Sign in to use this feature.

Years

Between: -

Subjects

remove_circle_outline
remove_circle_outline
remove_circle_outline
remove_circle_outline
remove_circle_outline

Journals

Article Types

Countries / Regions

Search Results (11)

Search Parameters:
Keywords = discrete adaptive integral sliding mode control

Order results
Result details
Results per page
Select all
Export citation of selected articles as:
25 pages, 11424 KB  
Article
AI-Based Optimization of a Neural Discrete-Time Sliding Mode Controller via Bayesian, Particle Swarm, and Genetic Algorithms
by Carlos E. Castañeda
Robotics 2025, 14(9), 128; https://doi.org/10.3390/robotics14090128 - 19 Sep 2025
Viewed by 414
Abstract
This work introduces a unified Artificial Intelligence-based framework for the optimal tuning of gains in a neural discrete-time sliding mode controller (SMC) applied to a two-degree-of-freedom robotic manipulator. The novelty lies in combining surrogate-assisted optimization with normalized search spaces to enable a fair [...] Read more.
This work introduces a unified Artificial Intelligence-based framework for the optimal tuning of gains in a neural discrete-time sliding mode controller (SMC) applied to a two-degree-of-freedom robotic manipulator. The novelty lies in combining surrogate-assisted optimization with normalized search spaces to enable a fair comparative analysis of three metaheuristic strategies: Bayesian Optimization (BO), Particle Swarm Optimization (PSO), and Genetic Algorithms (GAs). The manipulator dynamics are identified via a discrete-time recurrent high-order neural network (NN) trained online using an Extended Kalman Filter with adaptive noise covariance updates, allowing the model to accurately capture unmodeled dynamics, nonlinearities, parametric variations, and process/measurement noise. This neural representation serves as the predictive plant for the discrete-time SMC, enabling precise control of joint angular positions under sinusoidal phase-shifted references. To construct the optimization dataset, MATLAB® simulations sweep the controller gains (k0*,k1*) over a bounded physical domain, logging steady-state tracking errors. These are normalized to mitigate scaling effects and improve convergence stability. Optimization is executed in Python® using integrated scikit-learn, DEAP, and scikit-optimize routines. Simulation results reveal that all three algorithms reach high-performance gain configurations. Here, the combined cost is the normalized aggregate objective J˜ constructed from the steady-state tracking errors of both joints. Under identical experimental conditions (shared data loading/normalization and a single Python pipeline), PSO attains the lowest error in Joint 1 (7.36×105 rad) with the shortest runtime (23.44 s); GA yields the lowest error in Joint 2 (8.18×103 rad) at higher computational expense (≈69.7 s including refinement); and BO is competitive in both joints (7.81×105 rad, 8.39×103 rad) with a runtime comparable to PSO (23.65 s) while using only 50 evaluations. Full article
(This article belongs to the Section AI in Robotics)
Show Figures

Figure 1

25 pages, 7608 KB  
Article
Characteristic Model-Based Discrete Adaptive Integral SMC for Robotic Joint Drive on Dual-Core ARM
by Wei Chen
Symmetry 2025, 17(9), 1436; https://doi.org/10.3390/sym17091436 - 3 Sep 2025
Viewed by 538
Abstract
Addressing escalating demands for high-precision compact robotic actuators, this study overcomes persistent challenges from nonlinear transmission dynamics and computational constraints through a co-designed framework integrating three innovations. A real-time second-order characteristic modeling approach enables 10 kHz online parameter identification, reducing computational load by [...] Read more.
Addressing escalating demands for high-precision compact robotic actuators, this study overcomes persistent challenges from nonlinear transmission dynamics and computational constraints through a co-designed framework integrating three innovations. A real-time second-order characteristic modeling approach enables 10 kHz online parameter identification, reducing computational load by 13.1% versus MPC. Building on this foundation, a hybrid integral sliding-mode controller eliminating modeling errors while maintaining ≤0.25 rad/s tracking error (SRMSE) under variable loads was created. These algorithmic advances are embedded within a miniaturized dual-ARM platform (47 × 47 × 12 mm3) achieving <30-ns overcurrent protection and 36% cost reduction versus DSP/FPGA solutions. Validated via Lyapunov stability proofs and experiments, this framework is particularly effective for high-performance robotic joint control in spatially- and thermally-constrained environments while dynamically compensating for unmodeled nonlinearities. Full article
(This article belongs to the Section Engineering and Materials)
Show Figures

