Sign in to use this feature.

Years

Between: -

Subjects

remove_circle_outline
remove_circle_outline
remove_circle_outline
remove_circle_outline
remove_circle_outline
remove_circle_outline
remove_circle_outline
remove_circle_outline
remove_circle_outline

Journals

remove_circle_outline
remove_circle_outline
remove_circle_outline
remove_circle_outline
remove_circle_outline
remove_circle_outline

Article Types

Countries / Regions

remove_circle_outline
remove_circle_outline
remove_circle_outline
remove_circle_outline

Search Results (231)

Search Parameters:
Keywords = different customer classes

Order results
Result details
Results per page
Select all
Export citation of selected articles as:
24 pages, 6166 KB  
Article
End-to-End Segmentation and Classification of Zooplankton Using Shadowgraphy and Convolutional Neural Networks
by Andrew Capalbo, Francis Letendre, Alexander Langner, Abigail Blackburn, Owen Dillahay and Michael Twardowski
Sensors 2026, 26(6), 1824; https://doi.org/10.3390/s26061824 - 13 Mar 2026
Viewed by 314
Abstract
With in situ imaging systems becoming more common, precise, and economically viable, use of these systems has grown dramatically, including both automated classification and biomass estimations. However, a rather large and overlooked portion of these efforts is reliable detection and classification of these [...] Read more.
With in situ imaging systems becoming more common, precise, and economically viable, use of these systems has grown dramatically, including both automated classification and biomass estimations. However, a rather large and overlooked portion of these efforts is reliable detection and classification of these organisms as they pass through the imaging device. This paper focuses on the development of an end-to-end classification CNN-based algorithm for marine zooplankton using the in situ Ichthyoplankton Imaging System (ISIIS-DPI) from Bellamare (La Jolla, CA, USA). Our novel approach considers many issues with automated segmentation and classification, including over-segmentation, noise segmentation, and organism size input. This allows for classifications in diverse water types, demonstrated by the comparison of three datasets created in conjunction with this project, each with very different water properties and zooplankton communities (Florida Gulf coast; Trondheimsfjord, Norway; Sargasso Sea). Our segmented image dataset contains 70,624 regions of interest (ROIs) across four organism classes—Chaetognath, Crustacean, Gelatinous, and Larvacean—with two classes dedicated to detritus. Four common network architectures—Resnet, Xception, GoogleNet, and Darknet—are trained on this dataset, with final test accuracies in the range of 95.94–96.09%. Following this initial training, a secondary level of classification is introduced. The base Gelatinous class is further divided into six groups. The same four CNN architectures are used once again, with final accuracies in the range of 86.12–90.40%, showing the ability to taxonomically classify down to the order level. The present work introduces a versatile, adaptable, scalable and autonomous segmentation and classification algorithm using niched networks mirroring taxonomy, and is fully contained in a publicly available MATLAB R2025a custom graphical user interface. Full article
(This article belongs to the Special Issue Recent Innovations in Computational Imaging and Sensing)
Show Figures

