Sign in to use this feature.

Years

Between: -

Subjects

remove_circle_outline
remove_circle_outline
remove_circle_outline
remove_circle_outline
remove_circle_outline
remove_circle_outline
remove_circle_outline

Journals

Article Types

Countries / Regions

Search Results (18)

Search Parameters:
Keywords = diffuser augmented wind turbine

Order results
Result details
Results per page
Select all
Export citation of selected articles as:
17 pages, 5540 KB  
Article
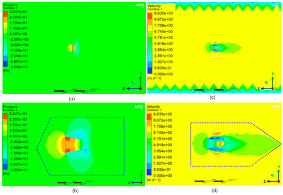
Enhancing Axial Flow in Hydrokinetic Turbines via Multi-Slot Diffuser Design: A Computational Study
by Daniel Sanin-Villa, Jorge Sierra-Del Rio, Diego Hincapié Zuluaga and Steven Galvis-Holguin
Appl. Syst. Innov. 2025, 8(5), 129; https://doi.org/10.3390/asi8050129 - 11 Sep 2025
Viewed by 330
Abstract
Straight-walled diffusers can boost the power density of horizontal-axis hydrokinetic turbines (HKTs), but are prone to boundary layer separation when the divergence angle is too large. We perform a systematic factorial study of three diffuser configurations, slotless, mid-length single-slot, and outlet-slot with dual [...] Read more.
Straight-walled diffusers can boost the power density of horizontal-axis hydrokinetic turbines (HKTs), but are prone to boundary layer separation when the divergence angle is too large. We perform a systematic factorial study of three diffuser configurations, slotless, mid-length single-slot, and outlet-slot with dual divergence angles, using a two-dimensional, transient SST kω Reynolds-averaged Navier–Stokes model validated against wind tunnel data (maximum error 6.4%). Eight geometries per configuration are generated through a 23 Design of Experiments with variation in the divergence angle, flange or slot position, and inlet section. The optimal outlet-slot design re-energises the boundary layer, shortens the recirculation zone by more than 50%, and raises the mean axial velocity along the diffuser centreline by 12.6% compared with an equally compact slotless diffuser, and by 42.6% relative to an open flow without a diffuser. Parametric analysis shows that the slot position in the radial (Y) direction and the first divergence angle have the strongest influence on velocity augmentation. In contrast, the flange angle and axial slot location (X) are second-order effects. The results provide fabrication-friendly guidelines, restricted to straight walls and a single slot, that are capable of improving HKT performance in shallow or remote waterways where complex curved diffusers are impractical. The study also identifies key geometric and turbulence model sensitivities that should be addressed in future three-dimensional and multi-slot investigations. Full article
Show Figures

Figure 1

18 pages, 6818 KB  
Article
Optimization of the Small Wind Turbine Design—Performance Analysis
by Marek Jaszczur, Marek Borowski, Joanna Halibart, Klaudia Zwolińska-Glądys and Patryk Marczak
Computation 2024, 12(11), 215; https://doi.org/10.3390/computation12110215 - 25 Oct 2024
Cited by 5 | Viewed by 3549
Abstract
In recent decades, the intensive development of renewable energy technology has been observed as a great alternative to conventional energy sources. Solutions aimed at individual customers, which can be used directly in places where electricity is required, are of particular interest. Small wind [...] Read more.
In recent decades, the intensive development of renewable energy technology has been observed as a great alternative to conventional energy sources. Solutions aimed at individual customers, which can be used directly in places where electricity is required, are of particular interest. Small wind turbines pose a special challenge because their design must be adapted to environmental conditions, including low wind speed or variability in its direction. The research study presented in this paper considers the energy efficiency of a small wind turbine with a horizontal axis of rotation. Three key design parameters were analyzed: the shape and inclination of the turbine blades and additional confusor–diffuser shape casings. The tests were carried out for three conceptual variants: a confusor before the turbine, a diffuser after the turbine, and a confusor–diffuser combination. Studies have shown that changing the shape of the blade can increase the analyzed wind turbine power by up to 35%, while changing the blade inclination can cause an increase of up to 16% compared to the initial installation position and a 66% increase in power when comparing the extreme inclination of the blades of the tested turbine. The study has shown that to increase the wind speed, the best solution is to use a confusor–diffuser configuration, which, with increased length, can increase the air velocity by up to 21%. Full article
Show Figures

