Sign in to use this feature.

Years

Between: -

Subjects

remove_circle_outline
remove_circle_outline
remove_circle_outline
remove_circle_outline
remove_circle_outline
remove_circle_outline
remove_circle_outline
remove_circle_outline
remove_circle_outline

Journals

Article Types

Countries / Regions

Search Results (33)

Search Parameters:
Keywords = dietary phytochemical index

Order results
Result details
Results per page
Select all
Export citation of selected articles as:
31 pages, 2324 KB  
Article
Vegetables and Glycemic Index: Exploring Their Correlation and Health Implications
by Manish Kumar Singh, Hyeong Rok Yun, Jyotsna S. Ranbhise, Sunhee Han, Sung Soo Kim and Insug Kang
Foods 2025, 14(21), 3703; https://doi.org/10.3390/foods14213703 - 29 Oct 2025
Viewed by 2335
Abstract
Background: Vegetables are consumed worldwide in various forms, including raw, as green leaves in salads, and as ingredients in a wide range of dishes, such as curries, sauces, and burgers. They are rich in carbohydrates and dietary fiber (DF), and also provide moderate [...] Read more.
Background: Vegetables are consumed worldwide in various forms, including raw, as green leaves in salads, and as ingredients in a wide range of dishes, such as curries, sauces, and burgers. They are rich in carbohydrates and dietary fiber (DF), and also provide moderate amounts of protein, fat, oils, essential micronutrients, minerals, vitamins, and phytochemicals. Among their carbohydrate components, simple sugars such as monosaccharides/hexoses significantly influence postprandial blood glucose responses. The glycemic index (GI) is critical for managing chronic conditions, such as diabetes, obesity, hyperglycemia, and other metabolic diseases. The influence of individual carbohydrate fractions, such as hexoses, on GI and glycemic load (GL) has not been extensively investigated. Methods: This retrospective study analyzed the carbohydrates in vegetables (n = 65), focusing on hexoses and fibers, their carbohydrate-to-fiber ratio, and their effect on the GI and GL. Carbohydrate data were obtained from publicly accessible databases, including the U.S. Department of Agriculture (USDA), FooDB, European and Australian food databases, and PubMed. The study assessed total carbohydrates (TC), hexoses, dietary starch (DS), total sugars (TS), and DF, and examined their correlations with GI using regression analysis. Results: Our analysis revealed that fiber ratios are a more reliable predictor of GI than conventional net carbohydrate measures. Among the carbohydrates analyzed, TC exhibited the highest positive correlation with GI, both in absolute terms and when normalized to fiber, while TS showed a weak correlation. Among the ratios studied, TC demonstrated a stronger correlation with the GI, followed by DS. Conclusions: Comparative evaluation revealed that DF exerts a buffering effect on glycemic response (GR) and supports the use of fiber ratios as a more stable and intrinsic parameter for predicting GI than standard estimation methods. Traditional approaches that rely on net carbohydrates may overlook important factors affecting glycemic impact, particularly the buffering effects of dietary fiber. This study advocates for the incorporation of carbohydrate-to-fiber ratios into GI estimation models. Our research may help evaluate the carbohydrate content in vegetables for further in vitro and in vivo studies aimed at clarifying the mechanisms and validating these metrics in glycemic regulation. Full article
Show Figures

Graphical abstract

10 pages, 224 KB  
Article
Dietary Phytochemicals and Depressive Symptoms in Young Adults: Evidence from Undergraduate Students in Türkiye
by Yagmur Yasar Firat and Betul Cicek
Nutrients 2025, 17(21), 3406; https://doi.org/10.3390/nu17213406 - 29 Oct 2025
Viewed by 682
Abstract
Background/Objectives: Depression is a prevalent mental health problem among undergraduate students, and dietary patterns may play a role in its prevention. Phytochemical-rich diets have been proposed to be potential protective factors against depression due to their antioxidant, anti-inflammatory, and neuroprotective properties. This study [...] Read more.
Background/Objectives: Depression is a prevalent mental health problem among undergraduate students, and dietary patterns may play a role in its prevention. Phytochemical-rich diets have been proposed to be potential protective factors against depression due to their antioxidant, anti-inflammatory, and neuroprotective properties. This study aimed to investigate the association between the Dietary Phytochemical Index (DPI) and depressive symptoms among undergraduate students in Türkiye. Methods: A descriptive, cross-sectional study was conducted among 789 undergraduate students at Erciyes University between May 2024–May 2025. Dietary data were collected using a 101-item Food Frequency Questionnaire, and the DPI was calculated as the percentage of total daily energy derived from phytochemical-rich foods. Depressive symptoms were assessed via the Burns Depression Checklist (BDC). Statistical analyses included correlation and logistic regression models adjusted for gender, income, and academic department. Results: Participants with higher DPI scores exerted significantly lower BDC total and sub-dimension scores, including activities and personal relationships, physical symptoms, and suicidal urges (all p < 0.05). The inverse association between DPI and total depression score remained significant across all adjusted models (p < 0.001), and a significant linear trend was observed across DPI quartiles (p-trend < 0.001). Conclusions: Higher dietary phytochemical intake was associated with lower depressive symptom levels among undergraduate students. These results suggest that phytochemical-rich dietary patterns, characterized by increased consumption of fruits, vegetables, whole grains, legumes, and nuts, may contribute to improved psychological well-being. Promoting the intake of phytochemical-dense foods could be a practical nutritional strategy for supporting mental health in young adults. Full article
(This article belongs to the Section Phytochemicals and Human Health)
Show Figures

