Sign in to use this feature.

Years

Between: -

Subjects

remove_circle_outline
remove_circle_outline
remove_circle_outline
remove_circle_outline
remove_circle_outline
remove_circle_outline

Journals

Article Types

Countries / Regions

Search Results (14)

Search Parameters:
Keywords = detonation suppression

Order results
Result details
Results per page
Select all
Export citation of selected articles as:
16 pages, 5654 KB  
Article
Target Recognition for Ultra-Wideband Radio Fuzes Using 1D-CGAN-Augmented 1D-CNN
by Kaiwei Wu, Shijun Hao, Yanbin Liang, Bing Yang and Zhonghua Huang
Entropy 2025, 27(9), 980; https://doi.org/10.3390/e27090980 - 19 Sep 2025
Viewed by 483
Abstract
In ultra-wideband (UWB) radio fuzes, the signal processing unit’s capability to rapidly and accurately extract target characteristics under battlefield conditions directly determines detonation precision and reliability. Escalating electronic warfare creates complex electromagnetic environments that compromise UWB fuze reliability through false alarms and missed [...] Read more.
In ultra-wideband (UWB) radio fuzes, the signal processing unit’s capability to rapidly and accurately extract target characteristics under battlefield conditions directly determines detonation precision and reliability. Escalating electronic warfare creates complex electromagnetic environments that compromise UWB fuze reliability through false alarms and missed detections. This study pioneers a novel signal processing architecture. The framework integrates: (1) fixed-parameter Least Mean Squares (LMS) front-end filtering for interference suppression; (2) One-Dimensional Convnlutional Neural Network (1D-CNN) recognition trained on One-Dimensional Conditional Generative Adversarial Network (1D-CGAN)-augmented datasets. Validated on test samples, the system achieves 0% false alarm/miss detection rates and 97.66% segment recognition accuracy—representing a 5.32% improvement over the baseline 1D-CNN model trained solely on original data. This breakthrough resolves energy-threshold detection’s critical vulnerability to deliberate jamming while establishing a new technical framework for UWB fuze operation in contested spectra. Full article
(This article belongs to the Section Multidisciplinary Applications)
Show Figures

Figure 1

18 pages, 13981 KB  
Article
Analysis of Aerodynamic Characteristics of Rotating Detonation Turbine Based on Proper Orthogonal Decomposition Method
by Meiting Ling, Ting Zhao, Wenguo Luo, Jianfeng Zhu and Yancheng You
Aerospace 2025, 12(5), 406; https://doi.org/10.3390/aerospace12050406 - 4 May 2025
Cited by 1 | Viewed by 1358
Abstract
The unsteady interactions in rotating detonation turbine engines (RDTE) remain poorly understood. To address this, a 2D numerical model integrating a rotating detonation combustor (RDC) with a first-stage turbine is established to analyze flow structures and aerodynamics under various detonation modes. Proper orthogonal [...] Read more.
The unsteady interactions in rotating detonation turbine engines (RDTE) remain poorly understood. To address this, a 2D numerical model integrating a rotating detonation combustor (RDC) with a first-stage turbine is established to analyze flow structures and aerodynamics under various detonation modes. Proper orthogonal decomposition (POD) reveals intrinsic links between flow features and performance metrics. Results show that while the RDC generates total pressure gain, it induces significant unsteady flow. Guide vanes partially suppress pressure fluctuations but cannot eliminate total pressure losses or circumferential non-uniformity, reducing rotor efficiency. Increasing detonation wave numbers decreases total pressure gain at rotor inlet but improves flow uniformity: the counterclockwise double-wave mode exhibits optimal performance (27.9% work gain, 5.0% instability, 86.4% efficiency), whereas the clockwise single-wave mode shows the poorest (20.9% work gain, 11.8% instability, 84.0% efficiency). POD analysis indicates first-order modes represent time-averaged flow characteristics, while low-order modes capture non-uniform pressure distributions and pairing phenomena, reconstructing wave propagation. The study highlights discrepancies between turbine inlet’s actual unsteady flow and conventional quasi-steady design assumptions, proposing enhancing mean flow characteristics and increasing first-mode energy proportion to improve work extraction. These findings clarify the detonation wave mode–turbine performance correlation, offering insights for RDTE engineering applications. Full article
(This article belongs to the Section Aeronautics)
Show Figures

