A Simple Theory and Performance Prediction for a Shrouded Wind Turbine with a Brimmed Diffuser
Abstract
1. Introduction
2. High Performance Wind Turbine Called Wind Lens Turbine (WLT)
2.1. The Idea of a Shroud Diffuser with Brim
2.2. Special Features of a Wind Turbine with a Brimmed Diffuser
- Brim-based yaw control: The brim at the exit of the shroud makes a wind turbine rotate following a change in wind direction, similar to a weathervane. As a result, the wind turbine automatically turns to face the wind.
- Significant reduction in wind turbine noise, as shown in Figure 4. An airfoil section of the turbine blade is chosen that gives the best performance in a low tip speed ratio range. Since the vortices generated from the blade tips are considerably suppressed via interference with the boundary layer developed along the inside of the shroud, aerodynamic noise is reduced substantially [14,15].
- Improved safety: The wind turbine, rotating at a high speed, is shrouded by a structure and is also protected from damage from broken blades.
- As for demerits, the wind load to a wind turbine and structural weight are increased.
3. One-Dimensional Simple Theory
3.1. Definition of Dimensionless Coefficients Related to the Wind Turbine Performance
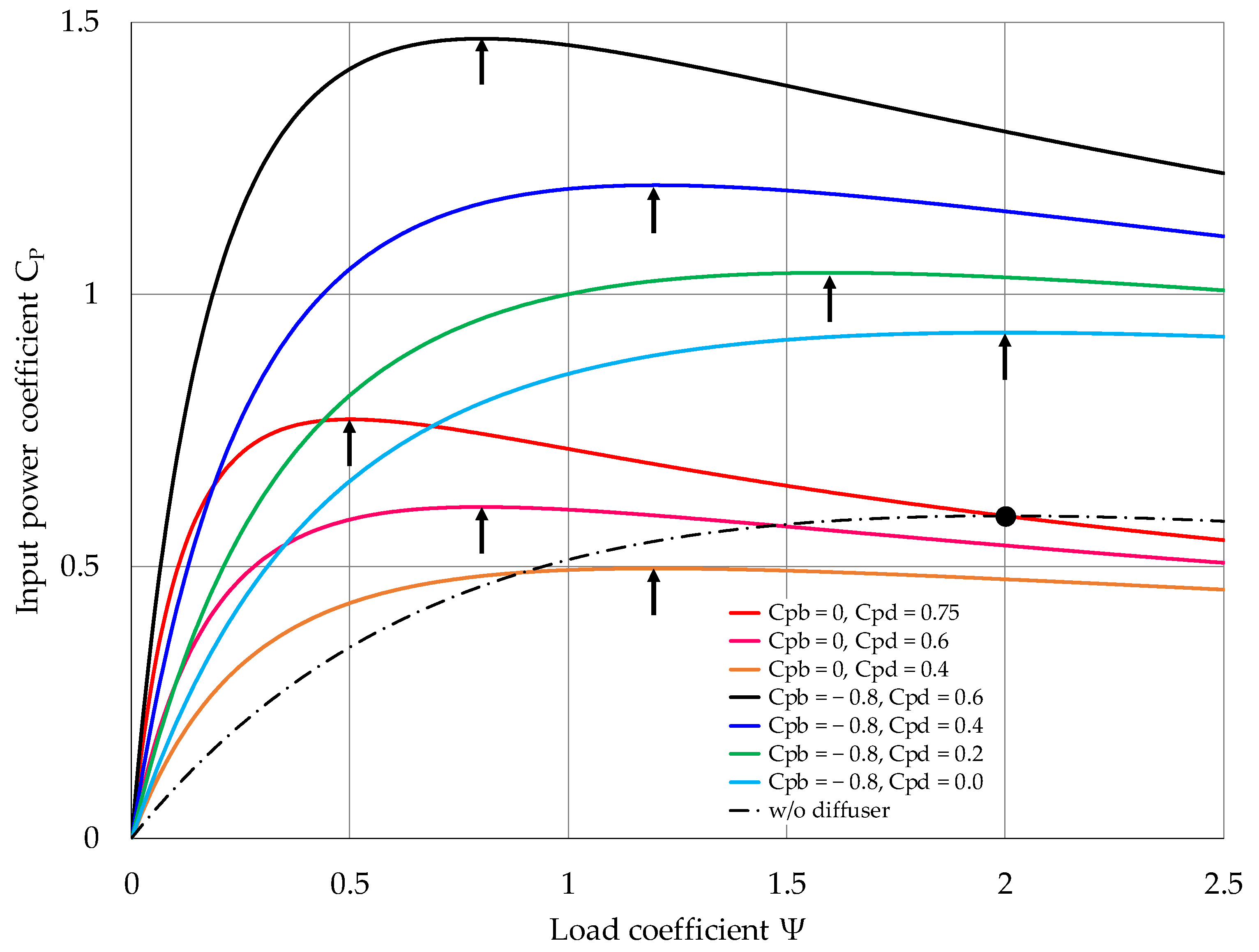
3.2. Performance Characteristics of the Brimmed Diffuser Augmented Wind Turbine
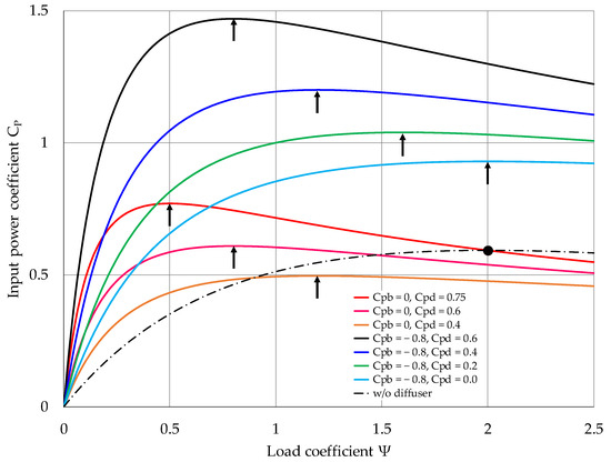
3.3. Evaluation of One-Dimensional Simple Theory for Wind Lens Turbines
4. Conclusions
- ⮚
- DAWTs are not able to achieve output beyond Betz’s limit unless the pressure behind it is lower than the reference pressure upstream.
- ⮚
- If the pressure behind the DAWT is lower than the upstream reference pressure, the DAWT is able to achieve output beyond Betz’s limit without the effect of the diffuser.
Author Contributions
