Sign in to use this feature.

Years

Between: -

Subjects

remove_circle_outline
remove_circle_outline
remove_circle_outline
remove_circle_outline
remove_circle_outline
remove_circle_outline
remove_circle_outline
remove_circle_outline
remove_circle_outline

Journals

remove_circle_outline
remove_circle_outline
remove_circle_outline
remove_circle_outline
remove_circle_outline
remove_circle_outline

Article Types

Countries / Regions

remove_circle_outline
remove_circle_outline
remove_circle_outline
remove_circle_outline

Search Results (172)

Search Parameters:
Keywords = diffusive logistic model

Order results
Result details
Results per page
Select all
Export citation of selected articles as:
19 pages, 1323 KB  
Article
Exploring the Dynamics of Quinoa Adoption: Insights from Rehamna and Oriental Regions in Morocco
by Ilham Abidi, Rachid Hamimaz, Loubna Belqadi and Si Bennasseur Alaoui
Sustainability 2026, 18(4), 1838; https://doi.org/10.3390/su18041838 - 11 Feb 2026
Viewed by 84
Abstract
Morocco is increasingly vulnerable to climate change, as reflected by recurrent droughts and rising soil and groundwater salinization, which threaten staple crops and rural livelihoods. In this context, the introduction of drought- and salinity-tolerant crops such as quinoa represents a strategic option for [...] Read more.
Morocco is increasingly vulnerable to climate change, as reflected by recurrent droughts and rising soil and groundwater salinization, which threaten staple crops and rural livelihoods. In this context, the introduction of drought- and salinity-tolerant crops such as quinoa represents a strategic option for enhancing agricultural resilience and supporting sustainable rural development. This study analyzes quinoa adoption in two contrasting Moroccan regions, Rehamna and the Oriental, with the aim of determining key socio-economic, institutional, and environmental drivers. Field surveys were conducted to collect data on farmers’ personal characteristics, farm attributes, and access to resources related to quinoa cultivation, including water, information, and credit. Data analysis combined descriptive statistics, a binary logistic regression model (Logit), Factorial Analysis for Mixed Data (FAMD), and Hierarchical Cluster Analysis (HCPC) to identify adoption determinants and explore heterogeneity among farmers. The results reveal both common factors and region-specific dynamics shaping quinoa adoption. Cooperative membership emerges as a central determinant in both regions, facilitating access to information, collective learning, and market integration, with a stronger effect observed in the Oriental region. Water scarcity appears as a critical constraint, particularly in Rehamna. Adoption pathways also differ across regions, with a higher prevalence of direct adoption among farmers in the Oriental. Interpreted through the lens of innovation diffusion and multidimensional sustainability, the findings show that quinoa adoption is not merely a technical choice but a socio-economic adaptation strategy. Quinoa should therefore be considered a complementary crop within diversified farming systems, contributing to environmental resilience, income diversification, and social inclusion. These results provide relevant insights for the design of policies aimed at promoting sustainable agricultural innovation in marginal environments. Full article
Show Figures

Figure 1

25 pages, 4311 KB  
Article
Social Determinants and Outbreak Dynamics of the 2025 Measles Epidemic in Mexico: A Nationwide Analysis of Linked Surveillance Data
by Judith Carolina De Arcos-Jiménez, Pedro Martínez-Ayala, Oscar Francisco Fernández-Diaz, Sergio Sánchez-Enríquez, Patricia Noemi Vargas-Becerra, Ana María López-Yáñez, Roberto Damian-Negrete, Sofía Gutierrez-Perez and Jaime Briseno-Ramírez
Viruses 2026, 18(2), 219; https://doi.org/10.3390/v18020219 - 8 Feb 2026
Viewed by 432
Abstract
Measles resurgence threatens elimination achievements in the Americas. We conducted a nationwide analysis of Mexico’s 2025–2026 measles outbreak, integrating individual-level surveillance data from the Special Surveillance System for Febrile Exanthematous Diseases with municipal-level social determinants from eight national databases, complemented by molecular surveillance [...] Read more.
Measles resurgence threatens elimination achievements in the Americas. We conducted a nationwide analysis of Mexico’s 2025–2026 measles outbreak, integrating individual-level surveillance data from the Special Surveillance System for Febrile Exanthematous Diseases with municipal-level social determinants from eight national databases, complemented by molecular surveillance data. We analyzed 6892 confirmed cases using spatial autocorrelation (Moran’s I and LISA), effective reproduction number estimation, logistic regression models for municipal case presence, and multivariable logistic regression for risk factors for complications. Cases concentrated in Chihuahua (65.2%), with 47 LISA hot-spot municipalities containing 64.4% of cases. Molecular surveillance confirmed two independent introductions: D8/MVs/Ontario.CAN/47.24 (98.1%), linked to the North American outbreak, and B3 (1.9%) in Oaxaca. Transmission followed a three-stage pattern: introduction through seasonal agricultural worker networks, amplification in undervaccinated communities, and diffusion to marginalized indigenous populations. A dual-model analysis revealed that school non-attendance among children aged 6–14 years may have mediated the effect of very high marginalization on municipal case presence (OR 1.26; p < 0.001), identifying a potentially actionable vaccination pathway. Vaccine effectiveness was 98.1%, confirming susceptible accumulation rather than vaccine failure. Wave-stratified analysis showed late outbreak phase as an independent risk factor for complications (aOR 1.68, 95% CI: 1.42–2.00), converging with an age of <1 year (aOR 3.36), indigenous status (aOR 1.89), and unvaccinated status (aOR 1.96) in the most marginalized communities. Indigenous individuals comprised 29.1% of cases but 76% of the 25 deaths. This outbreak demonstrates that national vaccination thresholds are insufficient when municipal pockets of susceptibility remain systematically underserved. Full article
(This article belongs to the Special Issue Current: Measles Outbreak, a Global Situation)
Show Figures

