Hydrogen Application as a Fuel in Internal Combustion Engines
Abstract
1. Hydrogen Behavior as a Fuel: Advantages
2. Hydrogen Behavior as a Fuel: Criticalities
3. Comparison between Hydrogen and Other Fuels for ICE Applications
4. Design of the Hydrogen Fueled Engine: Main Challenges
- Low energy per unit volume (related to the low density of hydrogen gas), requiring the adoption of high-pressure storage tanks (commonly 700 bar) [3].
- High flammability range (equivalence ratio in air from 0.1 to 7.1) and very low minimum ignition energy [2,5]—an order of magnitude lower than those of fossil-fuel–air mixtures at stoichiometric ratios. Both of these features, which can be major benefits in terms of fuel economy, could induce combustion control problems (pre-ignition and detonation) because they expose the engine to uncontrolled ignition due to hot spots and hot gases, which act as ignition sources. The adoption of hydrogen direct injection (DI) solves the problem of pre-ignition in the intake manifold, but the risk of detonation remains in the cylinder due to the high speed of the flame, and therefore, the high rate of pressure increase in the cylinder during combustion [2,8].
- Very high laminar flame speed (LFS), from 3 to 5 times that of gasoline, in a wide range of equivalence ratios (from 0.5 to 3.5). The combustion of hydrogen is almost isochore for the stoichiometric air-to-fuel ratios (the effective cycle is close to the thermodynamically ideal engine cycle in stoichiometric air-fuel conditions): the need for reducing and control the development of the combustion flame imposes a maximum equivalence ratio value in air of 0.6 [2], which reduces nitrogen oxides emissions and distances pre-ignition (more accentuated at the stoichiometric level), while also improving fuel economy.
- Very low quenching distance: hydrogen flames travel closer to the cylinder wall before extinguishing than other fuels [3]. They are relatively short-lived, as they ignite rapidly [2]. This significantly impacts the combustion in the gaps between the cylinder and piston and increases the evaporation of the lubricant (oil particulate formation).
- High diffusivity, which improves the homogenization of the mixture but makes it difficult to stratify the mixture [16].
- Defining the chemical properties of hydrogen (LFS and ignition delay time (IDT)) to correctly predict the initiation and development of the hydrogen flame in the combustion chamber under typical operating conditions of a real engine.
- Injection of hydrogen gas.
- Ignition system: a suitable ignition system could be adopted to prevent autoignition of the hydrogen-based mixture due to hot spots on/around the spark plug [21].
- Oil–fuel dilution must be simulated to prevent oil particulate formation.
5. Definition of the Chemical Properties of Hydrogen-Based Mixtures
- (i).
- The performance of the correlation cannot be verified experimentally, since hydrogen flames are unstable at high pressures. However, the hypothetical stable flame speeds predicted by the kinetic model serve as reasonable estimates for the design codes of the engine.
- (ii).
- The pressure-dependence of the hydrogen kinetics is extremely complex, and the correlations available in the literature often fail to adequately capture the modeled data due to inadequate functional formulation.
- The experimental measurement of the LFS is limited to pressure and temperature conditions far from those typical of an internal combustion engine:
- Pressure and temperature values normally close to the ambient.
- A few experiments used pressures of up to 10 bar and temperatures of up to 400 K [23].
- In Figure 1a, the authors verified the effectiveness of different kinetic schemes [24,25,26] at reproducing the experimental data available in [27] obtained at 1 bar and 303 K. Only under lean conditions (see Figure 1b) did the various schemes substantially agree with the experimental results [27]. In addition, it is worth mentioning that, in general, a wide range of experimental results are available in the literature due to the influence of the flame-stretching rate on the experimentally observed burning rates [22,28], which accelerates the flame or increases its speed: by definition, the laminar flame velocity must be at a zero flame-stretch rate.
- An alternative solution is to test reaction mechanisms based on autoignition times measured in shock tubes, as suggested by Verhelst et al. [22].