Figure 1

17 pages, 1775 KB  
Article
Evaluation of Maxillary Sinus Membrane Morphology Using a Novel Hybrid CNN-ViT-Based Deep Learning Model: An Automated Classification Study
by Nurullah Duger, Furkan Talo, Gulucag Giray Tekin, Burak Dagtekin, Mucahit Karaduman, Muhammed Yildirim and Tuba Talo Yildirim
Diagnostics 2026, 16(5), 777; https://doi.org/10.3390/diagnostics16050777 - 5 Mar 2026
Viewed by 367
Abstract
Objectives: This study aimed to develop and validate a hybrid deep learning model combining Convolutional Neural Networks (CNN) and Vision Transformers (ViT) to automatically classify maxillary sinus membrane morphologies on Cone-Beam Computed Tomography (CBCT) images, distinguishing between Normal, Flat, Polypoid, and Obstruction [...] Read more.
Objectives: This study aimed to develop and validate a hybrid deep learning model combining Convolutional Neural Networks (CNN) and Vision Transformers (ViT) to automatically classify maxillary sinus membrane morphologies on Cone-Beam Computed Tomography (CBCT) images, distinguishing between Normal, Flat, Polypoid, and Obstruction types. Methods: A dataset of 959 CBCT images was collected and categorized into four morphological classes: Normal, Flat, Polypoid and Obstruction. A custom hybrid model was developed, integrating a lightweight residual CNN for local feature extraction, learnable weighted feature fusion with a bidirectional feature pyramid network and a Transformer encoder for global context modeling. The performance of proposed model was compared against six different architectures, including ResNet50, MobileNetV3L and standard ViT models, using accuracy, precision, recall and F1-score metrics. Results: The proposed hybrid model achieved the highest overall accuracy of 98.44%, outperforming six strong CNN and ViT models including ResNet50 (97.92%) and ViT-B16 (86.46%) models. In class-wise analysis, the model demonstrated superior diagnostic capability, particularly for the “Obstruction” class, achieving 100% accuracy. High discrimination was also observed for “Flat” (98.21%) and “Polypoid” (98.04%) morphologies, confirming the model’s sensitivity to shape-based features. Conclusions: The proposed hybrid CNN-ViT model successfully classifies maxillary sinus membrane morphologies with high accuracy, effectively overcoming the limitations of standard ViT models on limited datasets. Detection of membrane morphology is vital for predicting surgical risks like membrane perforation and post-operative sinusitis. This model serves as a reliable clinical decision support tool, enabling clinicians to objectively assess specific risk factors before implant surgery and sinus floor elevation. Full article
(This article belongs to the Section Machine Learning and Artificial Intelligence in Diagnostics)
Show Figures

Figure 1

25 pages, 9164 KB  
Article
Improving Watermelon Disease Classification with Stable Diffusion-Generated Images and EfficientNetV2-L-Based Architecture
by Nitin Rai, Nathan S. Boyd, Gary E. Vallad and Arnold W. Schumann
AgriEngineering 2026, 8(3), 96; https://doi.org/10.3390/agriengineering8030096 - 4 Mar 2026
Viewed by 514
Abstract
Recent advances in generative artificial intelligence (GenAI) have enabled the creation of high-resolution synthetic images, offering an alternative to traditional data collection for training computer vision models in agriculture. In crop disease diagnosis, synthetic images can supplement datasets when real image acquisition is [...] Read more.
Recent advances in generative artificial intelligence (GenAI) have enabled the creation of high-resolution synthetic images, offering an alternative to traditional data collection for training computer vision models in agriculture. In crop disease diagnosis, synthetic images can supplement datasets when real image acquisition is limited, potentially reducing resource-intensive field collection. Therefore, this study evaluated how different ratios of real-field to Gen-AI-based synthetic watermelon (Citrullus lanatus) disease images (including an additional unknown class) affect EfficientNetV2-L classification performance and feature-space separability. The training dataset was divided into five treatments: H0 (real images only), H1 (synthetic images only), H2 (equal real-to-synthetic ratio), H3 (one real image to ten synthetic images, 1:10), and H4 (H3 plus random images to enhance variability). Models were trained using a custom EfficientNetV2-L architecture with fine-tuning and transfer learning approaches. Treatments H2, H3, and H4 demonstrated strong and consistent performance across all classes, with H2 achieving overall accuracy of 0.80, followed by H3 (0.98) and H4 (0.98). H3 achieved near-perfect precision and recall (0.95–0.99) across all classes, resulting in F1-scores of 0.98. H4 also maintained high precision and recall scores (0.94–1.00), including accurate detection of the additional unknown class (F1 = 0.98). Overall weighted F1-scores increased substantially from 0.72 (H0) to 0.81 (H2) and reached 0.98 in H3-H4, indicating the benefit of hybrid synthetic-real data fusion. These findings show that real-synthetic data fusion enhances model performance and generalization, while synthetic images alone were not effective under the tested conditions. Full article
Show Figures

