known Ligand Neighborhoods
2.4. SurfXPDB: Construction of a Reference Database of Surface-Exposed Neighborhoods from the PDB
2.5. Free-Energy Estimation and Ligand Binding Optimization with AutoDock Vina
2.6. Benchmark Probe Dataset: Kahraman-36 Dataset
2.7. Threshold Selection for SLAM Scoring
2.7.1. Determining the Threshold for Statistically Significant SLAM 3D Alignment Scores
2.7.2. Determining the Free-Energy Score Threshold for True-Positive Probe Ligand Docking
2.8. Code Availability
3. Results
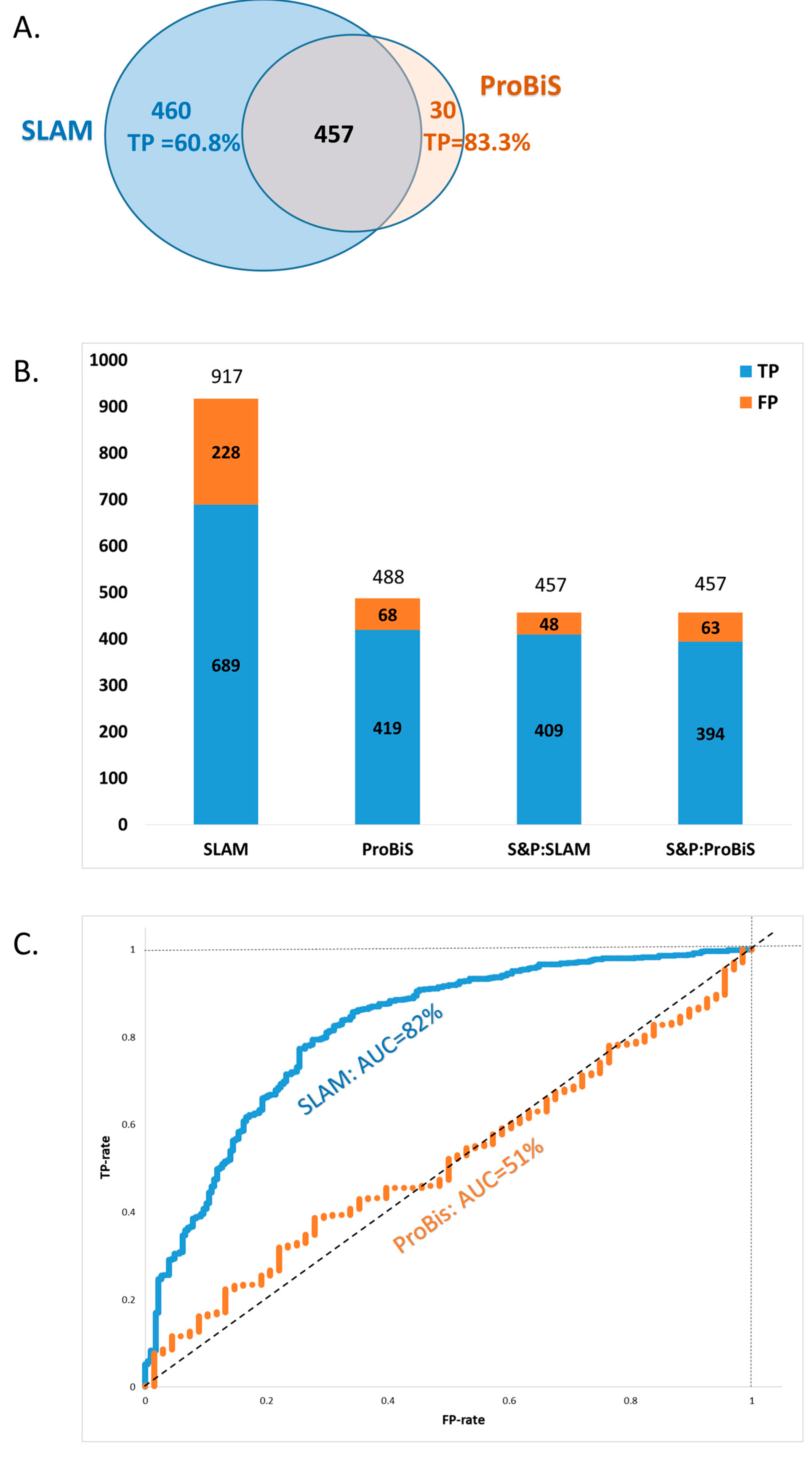
3.1. Comparison of SLAM and ProBiS Algorithms Based on Ligand-Containing Cavities in Target Proteins
3.2. Comparison of the SLAM and ProBiS Algorithms for Docking Kahraman36 Probe Ligands into Solvent-Exposed Surface Patches of Target Proteins
3.3. Case Study: Identifying Ligand Inhibitors for CRISPR-Cas System Using the SLAM Algorithm
3.4. Case Study: Identifying PFOA and PFOS Binding Partners Using SLAM
3.4.1. Potential PFOA Binding Proteins Identified by SLAM-Based Approach
3.4.2. Potential PFOS-Binding Proteins Identified by SLAM-Based Approach
4. Discussion
5. Conclusions
Supplementary Materials
Author Contributions
Funding
Institutional Review Board Statement
Informed Consent Statement
Data Availability Statement
Acknowledgments
Conflicts of Interest
Abbreviations
| SLAM | Spacio-Linear Alignment of Macromolecules |
| PDB | Protein Data Bank |
| PFAS | Per- and Polyfluoroalkyl Substances |
| PFOA | Perfluorooctanoic Acid |
| PFOS | Perfluorooctane Sulfonate |
| ProBiS | Protein Binding Sites (Algorithm) |
| ATP | Adenosine Triphosphate |
| AMP | Adenosine Monophosphate |
| FAD | Flavin Adenine Dinucleotide |
| FMN | Flavin Mononucleotide |
| NAD | Nicotinamide Adenine Dinucleotide |
| HEM | Ferroheme |
| HEC | Ferroheme C |
| GLC | α-D-Glucopyranose |
| PO4 | Phosphate Ion |
| SASA | Solvent-Accessible Surface Area |
| FE | Free Energy |
| FE-score | Free-Energy Score |
| RMSD | Root Mean Square Deviation |
| ROC | Receiver Operating Characteristic |
| AUC | Area Under the Curve |
| TP | True Positive |
| FP | False Positive |
