Multi-Objective Optimization for a Partial Disassembly Line Balancing Problem Considering Profit and Carbon Emission
Abstract
1. Introduction
2. Literature Review
3. Problem Description and Formulation
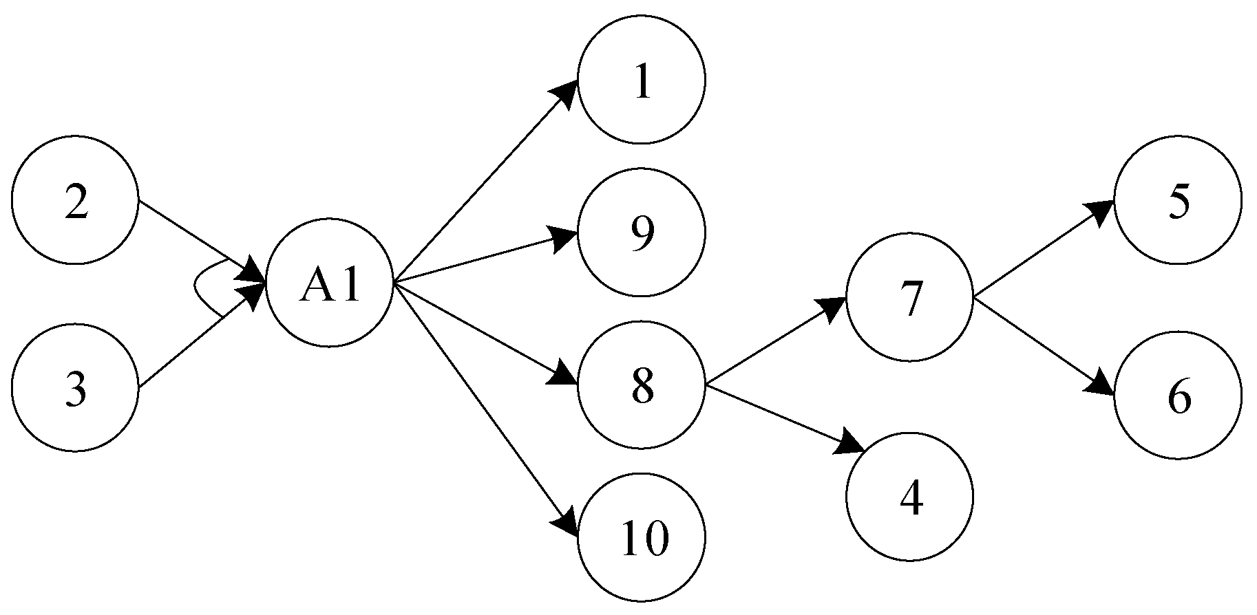
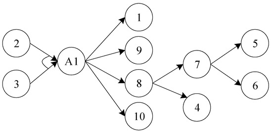
3.1. Problem Description
3.2. Model Formulation
4. Multi-Objective Artificial Bee Colony Algorithm
4.1. Artificial Bee Colony Algorithm
| Algorithm 1: Procedure of artificial bee colony algorithm | |
| Input: Algorithm parameters and instance data | |
| Step 1 | % Initializing the swam  Generate a population with a Pop_size number of individuals randomly;  | 
| Step 2 | % Employed bee phase  For p:=1 to Pop_size do Generate a new neighborhood solution of individual p with neighborhood operation; Replace current solution when the neighborhood solution performs better; Endfor  | 
| Step 3: | % Onlooker bee phase  For p:=1 to Pop_size do Select one solution based on roulette wheel selection; Generate a new neighborhood solution with neighborhood operation; Replace the current solution when the neighborhood solution performs better; Endfor  | 
| Step 4: | % Scout bee phase  Select one individual that has not been improved in limited consecutive iterations; If exists, replace this individual with a new solution generated randomly;  | 
| Step 5: | Iteratively execute Step 2, Step 3 and Step 4 until the termination condition is reached | 
| Output: Best solution | |
4.2. Encoding and Decoding
| Phase I: Converting the task permutation vector into the feasible task permutation | 
| Step 1: Add the assignable task to the set of assignable tasks (a task is assigned if all AND predecessors and at least one OR predecessor of the task have been assigned);  Step 2: Select the task that is in the front position of the task permutation vector from the set of assignable tasks and place it in the sequence of feasible tasks; Step 3: Repeat steps 1–2 until the complete feasible task permutation is generated;  | 
| Phase II: Select the tasks to be disassembled based on the number of selected parts and obtain detailed task assignments based on cycle time constraint | 
| Step 4: Determine the selected parts based on the number of selected parts (length);  Step 5: Open a new station; Step 6: Select the first unassigned part in the selected parts; Step 7: If the part could be completed within the cycle time, assign the part to the current station and execute Step 8; otherwise, execute Step 5. Step 8: If all the selected parts have been removed, terminate the decoding process; otherwise, perform Step 6.  | 
4.3. Main Procedure of the Proposed Methodology
| Algorithm 2: Main procedure of the IMOABC | |