Figure 1

19 pages, 264 KB  
Article
AI Diffusion and the New Triad of Supply Chain Transformation: Productivity, Perspective, and Power in the Era of Claude, ChatGPT, Gemini, LLaMA, and Mistral
by Paul C. Hong, Young B. Choi and Young Soo Park
Logistics 2026, 10(2), 40; https://doi.org/10.3390/logistics10020040 - 5 Feb 2026
Viewed by 341
Abstract
Background: The rapid diffusion of large language models (LLMs) such as Claude, ChatGPT, Gemini, LLaMA, and Mistral is reshaping logistics and supply chain management by embedding generative intelligence into planning, coordination, and governance processes. While prior studies emphasize algorithmic capability, far less [...] Read more.
Background: The rapid diffusion of large language models (LLMs) such as Claude, ChatGPT, Gemini, LLaMA, and Mistral is reshaping logistics and supply chain management by embedding generative intelligence into planning, coordination, and governance processes. While prior studies emphasize algorithmic capability, far less is known about how differences in diffusion pathways shape productivity outcomes, managerial cognition, and institutional control. Methods: This study develops and applies an integrative analytical framework—the AI Diffusion Triad—comprising Productivity, Perspective, and Power. Using comparative qualitative analysis of five leading LLM ecosystems, the study examines how technical architecture, access models, and governance structures influence adoption patterns and operational integration in logistics contexts. Results: The analysis shows that diffusion outcomes depend not only on model performance but on socio-technical alignment between AI systems, human workflows, and institutional governance. Proprietary platforms accelerate productivity through centralized integration but create dependency risks, whereas open-weight ecosystems support localized innovation and broader participation. Differences in interpretability and access significantly shape managerial trust, learning, and decision autonomy across supply chain tiers. Conclusions: Sustainable and inclusive AI adoption in logistics requires balancing operational efficiency with interpretability and equitable governance. The study offers design and policy principles for aligning technological deployment with workforce adaptation and ecosystem resilience and proposes a research agenda focused on diffusion governance rather than algorithmic advancement alone. Full article
25 pages, 506 KB  
Article
Solution Dynamics of the (1 + 1)-Dimensional Fisher’s Equation Using Lie Symmetry Analysis
by Phillipos Masindi and Lazarus Rundora
Symmetry 2026, 18(2), 279; https://doi.org/10.3390/sym18020279 - 3 Feb 2026
Viewed by 161
Abstract
Reaction–diffusion equations provide a fundamental framework for modelling spatial population dynamics and invasion processes in mathematical biology. Among these, Fisher’s equation combines diffusion with logistic growth to describe the spread of an advantageous gene and the formation of travelling population fronts. In this [...] Read more.
Reaction–diffusion equations provide a fundamental framework for modelling spatial population dynamics and invasion processes in mathematical biology. Among these, Fisher’s equation combines diffusion with logistic growth to describe the spread of an advantageous gene and the formation of travelling population fronts. In this work, we investigate the one-dimensional Fisher’s equation using Lie symmetry analysis to obtain a deeper analytical understanding of its wave propagation behaviour. The Lie point symmetries of the partial differential equation are derived and used to construct similarity variables that reduce Fisher’s equation to ordinary differential equations. These reduced equations are then solved by a combination of direct integration and the tanh method, yielding explicit invariant and travelling-wave solutions. Symbolic computations in MAPLE are employed to compute the symmetries, verify the reductions, and generate illustrative plots of the resulting wave profiles. The computed solutions capture sigmoidal fronts connecting stable and unstable steady states, providing clear information about wave speed and shape. Overall, this study demonstrates that Lie group methods, combined with hyperbolic-function techniques, offer a powerful and systematic approach for analysing Fisher-type reaction–diffusion models and interpreting their biologically relevant invasion dynamics. Full article
(This article belongs to the Special Issue Symmetry in Integrable Systems and Soliton Theories)
Show Figures