Figure 1

24 pages, 5266 KB  
Article
Continuously Variable Geometry Quadrotor: Robust Control via PSO-Optimized Sliding Mode Control
by Foad Hamzeh, Siavash Fathollahi Dehkordi, Alireza Naeimifard and Afshin Abyaz
Actuators 2025, 14(7), 308; https://doi.org/10.3390/act14070308 - 23 Jun 2025
Cited by 2 | Viewed by 655
Abstract
This paper tackles the challenge of achieving robust and precise control for a novel quadrotor featuring continuously variable arm lengths (15 cm to 19 cm), enabling enhanced adaptability in complex environments. Unlike conventional fixed-geometry or discretely morphing unmanned aerial vehicles, this design’s continuous [...] Read more.
This paper tackles the challenge of achieving robust and precise control for a novel quadrotor featuring continuously variable arm lengths (15 cm to 19 cm), enabling enhanced adaptability in complex environments. Unlike conventional fixed-geometry or discretely morphing unmanned aerial vehicles, this design’s continuous structural changes introduce significant complexities in modeling its time-varying moment of inertia. To address this, we propose a control strategy that decouples dynamic motion from the evolving geometry, allowing for the development of a robust control model. A sliding mode control algorithm, optimized using particle swarm optimization, is implemented to ensure stability and high performance in the presence of uncertainties and noise. Extensive MATLAB 2016 simulations validate the proposed approach, demonstrating superior tracking accuracy in both fixed and variable arm-length configurations, achieving root mean square error values of 0.05 m (fixed arms), 0.06 m (variable arms, path 1), and 0.03 m (variable arms, path 2). Notably, the PSO-tuned SMC controller reduces tracking error by 30% (0.07 m vs. 0.10 m for PID) and achieves a 40% faster settling time during structural transitions. This improvement is attributed to the PSO-optimized SMC parameters that effectively adapt to the continuously changing inertia, concurrently minimizing chattering by 10%. This research advances the field of morphing UAVs by integrating continuous geometric adaptability with precise and robust control, offering significant potential for energy-efficient flight and navigation in confined spaces, as well as applications in autonomous navigation and industrial inspection. Full article
(This article belongs to the Section Aerospace Actuators)
Show Figures