| Step 1: | % Initialization of the population  Generate a population with a Pop_size number of individuals randomly based on the objective functions and constraints in the mathematical model; Update the Pareto front;  | 
| Step 2: | % Employed bee phase  Generate neighborhood solutions for Pop_size individuals based on neighborhood operation; Calculate rank and crowding distances, and select individuals with low rank or large crowding distances with the same rank; Update the Pareto front;  | 
| Step 3: | % Onlooker phase  For any individual, Select an individual based on a binary tournament; Select another individual randomly and crossover with the current individual to form a new individual; Endfor Combine the original population with the new population and select the best Pop_size individuals to form the new population; Update the Pareto front;  | 
| Step 4: | % Scout phase  When a solution does not improve in limited consecutive iterations, randomly select a solution from the Pareto front to replace the current solution;  | 
| Step 5: | Iteratively execute Step 2, Step 3 and Step 4 until the termination condition is reached, and output the final Pareto frontier solutions. | 
4.4. Proposed Neighborhood Structures and Crossover Operations
5. Experimental Results and Analysis
5.1. Experimental Design
5.2. Comparative Study
5.3. A Real Case Study
6. Conclusions and Future Research
Author Contributions
Funding
Data Availability Statement
Conflicts of Interest
References
- Li, Z.; Kucukkoc, I.; Zhang, Z. Iterated local search method and mathematical model for sequence-dependent U-shaped disassembly line balancing problem. Comput. Ind. Eng. 2019, 137, 106056. [Google Scholar] [CrossRef]
 - Wang, K.; Li, X.; Gao, L. Modeling and optimization of multi-objective partial disassembly line balancing problem considering hazard and profit. J. Clean. Prod. 2019, 211, 115–133. [Google Scholar] [CrossRef]
 - Koc, A.; Sabuncuoglu, I.; Erel, E. Two exact formulations for disassembly line balancing problems with task precedence diagram construction using an AND/OR graph. IIE Trans. 2009, 41, 866–881. [Google Scholar] [CrossRef]
 - McGovern, S.M.; Gupta, S.M. Ant colony optimization for disassembly sequencing with multiple objectives. Int. J. Adv. Manuf. Technol. 2005, 30, 481–496. [Google Scholar] [CrossRef]
 - Kalayci, C.B.; Sabry Shaaban, D.; Abdul Salam Darwish, D.; Polat, O.; Gupta, S.M. A variable neighbourhood search algorithm for disassembly lines. J. Manuf. Technol. Manag. 2015, 26, 182–194. [Google Scholar] [CrossRef]
 - Kalayci, C.B.; Gupta, S.M. Artificial bee colony algorithm for solving sequence-dependent disassembly line balancing problem. Expert Syst. Appl. 2013, 40, 7231–7241. [Google Scholar] [CrossRef]