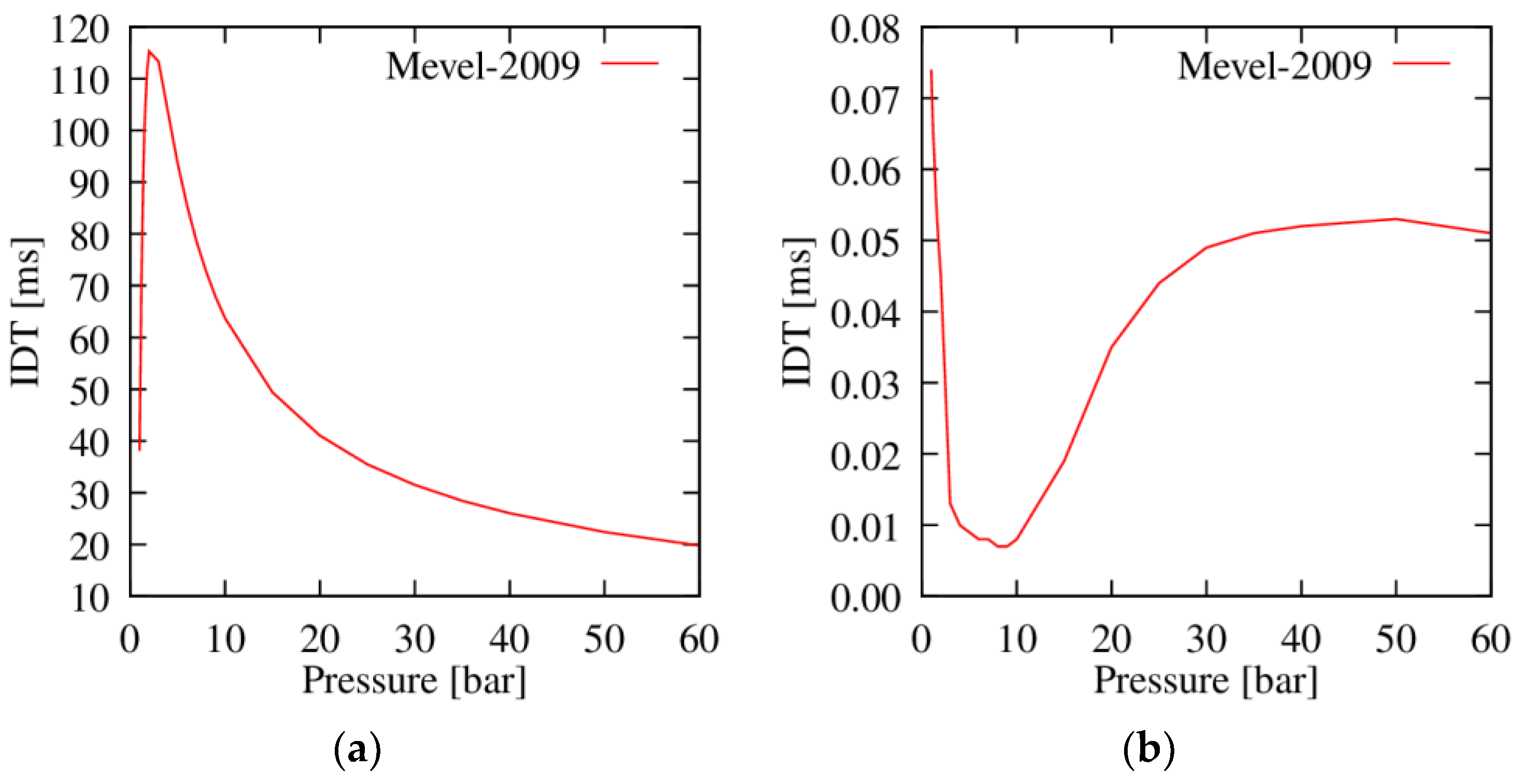
- For the same reason just explained, the IDT measurement is often performed at low pressures (a few bars) or with very dilute mixtures (usually in argon rather than in air). In some cases, as in [23], the performance of the kinetic model at elevated pressures could be evaluated by ignition delay times from shock-tube experiments when stable flame rate data could not be obtained. As for LFS, the IDT is a function of the chemical and physical properties of the mixture itself. Hydrogen has IDT values that drastically reduce at a temperature of around 1000 K (see Figure 2b, where the IDT drops by at least three orders of magnitude at 1200 K compared to the values obtained at 900 K in Figure 2a). This is a critical element in combustion because the high flame speed of hydrogen induces very rapid, almost isochore combustion. Therefore, the in-cylinder charge reaches high-temperature values, and the risk of abnormal combustion becomes very high.