Figure 1

22 pages, 4704 KB  
Article
A Few-Shot Fish Detection Method with Limited Samples Using Visual Feature Augmentation
by Daode Zhang, Shihao Zhang, Wupeng Deng, Enshun Lu and Zhiwei Xie
Appl. Sci. 2026, 16(5), 2441; https://doi.org/10.3390/app16052441 - 3 Mar 2026
Viewed by 291
Abstract
In recirculating aquaculture systems, fish detection is an essential component for maintaining effective farming operations. The availability of high-quality fish datasets is limited because of the richness of fish species, and the annotation of large-scale data, which is used to train models, is [...] Read more.
In recirculating aquaculture systems, fish detection is an essential component for maintaining effective farming operations. The availability of high-quality fish datasets is limited because of the richness of fish species, and the annotation of large-scale data, which is used to train models, is often labor-intensive and time-consuming. The presence of different fish species across batches introduces further challenges for consistent detection performance. This work introduces a few-shot learning approach for fish detection, utilizing a customized dataset as novel classes and the Fish4Knowledge dataset for base classes, thereby establishing a framework that enhances adaptability in data-scarce scenarios. Within the model architecture, multi-scale feature extraction is enhanced through an attention mechanism, which is integrated as a dedicated module to strengthen representation learning, thus enhancing the model’s capability to differentiate visually similar fish species. Two distinct customized fish datasets are employed to evaluate the robustness of the proposed method. Experimental results show that the proposed model performs competitively against TFA, Meta-RCNN, and VFA. In the base-training phase, it achieves a mAP of 0.775, slightly surpassing VFA, while in the 1-shot, 5-shot, and 10-shot fine-tuning settings, it obtains mAP values of 0.152, 0.247, and 0.265, respectively. A similar trend is observed on a subset of black fish, with mAP scores of 0.169, 0.253, and 0.286 in the corresponding few-shot settings. These results indicate that the proposed approach can maintain relatively stable detection accuracy and adaptability across different fish batches, offering a practical solution for fish detection tasks in aquaculture when annotated data is scarce. To further demonstrate the efficacy and practical utility of the proposed methodology, a case study in fish farming confirms that the enhanced model achieves consistent and precise detection across diverse fish species, even when trained with limited annotated data. Full article
Show Figures

Figure 1

26 pages, 2520 KB  
Article
Concealed Face Analysis and Facial Reconstruction via a Multi-Task Approach and Cross-Modal Distillation in Terahertz Imaging
by Noam Bergman, Ihsan Ozan Yildirim, Asaf Behzat Sahin, Hakan Altan and Yitzhak Yitzhaky
Sensors 2026, 26(4), 1341; https://doi.org/10.3390/s26041341 - 19 Feb 2026
Viewed by 436
Abstract
Terahertz (THz) sub-millimeter wave imaging offers unique capabilities for stand-off biometrics through concealment, yet it suffers from severe sparsity, low resolution, and high noise. To address these limitations, we introduce a novel unified Multi-Task Learning (MTL) network centered on a custom shared U-Net-like [...] Read more.
Terahertz (THz) sub-millimeter wave imaging offers unique capabilities for stand-off biometrics through concealment, yet it suffers from severe sparsity, low resolution, and high noise. To address these limitations, we introduce a novel unified Multi-Task Learning (MTL) network centered on a custom shared U-Net-like THz data encoder. This network is designed to simultaneously solve three distinct critical tasks on concealed THz facial data, given a limited dataset of approximately 1400 THz facial images of 20 different identities. The tasks include concealed face verification, facial posture classification, and a generative reconstruction of unconcealed faces from concealed ones. While providing highly successful MTL results as a standalone solution on the very challenging dataset, we further studied the expansion of this architecture via a cross-modal teacher-student approach. During training, a privileged visible-spectrum teacher fuses limited visible features with THz data to guide the THz-only student. This distillation process yields a student network that relies solely on THz inputs at inference. The cross-modal trained student achieves better latent space in terms of inter-class separability compared to the single-modality baseline, but with reduced intra-class compactness, while maintaining a similar success in the task performances. Both THz-only and distilled models preserve high unconcealed face generative fidelity. Full article
Show Figures