Figure 1

18 pages, 7134 KB  
Article
Towards MRI Study of Biointegration of Carbon-Carbon Composites with Ca-P Coatings
by Victoria V. Zherdeva, Petr E. Zaitsev, Andrei S. Skriabin, Alexey V. Shakurov, Vladimir R. Vesnin, Elizaveta S. Skriabina, Petr A. Tsygankov, Irina K. Sviridova, Natalia S. Sergeeva, Valentina A. Kirsanova, Suraya A. Akhmedova and Natalya B. Serejnikova
Nanomaterials 2025, 15(7), 492; https://doi.org/10.3390/nano15070492 - 26 Mar 2025
Viewed by 2544
Abstract
The development of specific MRI criteria to monitor the implantation process may provide valuable information of individual tissue response. Using MRI and histological methods, the biointegration of carbon-carbon (C-C) composites into the subcutaneous tissues of BDF1 mice and their biocompatibility were investigated. The [...] Read more.
The development of specific MRI criteria to monitor the implantation process may provide valuable information of individual tissue response. Using MRI and histological methods, the biointegration of carbon-carbon (C-C) composites into the subcutaneous tissues of BDF1 mice and their biocompatibility were investigated. The study focused on autopsy specimens containing C-C composite implants, both uncoated and coated with synthetic hydroxyapatite (Ca-P) via electrodeposition or detonation techniques, assessed at 6 and 12 weeks post-implantation. The results revealed that the radiological characteristics of the connective tissue capsule surrounding the implants allowed for the differentiation between loose and dense connective tissues. Fat-suppressed T1-weighted MRI scans showed that the volume of both loose and dense connective tissue in the capsule increased proportionally at 6 and 12 weeks, with distinct ratios observed between the coated and uncoated specimens. The proposed MRI criteria provided a strategy for evaluating the density and homogeneity of the connective tissue capsule. This approach could be valuable for further non-invasive in vivo studies on implant biointegration. Full article
Show Figures

Figure 1

18 pages, 12203 KB  
Article
Study on the Structure of a Novel CMS@C12H22O14Fe Suppressant and Its Mechanism of Inhibiting Coal Dust Deflagration
by Yansong Zhang, Yang Yang, Jin Han, Shengjing Dongye, Fei Wang, Wenjie Liu, Lei Wang and Yang Zhang
Processes 2025, 13(3), 650; https://doi.org/10.3390/pr13030650 - 25 Feb 2025
Viewed by 739
Abstract
Coal resources still occupy a dominant position in the energy consumption structure, and the prevention and control of coal dust explosion has become an important measure to ensure the safe production of coal. To this end, a new type of environmentally friendly, economical, [...] Read more.
Coal resources still occupy a dominant position in the energy consumption structure, and the prevention and control of coal dust explosion has become an important measure to ensure the safe production of coal. To this end, a new type of environmentally friendly, economical, and efficient composite powder explosion suppressant has been developed. CMS@C12H22O14Fe was prepared by an anti-solvent crystallization method using Chinese Maifan stone (CMS) as the carrier and ferrous gluconate (C12H22O14Fe) as the active component. The physicochemical properties of the explosion suppressant were analyzed using characterization techniques such as SEM and FT-IR. At the same time, the Hartmann tube experimental device was utilized to study the inhibition effect of the detonation suppressor on the coal powder flame, and to determine the optimal loading amount of the active component and the addition amount of the detonation suppressor. The results show that the composite powder synthesized by the anti-solvent crystallization method has a uniform particle size and good structure. The flame was almost completely suppressed when the active component loading was 50 wt.% and the additive amount of the detonation suppressant was 30 wt.%. Finally, a physicochemical synergistic inhibition mechanism of CMS@C12H22O14Fe for coal dust explosion is proposed. Full article
(This article belongs to the Section Energy Systems)
Show Figures