Funding
Acknowledgments
Conflicts of Interest
Appendix A
References
- Gilbert, B.L.; Oman, R.A.; Foreman, K.M. Fluid dynamics of diffuser-augmented wind turbines. J. Energy 1978, 2, 368–374. [Google Scholar] [CrossRef]
- Gilbert, B.L.; Foreman, K.M. Experiments with a Diffuser-Augmented Model Wind Turbine. J. Energy Resour. Technol. 1983, 105, 46–53. [Google Scholar] [CrossRef]
- Hansen, M.O.L.; Sørensen, N.N.; Flay, R.G.J. Effect of Placing a Diffuser around a Wind Turbine. Wind Energy 2000, 3, 207–213. [Google Scholar] [CrossRef]
- Sedaghat, A.; Al Waked, R.; El Haj, A.M.; Khanafer, K.; Salim, M.N.B. Analysis of Accelerating Devices for Enclosure Wind Turbines. Int. J. Astronaut. Aeronaut. Eng. 2017, 2, 009. [Google Scholar] [CrossRef]
- Khamlaj, T.A.; Rumpfkeil, M.P. Analysis and optimization of ducted wind turbines. Energy 2018, 162, 1234–1252. [Google Scholar] [CrossRef]
- Nunes, M.M.; Junior, A.C.P.B.; Oliveira, T.F. Systematic review of diffuser-augmented horizontal-axis turbines. Renew. Sustain. Energy Rev. 2020, 133, 110075. [Google Scholar] [CrossRef]
- Van Bussel, G.J.W. The science of making more torque from wind: Diffuser experiments and theory revisited. J. Physics Conf. Ser. 2007, 75, 012010. [Google Scholar] [CrossRef]
- Jamieson, P. Innovation in Wind Turbine Design, 2nd ed.; John Wiley & Sons Ltd.: Hoboken, NJ, USA, 2011; pp. 13–63. [Google Scholar]
- Freda, R.; Knight, B.; Pannir, S. A Theory for Power Extraction from Passive Accelerators and Confined Flows. Energies 2020, 13, 4854. [Google Scholar] [CrossRef]
- Bontempo, R.; Manna, M. Diffuser augmented wind turbines: Review and assessment of theoretical models. Appl. Energy 2020, 280, 115867. [Google Scholar] [CrossRef]