 - McGovern, S.M.; Gupta, S.M. A balancing method and genetic algorithm for disassembly line balancing. Eur. J. Oper. Res. 2007, 179, 692–708. [Google Scholar] [CrossRef]
 - Tuo, Y.; Zhang, Z.; Wu, T.; Zeng, Y.; Zhang, Y.; Junqi, L. Multimanned disassembly line balancing optimization considering walking workers and task evaluation indicators. J. Manuf. Syst. 2024, 72, 263–286. [Google Scholar] [CrossRef]
 - Tuncel, E.; Zeid, A.; Kamarthi, S. Solving large scale disassembly line balancing problem with uncertainty using reinforcement learning. J. Intell. Manuf. 2012, 25, 647–659. [Google Scholar] [CrossRef]
 - Wang, J.; Xi, G.; Guo, X.; Liu, S.; Qin, S.; Han, H. Reinforcement learning for Hybrid Disassembly Line Balancing Problems. Neurocomputing 2024, 569, 127145. [Google Scholar] [CrossRef]
 - Wu, F.; Huang, N.; Zhang, F.; Niu, L.; Zhang, Y. Analysis of the carbon emission reduction potential of China’s key industries under the IPCC 2 °C and 1.5 °C limits. Technol. Forecast. Soc. Chang. 2020, 159, 120198. [Google Scholar] [CrossRef]
 - Ren, Y.; Yu, D.; Zhang, C.; Tian, G.; Meng, L.; Zhou, X. An improved gravitational search algorithm for profit-oriented partial disassembly line balancing problem. Int. J. Prod. Res. 2017, 55, 7302–7316. [Google Scholar] [CrossRef]
 - Wang, K.; Gao, L.; Li, X. A multi-objective algorithm for U-shaped disassembly line balancing with partial destructive mode. Neural Comput. Appl. 2020, 32, 12715–12736. [Google Scholar] [CrossRef]
 - Liang, W.; Zhang, Z.; Yin, T.; Zhang, Y.; Wu, T. Modelling and optimisation of energy consumption and profit-oriented multi-parallel partial disassembly line balancing problem. Int. J. Prod. Econ. 2023, 262, 108928. [Google Scholar] [CrossRef]
 - Li, Z.; Janardhanan, M.N. Modelling and solving profit-oriented U-shaped partial disassembly line balancing problem. Expert Syst. Appl. 2021, 183, 115431. [Google Scholar] [CrossRef]
 - Saif, U.; Guan, Z.; Liu, W.; Wang, B.; Zhang, C. Multi-objective artificial bee colony algorithm for simultaneous sequencing and balancing of mixed model assembly line. Int. J. Adv. Manuf. Technol. 2014, 75, 1809–1827. [Google Scholar] [CrossRef]
 - Altekin, F.T.; Kandiller, L.; Ozdemirel, N.E. Profit-oriented disassembly-line balancing. Int. J. Prod. Res. 2008, 46, 2675–2693. [Google Scholar] [CrossRef]
 - Bentaha, M.L.; Dolgui, A.; Battaïa, O.; Riggs, R.J.; Hu, J. Profit-oriented partial disassembly line design: Dealing with hazardous parts and task processing times uncertainty. Int. J. Prod. Res. 2018, 56, 7220–7242. [Google Scholar] [CrossRef]