Graphical abstract

14 pages, 244 KB  
Article
Evaluation of the Relationship Between Job Stress Level, Adherence to the Mediterranean Diet, and Phytochemical Index
by Bengi Çetiner Bingül and Murat Baş
Nutrients 2025, 17(15), 2469; https://doi.org/10.3390/nu17152469 - 29 Jul 2025
Viewed by 880
Abstract
Background/Objectives: Job stress negatively affects physical and psychological health and can lead to behavioral changes such as unhealthy eating. This study aimed to evaluate the relationship between job stress levels, adherence to the Mediterranean diet, and the phytochemical index (PI). Methods: The study [...] Read more.
Background/Objectives: Job stress negatively affects physical and psychological health and can lead to behavioral changes such as unhealthy eating. This study aimed to evaluate the relationship between job stress levels, adherence to the Mediterranean diet, and the phytochemical index (PI). Methods: The study included 200 healthy individuals aged 18–50 working at the Tuzla Gum Factory. Data were collected through demographic and dietary questionnaires, two-day 24-h food records, PI values, and anthropometric measurements. Job stress was assessed using the Job Stress Scale, and Mediterranean diet adherence was assessed with the Mediterranean Diet Adherence Questionnaire. Results: Waist and hip circumference, waist/hip ratio, and BMI were significantly higher in individuals with high levels of job stress (p < 0.01). Unskilled workers reported higher stress than professionals (p < 0.01). Significant differences were found in carbohydrate and fiber intake among males and in energy, protein, carbohydrate, and vitamin A intake among females with varying stress levels (p < 0.01). No significant difference in Mediterranean diet adherence was observed between medium and high stress groups. However, women had higher adherence and PI scores than men (p < 0.01). Diet adherence was better among managers than service-sales and technical staff (p < 0.01). PI scores were higher in medium stress than high stress individuals (p < 0.05) and in those with a higher BMI compared to a normal BMI (p < 0.01). Conclusions: Job stress influences both anthropometric parameters and dietary habits. Effective stress management may improve adherence to the Mediterranean diet and phytochemical intake. Workplace strategies supporting healthy eating behaviors are recommended. Full article
(This article belongs to the Section Clinical Nutrition)
29 pages, 1505 KB  
Review
A Comprehensive Review of the Nutritional and Health-Promoting Properties of Edible Parts of Selected Cucurbitaceae Plants
by Magdalena Borecka and Monika Karaś
Foods 2025, 14(7), 1200; https://doi.org/10.3390/foods14071200 - 29 Mar 2025
Cited by 8 | Viewed by 8752
Abstract
The Cucurbitaceae family includes commonly consumed plants such as pumpkin, watermelon, melon, horned melon, and cucumber, which are valued for their rich nutritional composition and health-promoting properties. These plants provide essential macronutrients, minerals, and bioactive compounds that contribute to their dietary and therapeutic [...] Read more.
The Cucurbitaceae family includes commonly consumed plants such as pumpkin, watermelon, melon, horned melon, and cucumber, which are valued for their rich nutritional composition and health-promoting properties. These plants provide essential macronutrients, minerals, and bioactive compounds that contribute to their dietary and therapeutic significance. Particularly, Cucurbitaceae plants exhibit antidiabetic, hypolipidemic, antioxidant, and anticancer properties, making them valuable in addressing metabolic disorders and alleviating health risks associated with oxidative stress. This review aims to systematize current knowledge on selected cucurbits’ nutritional composition, mineral content, and phytochemical profile. It also examines their caloric value, glycemic index, and glycemic load, offering insight into their potential role in dietary strategies for patients with obesity, insulin resistance, or diabetes. Additionally, this review explores often-overlooked by-products, including seeds, leaves, and flowers, which are rich in bioactive compounds with potential health benefits. By compiling and analyzing existing data, this review highlights the nutritional and functional potential of Cucurbitaceae plants, reinforcing their significance in a health-promoting diet and disease prevention. Full article
(This article belongs to the Special Issue Feature Review on Plant Foods)
Show Figures