| SD | Standard Deviation |
| nr-ProBiS | Non-Redundant ProBiS Database |
| LigandPDB | Database of Ligand-Binding Protein Neighborhoods |
| SurfXPDB | Database of Surface-Exposed Protein Neighborhoods |
| CRISPR | Clustered Regularly Interspaced Short Palindromic Repeats |
| Cas | CRISPR-Associated |
| Acr | Anti-CRISPR |
| gRNA | Guide RNA |
| crRNA | CRISPR RNA |
| PPAR | Peroxisome Proliferator-Activated Receptor |
| FABP | Fatty Acid-Binding Protein |
| TGF-β | Transforming Growth Factor Beta |
| TRPC6 | Transient Receptor Potential Channel 6 |
| HO-1 | Heme Oxygenase 1 |
| PYGL | Liver Glycogen Phosphorylase |
| TASK3 | TWIK-Related Acid-Sensitive K+ Channel 3 |
| AR | Androgen Receptor |
References
- Eguida, M.; Rognan, D. Estimating the Similarity between Protein Pockets. Int. J. Mol. Sci. 2022, 23, 12462. [Google Scholar] [CrossRef]
- Kahraman, A.; Morris, R.J.; Laskowski, R.A.; Favia, A.D.; Thornton, J.M. On the diversity of physicochemical environments experienced by identical ligands in binding pockets of unrelated proteins. Proteins 2010, 78, 1120–1136. [Google Scholar] [CrossRef] [PubMed]
- Liu, T.; Altman, R.B. Using Multiple Microenvironments to Find Similar Ligand-Binding Sites: Application to Kinase Inhibitor Binding. PLoS Comput. Biol. 2011, 7, e1002326. [Google Scholar] [CrossRef]
- Shao, C.; Westbrook, J.D.; Lu, C.; Bhikadiya, C.; Peisach, E.; Young, J.Y.; Duarte, J.M.; Lowe, R.; Wang, S.; Rose, Y.; et al. Simplified quality assessment for small-molecule ligands in the Protein Data Bank. Structure 2022, 30, 252–262.e4. [Google Scholar] [CrossRef]
- Chen, T.; Shu, X.; Zhou, H.; Beckford, F.A.; Misir, M. Algorithm selection for protein–ligand docking: Strategies and analysis on ACE. Sci. Rep. 2023, 13, 8219. [Google Scholar] [CrossRef]
- Le Guilloux, V.; Schmidtke, P.; Tuffery, P. Fpocket: An open source platform for ligand pocket detection. BMC Bioinform. 2009, 10, 168. [Google Scholar] [CrossRef]
- Daberdaku, S.; Ferrari, C. Exploring the potential of 3D Zernike descriptors and SVM for protein-protein interface prediction. BMC Bioinform. 2018, 19, 35. [Google Scholar] [CrossRef] [PubMed]