Figure 1

27 pages, 8858 KB  
Review
Review of Pre-Ignition Research in Methanol Engines
by Zhijie Li, Changhui Zhai, Xiaoxiao Zeng, Kui Shi, Xinbo Wu, Tianwei Ma and Yunliang Qi
Energies 2025, 18(1), 133; https://doi.org/10.3390/en18010133 - 31 Dec 2024
Cited by 1 | Viewed by 1848
Abstract
Methanol can be synthesized using green electricity and carbon dioxide, making it a green, carbon-neutral fuel with significant potential for widespread application in engines. However, due to its low ignition energy and high laminar flame speed, methanol is susceptible to hotspot-induced pre-ignition and [...] Read more.
Methanol can be synthesized using green electricity and carbon dioxide, making it a green, carbon-neutral fuel with significant potential for widespread application in engines. However, due to its low ignition energy and high laminar flame speed, methanol is susceptible to hotspot-induced pre-ignition and even knocking under high-temperature, high-load engine conditions, posing challenges to engine performance and reliability. This paper systematically reviews the manifestations and mechanisms of pre-ignition and knocking in methanol engines. Pre-ignition can be sustained or sporadic. Sustained pre-ignition is caused by overheating of structural components, while sporadic pre-ignition is often linked to oil droplets entering the combustion chamber from the piston crevice. Residual exhaust gas trapped within the spark plug can also initiate pre-ignition. Knocking, characterized by pressure oscillations, arises from the auto-ignition of hotspots in the end-gas or, potentially, from deflagration-to-detonation transition, although the latter requires further experimental validation. Factors influencing pre-ignition and knocking, including engine oil, in-cylinder deposits, structural hotspots, and the reactivity of the air–fuel mixture, are also analyzed. Based on these factors, the paper concludes that the primary approach to suppressing pre-ignition and knocking in methanol engines is controlling the formation of pre-ignition sources and reducing the reactivity of the air–fuel mixture. Furthermore, it addresses existing issues and limitations in current research, such as combustion testing techniques, numerical simulation accuracy, and the mechanisms of methanol–oil interaction, and offers related recommendations. Full article
(This article belongs to the Section I2: Energy and Combustion Science)
Show Figures

Figure 1

15 pages, 6030 KB  
Article
Mathematical Modeling of the Hydrodynamic Instability and Chemical Inhibition of Detonation Waves in a Syngas–Air Mixture
by Valeriy Nikitin, Elena Mikhalchenko, Lyuben Stamov, Nickolay Smirnov and Vilen Azatyan
Mathematics 2023, 11(24), 4879; https://doi.org/10.3390/math11244879 - 5 Dec 2023
Cited by 7 | Viewed by 1682
Abstract
This paper presents the results of the two-dimensional modeling of the hydrodynamic instability of a detonation wave, which results in the formation of an oscillating cellular structure on the wave front. This cellular structure of the wave, unstable due to its origin, demonstrates [...] Read more.
This paper presents the results of the two-dimensional modeling of the hydrodynamic instability of a detonation wave, which results in the formation of an oscillating cellular structure on the wave front. This cellular structure of the wave, unstable due to its origin, demonstrates the constant statistically averaged characteristics of the cell size. The suppression of detonation propagation in synthesis gas mixtures with air using a combustible inhibitor is studied numerically. Contrary to the majority of inhibitors being either inert substances, which do not take part in the chemical reaction, or take part in chemical reaction but do not contribute to energy release, the suggested inhibitor is also a fuel, which enters into an exothermic reaction with oxygen. The unsaturated hydrocarbon propylene additive is used as an inhibitor. The dependence of the effect of the inhibitor content on the mitigation of detonation for various conditions of detonation initiation is researched. The results make it possible to determine a critical percentage of inhibitor which prevents the occurrence of detonation and the critical percentage of inhibitor which destroys a developed detonation wave. Full article
(This article belongs to the Special Issue Applications of Mathematics to Fluid Dynamics)
Show Figures