Figure 1

39 pages, 1337 KB  
Article
Quality-by-Design Development of a Clofazimine–Pyrazinamide Dermal Emulsion and Its Diffusion Behavior in Strat-M® and Human Skin
by Francelle Bouwer, Marius Brits, Daniélle van Staden and Joe M. Viljoen
Pharmaceuticals 2026, 19(2), 255; https://doi.org/10.3390/ph19020255 - 1 Feb 2026
Viewed by 279
Abstract
Background/Objectives: Topical treatment of cutaneous tuberculosis (CTB) requires reliable models to evaluate dermal drug release and diffusion, particularly for fixed-dose combinations (FDCs) with contrasting physicochemical properties. Human skin remains the reference standard but poses ethical, logistical, and reproducibility challenges. This study investigated [...] Read more.
Background/Objectives: Topical treatment of cutaneous tuberculosis (CTB) requires reliable models to evaluate dermal drug release and diffusion, particularly for fixed-dose combinations (FDCs) with contrasting physicochemical properties. Human skin remains the reference standard but poses ethical, logistical, and reproducibility challenges. This study investigated the suitability of Strat-M® synthetic membranes as an alternative to human skin for assessing the simultaneous release and diffusion of clofazimine (CFZ) and pyrazinamide (PZA) from a topical FDC, and aimed to develop an optimized dermal emulsion using a Quality-by-Design (QbD)-informed formulation development tool. Methods: Self-emulsifying dermal emulsions containing CFZ and PZA were developed following QbD principles. Preformulation studies included drug solubility screening, oil phase selection, and pseudoternary phase diagram construction to identify stable emulsion regions. Formulations were characterized for droplet size, polydispersity index, zeta potential, viscosity, self-emulsification efficiency, and thermodynamic stability. Eight stable emulsions were identified, of which four were selected for in vitro drug release studies. The peppermint oil-based emulsion (PPO415) was further evaluated in comparative diffusion studies using Strat-M® membranes and ex vivo human skin (Caucasian and African). Results: PPO415 demonstrated favorable physicochemical properties, including high CFZ solubility, uniform droplet distribution, and suitability for dermal application. Comparative diffusion studies showed that Strat-M® underestimated the partitioning of lipophilic CFZ while overestimating the diffusion of hydrophilic PZA relative to human skin. These differences were attributed to compositional and structural disparities between synthetic membranes and biological skin. Conclusions: Strat-M® membranes show potential as a reproducible and ethical in vitro screening tool during early-stage formulation development for topical FDCs. However, ex vivo human skin remains essential for accurately predicting dermal drug distribution and therapeutic performance. Full article
(This article belongs to the Section Pharmaceutical Technology)
Show Figures

Graphical abstract

20 pages, 3806 KB  
Article
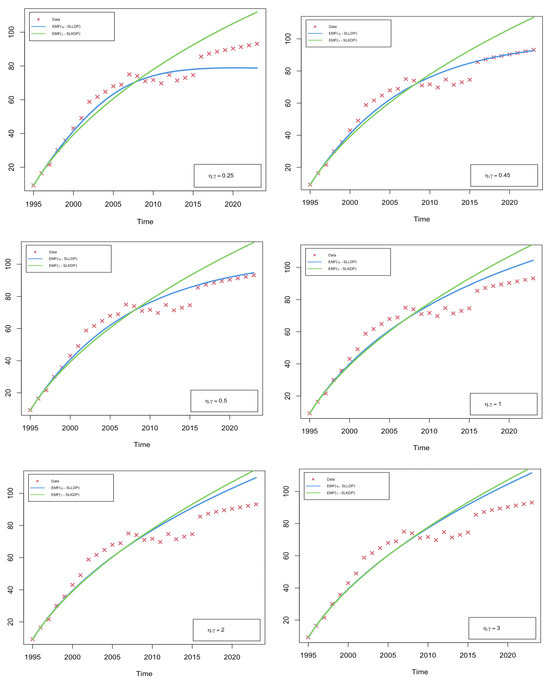
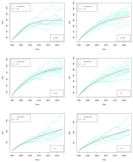
An η-Power Stochastic Log-Logistic Diffusion Process: Statistical Computation and Application to Individuals Using the Internet in the United States
by Safa’ Alsheyab
Mathematics 2026, 14(3), 406; https://doi.org/10.3390/math14030406 - 23 Jan 2026
Viewed by 233
Abstract
A new family of stochastic η-power log-logistic diffusion processes was introduced and defined based on the classical log-logistic diffusion model. The probabilistic characteristics of the proposed process were derived through an analysis of the associated stochastic differential equation (SDE), including its explicit [...] Read more.
A new family of stochastic η-power log-logistic diffusion processes was introduced and defined based on the classical log-logistic diffusion model. The probabilistic characteristics of the proposed process were derived through an analysis of the associated stochastic differential equation (SDE), including its explicit expressions, the transition probability density function, and the conditional and non-conditional mean functions. The statistical inference of the model was studied, and parameter estimation was performed using the maximum likelihood method based on discrete sampling paths. The proposed probabilistic and statistical framework was applied to data on individuals using the Internet in the United States to assess the practical performance of the model. The empirical results demonstrated that the inclusion of a power in the process improved the goodness of fit compared with the classical formulation, providing better agreement with the observed data. Finally, a small Monte Carlo experiment was performed to examine the robustness of the estimation procedure. Full article
(This article belongs to the Special Issue Stochastic Differential Equations and Applications)
Show Figures