 - Wang, K.; Li, X.; Gao, L.; Garg, A. Partial disassembly line balancing for energy consumption and profit under uncertainty. Robot. Comput. Integr. Manuf. 2019, 59, 235–251. [Google Scholar] [CrossRef]
 - Wang, K.; Li, X.; Gao, L.; Li, P. Energy consumption and profit-oriented disassembly line balancing for waste electrical and electronic equipment. J. Clean. Prod. 2020, 265, 121829. [Google Scholar] [CrossRef]
 - Zhu, L.; Zhang, Z.; Guan, C. Multi-objective partial parallel disassembly line balancing problem using hybrid group neighbourhood search algorithm. J. Manuf. Syst. 2020, 56, 252–269. [Google Scholar] [CrossRef]
 - Zhang, Y.; Zhang, Z.; Zeng, Y.; Wu, T. Constraint programming for multi-line parallel partial disassembly line balancing problem with optional common stations. Appl. Math. Model. 2023, 122, 435–455. [Google Scholar] [CrossRef]
 - Igarashi, K.; Yamada, T.; Gupta, S.M.; Inoue, M.; Itsubo, N. Disassembly system modeling and design with parts selection for cost, recycling and CO2 saving rates using multi criteria optimization. J. Manuf. Syst. 2016, 38, 151–164. [Google Scholar] [CrossRef]
 - Zhang, L.; Zhao, X.; Ke, Q.; Dong, W.; Zhong, Y. Disassembly Line Balancing Optimization Method for High Efficiency and Low Carbon Emission. Int. J. Precis. Eng. Manuf. Green Technol. 2019, 8, 233–247. [Google Scholar] [CrossRef]
 - Yang, Y.; Yuan, G.; Zhuang, Q.; Tian, G. Multi-objective low-carbon disassembly line balancing for agricultural machinery using MDFOA and fuzzy AHP. J. Clean. Prod. 2019, 233, 1465–1474. [Google Scholar] [CrossRef]
 - Cui, X.; Guo, X.; Zhou, M.; Wang, J.; Qin, S.; Qi, L. Discrete Whale Optimization Algorithm for Disassembly Line Balancing with Carbon Emission Constraint. IEEE Robot. Autom. Lett. 2023, 8, 3055–3061. [Google Scholar] [CrossRef]
 - Güngör, A.; Gupta, S.M. Disassembly line in product recovery. Int. J. Prod. Res. 2002, 40, 2569–2589. [Google Scholar] [CrossRef]
 - Çil, Z.A.; Li, Z.; Mete, S.; Özceylan, E. Mathematical model and bee algorithms for mixed-model assembly line balancing problem with physical human–robot collaboration. Appl. Soft Comput. 2020, 93, 106394. [Google Scholar] [CrossRef]
 - Kalayci, C.B.; Hancilar, A.; Gungor, A.; Gupta, S.M. Multi-objective fuzzy disassembly line balancing using a hybrid discrete artificial bee colony algorithm. J. Manuf. Syst. 2015, 37, 672–682. [Google Scholar] [CrossRef]
 - Deb, K.; Pratap, A.; Agarwal, S.; Meyarivan, T. A fast and elitist multiobjective genetic algorithm: NSGA-II. IEEE Trans. Evol. Comput. 2002, 6, 182–197. [Google Scholar] [CrossRef]
 - Goldberg, D.E.; Lingle, R., Jr. Alleles, loci, and the traveling salesman problem. In Proceedings of the 1st International Conference on Genetic Algorithms, Pittsburgh, PA, USA, 24–26 July 1985; pp. 154–159. [Google Scholar]