Figure 1

18 pages, 9356 KB  
Article
Integrating Water and Soil Quality Indices for Assessing and Mapping the Sustainability Status of Agricultural Lands
by Eleonora Grilli, Gianluigi Busico, Maria Pia De Cristofaro, Micòl Mastrocicco, Simona Castaldi and Antonio Panico
Environments 2026, 13(2), 108; https://doi.org/10.3390/environments13020108 - 15 Feb 2026
Viewed by 620
Abstract
Soil quality assessment represents the essential step to achieve sustainable agriculture. This study introduces SUITED, a GIS-based approach that overcomes limitations of traditional soil quality indices by using open data, a remote sensing-derived salinity index, and a customized Water Quality Index (WQI) to [...] Read more.
Soil quality assessment represents the essential step to achieve sustainable agriculture. This study introduces SUITED, a GIS-based approach that overcomes limitations of traditional soil quality indices by using open data, a remote sensing-derived salinity index, and a customized Water Quality Index (WQI) to evaluate soil quality, irrigation water quality, and treated wastewater use. The index was constructed by combining the selected factors across different soil depths and subsequently merging them using a weighted linear combination to produce the result map. Each parameter has been classified using geometrical criteria allowing a site-specific assessment. SUITED was applied to small sub-watersheds of the Volturno and Po rivers plains (southern and northern Italy, respectively). The index maps (0–30 cm depth) show that over 90% of both areas fall into medium to very low sustainability classes. In the Volturno river plain, soil quality is primarily driven by soil type distribution and their inherent heterogeneity, while in the Po river plain, soil texture and shallow saline groundwater mainly control sustainability. Furthermore, the integration of WQI and SUITED maps provided a reliable evaluation of irrigation water impacts, supporting informed decision making for water use and drainage management. Full article
Show Figures

Figure 1

22 pages, 296 KB  
Article
How Platform Affordances Shape Risks of Harassment in Platform-Mediated Work
by Mette Lykke Nielsen, Louise Yung Nielsen and Johnny Dyreborg
Safety 2026, 12(1), 27; https://doi.org/10.3390/safety12010027 - 9 Feb 2026
Viewed by 740
Abstract
Platform-mediated work (PMW) represents a highly unregulated and individualized segment of the labor market, with significant implications for psychosocial work environment and limited occupational health and safety (OHS) management efforts. The use of algorithmic management (AM) by digital platforms extensively directs and disciplines [...] Read more.
Platform-mediated work (PMW) represents a highly unregulated and individualized segment of the labor market, with significant implications for psychosocial work environment and limited occupational health and safety (OHS) management efforts. The use of algorithmic management (AM) by digital platforms extensively directs and disciplines remote workers in PMW, and may exacerbate risks. This study employs the affordance concept initially introduced into safety science by Vicente and Rasmussen in 1992 and later applied in social media studies. Adopting a platform-sensitive approach, this study examines how digital mediation facilitates encounters between platform workers and customers across three types of PMW, and in turn affects harassment among platform workers. The analysis draws on 22 qualitative interviews with young platform workers supplemented by three workshops involving 13 stakeholder participants, informed by the Canadian Knowledge Transfer–Exchange approach. The findings identify three high-level affordances that significantly shape risks of harassment: (1) platforms’ ability to transcend physical space; (2) a digital blurring of private–professional boundaries; and (3) the amplification of asymmetric power relations among platform workers’ customers and platforms, relations that are gendered, classed, and racialized. The type and severity of harassment differ across the three types of platforms explored. Full article
33 pages, 1625 KB  
Review
Commercial Translation of Electrochemical Biosensors: Supply Chain Strategy, Scale-Up Manufacturing, and Regulatory–Quality Considerations
by Gao Zhou and Haibin Liu
Biosensors 2026, 16(2), 112; https://doi.org/10.3390/bios16020112 - 9 Feb 2026
Cited by 1 | Viewed by 765
Abstract
Electrochemical biosensors have reached a high degree of analytical maturity; however, only a small portion of laboratory demonstrations actually progress to commercial products. In this review, we looked non-analytically at the factors which are in place with respect to this translational gap, specifically [...] Read more.
Electrochemical biosensors have reached a high degree of analytical maturity; however, only a small portion of laboratory demonstrations actually progress to commercial products. In this review, we looked non-analytically at the factors which are in place with respect to this translational gap, specifically looking into supply chain design, scale-up manufacturing strategy, regulatory–quality, and more. Based on a wide range of academic and industrial literature, the paper considers how decisions about what kind of material to use, especially for material that recognizes living things, conductive material made from ink, and the material that is the actual product being made, can make a big difference in whether the product can be reproduced easily, if it will stay stable for a long time, and if it is allowed according to the rules. This review compares the dominant manufacturing paradigms—roll-to-roll printing, and semiconductor-derived microfabrication—and shows how the respective strengths and limitations match the different targets, costs, and risk class. This is more about making manufacturing an upstream optimization problem than treating processes as defects and quality as assurance, rather than making it an upstream optimization problem. And it does this by looking at some other big pathways for regulations in the U.S., EU, and China as well, where we get to see how those differences in classification requirements, what kind of proofs you should have, and different ways about running those quality management systems affect how quickly things can come out after developing them, and what your flexibility with customers is like when those products are already out there in the world. The study looks at some case studies: disposable glucose strips, cartridge-based blood analyzers, and new continuous monitoring systems are used to show how the exact same electrochemical ideas can result in very different commercialization issues based on the clinical context and system integration. Synthesizing those angles creates a review that can give a system level map of matching research design to industrial and regulatory realities, with the goal of making it easier for electrochemical biosensors to go from lab prototypes to ready-for-market diagnostic tools. Full article
(This article belongs to the Special Issue Advanced Electrochemical Biosensors and Their Applications)
Show Figures