Figure 1

16 pages, 3466 KB  
Article
Differential Diagnosis of Oral Salivary Gland Carcinoma and Squamous Cell Carcinoma Using Quantitative Dynamic Contrast-Enhanced MRI
by Kunjie Zeng, Yanqin Zeng, Xinyin Chen, Siya Shi, Guoxiong Lu, Yusong Jiang, Xing Wu, Lingjie Yang, Zhaoqi Lai, Jiale Zeng and Yun Su
J. Clin. Med. 2026, 15(2), 822; https://doi.org/10.3390/jcm15020822 - 20 Jan 2026
Viewed by 250
Abstract
Background/Objectives: Preoperative differentiation between oral squamous cell carcinoma (SCC) and minor salivary gland carcinoma (SGC) remains clinically challenging due to overlapping imaging characteristics. This study aimed to develop a diagnostic model based on quantitative dynamic contrast-enhanced MRI (qDCE-MRI) parameters to distinguish SCC from [...] Read more.
Background/Objectives: Preoperative differentiation between oral squamous cell carcinoma (SCC) and minor salivary gland carcinoma (SGC) remains clinically challenging due to overlapping imaging characteristics. This study aimed to develop a diagnostic model based on quantitative dynamic contrast-enhanced MRI (qDCE-MRI) parameters to distinguish SCC from SGC prior to surgery. Methods: Patients with histopathologic confirmed SCC or minor SGC who underwent preoperative 3.0T qDCE-MRI were recruited. Clinical characteristics and pharmacokinetic parameters, including volume transfer constant (Ktrans), reverse reflux rate constant (Kep), volume fraction of extravascular extracellular space (Ve), plasma volume fraction (Vp), time to peak (TTP), maximum concentration (MAXConc), maximal slope (MAXSlope), and area under the concentration-time curve (AUCt), along with the apparent diffusion coefficient (ADC), were extracted. Univariate and multivariable logistic regression analyses were performed to identify independent discriminators. Diagnostic performance was assessed using receiver operating characteristic analysis, and model comparisons were conducted with the DeLong test. Interobserver agreement was evaluated using intraclass correlation coefficients (ICC). Results: All qDCE-MRI parameters demonstrated excellent interobserver agreement (ICC range, 0.82–0.94). Multivariable analysis identified Kep (OR = 2620.172, p = 0.001), maximal slope (OR = 1.715, p = 0.024), and tumor location (OR = 5.561, p = 0.027) as independent predictors. The qDCE-MRI model achieved superior diagnostic performance compared with the clinical model (AUC: 0.945 vs. 0.747; p = 0.012). Conclusions: A qDCE-MRI–based model incorporating Kep and MAXSlope was shown to provide excellent accuracy for preoperative differentiation between oral SCC and minor SGC. Full article
Show Figures