Figure 1

26 pages, 6629 KB  
Article
Flavonoids, Isoquinoline Alkaloids, and Their Combinations Affect Growth Performance, Inflammatory Status, and Gut Microbiome of Broilers Under High Stocking Density and Heat Stress
by Kittisak Insawake, Thaweesak Songserm, Ornprapun Songserm, Yongyuth Theapparat, Kazeem D. Adeyemi, Konkawat Rassmidatta and Yuwares Ruangpanit
Animals 2025, 15(1), 71; https://doi.org/10.3390/ani15010071 - 31 Dec 2024
Cited by 5 | Viewed by 2206
Abstract
High stocking density (HSD) and heat stress (HS) challenge broiler production. While antibiotics can mitigate the adverse effects of HS and HSD, their restricted use underscores the need to explore phytochemicals, particularly their combined effects under such conditions. This study investigated the influence [...] Read more.
High stocking density (HSD) and heat stress (HS) challenge broiler production. While antibiotics can mitigate the adverse effects of HS and HSD, their restricted use underscores the need to explore phytochemicals, particularly their combined effects under such conditions. This study investigated the influence of flavonoids, isoquinoline alkaloids, and their combinations as alternatives to bacitracin on growth performance, inflammatory status, gut morphology, and ceca microbiome in broilers raised under HSD and HS. A total of 2100 one-day-old male Ross 308 broiler chicks were distributed into 70 replicates, randomly assigned to one of seven dietary treatments and raised during the summer for 37 days. The treatments included normal stocking density (NSD, 10 birds/m2); HSD (15 birds/m2); HSD + 50 ppm of bacitracin (BCT); HSD + 300 ppm of flavonoids (FVNs); HSD + 80 ppm of isoquinoline alkaloids (IQAs); HSD + FVNs (1–10 days) and IQAs (11–37 days) (FVN-IQA); and HSD + IQAs (1–10 days) and FVNs (11–37 days) (IQA-FVN). The HS index reached or exceeded 160 during most of the experimental period. From 11 to 24 days of age, the HSD and BCT birds had lower body weight gain. The FVNs, IQAs, and their combinations decreased the corticosterone, IL-6, malondialdehyde, and heterophil–lymphocytes ratio compared to the HSD. Jejunal, ileal, and duodenal villi height/crypt depth ratio was lower in HSD than in other treatments except BCT. The α- and β-diversity, microbiota composition, and metabolic pathways were affected by treatment groups. Overall, FVNs, IQAs, and their combinations improved the growth performance, anti-inflammatory response, and gut health in broilers under HSD and HS, with the combinations exerting synergistic effects. Full article
(This article belongs to the Collection Poultry Feeding and Gut Health)
Show Figures

Figure 1

13 pages, 1052 KB  
Article
Physico-Chemical Characteristics of Rosa canina L. Seeds and Determining Their Potential Use
by Małgorzata Stryjecka, Anna Kiełtyka-Dadasiewicz and Monika Michalak
Appl. Sci. 2025, 15(1), 168; https://doi.org/10.3390/app15010168 - 28 Dec 2024
Cited by 11 | Viewed by 4686
Abstract
Rosa canina is well-known plant, and its fruits have been used for centuries. The seeds have been less utilized and remain untested. The objective of this study was to examine the physico-chemical properties of rosehip seeds and to identify potential applications based on [...] Read more.
Rosa canina is well-known plant, and its fruits have been used for centuries. The seeds have been less utilized and remain untested. The objective of this study was to examine the physico-chemical properties of rosehip seeds and to identify potential applications based on their properties. The physico-chemical properties of the seeds were determined, including swelling index (2.51), color in the CIE L * a * b * space (b * = 26.2), as well as carbohydrate (79.2 g/100 g), soluble dietary fiber (71.6 g/100 g), protein (7.67 g/100 g), fat (6.23 g/100 g), and ash (1.96 g/100 g) content. Among the amino acids, glutamic acid dominated (1.58 mg/100 g), while among the fatty acids, linoleic acid (53.19%), linolenic acid (20.24%), and oleic acid (17.63%) were the most dominant. In addition, rosehip seeds contained large amounts of calcium (3851 mg/kg), potassium (2732 mg/kg), and phosphorus (991 mg/kg), as well as vitamin C (1783 μg/g). It was found that the content of other valuable phytochemicals, such as phenolic compounds (2633 μg/g) and carotenoids (3.13 μg/g) influenced the antioxidant properties of the tested raw material. This activity examined by the ferric-reducing antioxidant power (FRAP) and DPPH radical scavenging activity methods was assessed at a level of 191 and 229 μmol TE/g, respectively. The results indicate the potential use of rosehip seed, a by-product of the food processing industry, as a new high-value ingredient for health products, such as nutraceuticals, pharmaceuticals, and cosmeceuticals. Full article
(This article belongs to the Special Issue Advances in Bioactive Compounds from Plants and Their Applications)
Show Figures