Figure 1

21 pages, 9536 KB  
Article
Microwave Metasurface-Based Sensor with Artificial Intelligence for Early Breast Tumor Detection
by Maged A. Aldhaeebi and Thamer S. Almoneef
Micromachines 2026, 17(2), 179; https://doi.org/10.3390/mi17020179 - 28 Jan 2026
Viewed by 354
Abstract
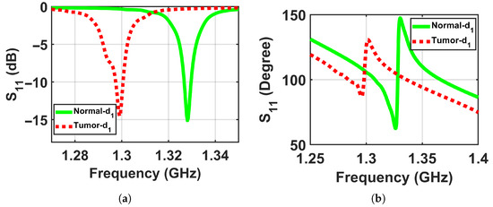
In this paper, a microwave metasurface sensor integrated with artificial intelligence (AI) for breast tumor detection is presented. The sensor’s sensitivity is estimated by analyzing shifts in magnitude and the phase of the reflection coefficient (S11) obtained from normal and [...] Read more.
In this paper, a microwave metasurface sensor integrated with artificial intelligence (AI) for breast tumor detection is presented. The sensor’s sensitivity is estimated by analyzing shifts in magnitude and the phase of the reflection coefficient (S11) obtained from normal and abnormal breast phantoms. The (S11) responses of 137 anatomically realistic 3D numerical breast phantoms in standard classes, C1—mostly fatty, C2—scattered fibroglandular, C3—heterogeneously dense, and C4—extremely dense, incorporating different tumor sizes are used as input features. A custom neural network is developed to detect tumor presence using the recorded (S11) responses. The model is trained with cross-entropy loss and the AdamW optimizer. The dataset is split into training (70%), validation (15%), and test (15%) sets. The model achieves 99% accuracy, with perfect precision, recall, and F1-score across individual classes. For paired class combinations, accuracies of 71% (C1 with C2) and 65% (C2 with C3) are obtained, while performance degrades to approximately 50% when all four classes are combined. The sensor is fabricated and experimentally validated using two physical breast phantoms, demonstrating reliable detection of a 10 mm tumor. These results highlight the effectiveness of combining microwave metasurface sensing and AI for breast tumor detection. Full article
(This article belongs to the Special Issue Current Research Progress in Microwave Metamaterials and Metadevices)
Show Figures