Figure 1

14 pages, 1330 KB  
Article
Development and Internal Validation of a Bailout Risk Score in PCI with Drug-Coated Balloons
by Luigi Alberto Iossa, Marco Ferrone, Luigi Salemme, Elena Laganà, Armando Pucciarelli, Michele Franzese, Giuseppe Ciliberti, Sebastiano Verdoliva, Giulia Sgherzi, Grigore Popusoi, Angelo Cioppa, Tullio Tesorio and Giuseppe Di Gioia
J. Clin. Med. 2026, 15(2), 813; https://doi.org/10.3390/jcm15020813 - 19 Jan 2026
Viewed by 217
Abstract
Background/Objectives: Bail-out stenting remains a procedural challenge for percutaneous coronary intervention (PCI) performed with drug-coated balloons (DCBs). No dedicated bedside tool is currently available to predict this event. We aimed to develop and internally validate a bedside Bail-Out Risk Score. Methods: [...] Read more.
Background/Objectives: Bail-out stenting remains a procedural challenge for percutaneous coronary intervention (PCI) performed with drug-coated balloons (DCBs). No dedicated bedside tool is currently available to predict this event. We aimed to develop and internally validate a bedside Bail-Out Risk Score. Methods: We analyzed patients treated with DCBs between 2021 and 2025. Predictors of bailout stenting were identified through univariate analysis, and variables with p < 0.10 were entered into a multivariable logistic regression model. Regression coefficients were then transformed into integer points using the Sullivan method. Model performance was evaluated by AUC-ROC, calibration, and bootstrap internal validation (B = 1000). Results: A total of 352 patients (399 de novo lesions) were treated with DCB-only PCI. Bail-out stenting occurred in 14.5% of lesions (58/399). Independent predictors of bail-out stenting were prior CABG (OR 4.29, p = 0.002), proximal lesion location (OR 2.99, p = 0.003), and diffuse disease (OR 2.18, p = 0.018). Prior PCI (OR 0.44, p = 0.009) and lipid-lowering therapy (OR 0.42, p = 0.029) were protective, while LAD involvement showed a non-significant trend (OR 1.57, p = 0.137). The model demonstrated moderate discrimination (AUC = 0.734; optimism-corrected AUC = 0.704) and excellent calibration (intercept = 0.000, slope = 1.000). The final score (range −4 to +8) stratified lesions into low (≤−1), intermediate (0–3), and high (≥3) risk groups, with progressively higher predicted probabilities (≤9%, 13–37%, and ≥49%). Conclusions: The Bail-Out Risk Score provides a practical and reliable bedside tool to estimate procedural risk during stentless PCI. Full article
(This article belongs to the Section Cardiology)
Show Figures

Figure 1

18 pages, 622 KB  
Article
Insulin Resistance in Systemic Sclerosis: Decoding Its Association with Severe Clinical Phenotype
by Eugenio Capparelli, Luca Clerici, Giusy Cinzia Moltisanti, Francesco Lapia, Eleonora Zaccara, Francesca Capelli, Daniela Bompane, Maria Sole Chimenti, Sergio Finazzi, Paola Maria Luigia Faggioli and Antonino Mazzone
J. Clin. Med. 2026, 15(2), 774; https://doi.org/10.3390/jcm15020774 - 17 Jan 2026
Viewed by 417
Abstract
Background/Objectives: Insulin resistance (IR) is a relevant metabolic concern in patients with rheumatic diseases; however, data regarding its clinical influence on the systemic sclerosis (SSc) phenotype is lacking. This study aimed to evaluate the characteristics of patients exhibiting IR in a monocentric [...] Read more.
Background/Objectives: Insulin resistance (IR) is a relevant metabolic concern in patients with rheumatic diseases; however, data regarding its clinical influence on the systemic sclerosis (SSc) phenotype is lacking. This study aimed to evaluate the characteristics of patients exhibiting IR in a monocentric SSc cohort. Methods: We conducted a cross-sectional study on 178 SSc patients, stratified according to the presence of IR, defined as a HOMA-IR value >1.85 for men and >2.07 for women, based on thresholds previously validated in the Estudio Epidemiológico de la Insuficiencia Renal en España (EPIRCE) cross-sectional study. The rationale for applying the current cut-offs is based on its discriminative potential when using sex- and age-specific thresholds in a nondiabetic population. This approach is particularly applicable to SSc, where the prevalence of diabetes is very low and the median ages of the two cohorts are comparable. Data collected included demographic-, clinical-, laboratory-, pulmonary function-, capillaroscopic-, and treatment-related parameters. A multivariable logistic regression model was used to identify independent predictors of IR. Results: Patients with IR (n = 76) had a significantly higher prevalence of diffuse cutaneous subset (26.3% vs. 11.8%, p = 0.012) and interstitial lung disease (39.5% vs. 17.6%, p = 0.001), along with the positivity for anti-Scl70 antibodies and the current presence of musculoskeletal symptoms (p = 0.021) and digital ulcers (p = 0.037). As expected, body mass index (BMI) was significantly higher in the IR population (24.6 ± 5.2 vs. 22.9 ± 4.1, p = 0.012), along with fasting glucose, insulin, HOMA-IR, and HbA1c levels. IR patients exhibited higher percentages of dyslipidemia and liver steatosis. Medications such as hydroxychloroquine, statins, and Iloprost were more frequently used in the IR group; as for corticosteroids usage (21.1% vs. 5.9%, p = 0.002), however, cumulative glucocorticoid dosage did not differ between the groups. In multivariable analysis, BMI (OR 1.09; p = 0.038) and interstitial lung disease (ILD) (OR 3.03; p = 0.034) were independent predictors of IR. Conclusions: In SSc, IR is associated with ILD, digital ulcers, musculoskeletal involvement, and anti-Scl70 autoantibodies. Full article
Show Figures