Figure 1

25 pages, 28417 KB  
Article
Model-Free Adaptive Fast Integral Terminal Sliding Mode Control for Permanent Magnet Synchronous Motor with Position Error Constraint
by Xingyu Qu, Shuang Zhang and Chengkun Peng
World Electr. Veh. J. 2025, 16(7), 341; https://doi.org/10.3390/wevj16070341 - 20 Jun 2025
Cited by 1 | Viewed by 576
Abstract
The permanent magnet synchronous motor (PMSM) is a critical device that converts kinetic energy into mechanical energy. However, it faces issues such as nonlinearity, time-varying uncertainties, and external disturbances, which may degrade the system control performance. To address these challenges, this paper proposes [...] Read more.
The permanent magnet synchronous motor (PMSM) is a critical device that converts kinetic energy into mechanical energy. However, it faces issues such as nonlinearity, time-varying uncertainties, and external disturbances, which may degrade the system control performance. To address these challenges, this paper proposes a prescribed performance model-free adaptive fast integral terminal sliding mode control (PP-MFA-FITSMC) method. This approach replaces conventional techniques such as parameter identification, function approximation, and model reduction, offering advantages such as quantitative constraints on the PMSM tracking error, reduced chattering, strong disturbance rejection, and ease of engineering implementation. The method establishes a compact dynamic linearized data model for the PMSM system. Then, it uses a discrete small-gain extended state observer to estimate the composite disturbances in the PMSM online, effectively compensating for their adverse effects. Meanwhile, an improved prescribed performance function and error transformation function are designed, and a fast integral terminal sliding surface is constructed along with a discrete approach law that adaptively adjusts the switching gain. This ensures finite-time convergence of the control system, forming a model-free, low-complexity, high-performance control approach. Finally, response surface methodology is applied to conduct a sensitivity analysis of the controller’s critical parameters. Finally, controller parameter sensitivity experiments and comparative experiments were conducted. In the parameter sensitivity experiments, the response surface methodology was employed to design the tests, revealing the impact of individual parameters and parameter interactions on system performance. In the comparative experiments, under various operating conditions, the proposed strategy consistently constrained the tracking error within ±0.0028 rad, demonstrating superior robustness compared to other control methods. Full article
(This article belongs to the Special Issue Permanent Magnet Motors and Driving Control for Electric Vehicles)
Show Figures

Figure 1

21 pages, 3808 KB  
Article
Posture Control of Hydraulic Flexible Second-Order Manipulators Based on Adaptive Integral Terminal Variable-Structure Predictive Method
by Jianliang Xu, Zhen Sui and Feng Xu
Sensors 2025, 25(5), 1351; https://doi.org/10.3390/s25051351 - 22 Feb 2025
Viewed by 814
Abstract
As operational scenarios become more complex and task demands intensify, the requirements for the intelligence and automation of manipulators in industry are increasing. This work investigates the challenge of posture tracking control for hydraulic flexible manipulators by proposing a discrete-time integral terminal sliding [...] Read more.
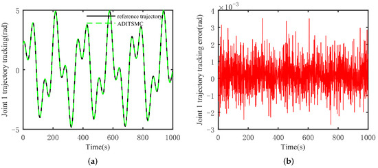
As operational scenarios become more complex and task demands intensify, the requirements for the intelligence and automation of manipulators in industry are increasing. This work investigates the challenge of posture tracking control for hydraulic flexible manipulators by proposing a discrete-time integral terminal sliding mode predictive control (DITSMPC) method. First, the proposed method develops a second-order dynamic model of the manipulator using the Lagrangian dynamic strategy. Second, a discrete-time sliding mode control (SMC) law based on an adaptive switching term is designed to achieve high-precision tracking control of the system. Finally, to weaken the influence of SMC buffeting on the manipulator system, the predictive time domain function is integrated into the proposed SMC law, and the delay estimation of the unknown term in the manipulator system is carried out. The DITSMPC scheme is derived and its convergence is proven. Simulation experiments comparing the DITSMPC scheme with the classical discrete-time SMC method demonstrate that the proposed scheme results in smooth torque changes in each joint of the manipulator, with the integral of torque variations being 5.22×103. The trajectory tracking errors for each joint remain within ±0.0025 rad, all of which are smaller than those of the classical scheme. Full article
(This article belongs to the Special Issue Dynamics and Control System Design for Robot Manipulation)
Show Figures