Figure 1

24 pages, 3950 KB  
Article
Temporal Tampering Detection in Automotive Dashcam Videos via Multi-Feature Forensic Analysis and a 1D Convolutional Neural Network
by Ali Rehman Shinwari, Uswah Binti Khairuddin and Mohamad Fadzli Bin Haniff
Sensors 2026, 26(2), 517; https://doi.org/10.3390/s26020517 - 13 Jan 2026
Viewed by 534
Abstract
Automotive dashboard cameras are widely used to record driving events and often serve as critical evidence in accident investigations and insurance claims. However, the availability of free and low-cost editing tools has increased the risk of video tampering, underscoring the need for reliable [...] Read more.
Automotive dashboard cameras are widely used to record driving events and often serve as critical evidence in accident investigations and insurance claims. However, the availability of free and low-cost editing tools has increased the risk of video tampering, underscoring the need for reliable methods to verify video authenticity. Temporal tampering typically involves manipulating frame order through insertion, deletion, or duplication. This paper proposes a computationally efficient framework that transforms high-dimensional video into compact one-dimensional temporal signals and learns tampering patterns using a shallow one-dimensional convolutional neural network (1D-CNN). Five complementary features are extracted between consecutive frames: frame-difference magnitude, structural similarity drift (SSIM drift), optical-flow mean, forward–backward optical-flow consistency error, and compression-aware temporal prediction error. Per-video robust normalization is applied to emphasize intra-video anomalies. Experiments on a custom dataset derived from D2-City demonstrate strong detection performance in single-attack settings: 95.0% accuracy for frame deletion, 100.0% for frame insertion, and 95.0% for frame duplication. In a four-class setting (non-tampered, insertion, deletion, duplication), the model achieves 96.3% accuracy, with AUCs of 0.994, 1.000, 0.997, and 0.988, respectively. Efficiency analysis confirms near real-time CPU inference (≈12.7–12.9 FPS) with minimal memory overhead. Cross-dataset tests on BDDA and VIRAT reveal domain-shift sensitivity, particularly for deletion and duplication, highlighting the need for domain adaptation and augmentation. Overall, the proposed multi-feature 1D-CNN provides a practical, interpretable, and resource-aware solution for temporal tampering detection in dashcam videos, supporting trustworthy video forensics in IoT-enabled transportation systems. Full article
Show Figures

Figure 1

32 pages, 2975 KB  
Article
A Novel Framework for Cardiovascular Disease Detection Using a Hybrid CWT-SIFT Image Representation and a Lightweight Residual Attention Network
by Imane El Boujnouni
Diagnostics 2026, 16(1), 5; https://doi.org/10.3390/diagnostics16010005 - 19 Dec 2025
Viewed by 609
Abstract
Background: The mortality and morbidity rates of cardiovascular disease (CVD) are rising sharply in many developed and developing countries. CVD is a fatal disease that requires early and timely diagnosis to prevent further damage and ultimately save patients’ lives. In recent years, numerous [...] Read more.
Background: The mortality and morbidity rates of cardiovascular disease (CVD) are rising sharply in many developed and developing countries. CVD is a fatal disease that requires early and timely diagnosis to prevent further damage and ultimately save patients’ lives. In recent years, numerous studies have explored the automated identification of different categories of CVDs using various deep learning classifiers. However, they often rely on a substantial amount of data. The lack of representative training samples in real-world scenarios, especially in developing countries, poses a significant challenge that hinders the successful training of accurate predictive models. In this study, we introduce a framework to address this gap. Methods: The core novelty of our framework is the combination of Multi-Resolution Wavelet Features with Scale-Invariant Feature Transform (SIFT) keypoint density maps and a lightweight residual attention neural network (ResAttNet). Our hybrid approach transforms one-dimensional ECG signals into a three-channel image representation. Specifically, the CWT is used to extract hidden features in the time-frequency domain to create the first two image channels. Subsequently, the SIFT algorithm is implemented to capture additional significant features to generate the third channel. These three-channel images are then fed to our custom residual attention neural network to enhance classification performance. To tackle the challenge of class imbalance present in our dataset, we employed a hybrid strategy combining the Synthetic Minority Over-sampling Technique (SMOTE) with Edited Nearest Neighbors (ENN) to balance class samples and integrated Focal Loss into the training process to help the model focus on hard-to-classify instances. Results: The performance metrics achieved using five-fold cross-validation are 99.60% accuracy, 97.38% precision, 98.53% recall, and 97.37% F1-score. Conclusions: The experimental results showed that our proposed method outperforms current state-of-the-art methods. The primary practical implication of this work is that by combining a novel, information-rich feature representation with a lightweight classifier, our framework offers a highly accurate and computationally efficient solution, making it a significant step towards developing accessible and scalable computer-aided screening tools. Full article
Show Figures