- Outside these fields, measurement is replaced by calculation using complex kinetic schemes, validated on the previously mentioned experimental tests. The validation of the kinetic scheme is limited to the available experimental range.
- Once validated (in a very limited range of pressure and temperature), the chemical kinetic calculations allow one to extrapolate the “engine points” in the working space of pressure, temperature and effective composition of the mixture. The kinetic scheme adopted here is that of Mevel et al. [26]. In Figure 3, the LFS is plotted as a function of pressure and temperature values, in ranges of interest for engine applications, for an equivalence ratio of 0.5. The green square shows the range of experimentally tested pressure and temperature values. At the same time, the red point indicates a possible pressure–temperature point of interest typical of engine applications (data extrapolated after validation of the kinetic scheme). There is no certainty about the goodness of the results extrapolated outside the experimental range, as previously explained.
- Finally, the results of the chemical kinetic computations under engine-type conditions are estimated by correlations [23] or look-up tables, which will be inserted into the 3D CFD codes. The estimation process is non-trivial, and efforts must be made to define correlations capable of reproducing the results of the chemical kinetic simulation under a wide range of engine-like conditions.
6. Gas Injection
7. Ignition System
8. Oil–Fuel Dilution
9. Conclusions
- Elimination of abnormal combustions: The direct injection of gaseous hydrogen into the combustion chamber reduces the risk of backfire and pre-ignition in the intake manifold. The adoption of diluted hydrogen–air mixtures eliminates the risk of detonation (knock).
- Management of pre-ignition in the hot areas around the spark plug: It is necessary to use cooled spark plugs or unconventional ignition systems based on the Corona discharge effect. Such unconventional ignition systems are suitable for the ignition of very dilute hydrogen–air mixtures.
- Definition of the optimal layout and shape of the injector (number of holes, diameter and relative position on the injector tip).
Author Contributions
Funding
Data Availability Statement
Conflicts of Interest
Nomenclature
| CFD | Computational Fluid Dynamics |
| DI | Direct Injection |
| EGR | Exhaust gas Recirculation |
| IDT | Ignition Delay Time |
| FC | Fuel Cell |
| Fuel Cell | FC |
| ICE | Internal Combustion Engine |
| IVC | Inlet Valve Closure |
| LES | Large Eddy Simulation |
| LFS | Laminar Flame Speed |
| NOx | Oxides of nitrogen |
| p | Pressure [bar] |
| PFI | Port Fuel Injection |
| RANS | Reynolds-Averaged Navier-Stokes |
| SI | Spark Ignition |
| SOI | Start Of Injection |
| T | Temperature [K] |
| TDC | Top Dead Center |
| x | Mixture composition |
| ϕ | Equivalence ratio |
References
- Karim, G.A. Hydrogen as a spark ignition engine fuel. Int. J. Hydrogen Energy 2003, 28, 569–577. [Google Scholar] [CrossRef]
- Srinivasan, C.B.; Subramanian, R. Hydrogen as a Spark Ignition Engine Fuel Technical Review. Int. J. Mech. Mechatron. Eng. IJMME-IJENS 2014, 14, 111–117. [Google Scholar]
- Wallner, T. Efficiency and Emissions Potential of Hydrogen Internal Combustion Engine Vehicles; SAE Technical Paper; SAE International: Warrendale, PA, USA, 2011. [Google Scholar] [CrossRef]
- Bradley, D.; Cavaliere, A.; De Joannon, M.; Dunn-Rankin, D.; Evans, R.L.; Keller, J.; Levinsky, H.; McDonell, V.; Miyasato, M.M.; Pham, T.K.; et al. Lean Combustion—Technology and Control, AP. ed. Derek Dunn-Rankin. Available online: https://ftp.idu.ac.id/wp-content/uploads/ebook/tdg/ADVANCED%20ENGINE%20TECHNOLOGY%20AND%20PERFORMANCE/epdf.pub_lean-combustion-technology-andcontrol.pdf (accessed on 28 December 2022).