Figure 1

18 pages, 3761 KB  
Article
Effect of Phytochemical-Rich Food Intake on Respiratory and Muscle Function in Middle-Aged Patients with COPD: A Cross-Sectional Study
by Alda Ranogajec, Ana Ilić, Snježana Benko Meštrović and Ivana Rumbak
Nutrients 2024, 16(22), 3962; https://doi.org/10.3390/nu16223962 - 20 Nov 2024
Cited by 3 | Viewed by 2393
Abstract
Background: It is known that the consumption of single phytochemicals improves respiratory function in chronic obstructive pulmonary disease (COPD) patients. Since phytochemicals have a synergistic effect on health, a more comprehensive analysis is needed. The aim of this study was to estimate [...] Read more.
Background: It is known that the consumption of single phytochemicals improves respiratory function in chronic obstructive pulmonary disease (COPD) patients. Since phytochemicals have a synergistic effect on health, a more comprehensive analysis is needed. The aim of this study was to estimate the intake of phytochemicals using the dietary phytochemical index (DPI) and assess their association with respiratory function, inspiratory muscle strength and function, and peripheral muscle strength. Methods: This study was conducted at the Special Hospital for Pulmonary Diseases in Zagreb (September 2023 to May 2024). The DPI was assessed using three 24 h recalls from 71 COPD patients (66.5 ± 8.4 years; 53.5% men). Anthropometric measurements, respiratory function, inspiratory muscle function and strength, and peripheral muscle strength were assessed during pulmonary rehabilitation following standard protocols. Results: Patients were divided into DPI tertiles with mean values of 7.3 ± 3.0, 16.0 ± 3.0, and 32.2 ± 8.8, respectively. After controlling for confounding factors, a significant association was found between DPI tertiles and FEV1 (p-trend < 0.001), FVC (p-trend = 0.002), FEV1/FVC (p-trend < 0.001), MIP (p-trend = 0.012), and MSUE (p-trend = 0.002). In addition, an inverse association was found between DPI tertiles and diaphragm thickness during inhalation (p-trend = 0.012) and exhalation (p-trend = 0.013). Conclusions: This study suggests that a higher intake of phytochemicals could be beneficial in dietary interventions for COPD therapy. Future prospective studies are needed to confirm these findings. Full article
Show Figures

Figure 1

17 pages, 3385 KB  
Article
Effect of a Phytochemical-Rich Olive-Derived Extract on Anthropometric, Hematological, and Metabolic Parameters
by Anna Aiello, Luana Calabrone, Douglas M. Noonan, Paola Corradino, Sara Nofri, Simone Cristoni, Giulia Accardi, Giuseppina Candore, Calogero Caruso, Angelo Zinellu and Adriana Albini
Nutrients 2024, 16(18), 3068; https://doi.org/10.3390/nu16183068 - 11 Sep 2024
Cited by 3 | Viewed by 3271
Abstract
Background: Extra virgin olive oil is a fundamental component of the Mediterranean diet. It contains several molecules that sustain human well-being by modulating cellular metabolism and exerting antioxidant, anti-inflammatory, and anti-ageing effects to protect normal tissues, and it can exert anti-angiogenic and pro-apoptotic [...] Read more.
Background: Extra virgin olive oil is a fundamental component of the Mediterranean diet. It contains several molecules that sustain human well-being by modulating cellular metabolism and exerting antioxidant, anti-inflammatory, and anti-ageing effects to protect normal tissues, and it can exert anti-angiogenic and pro-apoptotic effects on cancer cells. Metabolites found in different parts of the olive tree, including leaves, also possess properties that might help in cancer prevention and promote wellness in aging. Olive mill wastewater (OMWW), a liquid residue produced during olive oil extraction, represents an environmental issue. However, it is rich in phytochemicals with potential beneficial properties. Dietary supplements based on OMWW can be produced for nutritional supplementation with advantages to the ecology. Purpose: This work aims to measure hematochemical, anthropometric, and metabolomic parameters in volunteers taking an OMWW dietary supplement, Oliphenolia® (OMWW-OL). Methods: The supplementation of OMWW-OL 25 mL twice daily for 30 days was tested on a pilot cohort of volunteers with characteristics close to metabolic syndrome. Hematochemical, anthropometric, serum biomarkers and serum metabolomic parameters were analyzed before the intervention, at 30 days, and 30 days after stopping consumption. Results: A total of 29 volunteers were enrolled, and 23 completed the study. The participants’ parameters at baseline were measured, and then twice daily at 30 days of treatment and 30 days after assumption discontinuation. Although treatment was with an olive derivative, their weight did not increase. Their body mass index, instead of augmenting, slightly decreased, particularly in the women. Also, hydration increased, especially in the women, while blood pressure, glycemia, and insulin decreased. Cholesterol, high-density lipoproteins, and triglycerides were stable, and LDL levels decreased, while vitamin D levels, alongside calcium, perceptibly increased. Albumin also increased. All the values were in support of an equilibrium, with no damaging effects. By mass spectrometry analysis, we also found favorable changes in the vitamin D/histamine and homocysteine/methionine ratios, an increase in a new metabolite of unknown formula, and the vitamin D/unknown metabolite ratio. Conclusions: Supplementation of OMWW-OL has no detrimental effects and might imply the beneficial modulation of several biological parameters. Although this is a small pilot study, with limited potency, it preliminarily suggests that the OMWW extract use could be potentially valuable for people at risk of metabolic syndrome. Some of these parameters could also be relevant in supporting healthy ageing and in cancer prevention. Full article
(This article belongs to the Special Issue Effects of Phytochemicals on Metabolic Disorders and Human Health)
Show Figures