Figure 1

25 pages, 16212 KB  
Article
Research on the Rule of Explosion Shock Wave Propagation in Multi-Stage Cavity Energy-Absorbing Structures
by Shihu Chen, Wei Liu and Chaomin Mu
Materials 2023, 16(13), 4608; https://doi.org/10.3390/ma16134608 - 26 Jun 2023
Cited by 3 | Viewed by 2078
Abstract
The propagation laws of explosion shock waves and flames in various chambers were explored through a self-built large-scale gas explosion experimental system. The propagation process of shock waves inside the cavity was explored through numerical simulation using Ansys Fluent, and an extended study [...] Read more.
The propagation laws of explosion shock waves and flames in various chambers were explored through a self-built large-scale gas explosion experimental system. The propagation process of shock waves inside the cavity was explored through numerical simulation using Ansys Fluent, and an extended study was conducted on the wave attenuation effect of multiple cavities connected in a series. The findings show that the cavity’s length and diameter influenced the weakening impact of shock waves and explosive flames. By creating a reverse shock wave through complicated superposition, the cavity’s shock wave weakening mechanism worked. By suppressing detonation creation inside the cavity, the explosive flame was weakened by the cavity’s design. The multi-stage cavity exhibited sound-weakening effects on both shock waves and explosive flames, and an expression was established for the relationship between the suppression rate of shock force and the number of cavities. Diffusion cavities 35, 55, 58, and 85 successfully suppressed explosive flames. The multi-stage cavity efficiently reduced the explosion shock wave. The flame suppression rate of the 58-35 diffusion cavity explosion was 93.38%, whereas it was 97.31% for the 58-35-55 cavity explosion. In engineering practice, employing the 58-58 cavity is advised due to the construction area, construction cost, and wave attenuation impact. Full article
(This article belongs to the Special Issue Impact Behaviour of Materials and Structures)
Show Figures

Figure 1

12 pages, 3795 KB  
Article
Unsteady Oblique Detonation Waves in a Tunnel Induced by Inflow Mach Number Variation
by Shuzhen Niu, Pengfei Yang, Kuanliang Wang and Honghui Teng
Aerospace 2023, 10(4), 330; https://doi.org/10.3390/aerospace10040330 - 27 Mar 2023
Cited by 6 | Viewed by 2856
Abstract
Oblique detonation waves (ODWs) have been investigated widely aiming at facilitating their application in hypersonic engines. However, there is a lack of research on unsteady ODWs which are unavoidable in the hypersonic air-breathing scenario. In this study, unsteady ODWs triggered by the variation [...] Read more.
Oblique detonation waves (ODWs) have been investigated widely aiming at facilitating their application in hypersonic engines. However, there is a lack of research on unsteady ODWs which are unavoidable in the hypersonic air-breathing scenario. In this study, unsteady ODWs triggered by the variation of the inflow Mach number (M0) have been studied and the geometric model is a tunnel with an outward-deflection upper wall to mimic an engine outlet. Numerical results demonstrate that when M0 deviates from the designed state, two typical wave structures arise, featuring a Mach stem of detonation or a post-corner recirculation zone. A sudden change in M0 leads to the transition of these two structures, generating unsteady ODWs temporally with a multi-segment-complex wave surface caused by triple points. The wave structures near the corner have been analyzed in detail, revealing how the Mach stem and the recirculation zone evolve into each other. Furthermore, the effects of unsteady ODWs on hypersonic propulsion applications have been discussed, providing possible ways to suppress the Mach stem of detonation. Full article
Show Figures