- Ceviz, M.A.; Kaymaz, I. Temperature and air–fuel ratio dependent specific heat ratio functions for lean burned and unburned mixture. Energy Convers. Manag. 2005, 46, 2387–2404. [Google Scholar] [CrossRef]
- Verhelst, S.; Sierens, R.; Verstraeten, S. A Critical Review of Experimental Research on Hydrogen Fueled SI Engines. SAE Trans. 2006, 115, 264–274. [Google Scholar] [CrossRef]
- Negurescu, N.; Pana, C.; Popa, M.G.; Soare, D. Aspects Regarding the Combustion of Hydrogen in Spark Ignition Engine; SAE Technical Paper; SAE International: Warrendale, PA, USA, 2006. [Google Scholar] [CrossRef]
- Murat, C.; Hüseyin, K. Hydrogen Use In Internal Combustion Engine: A Review. Int. J. Automot. Eng. Technol. 2012, 1, 1–15. [Google Scholar]
- Arpaia, F. Laminar Flame Speed Prediction for Natural Gas/Hydrogen Blends and Application to the Combustion Modeling in IC Engines. Available online: https://webthesis.biblio.polito.it/secure/10725/1/tesi.pdf (accessed on 2 March 2023).
- Cardoso, J.S.; Silva, V.; Rocha, R.C.; Hall, M.J.; Costa, M.; Eusébio, D. Ammonia as an Energy Vector: Current and Future Prospects for Low-Carbon Fuel Applications in Internal Combustion Engines. J. Clean. Prod. 2021, 296, 126562. [Google Scholar] [CrossRef]
- Rocha, R.C.; Ramos, C.F.; Costa, M.R.; Bai, X.-S. Combustion of NH3/CH4/air and NH3/H2/air mixtures in a porous burner: Experiments and kinetic modeling. Energy Fuels 2019, 33, 12767–12780. [Google Scholar] [CrossRef]
- Gross, C.W.; Kong, S.-C. Performance characteristics of a compression-ignition engine using direct-injection ammonia-DME mixtures. Fuel 2013, 103, 1069–1079. [Google Scholar] [CrossRef]
- Agarwal, A.K. Biofuels (Alcohols and Biodiesel) Applications as Fuels for Internal Combustion Engines. Prog. Energy Combust. Sci. 2007, 33, 233–271. [Google Scholar] [CrossRef]
- Agarwal, A.K.; Das, L.M. Biodiesel development and characterization for use as a fuel in compression ignition engine. J. Eng. Gas Turbines Power 2001, 123, 440–447. [Google Scholar] [CrossRef]
- Scholl, K.W.; Sorenson, S.C. Combustion of Soyabean Oil Methyl Ester in a Direct Injection Diesel Engine; SAE Paper No. 930934; SAE International: Warrendale, PA, USA, 1983. [Google Scholar]
- Stepie’n, Z.A. Hydrogen-Fueled Internal Combustion Engines: Achievements and Future Challenges. Energies 2021, 14, 6504. [Google Scholar] [CrossRef]
- Das, L.M. Exhaust emission characterization of hydrogen-operated engine system: Nature of pollutants and their control techniques. Int. J. Hydrogen Energy 1991, 16, 765–775. [Google Scholar] [CrossRef]
- Heffel, J.W. NOx emission reduction in a hydrogen fueled internal combustion engine at 3000 rpm using exhaust gas recirculation. Int. J. Hydrogen Energy 2003, 28, 1285–1292. [Google Scholar] [CrossRef]
- Stebar, R.; Parks, F. Emission Control with Lean Operation Using Hydrogen-Supplemented Fuel; SAE Technical Paper; SAE International: Warrendale, PA, USA, 1974. [Google Scholar] [CrossRef]
- Kiesgen, G.; Klüting, M.; Bock, C.; Fischer, H. The New 12-Cylinder Hydrogen Engine in the 7 Series: The H2 ICE Age Has Begun; SAE Technical Paper; SAE International: Warrendale, PA, USA, 2006. [Google Scholar] [CrossRef]
- Boeck, L.R.; Melguizo-Gavinales, J.; Sheperd, J.E. Hot surface ignition dynamics in premixed hydrogen–air near the lean flammability limit. Combust. Flame 2019, 210, 467–478. [Google Scholar] [CrossRef]