Figure 1

33 pages, 9570 KB  
Review
Recent Progress in Design and Performance Analysis of Vertical-Axis Wind Turbines—A Comprehensive Review
by Djamal Hissein Didane, Mostafa Radwan Behery, Mohanad Al-Ghriybah and Bukhari Manshoor
Processes 2024, 12(6), 1094; https://doi.org/10.3390/pr12061094 - 27 May 2024
Cited by 21 | Viewed by 16451
Abstract
Vertical-axis wind turbines (VAWTs) are receiving more and more attention as they involve simple design, cope better with turbulence, and are insensitive to wind direction, which has a huge impact on their cost since a yaw mechanism is not needed. However, VAWTs still [...] Read more.
Vertical-axis wind turbines (VAWTs) are receiving more and more attention as they involve simple design, cope better with turbulence, and are insensitive to wind direction, which has a huge impact on their cost since a yaw mechanism is not needed. However, VAWTs still suffer from low conversion efficiency. As a result, tremendous efforts are being exerted to improve their efficiency, which mainly focus on two methods, regardless of whether the study is a CFD simulation, a field test, or a lab test experiment. An active approach involves modification of the rotor itself, such as the blade design, the angle, the trailing and leading edges, the inner blades, the chord thickness, the contra-rotating rotor, etc., while the second approach involves passive techniques where the flow is directed to optimally face the downwind rotor by mounting guiding vanes such as a diffuser or other shapes at the upwind position of the rotor. Among all the techniques undertaken, the counter-rotating wind turbine (CRWT) rotor technique seems to be the most effective, with an output comparable to that of horizontal-axis wind turbines (HAWTs), while the Savonius rotor has received more attention compared to other VAWT designs. Apart from technological issues, it has also been suggested that geographical issues, such as proper site siting of a wind turbine rotor at a particular location where a uniform flow can be guaranteed, are of paramount importance to ensure an effective conversion capacity of wind turbines. Thus, this study has successfully highlighted the latest improvements in augmentation methods and has established a solid foundation for future research aimed at improving the efficiency of VAWTs. Full article
Show Figures

Figure 1

31 pages, 28446 KB  
Article
Optimization Based on Computational Fluid Dynamics and Machine Learning for the Performance of Diffuser-Augmented Wind Turbines with Inlet Shrouds
by Po-Wen Hwang, Jia-Heng Wu and Yuan-Jen Chang
Sustainability 2024, 16(9), 3648; https://doi.org/10.3390/su16093648 - 26 Apr 2024
Cited by 7 | Viewed by 3698
Abstract
A methodology that could reduce computational cost and time, combining computational fluid dynamics (CFD) simulations, neural networks, and genetic algorithms to determine a diffuser-augmented wind turbine (DAWT) design is proposed. The specific approach used implements a CFD simulation validated with experimental data, and [...] Read more.
A methodology that could reduce computational cost and time, combining computational fluid dynamics (CFD) simulations, neural networks, and genetic algorithms to determine a diffuser-augmented wind turbine (DAWT) design is proposed. The specific approach used implements a CFD simulation validated with experimental data, and key parameters are analyzed to generate datasets for the relevant mathematical model established with the backpropagation neural network algorithm. Then, the mathematical model is used with the non-dominant sorting genetic algorithm II to optimize the design and improve the DAWT design to overcome negative constraints such as noise and low energy density. The key parameters adopted are the diffuser’s flange height/angle, the diffuser’s length, and the rotor’s axial position. It was found that the impact of the rotor’s axial position on the power output of the DAWT is the most significant parameter, and a well-designed diffuser requires accelerating the airflow while maintaining high-pressure recovery. Introducing a diffuser can suppress the wind turbine’s noise, but if the induced tip vortex is too strong, it will have the opposite effect on the noise reduction. Full article
(This article belongs to the Special Issue Application of Green Energy Technology in Sustainable Environment)
Show Figures