Figure 1

16 pages, 2048 KB  
Article
Castanea sativa Mill. By-Products: Investigation of Potential Anti-Inflammatory Effects in Human Intestinal Epithelial Cells
by Carola Pozzoli, Giulia Martinelli, Marco Fumagalli, Chiara Di Lorenzo, Nicole Maranta, Luca Colombo, Stefano Piazza, Mario Dell’Agli and Enrico Sangiovanni
Molecules 2024, 29(16), 3951; https://doi.org/10.3390/molecules29163951 - 21 Aug 2024
Cited by 6 | Viewed by 2171
Abstract
Castanea sativa Mill. (C. sativa) processing and pruning generate several by-products, including leaves, burs, and shells (inner and outer teguments), which are considered an important source of high-value phytochemicals. Ellagitannins from C. sativa leaf extracts have been described to impair H. [...] Read more.
Castanea sativa Mill. (C. sativa) processing and pruning generate several by-products, including leaves, burs, and shells (inner and outer teguments), which are considered an important source of high-value phytochemicals. Ellagitannins from C. sativa leaf extracts have been described to impair H. pylori viability and inflammation in gastric cells. Furthermore, chestnut shells showed an important anti-inflammatory effect in gastric epithelial cells. Dietary polyphenols, including tannins, have been reported to interfere with targets of inflammation, including the nuclear factor κB (NF-κB). A promising role as a further therapeutical target for gut disorders has been recently proposed for the regulatory subunit of hypoxia-inducible factor (HIF-1α), as a potential stabilizer of intestinal barrier integrity. Therefore, the main objective of this work is the chemical characterization of several chestnut by-products (bud, spiny bur, wood, pericarp and episperm), together with the exploitation of their anti-inflammatory properties in intestinal cells, scavenging capacity, and stability following gastrointestinal digestion. The chemical characterization confirmed the presence of bioactive polyphenols in the extracts, including ellagitannins. In CaCo-2 cells stimulated by an IL-1β-IFN-γ cocktail, nearly all chestnut by-products (50 µg/mL) inhibited the release of proinflammatory mediators (CXCL-10, IL-8, MCP-1, ICAM), along with the NF-κB-driven transcription, and induced the HRE-driven transcription. The stability of the most promising extracts, identified through PCA and cluster analysis, was addressed by in vitro gastrointestinal digestion. Despite the significant reduction in total polyphenol index of chestnut bud and wood after gastric and intestinal digestion, the activity of these extracts on both scavenging and anti-inflammatory parameters remained promising. These data contribute to exploit the potential of chestnut by-products as sources of dietary polyphenols with anti-inflammatory properties at the intestinal level. Moreover, this study could represent an important step to encourage the recycling and valorization of chestnut by-products, promoting the circular economy and reducing the environmental impact related to the management of agriculture waste. Full article
(This article belongs to the Special Issue Advances in Functional Foods)
Show Figures

Graphical abstract

11 pages, 504 KB  
Article
Phytochemical Index and the Risk of Gastritis/Gastric Ulcer among Korean Adults: A Prospective Cohort Study
by Yeeun Park and Kyong Park
Nutrients 2024, 16(15), 2514; https://doi.org/10.3390/nu16152514 - 1 Aug 2024
Cited by 3 | Viewed by 4327
Abstract
Phytochemicals found in fruits, vegetables, and plant-based foods have potential protective effects against various diseases, including gastric disorders. This study aimed to analyze the longitudinal association between phytochemical intake and the risk of gastritis/gastric ulcer in Korean adults. This was a prospective cohort [...] Read more.
Phytochemicals found in fruits, vegetables, and plant-based foods have potential protective effects against various diseases, including gastric disorders. This study aimed to analyze the longitudinal association between phytochemical intake and the risk of gastritis/gastric ulcer in Korean adults. This was a prospective cohort study, a community-based cohort conducted as part of the Korean Genome and Epidemiology Study, examining the association between phytochemical intake and the risk of gastritis/gastric ulcer in Korean adults. Dietary information was collected using a validated semi-quantitative food frequency questionnaire, and the phytochemical index (PI) was calculated. The study included 7377 Korean men and women aged 40–69 years without gastritis/gastric ulcer at baseline of the Korea Association Resource study in Korea. The incidence of gastritis/gastric ulcer was determined using a survey questionnaire administered by trained staff. Multivariate Cox proportional hazards regression was used to calculate the hazard ratio and 95% confidence interval to determine the association between PI and risk of gastritis/gastric ulcer. During the median follow-up period of 9.50 years, 729 cases were reported. The fully adjusted model showed a significantly lower risk of gastritis/gastric ulcer in the highest PI quartile compared to the lowest (hazard ratio: 0.78, 95% confidence interval: 0.61–0.98), and this association was linear (p for trend = 0.01). This research indicates that incorporating foods abundant in phytochemicals into one’s diet could be associated with a reduced risk of developing gastritis/gastric ulcers. These findings underscore the importance of further investigating the role of phytochemical-rich diets in gastrointestinal health, as demonstrated in this study. Full article
(This article belongs to the Section Phytochemicals and Human Health)
Show Figures