- Verhelst, S.; T’Joen, C.; Vancoillie, J.; Demuynck, J. A correlation for the laminar burning velocity for use in hydrogen spark ignition engine simulation. Int. J. Hydrogen Energy 2011, 36, 957–974. [Google Scholar] [CrossRef]
- Ravi, S.; Petersen, E.L. Laminar flame speed correlations for pure-hydrogen and high-hydrogen content syngas blends with various diluents. Int. J. Hydrogen Energy 2012, 37, 19177–19189. [Google Scholar] [CrossRef]
- Ranzi, E.; Frassoldati, A.; Stagni, A.; Pelucchi, M.; Cuoci, A.; Faravelli, T. Reduced Kinetic Schemes of Complex Reaction Systems: Fossil and Biomass-Derived Transportation Fuels. Int. J. Chem. Kinet. 2014, 46, 512–542. [Google Scholar] [CrossRef]
- Alekseev, V.A.; Christensen, M.; Konnov, A.A. The effect of temperature on the adiabatic burning velocities of diluted hydrogen flames: A kinetic study using an updated mechanism. Combust. Flame 2015, 162, 1884–1898. [Google Scholar] [CrossRef]
- Me’vel, R.; Javoy, S.; Lafosse, F.; Chaumeix, N.; Dupre´, G.; Paillard, C.-E. Hydrogen–nitrous oxide delay times: Shock tube experimental study and kinetic modelling. Proc. Combust. Inst. 2009, 32, 359–366. [Google Scholar] [CrossRef]
- Dayma, G.; Halter, F.; Dagaut, P. New insights into the peculiar behavior of laminar burning velocities of hydrogen–air flames according to pressure and equivalence ratio. Combust. Flame 2014, 161, 2235–2241. [Google Scholar] [CrossRef]
- Bradley, D.; Lawes, M.; Kexin, L.; Verhelst, S.; Woolley, R. Laminar burning velocities of lean hydrogen–air mixtures at pressures up to 1.0 MPa. Combust. Flame 2007, 149, 162–172. [Google Scholar] [CrossRef]
- Smith, G.P.; Golden, D.M.; Frenklach, M.; Moriarty, N.W.; Eiteneer, B.; Goldenberg, M.; Bowman, C.T.; Hanson, R.K.; Song, S.; Gardiner, W.C.; et al. GRI-Mech 3.0. Last Visited December 2022. Available online: http://combustion.berkeley.edu/gri-mech/version30/text30.html (accessed on 15 December 2022).
- Scarcelli, R.; Wallner, T.; Obermair, H.; Salazar, V.; Kaiser, S.A. CFD And Optical Investigations Of Fluid Dynamics And Mixture Formation in a DI-H2ICE. ASME ICEF 2010, 2010, 14. [Google Scholar] [CrossRef]
- Scarcelli, R.; Wallner, T.; Matthias, N.; Salazar, V.; Kaiser, S. Mixture Formation in Direct Injection Hydrogen Engines: CFD and Optical Analysis of Single- and Multi-Hole Nozzles. SAE Int. J. Engines 2011, 4, 2361–2375. [Google Scholar] [CrossRef]
- Owston, R.; Magi, V.; Abraham, J. Fuel-Air Mixing Characteristics of DI Hydrogen Jets. SAE Int. J. Engines 2008, 1, 693–712. [Google Scholar] [CrossRef]
- Wallner, T.; Nande, A.; Naber, J. Evaluation of Injector Location and Nozzle Design in a Direct-Injection Hydrogen Research Engine; SAE Technical Paper; SAE International: Warrendale, PA, USA, 2008. [Google Scholar] [CrossRef]
- Scarcelli, R.; Wallner, T.; Matthias, N.; Salazar, V.; Kaiser, S. Numerical and Optical Evolution of Gaseous Jets in Direct Injection Hydrogen Engines; SAE Technical Paper; SAE International: Warrendale, PA, USA, 2011. [Google Scholar] [CrossRef]
- Scarcelli, R. High-Pressure Gaseous Injection: A Comprehensive Analysis Of Gas Dynamics And Mixing Effects. In Proceedings of the ASME 2012 Internal Combustion Engine Division Fall Technical Conference ICEF2012, Vancouver, BC, Canada, 23–26 September 2012. [Google Scholar] [CrossRef]