- Simonovsky, M.; Meyers, J. Deeply Tough: Learning Structural Comparison of Protein Binding Sites. J. Chem. Inf. Model. 2020, 60, 2356–2366. [Google Scholar] [CrossRef] [PubMed]
- Choi, K.E.; Balupuri, A.; Kang, N.S. TWN-RENCOD: A novel method for protein binding site comparison. Comput. Struct. Biotechnol. J. 2023, 21, 425–431. [Google Scholar] [CrossRef]
- Konc, J.; Janežič, D. ProBiS algorithm for detection of structurally similar protein binding sites by local structural alignment. Bioinformatics 2010, 26, 1160. [Google Scholar] [CrossRef]
- Zemla, A.T.; Allen, J.E.; Kirshner, D.; Lightstone, F.C. PDBspheres: A method for finding 3D similarities in local regions in proteins. NAR Genom. Bioinform. 2022, 4, lqac078. [Google Scholar] [CrossRef]
- Needleman, S.B.; Wunsch, C.D. A general method applicable to the search for similarities in the amino acid sequence of two proteins. J. Mol. Biol. 1970, 48, 443–453. [Google Scholar] [CrossRef]
- Trott, O.; Olson, A.J. AutoDock Vina: Improving the speed and accuracy of docking with a new scoring function, efficient optimization and multithreading. J. Comput. Chem. 2010, 31, 455. [Google Scholar] [CrossRef]
- Gonnet, G.H.; Cohen, M.A.; Benner, S.A. Exhaustive matching of the entire protein sequence database. Science 1992, 256, 1443–1445. [Google Scholar] [CrossRef] [PubMed]
- Koolman, J.; Roehm, K.-H. Color Atlas of Biochemistry; Thieme Medical Publishers Inc.: New York, NY, USA, 2005; p. 467. [Google Scholar]
- Schuffenhauer, A.; Floersheim, P.; Acklin, P.; Jacoby, E. Similarity metrics for ligands reflecting the similarity of the target proteins. J. Chem. Inf. Comput. Sci. 2003, 43, 391–405. [Google Scholar] [CrossRef] [PubMed]
- Homer, R.W.; Swanson, J.; Jilek, R.J.; Hurst, T.; Clark, R.D. SYBYL line notation (SLN): A single notation to represent chemical structures, queries, reactions, and virtual libraries. J. Chem. Inf. Model. 2008, 48, 2294–2307. [Google Scholar] [CrossRef]
- Certara|Drug Development Solutions. Available online: https://www.certara.com/ (accessed on 19 March 2025).