Figure 1

12 pages, 277 KB  
Article
Comparative Analysis of Nutritional Properties, Phytochemical Profile, and Antioxidant Activities between Red and Green Water Chestnut (Trapa natans) Fruits
by Aniq Ur Rehman, Azmat Ullah Khan, Muhammad Sohaib and Habib Rehman
Foods 2024, 13(12), 1883; https://doi.org/10.3390/foods13121883 - 15 Jun 2024
Cited by 5 | Viewed by 3467
Abstract
The present study explored the nutritional composition, phytochemicals analysis, and antioxidant capacity of two indigenous varieties of red and green water chestnut (WCN) fruit grown in Pakistan. Accordingly, this study was designed to investigate the proximate composition (moisture, ash, fiber, proteins, fat, and [...] Read more.
The present study explored the nutritional composition, phytochemicals analysis, and antioxidant capacity of two indigenous varieties of red and green water chestnut (WCN) fruit grown in Pakistan. Accordingly, this study was designed to investigate the proximate composition (moisture, ash, fiber, proteins, fat, and energy), physicochemical properties (pH, °Brix, and glycemic index), minerals, and vitamins. The methanolic extracts of WCN fruits were explored for phytochemicals (total phenolic and flavonoid content), and antioxidant potential was examined in vitro by 1,1-diphenyl-2-picrylhydrazyl radical scavenging capacity (DPPH) and Ferric reducing antioxidant power (FRAP). Quantitative determination of mineral (sodium, potassium, calcium, phosphorus, iron, manganese, copper, and zinc) and vitamin (vitamin C, vitamin B6, vitamin B2, vitamin B3, vitamin A, and β-Carotene) composition was also assessed. Based on the findings, the proximate compositions of WCN green and red varieties varied greatly as WCN green contained significantly higher protein (1.72%), fat (0.65%), dietary fiber (2.21%), moisture (70.23%), ash (1.16%), and energy content (112.8 Kcal) than WCN red. In WCN green, the macro–micromineral concentrations were significantly higher than WCN red. Among the minerals analyzed, potassium was the most abundant mineral found in both varieties. Levels of vitamin C, B6, A, and β-Carotene were significantly higher in WCN green. In this study, methanolic extract showed higher extraction efficiency than acetone, ethanol, and distilled water. WCN green had a significantly higher quantum of total phenolic (91.13 mg GAE/g) and total flavonoid (36.6 mg QE/g) and presented significantly higher antioxidant activity than the WCN red. This study showed that, among both varieties, WCN green extract has therapeutic potential against free radical mediated health conditions and suggested the potential use of this fruit as a source of natural antioxidants in nutraceuticals. Full article
(This article belongs to the Section Food Nutrition)
2 pages, 142 KB  
Abstract
Dietary Phytochemical Index in School-Age Children: Sociodemographic and Lifestyle-Related Factors
by Ivana Rumbak, Ana Ilić, Petra Škorvaga, Ružica Brečić, Irena Colić Barić and Martina Bituh
Proceedings 2023, 91(1), 243; https://doi.org/10.3390/proceedings2023091243 - 4 Feb 2024
Viewed by 1204
Abstract
Plant-based foods are known to be rich in nutrients, but they are also a good source of phytochemicals that have a positive effect on health. However, it appears that children in EU countries consume less plant-based foods and thus have a low phytochemical [...] Read more.
Plant-based foods are known to be rich in nutrients, but they are also a good source of phytochemicals that have a positive effect on health. However, it appears that children in EU countries consume less plant-based foods and thus have a low phytochemical intake. Therefore, the aim of this study was to estimate the dietary phytochemical index (DPI) in children and to investigate the relationship between DPI and sociodemographic and lifestyle factors. DPI was estimated from the 3-day dietary records of 195 children (52% boys; 8.9 ± 0.4 years) from 14 primary schools in the city of Zagreb (school years 2018/2019). Sociodemographic and lifestyle factors were observed using a general questionnaire and a physical