Figure 1

30 pages, 7572 KB  
Article
Velocity Augmentation Model for an Empty Concentrator-Diffuser-Augmented Wind Turbine and Optimisation of Geometrical Parameters Using Surface Response Methodology
by Ngwarai Shambira, Golden Makaka and Patrick Mukumba
Sustainability 2024, 16(4), 1707; https://doi.org/10.3390/su16041707 - 19 Feb 2024
Cited by 8 | Viewed by 2620
Abstract
Wind energy, renowned for cost-effectiveness and eco-friendliness, addresses global energy needs amid fossil fuel scarcity and environmental concerns. In low-wind speed regions, optimising wind turbine performance becomes vital and achievable by augmenting wind velocity at the turbine rotor using augmentation systems such as [...] Read more.
Wind energy, renowned for cost-effectiveness and eco-friendliness, addresses global energy needs amid fossil fuel scarcity and environmental concerns. In low-wind speed regions, optimising wind turbine performance becomes vital and achievable by augmenting wind velocity at the turbine rotor using augmentation systems such as concentrators and diffusers. This study focuses on developing a velocity augmentation model that correctly predicts the throat velocity in an empty concentrator-diffuser-augmented wind turbine (CDaugWT) design and determines optimal geometrical parameters. Utilising response surface methodology (RSM) in Design Expert 13 and computational fluid dynamics (CFD) in ANSYS Fluent, 86 runs were analysed, optimising parameters such as diffuser and concentrator angles and lengths, throat length, and flange height. The ANOVA analysis confirmed the model’s significance (p < 0.05). Notably, the interaction between the concentrator’s length and the diffuser’s length had the highest impact on the throat velocity. The model showed a strong correlation (R2 = 0.9581) and adequate precision (ratio value of 49.655). A low coefficient of variation (C.V.% = 0.1149) highlighted the model’s reliability. The findings revealed a 1.953-fold increase in inlet wind speed at the throat position. Optimal geometrical parameters for the CDaugWT included a diffuser angle of 10°, concentrator angle of 20°, concentrator length of 375 mm (0.62Rth), diffuser length of 975 mm (1.61Rth), throat length of 70 mm (0.12Rth), and flange height of 100 mm (0.17Rth) where Rth is the throat radius. A desirability value of 0.9, close to 1, showed a successful optimisation. CFD simulations and RSM reduced calculation cost and time when determining optimal geometrical parameters for the CDaugWT design. Full article
(This article belongs to the Special Issue Applications and Technologies of Renewable Energy)
Show Figures

Figure 1

17 pages, 7458 KB  
Article
Numerical Study of the Effect of Flap Geometry in a Multi-Slot Ducted Wind Turbine
by Antonio García Auyanet and Patrick G. Verdin
Sustainability 2022, 14(19), 12032; https://doi.org/10.3390/su141912032 - 23 Sep 2022
Cited by 10 | Viewed by 3357
Abstract
One possible way to harness wind more efficiently in low-wind urban areas is to place wind turbines inside a duct. A known issue of such approach is due to the flow separation that can occur at the diffuser walls. This can be avoided [...] Read more.
One possible way to harness wind more efficiently in low-wind urban areas is to place wind turbines inside a duct. A known issue of such approach is due to the flow separation that can occur at the diffuser walls. This can be avoided using a channelled structure consisting of a duct and a flap, also known as a multi-slot system. The present work describes the effects of a flap geometry on the turbine performance, through computational fluid dynamics (CFD). Four flaps based on airfoils, with different thicknesses and cambers, were evaluated. It was found that thinner and more cambered flaps produce higher wind turbine performance, showing power augmentations up to 2.5 compared to a bare turbine. A comparison between the multi-slot design and a single-piece duct of the same geometry was also performed, showing that the multi-slot design is more efficient if the flow is maintained attached to the flap. Full article
(This article belongs to the Special Issue Energy Technology and Sustainable Energy Systems)
Show Figures