- Kovar, K.-A. Grundlagen der Chemie von L. Pauling, Verlag, Chemie GmbH, Weinheim/Bergstr. 3. Aufl. 1972. 843 S., 296 Abb., 118 Tab., Leinen, DM 64,—. Pharm. Unserer Zeit 1973, 2, 128. [Google Scholar] [CrossRef]
- Jain, A.K.; Dubes, R.C. Algorithms for Clustering Data; Prentice Hall: Saddle River, NJ, USA, 1988; p. 320. [Google Scholar]
- Freesasa/Freesasa-Python: FreeSASA Python Module. Available online: https://github.com/freesasa/freesasa-python (accessed on 19 March 2025).
- Kabsch, W. A solution for the best rotation to relate two sets of vectors. Acta Crystallogr. Sect. A 1976, 32, 922–923. [Google Scholar] [CrossRef]
- Eberhardt, J.; Santos-Martins, D.; Tillack, A.F.; Forli, S. AutoDock Vina 1.2.0: New Docking Methods, Expanded Force Field, and Python Bindings. J. Chem. Inf. Model. 2021, 61, 3891–3898. [Google Scholar] [CrossRef]
- Konc, J.; Česnik, T.; Konc, J.T.; Penca, M.; Janežič, D. ProBiS-Database: Precalculated Binding Site Similarities and Local Pairwise Alignments of PDB Structures. J. Chem. Inf. Model. 2012, 52, 604. [Google Scholar] [CrossRef]
- Gumbel, E.J. Bivariate Logistic Distributions. J. Am. Stat. Assoc. 1961, 56, 335–349. [Google Scholar] [CrossRef]
- McGibbon, R.T.; Beauchamp, K.A.; Harrigan, M.P.; Klein, C.; Swails, J.M.; Hernández, C.X.; Schwantes, C.R.; Wang, L.P.; Lane, T.J.; Pande, V.S. MDTraj: A Modern Open Library for the Analysis of Molecular Dynamics Trajectories. Biophys. J. 2015, 109, 1528–1532. [Google Scholar] [CrossRef] [PubMed]
- Woolley, G.A.; Lee, E.; Zhang, F. sGAL: A computational method for finding surface exposed sites in proteins suitable for Cys-mediated cross-linking. Bioinformatics 2006, 22, 3101–3102. [Google Scholar] [CrossRef] [PubMed]
- Mitternacht, S. FreeSASA: An open source C library for solvent accessible surface area calculations. F1000Research 2016, 5, 189. [Google Scholar] [CrossRef]
- Makarova, K.S.; Wolf, Y.I.; Alkhnbashi, O.S.; Costa, F.; Shah, S.A.; Saunders, S.J.; Barrangou, R.; Brouns, S.J.; Charpentier, E.; Haft, D.H.; et al. An updated evolutionary classification of CRISPR–Cas systems. Nat. Rev. Microbiol. 2015, 13, 722–736. [Google Scholar] [CrossRef]
- Van Der Oost, J.; Westra, E.R.; Jackson, R.N.; Wiedenheft, B. Unravelling the structural and mechanistic basis of CRISPR–Cas systems. Nat. Rev. Microbiol. 2014, 12, 479–492. [Google Scholar] [CrossRef] [PubMed]
- Marraffini, L.A. CRISPR-Cas immunity in prokaryotes. Nature 2015, 526, 55–61. [Google Scholar] [CrossRef]
- Maji, B.; Gangopadhyay, S.A.; Lee, M.; Shi, M.; Wu, P.; Heler, R.; Mok, B.; Lim, D.; Siriwardena, S.U.; Paul, B.; et al. A High-Throughput Platform to Identify Small-Molecule Inhibitors of CRISPR-Cas9. Cell 2019, 177, 1067–1079.e19. [Google Scholar] [CrossRef]
- Allemailem, K.S.; Almatroudi, A.; Alrumaihi, F.; Alradhi, A.E.; Theyab, A.; Algahtani, M.; Alhawas, M.O.; Dobie, G.; Moawad, A.A.; Rahmani, A.H.; et al. Current Updates of CRISPR/Cas System and Anti-CRISPR Proteins: Innovative Applications to Improve the Genome Editing Strategies. Int. J. Nanomed. 2024, 19, 10185–10212. [Google Scholar] [CrossRef]
