Unsteady Oblique Detonation Waves in a Tunnel Induced by Inflow Mach Number Variation
Abstract
1. Introduction
2. Physical and Mathematical Model
3. Results and Discussion
3.1. Basic Structures of Oblique Detonation and Resolution Study
3.2. Surface Evolution in the Structural Variation
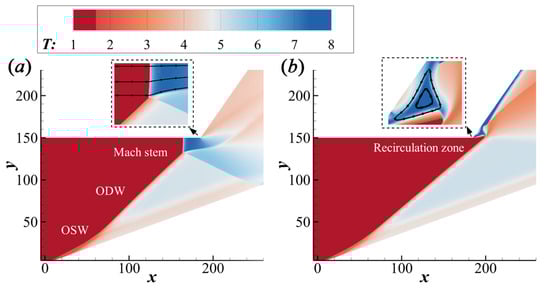
3.3. Discussion on the Near-Corner Structures
4. Conclusions
Author Contributions
Funding
Data Availability Statement
Acknowledgments
Conflicts of Interest
References
- Urzay, J. Supersonic Combustion in Air-Breathing Propulsion Systems for Hypersonic Flight. Annu. Rev. Fluid Mech. 2018, 50, 593–627. [Google Scholar] [CrossRef]
- Valorani, M.; Di Giacinto, M.; Buongiorno, C. Performance Prediction for Oblique Detonation Wave Engines (Odwe). Acta Astronautica 2001, 48, 211–228. [Google Scholar] [CrossRef]
- Chan, J.; Sislian, J.P.; Alexander, D. Numerically Simulated Comparative Performance of a Scramjet and Shcramjet at Mach 11. J. Propuls. Power 2010, 26, 1125–1134. [Google Scholar] [CrossRef]
- Alexander, D.C.; Sislian, J.P.; Parent, B. Hypervelocity Fuel/Air Mixing in Mixed-Compression Inlets of Shcramjets. AIAA J. 2006, 44, 2145–2155. [Google Scholar] [CrossRef]
- Xu, Z.; Dong, G.; Pan, Z.; Gui, M. Standing Window of Oblique Detonation with Pathological Behaviour. Chin. J. Aeronaut. 2021, 34, 496–503. [Google Scholar] [CrossRef]
- Sislian, J.P.; Martens, R.P.; Schwartzentruber, T.E.; Parent, B. Numerical Simulation of a Real Shcramjet Flowfield. J. Propuls. Power 2006, 22, 1039–1048. [Google Scholar] [CrossRef]
- Rosato, D.A.; Thornton, M.; Sosa, J.; Bachman, C.; Goodwin, G.B.; Ahmed, K.A. Stabilized Detonation for Hypersonic Propulsion. Proc. Natl. Acad. Sci. USA 2021, 118, e2102244118. [Google Scholar] [CrossRef]
- Powers, J.M.; Gonthier, K.A. Reaction Zone Structure for Strong, Weak Overdriven, and Weak Underdriven Oblique Detonations. Phys. Fluids A Fluid Dyn. 1992, 4, 2082–2089. [Google Scholar] [CrossRef]
- Li, C.; Kailasanath, K.; Oran, E.S. Detonation Structures behind Oblique Shocks. Phys. Fluids 1994, 6, 1600–1611. [Google Scholar] [CrossRef]
- Choi, J.-Y.; Kim, D.-W.; Jeung, I.-S.; Ma, F.; Yang, V. Cell-like Structure of Unstable Oblique Detonation Wave from High-Resolution Numerical Simulation. Proc. Combust. Inst. 2007, 31, 2473–2480. [Google Scholar] [CrossRef]
- Verreault, J.; Higgins, A.J. Initiation of Detonation by Conical Projectiles. Proc. Combust. Inst. 2011, 33, 2311–2318. [Google Scholar] [CrossRef]
- Gao, Y.; Li, H.; Xiang, G.; Peng, S. Initiation Characteristics of Oblique Detonation Waves from a Finite Wedge under Argon Dilution. Chin. J. Aeronaut. 2021, 34, 81–90. [Google Scholar] [CrossRef]
- Zhu, Y.-J.; Dong, G.; Liu, Y.-X.; Fan, B.-C.; Jiang, H. Effect of Chemical Reactivity on the Detonation Initiation in Shock Accelerated Flow in a Confined Space. Acta Mech. Sin. 2013, 29, 54–61. [Google Scholar] [CrossRef]
- Verreault, J.; Higgins, A.J.; Stowe, R.A. Formation and Structure of Steady Oblique and Conical Detonation Waves. AIAA J. 2012, 50, 1766–1772. [Google Scholar] [CrossRef]
- Miao, S.; Zhou, J.; Liu, S.; Cai, X. Formation Mechanisms and Characteristics of Transition Patterns in Oblique Detonations. Acta Astronaut. 2018, 142, 121–129. [Google Scholar] [CrossRef]
- Zhang, Y.; Fang, Y.; Ng, H.D.; Teng, H. Numerical Investigation on the Initiation of Oblique Detonation Waves in Stoichiometric Acetylene–Oxygen Mixtures with High Argon Dilution. Combust. Flame 2019, 204, 391–396. [Google Scholar] [CrossRef]