Figure 1

13 pages, 1381 KB  
Perspective
Hydrogen Application as a Fuel in Internal Combustion Engines
by Stefania Falfari, Giulio Cazzoli, Valerio Mariani and Gian Marco Bianchi
Energies 2023, 16(6), 2545; https://doi.org/10.3390/en16062545 - 8 Mar 2023
Cited by 57 | Viewed by 8925
Abstract
Hydrogen is the energy vector that will lead us toward a more sustainable future. It could be the fuel of both fuel cells and internal combustion engines. Internal combustion engines are today the only motors characterized by high reliability, duration and specific power, [...] Read more.
Hydrogen is the energy vector that will lead us toward a more sustainable future. It could be the fuel of both fuel cells and internal combustion engines. Internal combustion engines are today the only motors characterized by high reliability, duration and specific power, and low cost per power unit. The most immediate solution for the near future could be the application of hydrogen as a fuel in modern internal combustion engines. This solution has advantages and disadvantages: specific physical, chemical and operational properties of hydrogen require attention. Hydrogen is the only fuel that could potentially produce no carbon, carbon monoxide and carbon dioxide emissions. It also allows high engine efficiency and low nitrogen oxide emissions. Hydrogen has wide flammability limits and a high flame propagation rate, which provide a stable combustion process for lean and very lean mixtures. Near the stoichiometric air–fuel ratio, hydrogen-fueled engines exhibit abnormal combustions (backfire, pre-ignition, detonation), the suppression of which has proven to be quite challenging. Pre-ignition due to hot spots in or around the spark plug can be avoided by adopting a cooled or unconventional ignition system (such as corona discharge): the latter also ensures the ignition of highly diluted hydrogen–air mixtures. It is worth noting that to correctly reproduce the hydrogen ignition and combustion processes in an ICE with the risks related to abnormal combustion, 3D CFD simulations can be of great help. It is necessary to model the injection process correctly, and then the formation of the mixture, and therefore, the combustion process. It is very complex to model hydrogen gas injection due to the high velocity of the gas in such jets. Experimental tests on hydrogen gas injection are many but never conclusive. It is necessary to have a deep knowledge of the gas injection phenomenon to correctly design the right injector for a specific engine. Furthermore, correlations are needed in the CFD code to predict the laminar flame velocity of hydrogen–air mixtures and the autoignition time. In the literature, experimental data are scarce on air–hydrogen mixtures, particularly for engine-type conditions, because they are complicated by flame instability at pressures similar to those of an engine. The flame velocity exhibits a non-monotonous behavior with respect to the equivalence ratio, increases with a higher unburnt gas temperature and decreases at high pressures. This makes it difficult to develop the correlation required for robust and predictive CFD models. In this work, the authors briefly describe the research path and the main challenges listed above. Full article
(This article belongs to the Section I2: Energy and Combustion Science)
Show Figures

Figure 1

19 pages, 6204 KB  
Article
Investigation of the Effect of Nozzle on Underwater Detonation Shock Wave and Bubble Pulsation
by Chuanwei Wang, Ning Li, Xiaolong Huang and Chunsheng Weng
Energies 2022, 15(9), 3194; https://doi.org/10.3390/en15093194 - 27 Apr 2022
Cited by 7 | Viewed by 2704
Abstract
The subject of a gas jet generated by underwater detonation is an important issue in the field of underwater propulsion. The experimental system of underwater detonation is established, which utilizes a high-speed camera to record the morphological changes in bubbles and various pressure [...] Read more.
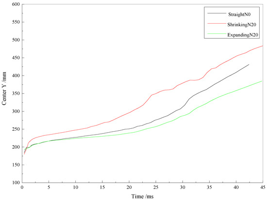
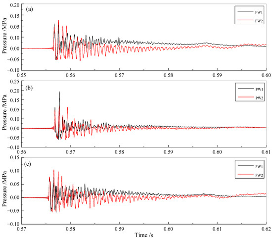
The subject of a gas jet generated by underwater detonation is an important issue in the field of underwater propulsion. The experimental system of underwater detonation is established, which utilizes a high-speed camera to record the morphological changes in bubbles and various pressure sensors to measure the flow field pressure. The effect of nozzles and the pressure of the flow field are analyzed thoroughly. The comparison of the bubble and field pressure shows that the shrinking nozzle increases the peak pressure of the transmitted shock wave generated by underwater detonation compared with that of the straight nozzle. Simultaneously, the water–air mixing phenomenon caused by the gas jet is enhanced. Under the influence of the reflected shock wave and the converging angle of the nozzle, the pulsation process of the bubble is inhibited enormously, which results in the bubble energy being substantially below that of the straight nozzle. The bubble pulsation period is 24.2 ms when the shrinking nozzle is installed, and the pressure of the bubble pulsation is quite small, only 9.8 kPa. On the contrary, the expansion angle increases the velocity of the gas jet, suppressing the water–gas mixing phenomenon while enhancing the bubble pulsation process. The bubble pulsation period is 33.0 ms when the expanding nozzle is equipped, which is larger than the 31.2 ms of the straight nozzle and the bubble pulsation pressure is higher, at 26.1 kPa. Although the bubble energy is increased when the expanding nozzle is installed, thus generating a higher pulsation pressure, the peak pressure and direction of the shock wave are changed in the water. Full article
Show Figures