Figure 1

22 pages, 2959 KB  
Article
A Lung Ultrasound-Integrated Clinical Model for Predicting Pulmonary Arterial Hypertension in Patients with Connective Tissue Disease-Associated Interstitial Lung Disease
by Xihua Lian, Shunlan Liu, Jing Bai, Ying Zhang, Jiaohong Yang, Jimin Fan and Zhixing Zhu
Diagnostics 2026, 16(2), 203; https://doi.org/10.3390/diagnostics16020203 - 8 Jan 2026
Viewed by 297
Abstract
Objectives: To develop and validate a transthoracic lung ultrasound (TLUS)-integrated clinical nomogram for predicting pulmonary arterial hypertension (PAH) in patients with connective tissue disease-associated interstitial lung disease (CTD-ILD). Methods: This multicenter retrospective study included 550 patients with CTD-ILD from the Second Affiliated Hospital [...] Read more.
Objectives: To develop and validate a transthoracic lung ultrasound (TLUS)-integrated clinical nomogram for predicting pulmonary arterial hypertension (PAH) in patients with connective tissue disease-associated interstitial lung disease (CTD-ILD). Methods: This multicenter retrospective study included 550 patients with CTD-ILD from the Second Affiliated Hospital of Fujian Medical University and 169 external cases from the Xijing Hospital, Fourth Military Medical University. Patients were randomly divided into a training cohort (n = 385) and an internal validation cohort (n = 165); the external dataset served as a testing cohort. Demographic, physiological, laboratory, pulmonary function, and TLUS data were collected. Univariate and multivariate logistic regression analyses identified independent predictors of PAH, which were used to construct a nomogram model. Discrimination was assessed using receiver operating characteristic (ROC) curves and area under the curve (AUC) values. Calibration, decision curve analysis (DCA), and clinical impact curves (CIC) were performed to evaluate model accuracy and clinical utility. Results: Five independent predictors were identified: respiratory rate, diffusing capacity of the lung for carbon monoxide (DLCO% predicted), TLUS score, red blood cell (RBC) count, and brain natriuretic peptide (BNP). The model achieved excellent discrimination with AUCs of 0.952 (95% confidence interval [CI]: 0.927–0.977) in the training cohort, 0.935 (95% CI: 0.885–0.985) in the validation cohort, and 0.874 (95% CI: 0.806–0.942) in the testing cohort, outperforming individual predictors. Calibration plots showed close agreement between predicted and observed probabilities, while DCA and CIC confirmed strong clinical benefit and applicability across all thresholds. Conclusions: This TLUS-integrated nomogram provides a noninvasive and reliable tool for individualized PAH risk assessment in CTD-ILD patients. By combining ultrasound findings with physiological and laboratory markers, the model enables accurate detection of high-risk cases and may assist clinicians in optimizing surveillance and management strategies. Full article
(This article belongs to the Section Clinical Diagnosis and Prognosis)
Show Figures

Figure 1

28 pages, 1123 KB  
Article
Trust as a Stochastic Phase on Hierarchical Networks: Social Learning, Degenerate Diffusion, and Noise-Induced Bistability
by Dimitri Volchenkov, Nuwanthika Karunathilaka, Vichithra Amunugama Walawwe and Fahad Mostafa
Dynamics 2026, 6(1), 4; https://doi.org/10.3390/dynamics6010004 - 7 Jan 2026
Viewed by 401
Abstract
Empirical debates about a “crisis of trust” highlight long-lived pockets of high trust and deep distrust in institutions, as well as abrupt, shock-induced shifts between the two. We propose a probabilistic model in which such phenomena emerge endogenously from social learning on hierarchical [...] Read more.
Empirical debates about a “crisis of trust” highlight long-lived pockets of high trust and deep distrust in institutions, as well as abrupt, shock-induced shifts between the two. We propose a probabilistic model in which such phenomena emerge endogenously from social learning on hierarchical networks. Starting from a discrete model on a directed acyclic graph, where each agent makes a binary adoption decision about a single assertion, we derive an effective influence kernel that maps individual priors to stationary adoption probabilities. A continuum limit along hierarchical depth yields a degenerate, non-conservative logistic–diffusion equation for the adoption probability u(x,t), in which diffusion is modulated by (1u) and increases the integral of u rather than preserving it. To account for micro-level uncertainty, we perturb these dynamics by multiplicative Stratonovich noise with amplitude proportional to u(1u), strongest in internally polarised layers and vanishing at consensus. At the level of a single depth layer, Stratonovich–Itô conversion and Fokker–Planck analysis show that the noise induces an effective double-well potential with two robust stochastic phases, u0 and u1, corresponding to persistent distrust and trust. Coupled along depth, this local bistability and degenerate diffusion generate extended domains of trust and distrust separated by fronts, as well as rare, Kramers-type transitions between them. We also formulate the associated stochastic partial differential equation in Martin–Siggia–Rose–Janssen–De Dominicis form, providing a field-theoretic basis for future large-deviation and data-informed analyses of trust landscapes in hierarchical societies. Full article
Show Figures