- Ruggles, A.J.; Ekoto, I.W. Ignitability and mixing of underexpanded hydrogen jets. Int. J. Hydrogen Energy 2012, 37, 17549–17560. [Google Scholar] [CrossRef]
- Hamzehloo, A.; Aleiferis, P.G. Gas dynamics and flow characteristics of highly turbulent under-expanded hydrogen and methane jets under various nozzle pressure ratios and ambient pressures. Int. J. Hydrogen Energy 2016, 41, 6544–6566. [Google Scholar] [CrossRef]
- Sukumaran, S.; Kong, S.-C. Numerical study on mixture formation characteristics in a direct-injection hydrogen engine. Int. J. Hydrogen Energy 2010, 35, 7991–8007. [Google Scholar] [CrossRef]
- Johnson, N.L.; Amsden, A.A.; Naber, J.D.; Siebers, D.L. Three-dimensional computer modeling of hydrogen injection and combustion. In Proceedings of the ’95 SMC Simulation Multiconference, Phoenix, AZ, USA, 9–13 April 1995. [Google Scholar]
- Hamzehloo, A.; Aleiferis, P. Computational Study of Hydrogen Direct Injection for Internal Combustion Engines; SAE Technical Paper; SAE International: Warrendale, PA, USA, 2013. [Google Scholar] [CrossRef]
- Yamane, K.; Nogami, M.; Umemura, Y.; Oikawa, M.; Sato, Y.; Goto, Y. Development of High Pressure H2 Gas Injectors, Capable of Injection at Large Injection Rate and High Response Using a Common-Rail Type Actuating System for a 4-Cylinder, 4.7-Liter Total Displacement, Spark Ignition Hydrogen Engine; SAE Technical Paper; SAE International: Warrendale, PA, USA, 2011. [Google Scholar]
- Hampe, C.; Kubach, H.; Spicher, U.; Rixecker, G.; Bohne, S. Investigations of Ignition Processes Using High Frequency Ignition; SAE Technical Paper; SAE International: Warrendale, PA, USA, 2013. [Google Scholar] [CrossRef]
- Cimarello, A.; Grimaldi, C.N.; Mariani, F.; Battistoni, M.; Dal Re, M. Analysis of RF Corona Ignition in Lean Operating Conditions Using an Optical Access Engine; SAE Technical Paper; SAE International: Warrendale, PA, USA, 2017. [Google Scholar] [CrossRef]
- Pineda, I.D.; Wolk, B.; Chen, J.; Dibble, R.W. Application of Corona Discharge Ignition in a Boosted Direct-Injection Single Cylinder Gasoline Engine: Effects on Combustion Phasing, Fuel Consumption, and Emissions. SAE Int. J. Engines 2016, 9, 1970–1988. [Google Scholar] [CrossRef]
- Chen, J.; Davidson, J.H. Electron Density and Energy Distributions in the Positive DC Corona: Interpretation for Corona-Enhanced Chemical Reactions. Plasma Chem. Plasma Process. 2002, 22, 199–224. [Google Scholar] [CrossRef]
- La Civita, G.; Orlandi, F.; Mariani, V.; Cazzoli, G.; Ghedini, E. Numerical Characterization of Corona Spark Plugs and Its Effects on Radicals Production. Energies 2021, 14, 381. [Google Scholar] [CrossRef]
- Mariani, V.; La Civita, G.; Pulga, L.; Ugolini, E.; Ghedini, E.; Falfari, S.; Cazzoli, G.; Bianchi, G.M.; Forte, C. Numerical Evaluation of the Effect of Fuel Blending with CO2 and H2 on the Very Early Corona-Discharge Behavior in Spark Ignited Engines. Energies 2022, 15, 1426. [Google Scholar] [CrossRef]
- De Renzis, E.; Mariani, V.; Bianchi, G.M.; Cazzoli, G.; Falfari, S.; Antetomaso, C.; Irimescu, A. Implementation of a Multi-Zone Numerical Blow-by Model and Its Integration with CFD Simulations for Estimating Collateral Mass and Heat Fluxes in Optical Engines. Energies 2021, 14, 8566. [Google Scholar] [CrossRef]