 - Deb, K.; Agrawal, R.B. Simulated binary crossover for continuous search space. Complex Syst. 1995, 9, 115–148. [Google Scholar]
 - Liang, J.; Guo, S.; Du, B.; Li, Y.; Guo, J.; Yang, Z.; Pang, S. Minimizing energy consumption in multi-objective two-sided disassembly line balancing problem with complex execution constraints using dual-individual simulated annealing algorithm. J. Clean. Prod. 2021, 284, 125418. [Google Scholar] [CrossRef]
 - Zitzler, E.; Thiele, L.; Laumanns, M.; Fonseca, C.M.; da Fonseca, V.G. Performance assessment of multiobjective optimizers: An analysis and review. IEEE Trans. Evol. Comput. 2003, 7, 117–132. [Google Scholar] [CrossRef]
 - Nilakantan, J.M.; Li, Z.; Tang, Q.; Nielsen, P. Multi-objective co-operative co-evolutionary algorithm for minimizing carbon footprint and maximizing line efficiency in robotic assembly line systems. J. Clean. Prod. 2017, 156, 124–136. [Google Scholar] [CrossRef]
 - Ciavotta, M.; Minella, G.; Ruiz, R. Multi-objective sequence dependent setup times permutation flowshop: A new algorithm and a comprehensive study. Eur. J. Oper. Res. 2013, 227, 301–313. [Google Scholar] [CrossRef]
 - Montgomery, D.C. Design and Analysis of Experiments, 10th ed.; J. Wiley: Hoboken, NJ, USA, 2020. [Google Scholar]
 







| Index: | |
| i, j | Part/task index; i, j = 1, 2, …, N, where N is the number of the parts/tasks; | 
| m, n | Station index; m, n = 1, 2, …, M, where M is the number of allowed opened stations; | 
| Recycling value of part i; | |
| Cost of performing part i; | |
| Operation time of part i; | |
| ANDP(i) | Set of AND predecessors of task i; | 
| ORP(i) | Set of OR predecessors of task i; | 
| ORPT | Set of tasks which have OR predecessors; | 
| C | Cost of running a station per unit time; | 
| F | Fixed start-up cost of each station; | 
| Saved greenhouse gas for disassembling part i and recycling part i; | |
| Saved greenhouse gas for recycling part i; | |
| Generated greenhouse gas for disassembling part i; | |
| CT | Cycle time; | 
| Decision variables | |
| 1, if task i is performed; 0, otherwise; | |
| 1, if task i is allocated to the mth station; 0, otherwise; | |
| 1, if the mth station is open; 0, otherwise; | |
| Total time of station m; | |
| Instances | Number of Tasks | Cycle Time | Number of Cases | 
|---|---|---|---|
| POR10 | 10 | 36, 37, 38, 39, 40, 41, 42, 43, 44, 45, 46, 47, 48, 49, 50, 51, 52, 53, 54, 55 | 20 | 
| P25 | 25 | 18, 19, 20, 21, 22, 23, 24, 25, 26, 27, 28, 29, 30, 31, 32, 33, 34, 35, 36, 37 | 20 | 
| P7 | 7 | 7 | 1 | 
| P8 | 8 | 20 | 1 | 
| P9 | 9 | 7 | 1 | 
| P11 | 11 | 10, 94 | 2 | 
| P21 | 21 | 15 | 1 | 
| P25 | 25 | 16 | 1 | 
| P28 | 28 | 216 | 1 | 