- Duan, C.; Cao, H.; Zhang, L.H.; Xu, Z. Harnessing the CRISPR-Cas Systems to Combat Antimicrobial Resistance. Front. Microbiol. 2021, 12, 716064. [Google Scholar] [CrossRef]
- Jia, N.; Patel, D.J. Structure-based functional mechanisms and biotechnology applications of anti-CRISPR proteins. Nat. Rev. Mol. Cell Biol. 2021, 22, 563–579. [Google Scholar] [CrossRef]
- Wee, S.Y.; Aris, A.Z. Environmental impacts, exposure pathways, and health effects of PFOA and PFOS. Ecotoxicol. Environ. Saf. 2023, 267, 115663. [Google Scholar] [CrossRef]
- Evich, M.G.; Davis, M.J.B.; McCord, J.P.; Acrey, B.; Awkerman, J.A.; Knappe, D.R.U.; Lindstrom, A.B.; Speth, T.F.; Tebes-Stevens, C.; Strynar, M.J.; et al. Per- and polyfluoroalkyl substances in the environment. Science 2022, 375, eabg9065. [Google Scholar] [CrossRef]
- Domingo, J.L.; Nadal, M. Human exposure to per- and polyfluoroalkyl substances (PFAS) through drinking water: A review of the recent scientific literature. Environ. Res. 2019, 177, 108648. [Google Scholar] [CrossRef] [PubMed]
- Costello, E.; Rock, S.; Stratakis, N.; Eckel, S.P.; Walker, D.I.; Valvi, D.; Cserbik, D.; Jenkins, T.; Xanthakos, S.A.; Kohli, R.; et al. Exposure to per-and Polyfluoroalkyl Substances and Markers of Liver Injury: A Systematic Review and Meta-Analysis. Environ. Health Perspect. 2022, 130, 46001. [Google Scholar] [CrossRef]
- Niu, Z.; Duan, Z.; He, W.; Chen, T.; Tang, H.; Du, S.; Sun, J.; Chen, H.; Hu, Y.; Iijima, Y.; et al. Kidney function decline mediates the adverse effects of per- and poly-fluoroalkyl substances (PFAS) on uric acid levels and hyperuricemia risk. J. Hazard. Mater. 2024, 471, 134312. [Google Scholar] [CrossRef]
- Li, Z.; Zhang, Y.; Wang, F.; Wang, R.; Zhang, S.; Zhang, Z.; Li, P.; Yao, J.; Bi, J.; He, J.; et al. Associations between serum PFOA and PFOS levels and incident chronic kidney disease risk in patients with type 2 diabetes. Ecotoxicol. Environ. Saf. 2022, 229, 113060. [Google Scholar] [CrossRef] [PubMed]
- Noyes, T.S.; Abington, L.M.; van’t Erve, T.J.; Wang, L.; McDonald, J.M.; Wasilevich, E.A.; Gray, J.S.; Karrer, T.A.; Smith, K.; Bailey, J.M. Per and polyfluoroalkyl substances affect thyroid hormones for people with a history of exposure from drinking water. Sci. Rep. 2025, 15, 12502. [Google Scholar] [CrossRef] [PubMed]
- Kim, M.J.; Moon, S.; Oh, B.C.; Jung, D.; Ji, K.; Choi, K.; Park, Y.J. Association between perfluoroalkyl substances exposure and thyroid function in adults: A meta-analysis. PLoS ONE 2018, 13, e0197244. [Google Scholar] [CrossRef]
- Ehrlich, V.; Bil, W.; Vandebriel, R.; Granum, B.; Luijten, M.; Lindeman, B.; Grandjean, P.; Kaiser, A.M.; Hauzenberger, I.; Hartmann, C. Consideration of pathways for immunotoxicity of per- and polyfluoroalkyl substances (PFAS). Environ. Health A Glob. Access Sci. Source 2023, 22, 19. [Google Scholar] [CrossRef]