- Iwata, K.; Nakaya, S.; Tsue, M. Wedge-Stabilized Oblique Detonation in an Inhomogeneous Hydrogen–Air Mixture. Proc. Combust. Inst. 2017, 36, 2761–2769. [Google Scholar] [CrossRef]
- Fang, Y.; Hu, Z.; Teng, H.; Jiang, Z.; Ng, H.D. Numerical Study of Inflow Equivalence Ratio Inhomogeneity on Oblique Detonation Formation in Hydrogen–Air Mixtures. Aerosp. Sci. Technol. 2017, 71, 256–263. [Google Scholar] [CrossRef]
- Li, J.; Pan, J.; Jiang, C.; Ni, J.; Pan, Z.; Otchere, P. Effect of Hydrogen Addition on the Detonation Performances of Methane/Oxygen at Different Equivalence Ratios. Int. J. Hydrogen Energy 2019, 44, 27974–27983. [Google Scholar] [CrossRef]
- Papalexandris, M.V. A Numerical Study of Wedge-Induced Detonations. Combust. Flame 2000, 120, 526–538. [Google Scholar] [CrossRef]
- Choi, J.-Y.; Shin, E.J.-R.; Jeung, I.-S. Unstable Combustion Induced by Oblique Shock Waves at the Non-Attaching Condition of the Oblique Detonation Wave. Proc. Combust. Inst. 2009, 32, 2387–2396. [Google Scholar] [CrossRef]
- Xiang, G.; Zhang, Y.; Gao, X.; Li, H.; Huang, X. Oblique Detonation Waves Induced by Two Symmetrical Wedges in Hydrogen-Air Mixtures. Fuel 2021, 295, 120615. [Google Scholar] [CrossRef]
- Wang, K.; Teng, H.; Yang, P.; Ng, H.D. Numerical Investigation of Flow Structures Resulting from the Interaction between an Oblique Detonation Wave and an Upper Expansion Corner. J. Fluid Mech. 2020, 903, A28. [Google Scholar] [CrossRef]
- Wang, K.; Yang, P.; Teng, H. Steadiness of Wave Complex Induced by Oblique Detonation Wave Reflection before an Expansion Corner. Aerosp. Sci. Technol. 2021, 112, 106592. [Google Scholar] [CrossRef]
- Shi, X.; Zhu, Y.; Yang, J.; Luo, X. Mach Stem Deformation in Pseudo-Steady Shock Wave Reflections. J. Fluid Mech. 2019, 861, 407–421. [Google Scholar] [CrossRef]
- Wang, H.; Zhai, Z.; Luo, X.; Yang, J.; Lu, X. A Specially Curved Wedge for Eliminating Wedge Angle Effect in Unsteady Shock Reflection. Phys. Fluids 2017, 29, 086103. [Google Scholar] [CrossRef]
- Han, Y.; Shen, C.; Du, Z.; Tang, H. Numerical Study of the Induced Shock on the Mixing Augmentation of Hydrogen Counter-Flow Jet in the Supersonic Flow. Aerospace 2022, 9, 506. [Google Scholar] [CrossRef]
- Liu, Y.; Wang, L.; Xiao, B.; Yan, Z.; Wang, C. Hysteresis Phenomenon of the Oblique Detonation Wave. Combust. Flame 2018, 192, 170–179. [Google Scholar] [CrossRef]
- Qin, Q.; Zhang, X. Study on the Transition Patterns of the Oblique Detonation Wave with Varying Temperature of the Hydrogen-Air Mixture. Fuel 2020, 274, 117827. [Google Scholar] [CrossRef]
- Yang, P.; Ng, H.D.; Teng, H. Numerical Study of Wedge-Induced Oblique Detonations in Unsteady Flow. J. Fluid Mech. 2019, 876, 264–287. [Google Scholar] [CrossRef]
- Yang, P.; Ng, H.D.; Teng, H. Unsteady Dynamics of Wedge-Induced Oblique Detonations under Periodic Inflows. Phys. Fluids 2021, 33, 016107. [Google Scholar] [CrossRef]
- Mi, X.; Higgins, A.J.; Goroshin, S.; Bergthorson, J.M. The Influence of Spatial Discreteness on the Thermo-Diffusive Instability of Flame Propagation with Infinite Lewis Number. Proc. Combust. Inst. 2017, 36, 2359–2366. [Google Scholar] [CrossRef]
- Kasimov, A.R. Reactive Burgers Model for Detonation Propagation in a Non-Uniform Medium. Proc. Combust. Inst. 2021, 8, 3725–3732. [Google Scholar] [CrossRef]