| P29 | 29 | 30 | 1 | 
| P32 | 32 | 2357 | 1 | 
| P35 | 35 | 41 | 1 | 
| P45 | 45 | 62 | 1 | 
| P53 | 53 | 2806 | 1 | 
| P70 | 70 | 168, 170, 173, 179, 182 | 5 | 
| P75 | 75 | 46, 47, 49, 50, 52 | 5 | 
| P83 | 83 | 3985, 5048, 5833, 6842,  7571, 8412, 8898, 10,816  | 8 | 
| P89 | 89 | 15, 150 | 2 | 
| P94 | 94 | 201, 301 | 2 | 
| P111 | 111 | 5755, 7520, 8847, 10,027,  10,743, 11,378, 11,570, 17,067  | 8 | 
| P148 | 148 | 85, 89, 91, 95 | 4 | 
| The Name of the Algorithm | Algorithm Parameters | Parameter Values | Selected Parameter Values | 
|---|---|---|---|
| IMOABC | Population size | 60, 80, 100, 120 | 100 | 
| Iteration number before replacing solutions | 100, 200 | 200 | |
| MOABC | Population size | 60, 80, 100, 120 | 100 | 
| Iteration number before replacing solutions | 100, 200 | 200 | |
| MOSA | Initial temperature | 0.5, 1.0 | 1.0 | 
| Cooling rate | 0.95, 0.98 | 0.95 | |
| Iteration number before a temperature change | 5, 10 | 5 | |
| NSGA-II | Population size | 60, 80, 100, 120 | 100 | 
| Crossover probability | 0.6, 0.8, 1.0 | 1.0 | |
| Mutation probability | 0.6, 0.8, 1.0 | 1.0 | 
| Problem | HVR | |||
|---|---|---|---|---|
| NSGA-II | IMOABC | MOSA | MOABC | |
| P10 | 0.950 | 1.000 | 0.680 | 0.948 | 
| P25 | 0.818 | 0.834 | 0.569 | 0.795 | 
| P7 | 1.000 | 1.000 | 0.506 | 1.000 | 
| P8 | 1.000 | 1.000 | 0.828 | 1.000 | 
| P9 | 1.000 | 1.000 | 1.000 | 1.000 | 
| P11 | 1.000 | 1.000 | 0.431 | 1.000 | 
| P21 | 1.000 | 1.000 | 0.713 | 0.992 | 
| P25 | 0.000 | 0.000 | 0.000 | 0.739 | 
| P28 | 0.924 | 0.925 | 0.607 | 0.616 | 
| P29 | 0.985 | 0.993 | 0.823 | 0.973 | 
| P32 | 1.000 | 0.996 | 0.873 | 0.875 | 
| P35 | 0.908 | 0.939 | 0.665 | 0.867 | 
| P45 | 0.440 | 0.568 | 0.443 | 0.150 | 
| P53 | 1.000 | 1.000 | 1.000 | 1.000 | 
| P70 | 0.789 | 0.793 | 0.609 | 0.701 | 
| P75 | 0.817 | 0.833 | 0.798 | 0.784 | 
| P83 | 0.964 | 0.966 | 0.913 | 0.958 | 
| P89 | 0.743 | 0.766 | 0.721 | 0.686 | 
| P94 | 0.926 | 0.932 | 0.911 | 0.890 | 
| P111 | 0.862 | 0.865 | 0.857 | 0.866 | 
| P48 | 0.865 | 0.879 | 0.810 | 0.854 | 
| Avg | 0.857 | 0.871 | 0.703 | 0.843 | 
| Problem | ||||
|---|---|---|---|---|
| NSGA-II | IMOABC | MOSA | MOABC | |
| P10 | 0.216 | 0.378 | 31.366 | 3.351 | 
| P25 | 0.779 | 0.620 | 20.450 | 3.404 | 
| P7 | 0.000 | 0.000 | 6.350 | 0.000 | 
| P8 | 0.000 | 0.000 | 11.300 | 0.000 | 
| P9 | 0.000 | 0.000 | 0.000 | 0.000 | 
| P11 | 0.000 | 0.000 | 11.540 | 0.000 | 
| P21 | 0.000 | 0.000 | 20.200 | 1.600 | 
| P25 | 0.000 | 0.000 | 9.800 | 2.900 | 
| P28 | 4.310 | 4.300 | 31.590 | 12.950 | 
| P29 | 8.300 | 6.530 | 27.890 | 10.550 | 
| P32 | 82.080 | 82.080 | 1339.565 | 464.645 | 
| P35 | 35.500 | 32.380 | 128.300 | 47.670 | 