Figure 1

14 pages, 27173 KB  
Article
Pore-Mouth Structure of Highly Agglomerated Detonation Nanodiamonds
by Elda Zoraida Piña-Salazar, Kento Sagisaka, Takuya Hayashi, Yoshiyuki Hattori, Toshio Sakai, Eiji Ōsawa and Katsumi Kaneko
Nanomaterials 2021, 11(11), 2772; https://doi.org/10.3390/nano11112772 - 20 Oct 2021
Cited by 1 | Viewed by 2409
Abstract
Detonation nanodiamond aggregates contain water that is removed by thermal treatments in vacuo, leaving available pores for the adsorption of target molecules. A hard hydrogel of detonation nanodiamonds was thermally treated at 423 K for 2 h, 10 h, and 52 h in [...] Read more.
Detonation nanodiamond aggregates contain water that is removed by thermal treatments in vacuo, leaving available pores for the adsorption of target molecules. A hard hydrogel of detonation nanodiamonds was thermally treated at 423 K for 2 h, 10 h, and 52 h in vacuo to determine the intensive water adsorption sites and clarify the hygroscopic nature of nanodiamonds. Nanodiamond aggregates heated for long periods in vacuo agglomerate due to the removal of structural water molecules through the shrinkage and/or collapse of the pores. The agglomerated nanodiamond structure that results from long heating periods decreases the nitrogen adsorption but increases the water adsorption by 40%. Nanodiamonds heated for long times possess ultramicropores <0.4 nm in diameter in which only water molecules can be adsorbed, and the characteristic mouth-shaped mesopores adsorb 60% more water than nitrogen. The pore mouth controls the adsorption in the mesopores. Long-term dehydration partially distorts the pore mouth, decreasing the nitrogen adsorption. Furthermore, the nitrogen adsorbed at the pore mouth suppresses additional nitrogen adsorption. Consequently, the mesopores are not fully accessible to nitrogen molecules because the pore entrances are blocked by polar groups. Thus, mildly oxidized detonation nanodiamond particles can show a unique molecular sieving behavior. Full article
(This article belongs to the Special Issue Nanodiamonds: Synthesis, Properties, and Applications)
Show Figures

Graphical abstract

22 pages, 10173 KB  
Article
Lightning Protection of the Explosion Airflow Arc-Quenching Gap for 110 kV Transmission Lines
by Dong Wu and Ju-feng Wang
Energies 2021, 14(16), 5126; https://doi.org/10.3390/en14165126 - 19 Aug 2021
Cited by 2 | Viewed by 2973
Abstract
With the increase in the voltage level and number of transmission lines, the probability of lightning strikes on transmission lines is significantly increased, while lightning breakage accidents occur frequently. Therefore, an explosion airflow arc-quenching gap for 110 kV transmission lines was developed based [...] Read more.
With the increase in the voltage level and number of transmission lines, the probability of lightning strikes on transmission lines is significantly increased, while lightning breakage accidents occur frequently. Therefore, an explosion airflow arc-quenching gap for 110 kV transmission lines was developed based on the idea of rapid extinction. A mathematical model of the detonation wave based on the CJ (Chapman–Jouget) detonation wave theory was developed to calculate the detonation air pressure and analyze its influencing factors. ANSYS software and the magnetohydrodynamic (MHD) model were used to simulate the process of detonation airflow coupled with an arc, and the simulation results indicated that the power frequency arc was evidently suppressed with the influence of airflow, which can effectively prevent arcing. A combined impulse and power frequency test and arc-quenching tests were performed to verify the effectiveness of the arc-quenching gap. The results of the combined test indicated that the arc burn time was 0.1 ms and that no power frequency continuous current was displayed. The results ensured the accuracy of the simulation model. The results of the arc-quenching tests proved that the explosion airflow can extinguish a power frequency arc with an amplitude of 40 kA in half of a power frequency arc cycle. Full article
(This article belongs to the Topic Power Distribution Systems)
Show Figures