- Bline, A.P.; DeWitt, J.C.; Kwiatkowski, C.F.; Pelch, K.E.; Reade, A.; Varshavsky, J.R. Public Health Risks of PFAS-Related Immunotoxicity Are Real. Curr. Environ. Health Rep. 2024, 11, 118–127. [Google Scholar] [CrossRef] [PubMed]
- Shearer, J.J.; Callahan, C.L.; Calafat, A.M.; Huang, W.-Y.; Jones, R.R.; Sabbisetti, V.S.; Freedam, N.D.; Sampson, J.N.; Silverman, D.T.; Purdue, M.P.; et al. Serum Concentrations of Per- and Polyfluoroalkyl Substances and Risk of Renal Cell Carcinoma. J. Natl. Cancer Inst. 2021, 113, 580–587. [Google Scholar] [CrossRef] [PubMed]
- Barry, V.; Winquist, A.; Steenland, K. Perfluorooctanoic acid (PFOA) exposures and incident cancers among adults living near a chemical plant. Environ. Health Perspect. 2013, 121, 1313–1318. [Google Scholar] [CrossRef] [PubMed]
- Fischer, F.C.; Ludtke, S.; Thackray, C.; Pickard, H.M.; Haque, F.; Dassuncao, C.; Endo, S.; Schaider, L.; Sunderland, E.M. Binding of per- and polyfluoroalkyl substances (PFAS) to serum proteins: Implications for toxicokinetics in humans. Environ. Sci. Technol. 2024, 58, 1055. [Google Scholar] [CrossRef]
- Sadrabadi, F.; Alarcan, J.; Sprenger, H.; Braeuning, A.; Buhrke, T. Impact of perfluoroalkyl substances (PFAS) and PFAS mixtures on lipid metabolism in differentiated HepaRG cells as a model for human hepatocytes. Arch. Toxicol. 2024, 98, 507–524. [Google Scholar] [CrossRef]
- Birchfield, A.S.; Musayev, F.N.; Castillo, A.J.; Zorn, G.; Fuglestad, B. Broad PFAS binding with fatty acid binding protein 4 is enabled by variable binding modes. JACS Au 2025, 5, 2469–2474. [Google Scholar] [CrossRef]
- Rashid, F.; Ramakrishnan, A.; Fields, C.; Irudayaraj, J. Acute PFOA exposure promotes epigenomic alterations in mouse kidney tissues. Toxicol. Rep. 2020, 7, 125. [Google Scholar] [CrossRef]
- Li, Z.; Yu, Z.; Gao, P.; Yin, D. Multigenerational effects of perfluorooctanoic acid on lipid metabolism of Caenorhabditis elegans and its potential mechanism. Sci. Total Environ. 2020, 703, 134762. [Google Scholar] [CrossRef]
- Weber, E.W.; Han, F.; Tauseef, M.; Birnbaumer, L.; Mehta, D.; Muller, W.A. TRPC6 is the endothelial calcium channel that regulates leukocyte transendothelial migration during the inflammatory response. J. Exp. Med. 2015, 212, 1883–1899. [Google Scholar] [CrossRef]
- Tang, N.; Tian, W.; Ma, G.Y.; Xiao, X.; Zhou, L.; Li, Z.Z.; Liu, X.X.; Li, C.Y.; Wu, K.H.; Liu, W.; et al. TRPC channels blockade abolishes endotoxemic cardiac dysfunction by hampering intracellular inflammation and Ca2+ leakage. Nat. Commun. 2022, 13, 7455. [Google Scholar] [CrossRef]
- Saqib, U.; Munjuluri, S.; Sarkar, S.; Biswas, S.; Mukherjee, O.; Satsangi, H.; Baig, M.S.; Obukhov, A.G.; Hajela, K. Transient Receptor Potential Canonical 6 (TRPC6) Channel in the Pathogenesis of Diseases: A Jack of Many Trades. Inflammation 2023, 46, 1144–1160. [Google Scholar] [CrossRef]
- Bai, L.P.; Chen, Y.L.; Zheng, A. Pharmacological targeting transient receptor potential canonical channel 6 modulates biological behaviors for cervical cancer HeLa and SiHA cell. Cancer Cell Int. 2022, 22, 145. [Google Scholar] [CrossRef]