Figure 1

16 pages, 18028 KB  
Article
Power Enhancement of a Vertical Axis Wind Turbine Equipped with an Improved Duct
by Mohammad Hassan Ranjbar, Behnam Rafiei, Seyyed Abolfazl Nasrazadani, Kobra Gharali, Madjid Soltani, Armughan Al-Haq and Jatin Nathwani
Energies 2021, 14(18), 5780; https://doi.org/10.3390/en14185780 - 14 Sep 2021
Cited by 27 | Viewed by 3922
Abstract
Efforts to increase the power output of wind turbines include Diffuser Augmented Wind Turbines (DAWT) or a shroud for the rotor of a wind turbine. The selected duct has three main components: a nozzle, a diffuser, and a flange. The combined effect of [...] Read more.
Efforts to increase the power output of wind turbines include Diffuser Augmented Wind Turbines (DAWT) or a shroud for the rotor of a wind turbine. The selected duct has three main components: a nozzle, a diffuser, and a flange. The combined effect of these components results in enriched upstream velocity for the rotor installed in the throat of the duct. To obtain the maximum velocity in the throat of the duct, the optimum angles of the three parts have been analyzed. A code was developed to allow all the numerical steps including changing the geometries, generating the meshes, and setting up the numerical solver simultaneously. Finally, the optimum geometry of the duct has been established that allows a doubling of the flow velocity. The flow characteristics inside the duct have also been analyzed in detail. An H-Darrieus Vertical Axis Wind Turbine (VAWT) has been simulated inside the optimized duct. The results show that the power coefficient of the DAWT can be enhanced up to 2.9 times. Deep dynamic stall phenomena are captured perfectly. The duct advances the leading-edge vortex generation and delays the vortex separation. Full article
(This article belongs to the Special Issue Rotary Wing Aerodynamics)
Show Figures

Figure 1

21 pages, 25535 KB  
Article
Performance Improvement of a Low-Power Wind Turbine Using Conical Sections
by Janesh N. Mohanan, Kumaravel Sundaramoorthy and Ashok Sankaran
Energies 2021, 14(17), 5233; https://doi.org/10.3390/en14175233 - 24 Aug 2021
Cited by 5 | Viewed by 2861
Abstract
This paper examines the performance of conical sections (concentrator and diffuser) to improve the energy-recovery prospects of small-scale wind turbines. Detailed simulation studies of the conical sections with convergence angle viz., concentrator, and divergence angle viz., diffuser were conducted using ANSYS Fluent® [...] Read more.
This paper examines the performance of conical sections (concentrator and diffuser) to improve the energy-recovery prospects of small-scale wind turbines. Detailed simulation studies of the conical sections with convergence angle viz., concentrator, and divergence angle viz., diffuser were conducted using ANSYS Fluent® software. Using simulation data, a trend analysis was conducted, and the empirical equations were derived for calculating the velocity variation and power variation in terms of the convergence/divergence angles. Working prototype models with optimum angles were fabricated for both the diffuser and concentrator. These models were then augmented with a wind turbine coupled with a 100 W, 24 V DC generator and tested to validate the simulation results. Upon analyzing the simulation data, it was found that a maximum velocity variation of 23.3% was achieved at an angle of 4.5° for the diffuser, whereas a maximum power variation of 65.1% was achieved at an angle of 3.6° for the same diffuser. The aforementioned improvement was achieved by optimizing divergence angle alone. The proposed designs of the diffuser- and concentrator-augmented wind turbine, as well as the empirical equations for calculating the velocity variation and power variation in terms of the divergence and convergence angle, are the major contributions of this article. Full article
Show Figures