- Mariani, V.; Bianchi, G.M.; Cazzoli, G.; Falfari, S. A one-dimensional model for the motor oil-fuel dilution under gasoline engine boundary conditions. E3S Web Conf. 2020, 197, 06004. [Google Scholar] [CrossRef]
- De Renzis, E.; Mariani, V.; Bianchi, G.M.; Falfari, S.; Cazzoli, G. Application of a one-dimensional fuel-oil dilution model coupled with an empirical droplet-to-film formation strategy for predicting in-cylinder oil effects in a direct injection engine. J. Phys. 2022, 2385, 012063. [Google Scholar] [CrossRef]



| Properties | Diesel | Gasoline | Hydrogen | Ammonia | Methane |
|---|---|---|---|---|---|
| Flame velocity [cm/s] | 30 | 37–43 | 265–325 | 70 | 38 |
| Lower heating value [MJ/kg] | 42.5 | 44.0 | 120.0 | 22.5 | 50.0 |
| Autoignition Temperature [°C] | 180–320 | 260–460 | 585 | 651 | 540–630 |
| References | Number of Nozzle Holes | Hole Diameter [mm] | Exit-to-Chamber Pressure Ratio | Injection Pressure [bar] | Experimental Facility | CFD Code | Injector Location on Engine |
|---|---|---|---|---|---|---|---|
| Ruggles [36] | 1 | 1.5 | 10.00 | - | Chamber | - | - |
| Scarcelli ICEF 2012 [35] | 1 | 1.0 | - | 100 | Chamber | Fluent | - |
| Owston [32] | 1 | 0.6 | 5.56 | 52.66 | - | Code by Owston [32] | - |
| 1.0 | 21.47 | 21.47 | - | - | |||
| 0.4 | 113.5 | 113.5 | - | - | |||
| Wallner [33] | 6 symmetric | - | - | 100.0 | Research engine | - | Central |
| 6 symmetric | - | - | - | Side (between intake valves) | |||
| 5 asymmetric | - | - | - | Side (between intake valves) and pointed toward spark plug | |||
| 5 asymmetric | - | - | - | Side and pointed to piston surface | |||
| Yamane [41] | 1 | 0.028 | - | 100–200 | Common rail setup | - | - |
| Sukumaran [38] | 1 | 0.25 | 3.34 | 207 | - | KIVA-4 | - |
| Scarcelli SAEJ2011 [31] | 12 + 1 | 12 × 0.36 + 1 × 0.38 | - | 15/100 | Optical engine | - | - |
| 1 | 1.46 | - | - | - | |||
| Hamzehloo [37] | 6 | Stepped injector: 0.2 to 0.4 | - | 70/100 | - | STAR-CCM+ | - |
Disclaimer/Publisher’s Note: The statements, opinions and data contained in all publications are solely those of the individual author(s) and contributor(s) and not of MDPI and/or the editor(s). MDPI and/or the editor(s) disclaim responsibility for any injury to people or property resulting from any ideas, methods, instructions or products referred to in the content. |
© 2023 by the authors. Licensee MDPI, Basel, Switzerland. This article is an open access article distributed under the terms and conditions of the Creative Commons Attribution (CC BY) license (https://creativecommons.org/licenses/by/4.0/).
Share and Cite
Falfari, S.; Cazzoli, G.; Mariani, V.; Bianchi, G.M. Hydrogen Application as a Fuel in Internal Combustion Engines. Energies 2023, 16, 2545. https://doi.org/10.3390/en16062545
Falfari S, Cazzoli G, Mariani V, Bianchi GM. Hydrogen Application as a Fuel in Internal Combustion Engines. Energies. 2023; 16(6):2545. https://doi.org/10.3390/en16062545
Chicago/Turabian StyleFalfari, Stefania, Giulio Cazzoli, Valerio Mariani, and Gian Marco Bianchi. 2023. "Hydrogen Application as a Fuel in Internal Combustion Engines" Energies 16, no. 6: 2545. https://doi.org/10.3390/en16062545
APA StyleFalfari, S., Cazzoli, G., Mariani, V., & Bianchi, G. M. (2023). Hydrogen Application as a Fuel in Internal Combustion Engines. Energies, 16(6), 2545. https://doi.org/10.3390/en16062545