- Abe, K.; Nishida, M.; Sakurai, A.; Ohya, Y.; Kihara, H.; Wada, E.; Sato, K. Experimental and numerical investigations of flow fields behind a small wind turbine with a flanged diffuser. J. Wind Eng. Ind. Aerodyn. 2005, 93, 951–970. [Google Scholar] [CrossRef]
- Ohya, Y.; Karasudani, T. A Shrouded Wind Turbine Generating High Output Power with Wind-lens Technology. Energies 2010, 3, 634–649. [Google Scholar] [CrossRef]
- Oka, N.; Furukawa, M.; Kawamitsu, K.; Yamada, K. Optimum aerodynamic design for wind-lens turbine. J. Fluid Sci. Technol. 2016, 11, JFST0011. [Google Scholar] [CrossRef]
- Abe, K.; Kihara, H.; Sakurai, A.; Wada, E.; Sato, K.; Nishida, M.; Ohya, Y. An experimental study of tip-vortex structures behind a small wind turbine with a flanged diffuser. Wind Struct. 2006, 9, 413–417. [Google Scholar] [CrossRef]
- Takahashi, S.; Hata, Y.; Ohya, Y.; Karasudani, T.; Uchida, T. Behavior of the Blade Tip Vortices of a Wind Turbine Equipped with a Brimmed-Diffuser Shroud. Energies 2012, 5, 5229–5242. [Google Scholar] [CrossRef]
- Watanabe, K.; Ohya, Y.; Uchida, T. Power Output Enhancement of a Ducted Wind Turbine by Stabilizing Vortices around the Duct. Energies 2019, 12, 3171. [Google Scholar] [CrossRef]
- Betz, A. The Maximum of the Theoretically Possible Exploitation of Wind by Means of a Wind Motor. Wind Eng. 2013, 37, 441–446. [Google Scholar] [CrossRef]
- Ohya, Y.; Karasudani, T.; Sakurai, A.; Inoue, M. Development of a High-Performance Wind Turbine Equipped with a Brimmed Diffuser Shroud. Trans. Jpn. Soc. Aeronaut. Space Sci. 2006, 49, 18–24. [Google Scholar] [CrossRef][Green Version]
- Ohya, Y.; Karasudani, T.; Sakurai, A.; Inoue, M. Development of High-Performance Wind Turbine with a Brimmed-Diffuser—Part 2. J. Jpn. Soc. Aeronaut. Space Sci. 2004, 52, 210–213. (In Japanese) [Google Scholar] [CrossRef]
- Introduction of RIAMWIND Co., Ltd. Available online: riamwind.co.jp/English/introduction.html (accessed on 18 June 2021).