Figure 1

15 pages, 5884 KB  
Article
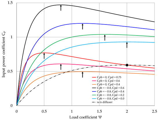
A Simple Theory and Performance Prediction for a Shrouded Wind Turbine with a Brimmed Diffuser
by Koichi Watanabe and Yuji Ohya
Energies 2021, 14(12), 3661; https://doi.org/10.3390/en14123661 - 19 Jun 2021
Cited by 16 | Viewed by 4725
Abstract
We developed a new wind turbine system that consists of a diffuser shroud with a broad-ring brim at the exit periphery and a wind turbine inside it. The shrouded wind turbine with a brimmed diffuser, which we called a “wind lens turbine” (WLT), [...] Read more.
We developed a new wind turbine system that consists of a diffuser shroud with a broad-ring brim at the exit periphery and a wind turbine inside it. The shrouded wind turbine with a brimmed diffuser, which we called a “wind lens turbine” (WLT), has demonstrated power augmentation by a factor of about 2–5 compared with a bare wind turbine for a given turbine diameter and wind speed. The increase in power output depends on the diffuser shape and length and the brim height. However, a simple theory presented in this paper argues that only two performance coefficients are needed to predict the performance of WLT. The coefficients are the back pressure coefficient of the brim and the pressure recovery coefficient of the diffuser. We theoretically showed that the back pressure coefficient was particularly important for the performance of WLT. Finally, the simple theory was evaluated with experimental results. The results showed good agreement with each other. Full article
Show Figures

Figure 1

16 pages, 5792 KB  
Article
Diffuser Total Efficiency Using Generalized Actuator Disc Model and Its Maximization Method
by Shigeo Yoshida, Masataka Motoyama, Peter Jamieson and Koij Matsuoka
Energies 2021, 14(4), 813; https://doi.org/10.3390/en14040813 - 4 Feb 2021
Cited by 1 | Viewed by 2088
Abstract
The diffuser total efficiency was formulated and defined based on the generalized actuator disc model for the index of the efficiency of the diffuser-alone of the diffuser-augmented wind turbines. An optimization method to maximize the diffuser total efficiency was developed using a genetic [...] Read more.
The diffuser total efficiency was formulated and defined based on the generalized actuator disc model for the index of the efficiency of the diffuser-alone of the diffuser-augmented wind turbines. An optimization method to maximize the diffuser total efficiency was developed using a genetic algorithm and axisymmetric computational fluid dynamics. A case study was conducted for a 10% chord-to-diameter ratio, 2% thickness-to-chord plate, and the crest position at 50% chord of the diffuser. The optimal result showed a diffuser total efficiency of 1.087. Furthermore, 1392 (=48 population × 29 generations) simulation cases of the optimization process showed that high diffuser total efficiency appears at a low-drag coefficient, high-lift coefficient, and 15–25% low diffuser height-to-chord ratio. Full article
(This article belongs to the Special Issue Advances in Wind Energy Systems)
Show Figures

Figure 1

32 pages, 11188 KB  
Article
A Theory for Power Extraction from Passive Accelerators and Confined Flows
by Robert Freda, Bradford Knight and Siddharth Pannir
Energies 2020, 13(18), 4854; https://doi.org/10.3390/en13184854 - 16 Sep 2020
Cited by 5 | Viewed by 3210
Abstract
No accepted fluid theory exists for power extraction from unpressurized confined flow. The absence of a valid model to determine baseline uniform power extraction in confined flows creates difficulties in characterizing the coefficient of power. Currently, the primary body of research has been [...] Read more.
No accepted fluid theory exists for power extraction from unpressurized confined flow. The absence of a valid model to determine baseline uniform power extraction in confined flows creates difficulties in characterizing the coefficient of power. Currently, the primary body of research has been limited to Diffuser Augmented Wind Turbines (DAWTs) and passive fluid accelerators. Fluid power is proportional to the cube of velocity; therefore, passive acceleration is a promising path to effective renewable energy. Hypothetical models and experiments for passive accelerators yield low ideal power limits and poor performance, respectively. We show that these results derive from the misapplication of Betz’s Law and lack of a general theory for confined flow extraction. Experimental performance is due to the low efficiency of DAWTs and prior hypotheses exhibit high predictive error and continuity violations. A fluid model that accurately predicts available data and new experimental data, showing disk specific maximum CP for the confined channel at 38% of power available to disk, is presented. This is significantly lower than the 59% Betz freestream limit yielded by hypothetical models when the area ratio equals one. Experiments and their results are presented with non-DAWT accelerators, where new experimental results exceed CP limits predicted previously and correlate with the proposed predictive model. Full article
(This article belongs to the Special Issue Engineering Fluid Dynamics 2019-2020)
Show Figures