Figure 1

22 pages, 4046 KB  
Article
Model-Free Adaptive Sliding Mode Control Scheme Based on DESO and Its Automation Application
by Xiaohua Wei, Zhen Sui, Hanzhou Peng, Feng Xu, Jianliang Xu and Yulong Wang
Processes 2024, 12(9), 1950; https://doi.org/10.3390/pr12091950 - 11 Sep 2024
Cited by 1 | Viewed by 1347
Abstract
This paper addresses a class of uncertain nonlinear systems with disturbances that are challenging to model by proposing a novel model-free adaptive sliding mode control (MFASMC) scheme based on a discrete-time extended state observer (DESO). Initially, leveraging the pseudo partial derivative (PPD) concept [...] Read more.
This paper addresses a class of uncertain nonlinear systems with disturbances that are challenging to model by proposing a novel model-free adaptive sliding mode control (MFASMC) scheme based on a discrete-time extended state observer (DESO). Initially, leveraging the pseudo partial derivative (PPD) concept in the model-free adaptive control (MFAC) framework, the discrete-time nonlinear model is converted into a full-form dynamic linearization (FFDL) model. Secondly, using the FFDL data model, a discrete sliding mode controller is designed. A discrete integral sliding mode surface is chosen to mitigate chattering during the reaching phase, and a hyperbolic tangent function with minimal slope variation is selected for smoother switching control. Furthermore, a DESO is designed to estimate uncertainties in the discrete system, enabling real-time compensation for the controller. Finally, a genetic optimization algorithm is employed for parameter tuning to minimize the time cost associated with selecting control parameters. The design process of this scheme relies solely on the data of the controlled system, without depending on a mathematical model. The proposed DESO-MFASMC scheme is tested through simulations using a typical numerical equation and the existing EFG-BC/320 electric heavy-duty forklift from the Quzhou Special Equipment Inspection Center. Simulation results show that the proposed method is significantly superior to the traditional MFAC and PID control methods in tracking accuracy and robustness when dealing with nonlinear disturbance of the system. The DESO-MFASMC scheme proposed in this paper not only shows its advantages in theory but also verifies its effectiveness and practicability in engineering through practical application. Full article
(This article belongs to the Special Issue Condition Monitoring and the Safety of Industrial Processes)
Show Figures

Figure 1

18 pages, 2876 KB  
Article
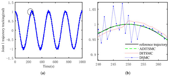
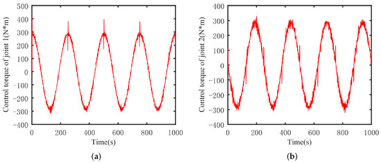
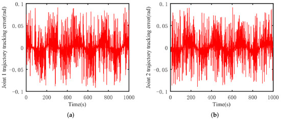
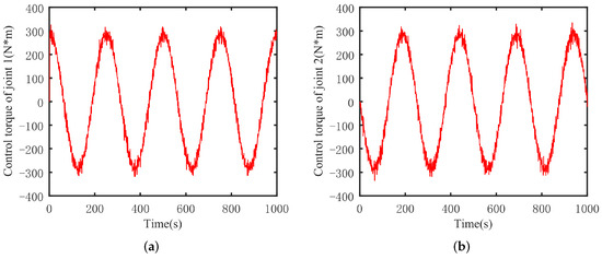
An Adaptive Discrete Integral Terminal Sliding Mode Control Method for a Two-Joint Manipulator
by Jianliang Xu, Zhen Sui, Wenduo Wang and Feng Xu
Processes 2024, 12(6), 1106; https://doi.org/10.3390/pr12061106 - 28 May 2024
Cited by 8 | Viewed by 1432
Abstract
In response to the trajectory tracking control problem of manipulators under measurement disturbances, a novel multi-input multi-output discrete integral terminal sliding mode control scheme is proposed. Initially, this scheme establishes a dynamic model of a two-joint manipulator based on the Lagrangian dynamics analysis [...] Read more.
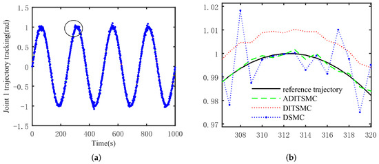
In response to the trajectory tracking control problem of manipulators under measurement disturbances, a novel multi-input multi-output discrete integral terminal sliding mode control scheme is proposed. Initially, this scheme establishes a dynamic model of a two-joint manipulator based on the Lagrangian dynamics analysis method. Subsequently, a discrete integral terminal sliding mode control law based on the dynamic model of the two joints is designed, incorporating delayed estimation of unknown disturbances and discretization errors in the manipulator system. To enhance the trajectory tracking accuracy of the control scheme and suppress the impact of sliding mode chattering on the manipulator system, an adaptive switching term is introduced into the discrete integral terminal sliding mode control law. The paper derives an adaptive discrete integral terminal sliding mode control scheme and provides stability proof for the proposed approach. Simulation experiments are conducted to compare the proposed adaptive discrete integral terminal sliding mode control scheme with classical discrete sliding mode control schemes and discrete integral terminal sliding mode control schemes. The simulation results demonstrate that the designed adaptive discrete integral terminal sliding mode control scheme maintains trajectory tracking errors within 0.004 radians for each joint of the manipulator, with minimal changes in control torque for each joint. The absolute integral of the control torque variations is calculated at 5.85×103, which is lower than other control schemes, thereby validating the effectiveness and superiority of the proposed approach. Full article
(This article belongs to the Section Automation Control Systems)
Show Figures

