Sign in to use this feature.

Years

Between: -

Subjects

remove_circle_outline
remove_circle_outline
remove_circle_outline

Journals

Article Types

Countries / Regions

Search Results (8)

Search Parameters:
Keywords = dimeric prodrug

Order results
Result details
Results per page
Select all
Export citation of selected articles as:
45 pages, 10162 KB  
Review
Review of the Most Important Research Trends in Potential Chemotherapeutics Based on Coordination Compounds of Ruthenium, Rhodium and Iridium
by Agnieszka Gilewska, Barbara Barszcz and Joanna Masternak
Pharmaceuticals 2025, 18(11), 1728; https://doi.org/10.3390/ph18111728 - 13 Nov 2025
Viewed by 1075
Abstract
This review paper presents a comprehensive literature analysis that elucidates the global engagement of research teams in addressing the important problem of finding effective oncology drugs based on the following platinum group metal ions: ruthenium, rhodium and iridium. The necessity to search for [...] Read more.
This review paper presents a comprehensive literature analysis that elucidates the global engagement of research teams in addressing the important problem of finding effective oncology drugs based on the following platinum group metal ions: ruthenium, rhodium and iridium. The necessity to search for new drugs can be attributed, in part, to the predominance of platinum-based chemotherapeutics in clinical practice. However, these drugs face limitations in their clinical application due to their inherent toxicity and the development of resistance by cancer cells. A distinctive attribute of these metal compounds is the formation of diamagnetic stable complexes on +II (Ru) and +III (Rh, Ir) oxidation degrees with a d6 electron configuration, a coordination number of six and an octahedral or pseudo-octahedral structure. In this paper we have systematised the findings presented in the literature by classifying the most significant categories of ruthenium, rhodium and iridium compounds, namely piano-stool-type arenes, polypyridine and cyclometalated complexes, dimers and multinuclear complexes. Additionally, the most crucial research challenges connected with metal complexes that have been addressed by scientists have been presented: (i) the application of prodrugs in cancer therapy; (ii) the deployment of complexes as sensitizers in PDT and PACT; (iii) the exploration of complexes as inhibitors of enzymes and biocatalysts; and (iv) the investigation of multiple-target complexes. Furthermore, the objective was to emphasise the accomplishments in this domain in recent years by identifying compounds that have entered the clinical trial phase. Full article
Show Figures

Figure 1

12 pages, 4052 KB  
Article
Regulating Drug Release Performance of Acid-Triggered Dimeric Prodrug-Based Drug Self-Delivery System by Altering Its Aggregation Structure
by Chen Yang and Peng Liu
Molecules 2024, 29(15), 3619; https://doi.org/10.3390/molecules29153619 - 31 Jul 2024
Cited by 5 | Viewed by 1992
Abstract
Dimeric prodrugs have been investigated intensely as carrier-free drug self-delivery systems (DSDSs) in recent decades, and their stimuli-responsive drug release has usually been controlled by the conjugations between the drug molecules, including the stimuli (pH or redox) and responsive sensitivity. Here, an acid-triggered [...] Read more.
Dimeric prodrugs have been investigated intensely as carrier-free drug self-delivery systems (DSDSs) in recent decades, and their stimuli-responsive drug release has usually been controlled by the conjugations between the drug molecules, including the stimuli (pH or redox) and responsive sensitivity. Here, an acid-triggered dimeric prodrug of doxorubicin (DOX) was synthesized by conjugating two DOX molecules with an acid-labile ketal linker. It possessed high drug content near the pure drug, while the premature drug leakage in blood circulation was efficiently suppressed. Furthermore, its aggregation structures were controlled by fabricating nanomedicines via different approaches, such as fast precipitation and slow self-assembly, to regulate the drug release performance. Such findings are expected to enable better anti-tumor efficacy with the desired drug release rate, beyond the molecular structure of the dimeric prodrug. Full article
(This article belongs to the Special Issue Structure and Dynamics of Polymers and Self-Assembled Soft Materials)
Show Figures