- Kim, M. Nonlinear Dynamics and Chaos Regularization of One-Dimensional Pulsating Detonations with Small Sinusoidal Density Perturbations. Proc. Combust. Inst. 2021, 8, 3701–3708. [Google Scholar] [CrossRef]
- Gui, M.-Y.; Fan, B.-C.; Dong, G. Periodic Oscillation and Fine Structure of Wedge-Induced Oblique Detonation Waves. Acta Mech. Sin. 2011, 27, 922–928. [Google Scholar] [CrossRef]
- Ning, J.; Chen, D.; Li, J. Numerical Studies on Propagation Mechanisms of Gaseous Detonations in the Inhomogeneous Medium. Appl. Sci. 2020, 13, 4585. [Google Scholar] [CrossRef]
- Xi, X.; Teng, H.; Chen, Z.; Yang, P. Effects of Longitudinal Disturbances on Two-Dimensional Detonation Waves. Phys. Rev. Fluids 2022, 7, 043201. [Google Scholar] [CrossRef]
- Niu, S.; Yang, P.; Yang, Y.; Teng, H. Numerical study of the effect of a sudden change in inflow velocity on the stability of an oblique detonation reflected wave system. Sci. Sin.-Phys. Mech. Astron. 2023, 53, 234711. [Google Scholar] [CrossRef]
- Teng, H.; Bian, J.; Zhou, L.; Zhang, Y. A Numerical Investigation of Oblique Detonation Waves in Hydrogen-Air Mixtures at Low Mach Numbers. Int. J. Hydrogen Energy 2021, 46, 10984–10994. [Google Scholar] [CrossRef]
- Da Silva, L.F.; Deshaies, B. Stabilization of an Oblique Detonation Wave by a Wedge: A Parametric Numerical Study. Combust. Flame 2000, 121, 152–166. [Google Scholar] [CrossRef]
- Zhang, Y.; Yang, P.; Teng, H.; Ng, H.D.; Wen, C. Transition Between Different Initiation Structures of Wedge-Induced Oblique Detonations. AIAA J. 2018, 56, 4016–4023. [Google Scholar] [CrossRef]
- Yan, C.; Teng, H.H.; Mi, X.C.; Ng, H.D. The Effect of Chemical Reactivity on the Formation of Gaseous Oblique Detonation Waves. Aerospace 2019, 6, 62. [Google Scholar] [CrossRef]
- Ng, H.D.; Radulescu, M.I.; Higgins, A.J.; Nikiforakis, N.; Lee, J.H.S. Numerical Investigation of the Instability for One-Dimensional Chapman–Jouguet Detonations with Chain-Branching Kinetics. Combust. Theory Model. 2005, 9, 385–401. [Google Scholar] [CrossRef]











Disclaimer/Publisher’s Note: The statements, opinions and data contained in all publications are solely those of the individual author(s) and contributor(s) and not of MDPI and/or the editor(s). MDPI and/or the editor(s) disclaim responsibility for any injury to people or property resulting from any ideas, methods, instructions or products referred to in the content. |
© 2023 by the authors. Licensee MDPI, Basel, Switzerland. This article is an open access article distributed under the terms and conditions of the Creative Commons Attribution (CC BY) license (https://creativecommons.org/licenses/by/4.0/).
Share and Cite
Niu, S.; Yang, P.; Wang, K.; Teng, H. Unsteady Oblique Detonation Waves in a Tunnel Induced by Inflow Mach Number Variation. Aerospace 2023, 10, 330. https://doi.org/10.3390/aerospace10040330
Niu S, Yang P, Wang K, Teng H. Unsteady Oblique Detonation Waves in a Tunnel Induced by Inflow Mach Number Variation. Aerospace. 2023; 10(4):330. https://doi.org/10.3390/aerospace10040330
Chicago/Turabian StyleNiu, Shuzhen, Pengfei Yang, Kuanliang Wang, and Honghui Teng. 2023. "Unsteady Oblique Detonation Waves in a Tunnel Induced by Inflow Mach Number Variation" Aerospace 10, no. 4: 330. https://doi.org/10.3390/aerospace10040330
APA StyleNiu, S., Yang, P., Wang, K., & Teng, H. (2023). Unsteady Oblique Detonation Waves in a Tunnel Induced by Inflow Mach Number Variation. Aerospace, 10(4), 330. https://doi.org/10.3390/aerospace10040330