Graphical abstract

18 pages, 295 KB  
Article
Mind the AI Gap: Asymmetrical Age Differences in Entrepreneurs’ Perceptions of Artificial Intelligence
by Katja Crnogaj, Pina Slaček and Maja Rožman
Adm. Sci. 2026, 16(1), 8; https://doi.org/10.3390/admsci16010008 - 24 Dec 2025
Viewed by 654
Abstract
As artificial intelligence (AI) becomes embedded in entrepreneurial practice, an unresolved question is whether age shapes founders’ perceptions of its opportunities and risks. Drawing on diffusion-of-innovations and technology adoption theories, this study examines whether age cohorts differ in their perceived benefits of AI, [...] Read more.
As artificial intelligence (AI) becomes embedded in entrepreneurial practice, an unresolved question is whether age shapes founders’ perceptions of its opportunities and risks. Drawing on diffusion-of-innovations and technology adoption theories, this study examines whether age cohorts differ in their perceived benefits of AI, perceived risks, and short-term expectations regarding AI’s business impact. Using data from the 2024 Global Entrepreneurship Monitor (GEM) survey for Slovenia, we analyze ordinal indicators across all three domains. Bivariate comparisons using Mann–Whitney U tests with effect sizes are complemented by multivariate ordinal logistic regression models controlling for sector, education, and gender. The analysis reveals an asymmetrical age gap in AI perceptions. Younger entrepreneurs report higher perceived benefits and more positive impact expectations, while AI-related risk perceptions do not vary by age. Multivariate analyses show that age effects on perceived benefits are context-dependent, whereas age remains a robust predictor of future-oriented impact expectations. The study offers a theoretically grounded and methodologically transparent analysis integrating technology adoption frameworks with entrepreneurial psychology. Practically, it underscores the need for differentiated AI-readiness initiatives that address age-related differences in strategic orientation and preparedness. Future research could further explore the roles of capabilities, industry context, and entrepreneurial experience. Full article
20 pages, 412 KB  
Article
Ethical Consumer Attitudes and Trust in Artificial Intelligence in the Digital Marketplace: An Empirical Analysis of Behavioral and Value-Driven Determinants
by Markou Vasiliki, Panagiotis Serdaris, Ioannis Antoniadis and Konstantinos Spinthiropoulos
Digital 2026, 6(1), 1; https://doi.org/10.3390/digital6010001 - 19 Dec 2025
Viewed by 1298
Abstract
The rapid diffusion of artificial intelligence (AI) in marketing has reshaped how consumers interact with digital content and evaluate ethical aspects of firms. The present study examines how familiarity with and trust in AI shape consumers’ acceptance of AI-based advertising and, in turn, [...] Read more.
The rapid diffusion of artificial intelligence (AI) in marketing has reshaped how consumers interact with digital content and evaluate ethical aspects of firms. The present study examines how familiarity with and trust in AI shape consumers’ acceptance of AI-based advertising and, in turn, their ethical purchasing behavior. Data were collected from 505 Greek consumers through an online survey and analyzed using hierarchical and logistic regression models. Reliability and validity tests confirmed the robustness of the measurement instruments. The results show that familiarity with AI technologies significantly enhances trust and ethical confidence toward AI systems. In turn, trust in AI strongly predicts the consumers’ acceptance of AI-driven advertising, while acceptance positively affects ethical consumption intentions. The findings also confirm a mediating relationship, indicating that acceptance of AI-based advertising transmits the effect of AI rust to ethical consumption. By integrating ethical and technological dimensions within a single behavioral model, the study provides a more comprehensive view of how consumers form attitudes toward AI-enabled marketing. Overall, the findings highlight that transparent and responsible AI practices can strengthen brand credibility, foster ethical engagement, and support more sustainable consumer choices. Full article
Show Figures