Figure 1

13 pages, 11560 KB  
Article
Numerical Studies on Propagation Mechanisms of Gaseous Detonations in the Inhomogeneous Medium
by Jianguo Ning, Da Chen and Jian Li
Appl. Sci. 2020, 10(13), 4585; https://doi.org/10.3390/app10134585 - 2 Jul 2020
Cited by 5 | Viewed by 2111
Abstract
Numerical simulation of propagation mechanisms of gaseous detonations in the inhomogeneous medium is studied by using the reactive Euler equations coupled with a two-step chemical reaction model. The inhomogeneity is generated by placing artificial temperature perturbations with different wavelengths and amplitudes. The motivation [...] Read more.
Numerical simulation of propagation mechanisms of gaseous detonations in the inhomogeneous medium is studied by using the reactive Euler equations coupled with a two-step chemical reaction model. The inhomogeneity is generated by placing artificial temperature perturbations with different wavelengths and amplitudes. The motivation is to investigate the effect of artificial perturbations on the evolution or amplification of cellular instability. The results show that, without artificial perturbations, a planar ZND detonation can evolve into a fully-developed cellular detonation after a distance because of the amplification of the cellular instability. With the artificial perturbations evolved in, at the early stage, the artificial perturbations control the transverse wave spacing by suppressing the amplification of the cellular instability. However, after a steady-state, the cellular instability starts to amplify itself again and eventually transits to a fully-developed cellular detonation. It is demonstrated that the presence of the artificial perturbations delays the formation of the cellular detonation, and the increase of instability factor can slow down this delay. It is also found that, if the wavelength of the artificial perturbations is close to the transverse wave spacing of the cellular detonation in the homogeneous medium, synchronization of these two factors occurs, and hence a cellular detonation with extremely regular cell pattern is immediately formed. The temperature discontinuity causes the front to be more turbulent with the presence of weak triple-wave structure locally besides the natural transverse waves. The artificial perturbations can increase the intrinsic instability, and hence changes the propagation mechanism of the detonation front. In contrast, large artificial perturbations could prohibit the propagation but reduce cellular instability. It is concluded that the competition of artificial perturbations with intrinsic detonation instability dominates the evolution of cellular structures of the detonation front. Full article
Show Figures

Figure 1

14 pages, 4180 KB  
Article
Explosion Suppression Mechanism Characteristics of MEMS S&A Device With In Situ Synthetic Primer
by Hengzhen Feng, Wenzhong Lou, Dakui Wang and Fuquan Zheng
Micromachines 2018, 9(12), 652; https://doi.org/10.3390/mi9120652 - 10 Dec 2018
Cited by 7 | Viewed by 3983
Abstract
The traditional silicon-based micro-electro-mechanical systems (MEMS) safety and arming (S&A) device fuze cannot isolate abnormal outputs in the detonation environment, which creates hazards for personnel. To address this problem, we report the design of a MEMS S&A device with integrated silver, copper, nickel [...] Read more.
The traditional silicon-based micro-electro-mechanical systems (MEMS) safety and arming (S&A) device fuze cannot isolate abnormal outputs in the detonation environment, which creates hazards for personnel. To address this problem, we report the design of a MEMS S&A device with integrated silver, copper, nickel and polyimide (PI) films, which is based on the principle of a MEMS S&A device and uses copper azide as the primer. The MEMS S&A device was optimized using theoretical calculations of the explosion suppression mechanism performance in a detonation field, where the theoretical model was verified by dynamic simulation (LS-Dyna). Silicon-based MEMS processing technology was used to integrate the MEMS S&A device with energy-absorbing materials, and the device performance was compared in detonation tests. Silicon-based MEMS S&A devices with silver, copper, nickel, and PI (100-μm-thick) achieved a reliable explosion suppression mechanism capability when exposed to a detonation wave. The residual stress was measured using Raman microscopy, and the PI film exhibited the best explosion suppression mechanism performance of the four materials. A reliability test to determine the maximum explosion suppression mechanism dose for a MEMS S&A device attached to a PI film (100-μm-thick) showed that the maximum amount of primer needed for the effective explosion suppression mechanism capability on the MEMS S&A device was 0.45 mg. Full article
Show Figures

Figure 1

Back to TopTop