Figure 1

17 pages, 9063 KB  
Article
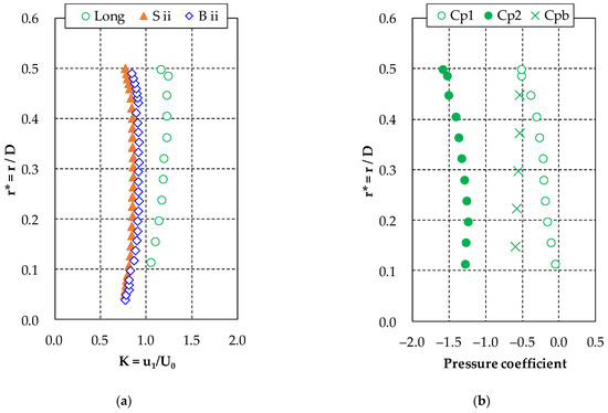
Power Output Enhancement of a Ducted Wind Turbine by Stabilizing Vortices around the Duct
by Koichi Watanabe, Yuji Ohya and Takanori Uchida
Energies 2019, 12(16), 3171; https://doi.org/10.3390/en12163171 - 18 Aug 2019
Cited by 10 | Viewed by 6409
Abstract
A brimmed-diffuser augmented turbine (called a wind lens turbine: WLT) actively uses vortices around the brim to enhance its power output. However, the vortices are usually unstable and asymmetric. This study attempted to stabilize the vortices to enhance the power output of a [...] Read more.
A brimmed-diffuser augmented turbine (called a wind lens turbine: WLT) actively uses vortices around the brim to enhance its power output. However, the vortices are usually unstable and asymmetric. This study attempted to stabilize the vortices to enhance the power output of a WLT. Then, we investigated new approaches using vortex stabilization plates and polygonal brims in wind tunnel experiments and numerical simulations. Both approaches achieved a 1.5–3.8% increase in power output compared with a standard WLT. Our numerical simulations revealed a periodicity existing in a fluctuating vortex structure on the circular brim. Importantly, vortex stabilization plates and polygonal brims must be the same periodic scale to suppress the vortex fluctuation and stabilize the vortices effectively. In addition, a larger brim tended to enhance the stabilizing effects. We believe that this discovery provides an easy way to increase the power output of existing wind turbines. It is particularly important in light of advances in wind energy technology and the increasing wind energy market. Full article
(This article belongs to the Section A3: Wind, Wave and Tidal Energy)
Show Figures

Figure 1

7 pages, 1800 KB  
Article
Optimization of the Power Output of a Bare Wind Turbine by the Use of a Plain Conical Diffuser
by Peace-Maker Masukume, Golden Makaka and Patrick Mukumba
Sustainability 2018, 10(8), 2647; https://doi.org/10.3390/su10082647 - 27 Jul 2018
Cited by 12 | Viewed by 3922
Abstract
A plain conical diffuser is optimized to augment the wind speed at the throat of the diffuser. The diffuser is used in the construction of a diffuser augmented wind turbine (DAWT) to augment the power output of a bare wind turbine (BWT). Experiments [...] Read more.
A plain conical diffuser is optimized to augment the wind speed at the throat of the diffuser. The diffuser is used in the construction of a diffuser augmented wind turbine (DAWT) to augment the power output of a bare wind turbine (BWT). Experiments with empty conical diffusers were done to determine optimum geometrical parameters for the diffuser to achieve maximum wind speed augmentation. Using the obtained optimum geometrical parameters, an optimized plain conical DAWT was designed, constructed, and field tested. A twin decentralized wind energy system which comprised a BWT and the optimized plain conical DAWT was erected. The electrical power output from these systems was measured and compared. The optimized plain conical DAWT reduced the cut-in wind speed of a BWT from 2.5 m/s to 1.6 m/s. The power output was increased by a factor of 2.5. This power output is comparable to that of flanged diffusers. However, flanged-DAWTs are more inert due to the addition of the flange. Its response to wind speed and direction is slow as compared to plain conical DAWT. Thus, it cannot fully exploit the potential of the wind. Also, the addition of the flange increases its production cost. Therefore, plain conical DAWT can replace flanged-DAWT in wind power augmentation. Full article
Show Figures