Figure 1

12 pages, 3435 KB  
Article
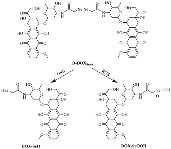
Diselenide-Bridged Doxorubicin Dimeric Prodrug: Synthesis and Redox-Triggered Drug Release
by Yanru Hu and Peng Liu
Molecules 2024, 29(8), 1709; https://doi.org/10.3390/molecules29081709 - 10 Apr 2024
Cited by 3 | Viewed by 2298
Abstract
The diselenide bond has attracted intense interest in redox-responsive drug delivery systems (DDSs) in tumor chemotherapy, due to its higher sensitivity than the most investigated bond, namely the disulfide bond. Here, a diselenide-bridged doxorubicin dimeric prodrug (D-DOXSeSe) was designed by coupling [...] Read more.
The diselenide bond has attracted intense interest in redox-responsive drug delivery systems (DDSs) in tumor chemotherapy, due to its higher sensitivity than the most investigated bond, namely the disulfide bond. Here, a diselenide-bridged doxorubicin dimeric prodrug (D-DOXSeSe) was designed by coupling two doxorubicin molecules with a diselenodiacetic acid (DSeDAA) molecule via α-amidation, as a redox-triggered drug self-delivery system (DSDS) for tumor-specific chemotherapy. The drug release profiles indicated that the D-DOXSeSe could be cleaved to release the derivatives selenol (DOX-SeH) and seleninic acid (DOX-SeOOH) with the triggering of high GSH and H2O2, respectively, indicating the double-edged sword effect of the lower electronegativity of the selenide atom. The resultant solubility-controlled slow drug release performance makes it a promising candidate as a long-acting DSDS in future tumor chemotherapy. Moreover, the interaction between the conjugations in the design of self-immolation traceless linkers was also proposed for the first time as another key factor for a desired precise tumor-specific chemotherapy, besides the conjugations themselves. Full article
(This article belongs to the Section Applied Chemistry)
Show Figures

Figure 1

12 pages, 11142 KB  
Article
The Therapeutic Effect of Human Serum Albumin Dimer-Doxorubicin Complex against Human Pancreatic Tumors
by Ryo Kinoshita, Yu Ishima, Victor T. G. Chuang, Hiroshi Watanabe, Taro Shimizu, Hidenori Ando, Keiichiro Okuhira, Masaki Otagiri, Tatsuhiro Ishida and Toru Maruyama
Pharmaceutics 2021, 13(8), 1209; https://doi.org/10.3390/pharmaceutics13081209 - 5 Aug 2021
Cited by 10 | Viewed by 4423
Abstract
Human serum albumin (HSA) is a versatile drug carrier with active tumor targeting capacity for an antitumor drug delivery system. Nanoparticle albumin-bound (nab)-technology, such as nab-paclitaxel (Abraxane®), has attracted significant interest in drug delivery research. Recently, we demonstrated that HSA dimer [...] Read more.
Human serum albumin (HSA) is a versatile drug carrier with active tumor targeting capacity for an antitumor drug delivery system. Nanoparticle albumin-bound (nab)-technology, such as nab-paclitaxel (Abraxane®), has attracted significant interest in drug delivery research. Recently, we demonstrated that HSA dimer (HSA-d) possesses a higher tumor distribution than HSA monomer (HSA-m). Therefore, HSA-d is more suitable as a drug carrier for antitumor therapy and can improve nab technology. This study investigated the efficacy of HSA-d-doxorubicin (HSA-d-DOX) as next-generation nab technology for tumor treatment. DOX conjugated to HSA-d via a tunable pH-sensitive linker for the controlled release of DOX. Lyophilization did not affect the particle size of HSA-d-DOX or the release of DOX. HSA-d-DOX showed significantly higher cytotoxicity than HSA-m-DOX in vitro. In the SUIzo Tumor-2 (SUIT2) human pancreatic tumor subcutaneous inoculation model, HSA-d-DOX could significantly inhibit tumor growth without causing serious side effects, as compared to the HSA binding DOX prodrug, which utilized endogenous HSA as a nano-drug delivery system (DDS) carrier. These results indicate that HSA-d could function as a natural solubilizer of insoluble drugs and an active targeting carrier in intractable tumors with low vascular permeability, such as pancreatic tumors. In conclusion, HSA-d can be an effective drug carrier for the antitumor drug delivery system against human pancreatic tumors. Full article
(This article belongs to the Special Issue Albumin-Based Drug Delivery Systems)
Show Figures