Figure 1

18 pages, 4219 KB  
Article
An Improved Data-Driven Integral Sliding-Mode Control and Its Automation Application
by Feng Xu, Zhen Sui, Yulong Wang and Jianliang Xu
Appl. Sci. 2023, 13(24), 13094; https://doi.org/10.3390/app132413094 - 8 Dec 2023
Cited by 5 | Viewed by 1700
Abstract
Circulating fluidized bed (CFB) boilers are widely used in industrial production due to their high combustion efficiency, low pollutant emissions and wide load-adjustment range. However, the water-level-control system of a CFB boiler exhibits time-varying behavior and nonlinearity, which affect the control performance of [...] Read more.
Circulating fluidized bed (CFB) boilers are widely used in industrial production due to their high combustion efficiency, low pollutant emissions and wide load-adjustment range. However, the water-level-control system of a CFB boiler exhibits time-varying behavior and nonlinearity, which affect the control performance of the industrial system. This paper proposes a novel data-driven adaptive integral sliding-mode control (ISMC) method for the CFB control system with external disturbances. Firstly, the scheme designs a discrete ISMC law based on the full-format dynamic linearization (FFDL) data model, which is equivalent to a nonlinear system. Furthermore, a new reaching law is proposed to quickly drive the system state onto the sliding-mode surface. The improved ISMC control scheme only utilizes the input–output data during the design process and does not require model information. After theoretically verifying the stability of the method proposed in this paper, it is further applied in MIMO systems. Finally, the control and practical effects of this method are evaluated by using the DHX25-1.25 CFB boiler installed in the special-equipment testing center. The experimental results show that, compared with the traditional sliding-mode control (SMC) and model-free adaptive-control (MFAC) methods, the improved control method can quickly track the given signal and exhibit resistance to noise interference. Furthermore, it can rapidly respond to changes in the working conditions of the CFB system. Full article
Show Figures

Figure 1

16 pages, 8313 KB  
Article
Model-Free Adaptive Nonsingular Fast Integral Terminal Sliding Mode Control for Wastewater Treatment Plants
by Baochang Xu, Zhongjun Wang, Zhongyao Liu, Yiqi Chen and Yaxin Wang
Appl. Sci. 2023, 13(24), 13023; https://doi.org/10.3390/app132413023 - 6 Dec 2023
Cited by 5 | Viewed by 1567
Abstract
The regulation of wastewater treatment plants (WWTPs) is a challenge due to their complex biological and chemical characteristics and their accurate mathematical model is generally not accessible because of the limitation of available measurements. To overcome such challenges, in this paper, a novel [...] Read more.
The regulation of wastewater treatment plants (WWTPs) is a challenge due to their complex biological and chemical characteristics and their accurate mathematical model is generally not accessible because of the limitation of available measurements. To overcome such challenges, in this paper, a novel model-free adaptive nonsingular fast integral terminal sliding mode control (MFA-NFITSMC) is proposed. Firstly, based on the concept of dynamic linearization, a compact format dynamic linearized (CFDL) data model for the WWTP is established. Secondly, a novel fast integral terminal sliding mode surface is proposed to accelerate the convergence of tracking error and a discrete-time MFA-NFITSMC is created using the CFDL model as a basis; then, its stability is proved by theoretical analysis. Finally, the experimental verification is conducted based on the Benchmark Simulation Model No. 1 and the results show that the proposed method has a higher tracking accuracy and stronger robustness than other methods in the control of WWTPs. Full article
(This article belongs to the Special Issue Research and Application of Intelligent Control Algorithm)
Show Figures