Figure 1

19 pages, 10155 KB  
Article
Theoretical Analysis of Shrouded Horizontal Axis Wind Turbines
by Tariq Abdulsalam Khamlaj and Markus Peer Rumpfkeil
Energies 2017, 10(1), 38; https://doi.org/10.3390/en10010038 - 1 Jan 2017
Cited by 35 | Viewed by 10490
Abstract
Numerous analytical studies for power augmentation systems can be found in the literature with the goal to improve the performance of wind turbines by increasing the energy density of the air at the rotor. All methods to date are only concerned with the [...] Read more.
Numerous analytical studies for power augmentation systems can be found in the literature with the goal to improve the performance of wind turbines by increasing the energy density of the air at the rotor. All methods to date are only concerned with the effects of a diffuser as the power augmentation, and this work extends the semi-empirical shrouded wind turbine model introduced first by Foreman to incorporate a converging-diverging nozzle into the system. The analysis is based on assumptions and approximations of the conservation laws to calculate optimal power coefficients and power extraction, as well as augmentation ratios. It is revealed that the power enhancement is proportional to the mass stream rise produced by the nozzle diffuser-augmented wind turbine (NDAWT). Such mass flow rise can only be accomplished through two essential principles: the increase in the area ratios and/or by reducing the negative back pressure at the exit. The thrust coefficient for optimal power production of a conventional bare wind turbine is known to be 8/9, whereas the theoretical analysis of the NDAWT predicts an ideal thrust coefficient either lower or higher than 8/9 depending on the back pressure coefficient at which the shrouded turbine operates. Computed performance expectations demonstrate a good agreement with numerical and experimental results, and it is demonstrated that much larger power coefficients than for traditional wind turbines are achievable. Lastly, the developed model is very well suited for the preliminary design of a shrouded wind turbine where typically many trade-off studies need to be conducted inexpensively. Full article
(This article belongs to the Special Issue Wind Turbine 2017)
Show Figures

Figure 1

14 pages, 7450 KB  
Article
Application of a Diffuser Structure to Vertical-Axis Wind Turbines
by Koichi Watanabe, Shuhei Takahashi and Yuji Ohya
Energies 2016, 9(6), 406; https://doi.org/10.3390/en9060406 - 25 May 2016
Cited by 48 | Viewed by 9146
Abstract
The effects of using a wind acceleration device (wind lens) with vertical-axis wind turbines in wind tunnel experiments were examined. A wind lens consists of a diffuser and flanges, and this study investigated the optimum parameters of their configuration with regard to the [...] Read more.
The effects of using a wind acceleration device (wind lens) with vertical-axis wind turbines in wind tunnel experiments were examined. A wind lens consists of a diffuser and flanges, and this study investigated the optimum parameters of their configuration with regard to the power augmentation of the turbines. The wind lens with a flat-panel-type diffuser demonstrated power augmentation by a factor of 2.0 compared with an open wind turbine. An increase from 5° to 20° in the semi-open angle of the diffuser made it possible to generate a 30% high power output over a wide range of tip speed ratios. On that basis, an optimum semi-open angle was determined. For the flat-panel-type diffuser, a recommended diffuser length is the half of the throat width, and its semi-open angle is 20°.The inlet enhanced power augmentation over a wide range of tip speed ratios. The optimum location for the wind lens in the streamwise direction was aligned with the center of the vertical-axis wind turbines. The diffuser with a curved surface was more effective regarding power augmentation than flat-panel-type diffusers. The wind lens with a curved surface diffuser demonstrated power augmentation by a factor of about 2.1 compared with an open wind turbine. Furthermore, it was demonstrated that a two-bladed wind turbine with symmetric NACA0024-type airfoils was most suitable for the incorporation of a wind lens to generate higher power output. Full article
(This article belongs to the Special Issue Modeling and Simulation for Wind Turbine Loads Analysis)
Show Figures

Figure 1

Back to TopTop