Graphical abstract

22 pages, 4491 KB  
Article
The Catalytic Cycle of the Antioxidant and Cancer-Associated Human NQO1 Enzyme: Hydride Transfer, Conformational Dynamics and Functional Cooperativity
by Ernesto Anoz-Carbonell, David J. Timson, Angel L. Pey and Milagros Medina
Antioxidants 2020, 9(9), 772; https://doi.org/10.3390/antiox9090772 - 20 Aug 2020
Cited by 27 | Viewed by 4938
Abstract
Human NQO1 [NAD(H):quinone oxidoreductase 1] is a multi-functional and stress-inducible dimeric protein involved in the antioxidant defense, the activation of cancer prodrugs and the stabilization of oncosuppressors. Despite its roles in human diseases, such as cancer and neurological disorders, a detailed characterization of [...] Read more.
Human NQO1 [NAD(H):quinone oxidoreductase 1] is a multi-functional and stress-inducible dimeric protein involved in the antioxidant defense, the activation of cancer prodrugs and the stabilization of oncosuppressors. Despite its roles in human diseases, such as cancer and neurological disorders, a detailed characterization of its enzymatic cycle is still lacking. In this work, we provide a comprehensive analysis of the NQO1 catalytic cycle using rapid mixing techniques, including multiwavelength and spectral deconvolution studies, kinetic modeling and temperature-dependent kinetic isotope effects (KIEs). Our results systematically support the existence of two pathways for hydride transfer throughout the NQO1 catalytic cycle, likely reflecting that the two active sites in the dimer catalyze two-electron reduction with different rates, consistent with the cooperative binding of inhibitors such as dicoumarol. This negative cooperativity in NQO1 redox activity represents a sort of half-of-sites activity. Analysis of KIEs and their temperature dependence also show significantly different contributions from quantum tunneling, structural dynamics and reorganizations to catalysis at the two active sites. Our work will improve our understanding of the effects of cancer-associated single amino acid variants and post-translational modifications in this protein of high relevance in cancer progression and treatment. Full article
(This article belongs to the Special Issue Antioxidants and Cancer)
Show Figures

Graphical abstract

19 pages, 4026 KB  
Review
Molecular Consortia—Various Structural and Synthetic Concepts for More Effective Therapeutics Synthesis
by Anna Pawełczyk, Katarzyna Sowa-Kasprzak, Dorota Olender and Lucjusz Zaprutko
Int. J. Mol. Sci. 2018, 19(4), 1104; https://doi.org/10.3390/ijms19041104 - 6 Apr 2018
Cited by 69 | Viewed by 6544
Abstract
The design and discovery of novel drug candidates are the initial and most probably the crucial steps in the drug development process. One of the tasks of medicinal chemistry is to produce new molecules that have a desired biological effect. However, even today [...] Read more.
The design and discovery of novel drug candidates are the initial and most probably the crucial steps in the drug development process. One of the tasks of medicinal chemistry is to produce new molecules that have a desired biological effect. However, even today the search for new pharmaceuticals is a very complicated process that is hard to rationalize. Literature provides many scientific reports on future prospects of design of potentially useful drugs. Many trends have been proposed for the design of new drugs containing different structures (dimers, heterodimers, heteromers, adducts, associates, complexes, biooligomers, dendrimers, dual-, bivalent-, multifunction drugs and codrugs, identical or non-identical twin drugs, mixed or combo drugs, supramolecular particles and various nanoindividuals. Recently much attention has been paid to different strategies of molecular hybridization. In this paper, various molecular combinations were described e.g., drug–drug or drug-non-drug combinations which are expressed in a schematic multi-factor form called a molecular matrix, consisting of four factors: association mode, connection method, and the number of elements and linkers. One of the most popular trends is to create small–small molecule combinations such as different hybrids, codrugs, drug–drug conjugates (DDCs) and small-large molecule combinations such as antibody-drug conjugates (ADCs), polymer-drug conjugates (PDCs) or different prodrugs and macromolecular therapeutics. A review of the structural possibilities of active framework combinations indicates that a wide range of potentially effective novel-type compounds can be formed. What is particularly important is that new therapeutics can be obtained in fast, efficient, and selective methods using current trends in chemical synthesis and the design of drugs such as the “Lego” concept or rational green approach. Full article
(This article belongs to the Section Molecular Pathology, Diagnostics, and Therapeutics)
Show Figures