Figure 1

19 pages, 2047 KB  
Article
An Adaptive Control Framework for the Autonomous Aerobatic Maneuvers of Fixed-Wing Unmanned Aerial Vehicle
by Su Cao and Huangchao Yu
Drones 2022, 6(11), 316; https://doi.org/10.3390/drones6110316 - 26 Oct 2022
Cited by 7 | Viewed by 2994
Abstract
This article proposes an adaptive flight framework that integrates a discrete-time incremental nonlinear dynamic inversion controller and a neural network (NN)-based observer for maneuvering flight. The framework is built on the feedback-inversion scheme in which the adaptive neural network augments a discrete-time disturbance [...] Read more.
This article proposes an adaptive flight framework that integrates a discrete-time incremental nonlinear dynamic inversion controller and a neural network (NN)-based observer for maneuvering flight. The framework is built on the feedback-inversion scheme in which the adaptive neural network augments a discrete-time disturbance observer in the loop. The effects of the modeling uncertainties and the exogenous perturbations are both taken into consideration and are alleviated by the observer. By utilizing the Lyapunov synthesis method, the updating rule of the NN’s weights is introduced, which guarantees the system’s stability with enhanced tracking performance. The efficiency of the proposed scheme is presented through numerical verification of a 6-DOF fixed-wing fighter performing several aggressive flight maneuvers. Extensive simulation results illustrate that this versatile controller is more practical for aerobatic flights compared with the discontinuous sliding mode (DSM) and the nonlinear dynamic inversion (NDI) methods. Given well-generated maneuver commands, the aircraft can accurately track the aggressive reference in the presence of modeling perturbations such as changes in aerodynamic coefficient, inertial parameters, and wind gusts. Full article
Show Figures

Figure 1

16 pages, 7480 KB  
Article
DDC Control Techniques for Three-Phase BLDC Motor Position Control
by Rana Javed Masood, Dao Bo Wang, Zain Anwar Ali and Babar Khan
Algorithms 2017, 10(4), 110; https://doi.org/10.3390/a10040110 - 25 Sep 2017
Cited by 4 | Viewed by 7423
Abstract
In this article, a novel hybrid control scheme is proposed for controlling the position of a three-phase brushless direct current (BLDC) motor. The hybrid controller consists of discrete time sliding mode control (SMC) with model free adaptive control (MFAC) to make a new [...] Read more.
In this article, a novel hybrid control scheme is proposed for controlling the position of a three-phase brushless direct current (BLDC) motor. The hybrid controller consists of discrete time sliding mode control (SMC) with model free adaptive control (MFAC) to make a new data-driven control (DDC) strategy that is able to reduce the simulation time and complexity of a nonlinear system. The proposed hybrid algorithm is also suitable for controlling the speed variations of a BLDC motor, and is also applicable for the real time simulation of platforms such as a gimbal platform. The DDC method does not require any system model because it depends on data collected by the system about its Inputs/Outputs (IOS). However, the model-based control (MBC) method is difficult to apply from a practical point of view and is time-consuming because we need to linearize the system model. The above proposed method is verified by multiple simulations using MATLAB Simulink. It shows that the proposed controller has better performance, more precise tracking, and greater robustness compared with the classical proportional integral derivative (PID) controller, MFAC, and model free learning adaptive control (MFLAC). Full article
Show Figures

Figure 1

Back to TopTop