| P45 | 11.540 | 11.560 | 28.100 | 16.280 | 
| P53 | 1.080 | 1.080 | 777.570 | 32.740 | 
| P70 | 317.078 | 292.463 | 410.531 | 363.448 | 
| P75 | 135.658 | 136.29 | 135.042 | 114.728 | 
| P83 | 4334.826 | 3908.571 | 6767.489 | 5137.114 | 
| P89 | 26.560 | 21.105 | 87.615 | 42.355 | 
| P94 | 159.838 | 137.033 | 181.767 | 168.090 | 
| P111 | 14,156.024 | 12,849.111 | 14,197.295 | 13,595.020 | 
| P148 | 471.565 | 469.195 | 497.128 | 487.740 | 
| Problem | IGD | |||
|---|---|---|---|---|
| NSGA-II | IMOABC | MOSA | MOABC | |
| P10 | 0.010 | 0.080 | 20.955 | 0.756 | 
| P25 | 1.143 | 1.131 | 18.769 | 2.752 | 
| P7 | 0.000 | 0.000 | 6.530 | 0.000 | 
| P8 | 0.000 | 0.000 | 8.095 | 0.000 | 
| P9 | 0.000 | 0.000 | 0.000 | 0.000 | 
| P11 | 0.000 | 0.000 | 7.522 | 0.000 | 
| P21 | 0.100 | 0.300 | 27.915 | 4.032 | 
| P25 | 0.000 | 0.000 | 31.608 | 1.297 | 
| P28 | 9.076 | 5.507 | 31.531 | 14.984 | 
| P29 | 4.712 | 3.977 | 17.115 | 7.706 | 
| P32 | 392.914 | 631.466 | 27831.97 | 698.093 | 
| P35 | 18.593 | 19.555 | 63.520 | 25.234 | 
| P45 | 17.795 | 15.327 | 36.860 | 21.175 | 
| P53 | 1.000 | 1.000 | 825.845 | 49.335 | 
| P70 | 154.882 | 154.021 | 216.173 | 208.005 | 
| P75 | 53.235 | 60.993 | 63.558 | 49.686 | 
| P83 | 10,415.780 | 7809.136 | 22,097.650 | 11,297.190 | 
| P89 | 13.847 | 13.326 | 65.475 | 21.178 | 
| P94 | 117.243 | 115.881 | 130.240 | 132.335 | 
| P111 | 222,699.600 | 180,080.400 | 195,807.900 | 210,688.700 | 
| P148 | 217.848 | 217.719 | 191.943 | 208.449 | 
| Multiple Comparisons Test | 1-HVR | IGD | ||||
|---|---|---|---|---|---|---|
| Rank Sum Diff | Significant | Rank Sum Diff | Significant | Rank Sum Diff | Significant | |
| NSGA-II vs. IMOABC | 25.00 | No | 13.00 | No | 3.000 | No | 
| NSGA-II vs. MOSA | −91.00 | Yes | −107.0 | Yes | −114.5 | Yes | 
| NSGA-II vs. MOABC | −24.00 | No | −48.00 | Yes | −56.50 | Yes | 
| IMOABC vs. MOSA | −116.0 | Yes | −120.0 | Yes | −117.5 | Yes | 
| IMOABC vs. MOABC | −49.00 | Yes | −61.00 | Yes | −59.50 | Yes | 
| MOSA vs. MOABC | 67.00 | Yes | 59.00 | Yes | 58.00 | Yes | 
| Part Number | Part Name | t | R | C | ||
|---|---|---|---|---|---|---|
| 1 | Countertop assembly | 7 | 9 | 5.1 | 3.3 | 0.8 | 
| 2 | Bottom decorative panel | 19 | 8 | 2.8 | 13.2 | 0.9 | 
| 3 | Housing front plate assembly | 15 | 4 | 3.0 | 17.1 | 0.5 | 
| 4 | Back cover | 5 | 16 | 9.6 | 13.5 | 0.2 | 
| 5 | Shell assembly | 12 | 14 | 5.6 | 6.3 | 0.7 | 
| 6 | Distribution box assembly | 10 | 10 | 4.6 | 1.3 | 0.0 | 
| 7 | Main control board | 8 | 15 | 6.4 | 39.0 | 0.5 | 
| 8 | Main control board control assembly | 16 | 9 | 3.5 | 13.8 | 0.5 | 
| 9 | Electromagnetic door locks | 2 | 10 | 7.9 | 8.4 | 0.3 | 
| 10 | Pressure switch | 6 | 18 | 3.3 | 8.2 | 1.0 | 