activity questionnaire for older children. Anthropometric measurements were performed according to standard protocols, while z-scores were obtained using AnthroPlus v.1.0.4. software. The mean DPI was 11.8 (7.7–16.2) in the total sample of children. In this study population, DPI was most influenced by fruit (39% of DPI) consumption, followed by whole grains (31%), vegetables (22%), and other foods (7%) such as olive oil, herbal drinks, herbs, tea etc. No association was found between DPI and weight status, sleep duration, sedentary behavior, physical activity level, parents’ education level, and household income. However, sex was significantly weakly correlated with DPI (r = 0.146; p = 0.041), with girls having a significantly higher DPI (12.4; 9.5–17.7) compared to boys (10.3; 7.6–15.3). This difference is significant, as further analysis revealed that girls consumed more dried fruits (p = 0.006) and nuts (p = 0.031) than boys. Although there is no recommendation for phytochemical intake, nor for an appropriate DPI, the children in the present study have a lower DPI compared with the DPI estimated in the available literature for a similar population. Girls had a higher DPI than boys, but only because they consumed more dried fruits and nuts. It has not been demonstrated that this low DPI score is related to other sociodemographic and lifestyle factors. Further research is needed to determine which factors and their combination may influence DPI and whether these factors are equally pronounced in children with higher or lower DPI. Full article
(This article belongs to the Proceedings of The 14th European Nutrition Conference FENS 2023)
18 pages, 1987 KB  
Article
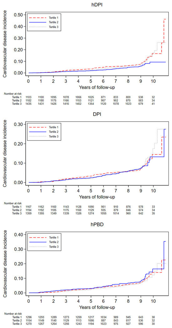
Association between Total Dietary Phytochemical Intake and Cardiometabolic Health Outcomes—Results from a 10-Year Follow-Up on a Middle-Aged Cohort Population
by Magda Gamba, Octavio Pano, Peter Francis Raguindin, Zayne M. Roa-Diaz, Taulant Muka, Marija Glisic, Oscar H. Franco and Pedro Marques-Vidal
Nutrients 2023, 15(22), 4793; https://doi.org/10.3390/nu15224793 - 15 Nov 2023
Cited by 6 | Viewed by 3188
Abstract
Dietary phytochemical intake associations with cardiovascular health and mortality remain unknown. We studied the relations between total dietary phytochemical intake and cardiovascular health outcomes in a middle-aged Swiss population. We analyzed data spanning 2009 to 2021 from a prospective cohort study in Lausanne, [...] Read more.
Dietary phytochemical intake associations with cardiovascular health and mortality remain unknown. We studied the relations between total dietary phytochemical intake and cardiovascular health outcomes in a middle-aged Swiss population. We analyzed data spanning 2009 to 2021 from a prospective cohort study in Lausanne, Switzerland, including 3721 participants (54.8% women, 57.2 ± 10.3 years) without cardiovascular disease (CVD) history. Dietary intake was assessed using a validated self-reported food frequency questionnaire. The Dietary Phytochemical Index (DPI) and the healthy Dietary Phytochemical Index (hDPI) were calculated as the total energy intake percentage obtained from phytochemical-rich food consumption. The Healthy Plant-Based Diet Index (hPBD) was estimated by scoring healthy plant foods positively and less-healthy plant foods negatively. Indices tertiles and cardiometabolic outcome associations were determined using Cox proportional hazard models. Over 30,217 person-years of follow-up, 262 CVD events, and 178 deaths occurred. Unadjusted analyses found 36%, 33%, and 32% lower CVD risk for the highest hDPI, DPI, and hPBD tertiles, respectively. After adjustment, only the second hDPI tertile showed a 30% lower CVD risk (HR 0.70, 95% CI 0.51–0.95; P for trend 0.362). No other associations emerged. In this middle-aged Swiss cohort, no associations between dietary indices reflecting a phytochemical-rich dietary pattern and incident CVD, all-cause, or CVD mortality were observed. Full article
(This article belongs to the Section Phytochemicals and Human Health)
Show Figures