Figure 1

16 pages, 1046 KB  
Article
Neurocognitive Dysfunction in Fibrosing Interstitial Lung Diseases: A Multidimensional Analysis of Pulmonary, Cognitive, and Clinical Correlates
by Zsolt Vastag, Emanuela Tudorache, Daniel Traila, Ioana Ciortea, Ovidiu Fira-Mladinescu, Cristian Oancea, Felix Bratosin and Elena Cecilia Rosca
Diagnostics 2026, 16(1), 4; https://doi.org/10.3390/diagnostics16010004 - 19 Dec 2025
Viewed by 426
Abstract
Background and Objectives: Fibrosing interstitial lung diseases (ILDs) may predispose to neurocognitive impairment through chronic hypoxemia and systemic inflammation, yet data integrating pulmonary physiology, disease severity, and cognition are limited. We aimed to compare global cognitive performance between adults with fibrosing ILD and [...] Read more.
Background and Objectives: Fibrosing interstitial lung diseases (ILDs) may predispose to neurocognitive impairment through chronic hypoxemia and systemic inflammation, yet data integrating pulmonary physiology, disease severity, and cognition are limited. We aimed to compare global cognitive performance between adults with fibrosing ILD and contemporaneous non-ILD clinic comparators, explore differences across ILD subtypes, and identify physiologic and clinical predictors of low MMSE scores. Materials and Methods: In this single-center cross-sectional study, 45 adults with fibrosing ILD and 32 non-ILD participants from university-affiliated pulmonology clinics completed the Mini-Mental State Examination (MMSE) and standardized lung function testing (including diffusing capacity, DLCO%). Comorbidity (Charlson index), inflammatory markers (C-reactive protein), and GAP (Gender–Age–Physiology) severity were recorded. Associations with MMSE and MMSE < 24 were examined using correlations and multivariable logistic regression. Results: Mean MMSE was lower in ILD than in non-ILD participants (23.9 ± 3.6 vs. 26.8 ± 2.8; p < 0.001), and MMSE < 24 occurred in 33.3% versus 12.5%, respectively. Within ILD, the usual interstitial pneumonia (UIP) pattern showed the lowest MMSE scores. DLCO% and total lung capacity correlated positively with MMSE (r = 0.44 and r = 0.34, respectively). In multivariable models, ILD diagnosis remained associated with MMSE < 24 (odds ratio [OR] 2.72, 95% CI 1.14–6.48), and each 10-percentage-point decrement in DLCO% increased the odds of MMSE < 24 (OR 1.42, 95% CI 1.11–1.92). GAP ≥ 4 was also associated with impaired cognition (OR 2.91, 95% CI 1.13–7.57). Conclusions: Fibrosing ILD, particularly with reduced diffusing capacity and higher GAP stage, is associated with lower MMSE scores and a higher frequency of values below a conventional impairment threshold. Prospective studies incorporating comprehensive neuropsychological testing are needed to determine whether and how neurocognitive assessment should be integrated into routine ILD care. Full article
(This article belongs to the Special Issue Assessment and Diagnosis of Cognitive Disorders)
Show Figures

Figure 1

24 pages, 13793 KB  
Article
Reinforcement Learning-Driven Evolutionary Stackelberg Game Model for Adaptive Breast Cancer Therapy
by Fatemeh Tavakoli, Davud Mohammadpur, Javad Salimi Sartakhti and Mohammad Hossein Manshaei
Math. Comput. Appl. 2025, 30(6), 134; https://doi.org/10.3390/mca30060134 - 5 Dec 2025
Cited by 2 | Viewed by 695
Abstract
In this paper, we present an integrative framework based on Evolutionary Stackelberg Game Theory to model the strategic interaction between a physician, acting as a rational leader, and a heterogeneous population of treatment-sensitive and treatment-resistant breast cancer cells. The model incorporates ecological competition, [...] Read more.
In this paper, we present an integrative framework based on Evolutionary Stackelberg Game Theory to model the strategic interaction between a physician, acting as a rational leader, and a heterogeneous population of treatment-sensitive and treatment-resistant breast cancer cells. The model incorporates ecological competition, evolutionary adaptation, and spatial heterogeneity, enabling prediction of tumor progression under clinically relevant treatment protocols. Using tumor volume data obtained from breast cancer-bearing mice treated with Capecitabine and Gemcitabine, we estimated treatment and subject-specific parameters via the GEKKO optimization package in Python. Benchmarking against classical tumor growth models (Exponential, Logistic, and Gompertz) showed that while classical models capture monotonic growth, they fail to reproduce complex, non-monotonic behaviors such as treatment-induced regression, rebound, and phenotypic switching. The game-theoretic approach achieved superior alignment with experimental data across Maximum Tolerated Dose, Dose-Modulation Adaptive Therapy, and Intermittent Adaptive Therapy protocols. To enhance adaptability, we integrated reinforcement learning (RL) for both single-agent and combination chemotherapy. The RL agent learned dosing policies that maximized tumor regression while minimizing cumulative drug exposure and resistance, with combination therapy exploiting dose diversification to improve control without exceeding total dose budgets. Incorporating reaction diffusion equations allowed the model to capture spatial dispersal of sensitive (cooperative) and resistant (defector) phenotypes, revealing that spatially aware adaptive strategies more effectively suppress resistant clones than non-spatial approaches. These results demonstrate that evolutionarily informed, spatially explicit, and computationally optimized strategies can outperform conventional fixed-dose regimens in reducing resistance, lowering toxicity, and improving efficacy. This framework offers a biologically interpretable tool for guiding evolution-aware, patient-tailored cancer therapies toward improved long-term outcomes. Full article
(This article belongs to the Special Issue Feature Papers in Mathematical and Computational Applications 2025)
Show Figures

Figure 1

Back to TopTop