- Yuji, O.; Koichi, W.; Ohya, Y.; Watanabe, K. A New Approach Toward Power Output Enhancement Using Multirotor Systems with Shrouded Wind Turbines. J. Energy Resour. Technol. 2019, 141, 051203. [Google Scholar] [CrossRef]
- Watanabe, K.; Ohya, Y. Multirotor Systems Using Three Shrouded Wind Turbines for Power Output Increase. J. Energy Resour. Technol. 2019, 141, 141. [Google Scholar] [CrossRef]
- Sun, H.; Kyozuka, Y. Analysis of performances of a shrouded horizontal axis tidal turbine. In Proceedings of the 2012 Oceans—Yeosu, Yeosu, Korea, 21–24 May 2012; Institute of Electrical and Electronics Engineers (IEEE): Piscataway, NJ, USA, 2012. [Google Scholar] [CrossRef]
- Watanabe, K.; Ohya, Y. Water Turbines with a Brimmed Diffuser By using Wind Lens Technology. Int. J. Energy Clean Environ. 2021, 22, 33–45. [Google Scholar] [CrossRef]













| Coefficients | Experiment | Simple Theory |
|---|---|---|
| Back pressure coefficient, Cpb | (use experimental value) | |
| Pressure recovery coefficient, Cpd | (use experimental value) | |
| Inflow velocity ratio, | ||
| Load coefficient, | ||
| Maximum input power coefficient, CP,max |
| Parameters | Experiment Averaged Values by Wind Tunnel Experiments at CP,max | Simple Theory Estimated Values by The Simple Theory at CP,max |
|---|---|---|
| Back pressure coefficient, Cpb | −0.55 (from Figure 12b) | (−0.55; experimental result) |
| Pressure recovery coefficient, Cpd | 0.55 (from Figure 12b) | (0.55; experimental result) |
| Inflow velocity ratio, | 1.2 (from Figure 12a) | 1.1 |
| Load coefficient, | 0.76 | 0.90 |
| Maximum input power coefficient, CP,max | 1.3 | 1.1 |
| Wind turbine efficiency, | 1.0 | - |
| Parameters | Experiment Averaged Values by Wind Tunnel Experiments at CP,max | Simple Theory Estimated Values by The Simple Theory at CP,max |
|---|---|---|
| Back pressure coefficient, Cpb | −0.83 (from Figure 12c) | (−0.83; experimental result) |
| Pressure recovery coefficient, Cpd | 0.22 (from Figure 12c) | (0.22; experimental result) |
| Inflow velocity ratio, | 0.86 (from Figure 12a) | 0.89 |
| Load coefficient, | 1.6 | 1.6 |
| Maximum input power coefficient, CP,max | 1.0 | 1.0 |
| Wind turbine efficiency, | 0.71 | - |
| Parameters | Experiment Averaged Values by Wind Tunnel Experiments at CP,max | Simple Theory Estimated Values by The Simple Theory at CP,max |
|---|---|---|
| Back pressure coefficient, Cpb | −0.97 (from Figure 12d) | (−0.97; experimental result) |
| Pressure recovery coefficient, Cpd | 0.28 (from Figure 12d) | (0.28; experimental result) |
| Inflow velocity ratio, | 0.91 (from Figure 12a) | 0.97 |
| Load coefficient, | 1.6 | 1.4 |
| Maximum input power coefficient, CP,max | 1.2 | 1.2 |
| Wind turbine efficiency, | 0.72 | - |
Publisher’s Note: MDPI stays neutral with regard to jurisdictional claims in published maps and institutional affiliations. |
© 2021 by the authors. Licensee MDPI, Basel, Switzerland. This article is an open access article distributed under the terms and conditions of the Creative Commons Attribution (CC BY) license (https://creativecommons.org/licenses/by/4.0/).
Share and Cite
Watanabe, K.; Ohya, Y. A Simple Theory and Performance Prediction for a Shrouded Wind Turbine with a Brimmed Diffuser. Energies 2021, 14, 3661. https://doi.org/10.3390/en14123661
Watanabe K, Ohya Y. A Simple Theory and Performance Prediction for a Shrouded Wind Turbine with a Brimmed Diffuser. Energies. 2021; 14(12):3661. https://doi.org/10.3390/en14123661
Chicago/Turabian StyleWatanabe, Koichi, and Yuji Ohya. 2021. "A Simple Theory and Performance Prediction for a Shrouded Wind Turbine with a Brimmed Diffuser" Energies 14, no. 12: 3661. https://doi.org/10.3390/en14123661
APA StyleWatanabe, K., & Ohya, Y. (2021). A Simple Theory and Performance Prediction for a Shrouded Wind Turbine with a Brimmed Diffuser. Energies, 14(12), 3661. https://doi.org/10.3390/en14123661