Figure 1

17 pages, 5741 KB  
Article
An Explainable Fault Diagnosis Algorithm for Proton Exchange Membrane Fuel Cells Integrating Gramian Angular Fields and Gradient-Weighted Class Activation Mapping
by Xing Shu, Fengyan Yi, Jinming Zhang, Jiaming Zhou, Shuo Wang, Hongtao Gong and Shuaihua Wang
Electronics 2025, 14(22), 4401; https://doi.org/10.3390/electronics14224401 - 12 Nov 2025
Cited by 1 | Viewed by 720
Abstract
Reliable operation of proton exchange membrane fuel cells (PEMFCs) is crucial for their widespread commercialization, and accurate fault diagnosis is the key to ensuring their long-term stable operation. However, traditional fault diagnosis methods not only lack sufficient interpretability, making it difficult for users [...] Read more.
Reliable operation of proton exchange membrane fuel cells (PEMFCs) is crucial for their widespread commercialization, and accurate fault diagnosis is the key to ensuring their long-term stable operation. However, traditional fault diagnosis methods not only lack sufficient interpretability, making it difficult for users to trust their diagnostic decisions, but also one-dimensional (1D) feature extraction methods highly rely on manual experience to design and extract features, which are easily affected by noise. This paper proposes a new interpretable fault diagnosis algorithm that integrates Gramian angular field (GAF) transform, convolutional neural network (CNN), and gradient-weighted class activation mapping (Grad-CAM) for enhanced fault diagnosis and analysis of proton exchange membrane fuel cells. The algorithm is systematically validated using experimental data to classify three critical health states: normal operation, membrane drying, and hydrogen leakage. The method first converts the 1D sensor signal into a two-dimensional GAF image to capture the temporal dependency and converts the diagnostic problem into an image recognition task. Then, the customized CNN architecture extracts hierarchical spatiotemporal features for fault classification, while Grad-CAM provides visual explanations by highlighting the most influential regions in the input signal. The results show that the diagnostic accuracy of the proposed model reaches 99.8%, which is 4.18%, 9.43% and 2.46% higher than other baseline models (SVM, LSTM, and CNN), respectively. Furthermore, the explainability analysis using Grad-CAM effectively mitigates the “black box” problem by generating visual heatmaps that pinpoint the key feature regions the model relies on to distinguish different health states. This validates the model’s decision-making rationality and significantly enhances the transparency and trustworthiness of the diagnostic process. Full article
(This article belongs to the Special Issue Advances in Electric Vehicles and Energy Storage Systems)
Show Figures

Figure 1

34 pages, 4193 KB  
Article
Impact of Traffic Calming Zones (TCZs) in Cities on Public Transport Operations
by Mirosław Czerliński, Tomasz Krukowicz, Michał Wolański and Patryk Pawłowski
Sustainability 2025, 17(22), 10012; https://doi.org/10.3390/su172210012 - 9 Nov 2025
Viewed by 1201
Abstract
Traffic calming zones (TCZs) are increasingly being implemented in urban areas to enhance road safety, reduce vehicle speeds, and support sustainable mobility. However, their impact on public transport (PT) operations, particularly bus services, remains underexplored. This study examines the impact of classifying streets [...] Read more.
Traffic calming zones (TCZs) are increasingly being implemented in urban areas to enhance road safety, reduce vehicle speeds, and support sustainable mobility. However, their impact on public transport (PT) operations, particularly bus services, remains underexplored. This study examines the impact of classifying streets into TCZs on bus transport performance in Poland’s ten largest cities. Geospatial analysis and a custom R algorithm delineated areas suitable for TCZs based on road class and administrative category. GTFS data were analysed for almost 1000 bus lines to evaluate the overlap of their routes with TCZs. The findings reveal that in several cities, a significant portion of bus operations would run through TCZs, with the average route segment affected notably by city and zone classification methods. Differences in TCZ size and shape across cities were also statistically significant. This study concludes that although TCZs contribute to safer and more liveable urban environments, their influence on bus speeds, which can lead to changes in fuel or energy consumption, and route design must be carefully managed. Strategic planning is essential to find a balance between the benefits of traffic calming and the operational efficiency of PT. These insights offer valuable guidance for integrating TCZs into sustainable urban transport policy without compromising PT performance. Full article
Show Figures