Graphical abstract

16 pages, 1160 KB  
Article
The Effect of Sugar Replacement with Different Proportions of Khalas Date Powder and Molasses on the Nutritional and Sensory Properties of Kleicha
by Raya S. A. Almuziree and Raghad M. Alhomaid
Processes 2023, 11(11), 3077; https://doi.org/10.3390/pr11113077 - 26 Oct 2023
Cited by 6 | Viewed by 4265
Abstract
Evidence from the scientific community suggests that high levels of added sugar consumption contribute to the global epidemics of glucose intolerance, diabetes, and cardiovascular disease. The study aims to develop a local traditional food product (Kleicha) with healthy ingredients and to take advantage [...] Read more.
Evidence from the scientific community suggests that high levels of added sugar consumption contribute to the global epidemics of glucose intolerance, diabetes, and cardiovascular disease. The study aims to develop a local traditional food product (Kleicha) with healthy ingredients and to take advantage of the most productive crops in Saudi Arabia, namely dates, where Khalas date powder and molasses will be manufactured as an alternative to sugar in the Kleicha product. Six Kleicha samples with different fillings were manufactured as follows: Kleicha filled with sugar filling (KS), Kleicha with Khalas date powder filling (KD), Kleicha filled with Khalas date molasses filling (KM), Kleicha filled with sugar and Khalas date powder (1:1) filling (KSD), Kleicha filled with sugar and Khalas date molasses (1:1) filling (KSM), and Kleicha filled with Khalas date powder and Khalas date molasses (1:1) filling (KDM). In order to evaluate the prepared Kleicha samples, the proximate chemical composition, mineral content, phytochemical content and their antioxidant activities, sugar profiles using HPLC, in vitro glycemic index, glycemic load, and sensory evaluation were investigated. The results indicated that KM had the highest moisture content, while the KS sample had the lowest content. KD and KM had significantly higher ash contents compared with the other Kleicha samples. The protein and fat contents did not differ significantly. KD, KSD, and KDM demonstrated a significantly higher dietary fiber content than the other Kleicha samples. KS had the highest value of available carbohydrates. Regarding mineral content, the KDM sample had the highest K, Na, Ca, and P contents, while KD and KM had the highest Mg, Fe, and Mn contents. The Cu content indicated that KM had the highest content, representing a 25% increase compared with KS. Similarly, the Zn content in KM and KSD was significantly higher than in the other Kleicha samples. Replacing sucrose with Khalas date or molasses significantly changed the sucrose, glucose, and fructose contents. The phenolic content in KD, KM, and KDM was higher compared with KS, KSM, and KSD. Furthermore, the oxidative activity increased associatively with the addition of Khalas date powder and molasses. The percentage of sucrose decreased in KD and KDM. There was no significant difference in the general acceptance rate between the control sample and the other samples containing Khalas date powder, Khalas date molasses, and sugar or their mixture. In conclusion, it is possible to replace the sugar in the filling of the Kleicha with Khalas date powder and molasses or their mixture as it increases the health benefits; scaling up is recommended. Full article
Show Figures

Figure 1

18 pages, 4346 KB  
Article
New Breakfast Cereal Developed with Sprouted Whole Ryegrass Flour: Evaluation of Technological and Nutritional Parameters
by Cristiane Teles Lima, Tatiane Monteiro dos Santos, Nathália de Andrade Neves, Alicia Lavado-Cruz, Luz Maria Paucar-Menacho, Maria Teresa Pedrosa Silva Clerici, Sílvia Letícia Rivero Meza and Marcio Schmiele
Foods 2023, 12(21), 3902; https://doi.org/10.3390/foods12213902 - 25 Oct 2023
Cited by 6 | Viewed by 3574
Abstract
Ryegrass is one such cereal that has been underutilized in human nutrition despite its high nutritional and functional value due to the presence of phytochemicals and dietary fibers. Exploiting ryegrass for human consumption is an exciting option, especially for countries that do not [...] Read more.
Ryegrass is one such cereal that has been underutilized in human nutrition despite its high nutritional and functional value due to the presence of phytochemicals and dietary fibers. Exploiting ryegrass for human consumption is an exciting option, especially for countries that do not produce wheat, as it is easily adaptable and overgrows, making it economically viable. This study evaluated the nutritional content of γ-aminobutyric acid and bioactive compounds (total soluble phenolic compounds) and the physicochemical and technological properties of partially substituting maize flour (MF) with sprouted whole ryegrass flour (SR) in developing extrusion-cooked breakfast cereals. A completely randomized design with substitutions ranging from 0 to 20% of MF with SR was employed as the experimental strategy (p < 0.05). Partial incorporation of SR increased the content of γ-aminobutyric acid and total soluble phenolic compounds. Using sprouted grains can adversely affect the technological quality of extruded foods, mainly due to the activation of the amylolytic enzymes. Still, ryegrass, with its high dietary fiber and low lipid content, mitigates these negative effects. Consequently, breakfast cereals containing 4 and 8% SR exhibited better physicochemical properties when compared to SR12, SR16, SR20, and USR10, presenting reduced hardness and increased crispness, and were similar to SR0. These results are promising for ryegrass and suggest that combining the age-old sprouting process with extrusion can enhance the nutritional quality and bioactive compound content of cereal-based breakfast products while maintaining some technological parameters, especially crispiness, expansion index, water solubility index, and firmness, which are considered satisfactory. Full article
(This article belongs to the Special Issue Cereal: Chemistry and Green Processing Technology)
Show Figures

Figure 1

Back to TopTop