- Svobodova, B.; Groschner, K. Mechanisms of lipid regulation and lipid gating in TRPC channels. Cell Calcium 2016, 59, 271–279. [Google Scholar] [CrossRef] [PubMed]
- Liu, X.; Chen, R.; Peng, Y.; Zhou, Y.; Xia, M.; Wu, X.; Wang, Y.; Yin, W.; Han, Y.; Yu, M. Perfluorooctanoic acid (PFOA) induces cardiotoxicity by activating the Keap1/Nrf2 pathway in zebrafish (Danio rerio) embryos. Ecotoxicol. Environ. Saf. 2024, 285, 117098. [Google Scholar] [CrossRef]
- Tang, J.; Jia, X.; Gao, N.; Wu, Y.; Liu, Z.; Lu, X.; Du, Q.; He, J.; Li, N.; Chen, B.; et al. Role of the Nrf2-ARE pathway in perfluorooctanoic acid (PFOA)-induced hepatotoxicity in Rana nigromaculata. Environ. Pollut. 2018, 238, 1035–1043. [Google Scholar] [CrossRef] [PubMed]
- Burwinkel, B.; Bakker, H.D.; Herschkovitz, E.; Moses, S.W.; Shin, Y.S.; Kilimann, M.W. Mutations in the liver glycogen phosphorylase gene (PYGL) underlying glycogenosis type VI (Hers disease). Am. J. Hum. Genet. 1998, 62, 785–791. [Google Scholar] [CrossRef]
- Zhang, T.; Wang, S.; Lin, Y.; Xu, W.; Ye, D.; Xiong, Y.; Zhao, S.; Guan, K.L. Acetylation negatively regulates glycogen phosphorylase by recruiting protein phosphatase 1. Cell Metab. 2012, 15, 75–87. [Google Scholar] [CrossRef]
- Wang, L.; Wang, Y.; Liang, Y.; Li, J.; Liu, Y.; Zhang, J.; Zhang, A.; Fu, J.; Jiang, G. PFOS induced lipid metabolism disturbances in BALB/c mice through inhibition of low density lipoproteins excretion. Sci. Rep. 2014, 4, 4582. [Google Scholar] [CrossRef]
- Zanzouri, M.; Lauritzen, I.; Duprat, F.; Mazzuca, M.; Lesage, F.; Lazdunski, M.; Patel, A. Membrane potential-regulated transcription of the resting K+ conductance TASK-3 via the calcineurin pathway. J. Biol. Chem. 2006, 281, 28910–28918. [Google Scholar] [CrossRef] [PubMed]
- Steponenaite, A.; Lalic, T.; Atkinson, L.; Tanday, N.; Brown, L.; Mathie, A.; Cader, Z.M.; Lall, G.S. TASK-3, two-pore potassium channels, contribute to circadian rhythms in the electrical properties of the suprachiasmatic nucleus and play a role in driving stable behavioural photic entrainment. Chronobiol. Int. 2024, 41, 802–816. [Google Scholar] [CrossRef] [PubMed]
- González, J.A.; Jensen, L.T.; Doyle, S.E.; Miranda-Anaya, M.; Menaker, M.; Fugger, L.; Bayliss, D.A.; Burdakov, D. Deletion of TASK1 and TASK3 channels disrupts intrinsic excitability but does not abolish glucose or pH responses of orexin/hypocretin neurons. Eur. J. Neurosci. 2009, 30, 57–64. [Google Scholar] [CrossRef]
- Ehrt, C.; Brinkjost, T.; Koch, O. Impact of Binding Site Comparisons on Medicinal Chemistry and Rational Molecular Design. J. Med. Chem. 2016, 59, 4121–4151. [Google Scholar] [CrossRef]
- Ehrt, C.; Brinkjost, T.; Koch, O. A benchmark driven guide to binding site comparison: An exhaustive evaluation using tailor-made data sets (ProSPECCTs). PLoS Comput. Biol. 2018, 14, e1006483. [Google Scholar] [CrossRef] [PubMed]