Graphical abstract

22 pages, 4263 KB  
Article
Informing Efforts to Develop Nitroreductase for Amine Production
by Anne-Frances Miller, Jonathan T. Park, Kyle L. Ferguson, Warintra Pitsawong and Andreas S. Bommarius
Molecules 2018, 23(2), 211; https://doi.org/10.3390/molecules23020211 - 24 Jan 2018
Cited by 46 | Viewed by 9221
Abstract
Nitroreductases (NRs) hold promise for converting nitroaromatics to aromatic amines. Nitroaromatic reduction rate increases with Hammett substituent constant for NRs from two different subgroups, confirming substrate identity as a key determinant of reactivity. Amine yields were low, but compounds yielding amines tend to [...] Read more.
Nitroreductases (NRs) hold promise for converting nitroaromatics to aromatic amines. Nitroaromatic reduction rate increases with Hammett substituent constant for NRs from two different subgroups, confirming substrate identity as a key determinant of reactivity. Amine yields were low, but compounds yielding amines tend to have a large π system and electron withdrawing substituents. Therefore, we also assessed the prospects of varying the enzyme. Several different subgroups of NRs include members able to produce aromatic amines. Comparison of four NR subgroups shows that they provide contrasting substrate binding cavities with distinct constraints on substrate position relative to the flavin. The unique architecture of the NR dimer produces an enormous contact area which we propose provides the stabilization needed to offset the costs of insertion of the active sites between the monomers. Thus, we propose that the functional diversity included in the NR superfamily stems from the chemical versatility of the flavin cofactor in conjunction with a structure that permits tremendous active site variability. These complementary properties make NRs exceptionally promising enzymes for development for biocatalysis in prodrug activation and conversion of nitroaromatics to valuable aromatic amines. We provide a framework for identifying NRs and substrates with the greatest potential to advance. Full article
(This article belongs to the Special Issue Flavoenzymes)
Show Figures

Graphical abstract

17 pages, 2796 KB  
Review
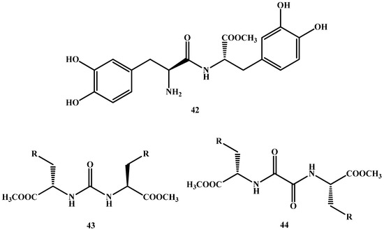
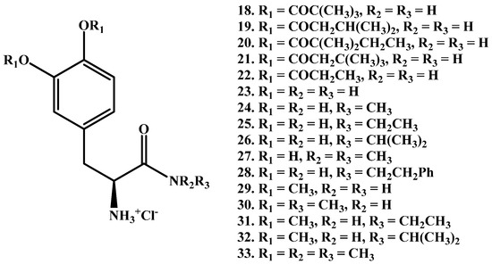
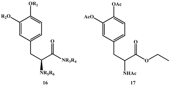
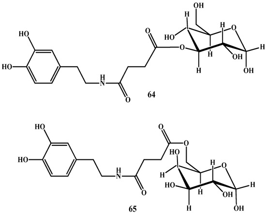
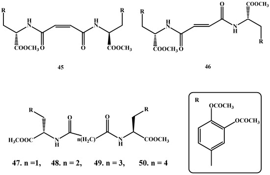
Dopamine and Levodopa Prodrugs for the Treatment of Parkinson’s Disease
by Fatma Haddad, Maryam Sawalha, Yahya Khawaja, Anas Najjar and Rafik Karaman
Molecules 2018, 23(1), 40; https://doi.org/10.3390/molecules23010040 - 25 Dec 2017
Cited by 166 | Viewed by 32815
Abstract
Background: Parkinson’s disease is an aggressive and progressive neurodegenerative disorder that depletes dopamine (DA) in the central nervous system. Dopamine replacement therapy, mainly through actual dopamine and its original prodrug l-dopa (LD), faces many challenges such as poor blood brain barrier [...] Read more.
Background: Parkinson’s disease is an aggressive and progressive neurodegenerative disorder that depletes dopamine (DA) in the central nervous system. Dopamine replacement therapy, mainly through actual dopamine and its original prodrug l-dopa (LD), faces many challenges such as poor blood brain barrier penetration and decreased response to therapy with time. Methods: The prodrugs described herein are ester, amide, dimeric amide, carrier-mediated, peptide transport-mediated, cyclic, chemical delivery systems and enzyme-models prodrugs designed and made by chemical means, and their bioavailability was studied in animals. Results: A promising ester prodrug for intranasal delivery has been developed. LD methyl ester is currently in Phase III clinical trials. A series of amide prodrugs were synthesized with better stability than ester prodrugs. Both amide and dimeric amide prodrugs offer enhanced blood brain barrier (BBB) penetration and better pharmacokinetics. Attaching LD to sugars has been used to exploit glucose transport mechanisms into the brain. Conclusions: Till now, no DA prodrug has reached the pharmaceutical market, nevertheless, the future of utilizing prodrugs for the treatment of PD seems to be bright. For instance, LD ester prodrugs have demonstrated an adequate intranasal delivery of LD, thus enabling the absorption of therapeutic agents to the brain. Most of the amide, cyclic, peptidyl or chemical delivery systems of DA prodrugs demonstrated enhanced pharmacokinetic properties. Full article
(This article belongs to the Section Medicinal Chemistry)
Show Figures

Graphical abstract

Back to TopTop