Figure 1

33 pages, 6967 KB  
Article
LCxNet: An Explainable CNN Framework for Lung Cancer Detection in CT Images Using Multi-Optimizer and Visual Interpretability
by Noor S. Jozi and Ghaida A. Al-Suhail
Appl. Syst. Innov. 2025, 8(5), 153; https://doi.org/10.3390/asi8050153 - 15 Oct 2025
Cited by 1 | Viewed by 2462
Abstract
Lung cancer, the leading cause of cancer-related mortality worldwide, necessitates better methods for earlier and more accurate detection. To this end, this study introduces LCxNet, a novel, custom-designed convolutional neural network (CNN) framework for computer-aided diagnosis (CAD) of lung cancer. The IQ-OTH/NCCD lung [...] Read more.
Lung cancer, the leading cause of cancer-related mortality worldwide, necessitates better methods for earlier and more accurate detection. To this end, this study introduces LCxNet, a novel, custom-designed convolutional neural network (CNN) framework for computer-aided diagnosis (CAD) of lung cancer. The IQ-OTH/NCCD lung CT dataset, which includes three different classes—benign, malignant, and normal—is used to train and assess the model. The framework is implemented using five optimizers, SGD, RMSProp, Adam, AdamW, and NAdam, to compare the learning behavior and performance stability. To bridge the gap between model complexity and clinical utility, we integrated Explainable AI (XAI) methods, specifically Grad-CAM for decision visualization and t-SNE for feature space analysis. With accuracy, specificity, and AUC values of 99.39%, 99.45%, and 100%, respectively, the results demonstrate that the LCxNet model outperformed the state-of-the-art models in terms of diagnostic performance. In conclusion, this study emphasizes how crucial XAI is to creating trustworthy and efficient clinical tools for the early detection of lung cancer. Full article
(This article belongs to the Special Issue Advancements in Deep Learning and Its Applications)
Show Figures

Figure 1

28 pages, 6310 KB  
Article
UAV Equipped with SDR-Based Doppler Localization Sensor for Positioning Tactical Radios
by Kacper Bednarz, Jarosław Wojtuń, Rafał Szczepanik and Jan M. Kelner
Drones 2025, 9(10), 698; https://doi.org/10.3390/drones9100698 - 11 Oct 2025
Viewed by 1861
Abstract
The accurate localization of radio frequency (RF) emitters plays a critical role in spectrum monitoring, public safety, and defense applications, particularly in environments where global navigation satellite systems are limited. This study investigates the feasibility of a single unmanned aerial vehicle (UAV) equipped [...] Read more.
The accurate localization of radio frequency (RF) emitters plays a critical role in spectrum monitoring, public safety, and defense applications, particularly in environments where global navigation satellite systems are limited. This study investigates the feasibility of a single unmanned aerial vehicle (UAV) equipped with a Doppler-based software-defined radio sensor to localize modern RF sources without the need for external infrastructure or multiple UAVs. A custom-designed localization system was developed and tested using the L3Harris AN/PRC-152A tactical radio, which represents a class of real-world, dual-use emitters with lower frequency stability than laboratory signal generators. The approach was validated through both emulation studies and extensive field experiments under realistic conditions. The results show that the proposed system can localize RF emitters with an average error below 50 m in 80% of cases even when the transmitter is more than 600 m away. Performance was evaluated across different carrier frequencies and acquisition times, demonstrating the influence of signal parameters on localization accuracy. These findings confirm the practical applicability of Doppler-based single-UAV localization methods and provide a foundation for further development of lightweight, autonomous RF emitter tracking systems for critical infrastructure protection, spectrum analysis, and tactical operations. Full article
Show Figures

Figure 1

Back to TopTop