- Karlin, S.; Altschul, S.F. Methods for assessing the statistical significance of molecular sequence features by using general scoring schemes. Proc. Natl. Acad. Sci. USA 1990, 87, 2264–2268. [Google Scholar] [CrossRef] [PubMed]
- Kashobwe, L.; Sadrabadi, F.; Brunken, L.; Coelho, A.C.M.F.; Sandanger, T.M.; Braeuning, A.; Buhrke, T.; Öberg, M.; Hamers, T.; Leonards, P.E.G. Legacy and alternative per- and polyfluoroalkyl substances (PFAS) alter the lipid profile of HepaRG cells. Toxicology 2024, 506, 153862. [Google Scholar] [CrossRef] [PubMed]
- Jin, S.; Diano, S. Mitochondrial Dynamics and Hypothalamic Regulation of Metabolism. Endocrinology 2018, 159, 3596–3604. [Google Scholar] [CrossRef]
- Dharpure, R.; Pramanik, S.; Pradhan, A. In silico analysis decodes transthyretin (TTR) binding and thyroid disrupting effects of per- and polyfluoroalkyl substances (PFAS). Arch. Toxicol. 2023, 97, 755–768. [Google Scholar] [CrossRef]
- Tachachartvanich, P.; Singam, E.R.A.; Durkin, K.A.; Furlow, J.D.; Smith, M.T.; La Merrill, M.A. In Vitro characterization of the endocrine disrupting effects of per- and poly-fluoroalkyl substances (PFASs) on the human androgen receptor. J. Hazard. Mater. 2022, 429, 128243. [Google Scholar] [CrossRef]
- Meng, X.M.; Nikolic-Paterson, D.J.; Lan, H.Y. TGF-β: The master regulator of fibrosis. Nat. Rev. Nephrol. 2016, 12, 325–338. [Google Scholar] [CrossRef]










Disclaimer/Publisher’s Note: The statements, opinions and data contained in all publications are solely those of the individual author(s) and contributor(s) and not of MDPI and/or the editor(s). MDPI and/or the editor(s) disclaim responsibility for any injury to people or property resulting from any ideas, methods, instructions or products referred to in the content. |
© 2026 by the authors. Licensee MDPI, Basel, Switzerland. This article is an open access article distributed under the terms and conditions of the Creative Commons Attribution (CC BY) license.
Share and Cite
Panov, J.; Elbert, A.; Rosenthal, D.S.; Levi, M.; Chumakov, K.; Andino, R.; Brodsky, L.; Kaphzan, H. Spacio-Linear Screening for Ligand-Docking Cavities in Protein Structures: SLAM Algorithm. Life 2026, 16, 285. https://doi.org/10.3390/life16020285
Panov J, Elbert A, Rosenthal DS, Levi M, Chumakov K, Andino R, Brodsky L, Kaphzan H. Spacio-Linear Screening for Ligand-Docking Cavities in Protein Structures: SLAM Algorithm. Life. 2026; 16(2):285. https://doi.org/10.3390/life16020285
Chicago/Turabian StylePanov, Julia, Alexander Elbert, Dean S. Rosenthal, Moshe Levi, Konstantin Chumakov, Raul Andino, Leonid Brodsky, and Hanoch Kaphzan. 2026. "Spacio-Linear Screening for Ligand-Docking Cavities in Protein Structures: SLAM Algorithm" Life 16, no. 2: 285. https://doi.org/10.3390/life16020285
APA StylePanov, J., Elbert, A., Rosenthal, D. S., Levi, M., Chumakov, K., Andino, R., Brodsky, L., & Kaphzan, H. (2026). Spacio-Linear Screening for Ligand-Docking Cavities in Protein Structures: SLAM Algorithm. Life, 16(2), 285. https://doi.org/10.3390/life16020285