| 11 | Power supply | 21 | 6 | 5.8 | 8.2 | 0.5 | 
| 12 | Seal assembly | 10 | 16 | 2.3 | 7.5 | 0.1 | 
| 13 | Inner cylinder | 9 | 4 | 8.2 | 8.8 | 0.4 | 
| 14 | Outer cylinder assembly | 4 | 17 | 3.7 | 1.4 | 0.1 | 
| 15 | Pulley | 14 | 13 | 6.6 | 7.3 | 0.6 | 
| 16 | Belt | 7 | 5 | 8.2 | 6.2 | 0.1 | 
| 17 | Electrical machinery | 14 | 8 | 8.8 | 3.2 | 0.4 | 
| 18 | Front weight | 17 | 7 | 6.6 | 24.3 | 0.7 | 
| 19 | Counterweight | 10 | 2 | 7.7 | 33.3 | 0.2 | 
| 20 | Suspension spring shock absorption | 16 | 9 | 2.8 | 7.1 | 0.7 | 
| 21 | Water inlet solenoid valve | 1 | 10 | 9.6 | 5.6 | 0.7 | 
| 22 | Inlet pipe assembly | 9 | 18 | 8.2 | 8.0 | 0.5 | 
| 23 | Water storage tank | 25 | 3 | 6.7 | 4.2 | 0.8 | 
| 24 | Reservoir—outer tube | 14 | 14 | 6.1 | 16.8 | 0.5 | 
| 25 | Outer cylinder—drainage pump pipe | 14 | 12 | 4.0 | 5.2 | 0.4 | 
| 26 | Collector valve pressure switch tube | 2 | 8 | 6.6 | 37.7 | 0.3 | 
| 27 | Drainage pump | 10 | 5 | 8.4 | 35.6 | 0.7 | 
| 28 | Drainage pipe assemblies | 7 | 13 | 4.2 | 7.2 | 0.4 | 
Disclaimer/Publisher’s Note: The statements, opinions and data contained in all publications are solely those of the individual author(s) and contributor(s) and not of MDPI and/or the editor(s). MDPI and/or the editor(s) disclaim responsibility for any injury to people or property resulting from any ideas, methods, instructions or products referred to in the content.  | 
© 2024 by the authors. Licensee MDPI, Basel, Switzerland. This article is an open access article distributed under the terms and conditions of the Creative Commons Attribution (CC BY) license (https://creativecommons.org/licenses/by/4.0/).
Share and Cite
Yang, W.; Li, Z.; Zheng, C.; Zhang, Z.; Zhang, L.; Tang, Q. Multi-Objective Optimization for a Partial Disassembly Line Balancing Problem Considering Profit and Carbon Emission. Mathematics 2024, 12, 1218. https://doi.org/10.3390/math12081218
Yang W, Li Z, Zheng C, Zhang Z, Zhang L, Tang Q. Multi-Objective Optimization for a Partial Disassembly Line Balancing Problem Considering Profit and Carbon Emission. Mathematics. 2024; 12(8):1218. https://doi.org/10.3390/math12081218
Chicago/Turabian StyleYang, Wanlin, Zixiang Li, Chenyu Zheng, Zikai Zhang, Liping Zhang, and Qiuhua Tang. 2024. "Multi-Objective Optimization for a Partial Disassembly Line Balancing Problem Considering Profit and Carbon Emission" Mathematics 12, no. 8: 1218. https://doi.org/10.3390/math12081218
APA StyleYang, W., Li, Z., Zheng, C., Zhang, Z., Zhang, L., & Tang, Q. (2024). Multi-Objective Optimization for a Partial Disassembly Line Balancing Problem Considering Profit and Carbon Emission. Mathematics, 12(8), 1218. https://doi.org/10.3390/math12081218
        
