Sign in to use this feature.

Years

Between: -

Subjects

remove_circle_outline
remove_circle_outline
remove_circle_outline
remove_circle_outline
remove_circle_outline
remove_circle_outline
remove_circle_outline
remove_circle_outline
remove_circle_outline

Journals

Article Types

Countries / Regions

Search Results (35)

Search Parameters:
Keywords = desorption by seawater

Order results
Result details
Results per page
Select all
Export citation of selected articles as:
15 pages, 3086 KB  
Article
Hydrodynamic Aging Process Altered Benzo(a)pyrene Adsorption on Poly(butylene adipate-co-terephthalate) and Poly(butylene succinate) Microplastics in Seawater
by Xiaotao Liu, Yuexia Feng, Xueting Hua, Jian Lu and Jun Wu
Sustainability 2025, 17(24), 11344; https://doi.org/10.3390/su172411344 - 18 Dec 2025
Viewed by 141
Abstract
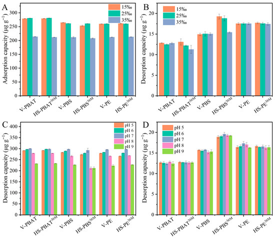
The environmental behavior of biodegradable plastics under long-term hydrodynamic aging processes in seawater remains poorly understood, although plastic pollution has attracted global concern. This study obtained poly(butylene adipate-co-terephthalate) (PBAT) and poly(butylene succinate) (PBS) microplastics that endured 36-month hydrodynamic aging in seawater to elucidate [...] Read more.
The environmental behavior of biodegradable plastics under long-term hydrodynamic aging processes in seawater remains poorly understood, although plastic pollution has attracted global concern. This study obtained poly(butylene adipate-co-terephthalate) (PBAT) and poly(butylene succinate) (PBS) microplastics that endured 36-month hydrodynamic aging in seawater to elucidate their physicochemical transformations and interactions with benzo(a)pyrene (BaP). Hydrodynamic aging markedly altered surface morphology, generated cracks and pores, and enriched -C=O and -OH groups, indicating oxidative degradation. Adsorption experiments showed that BaP adsorption capacity of virgin PBAT/PBS reached 213.3/235.3 μg g−1, while it increased to 233.3/258.2 μg g−1 after hydrodynamic aging in seawater. Elevated salinity and alkaline conditions reduced BaP adsorption on microplastics. Notably, hydrodynamic aging mitigated the risk of BaP desorption from PBAT in ectothermic organisms. Gibbs free energy calculations indicated that the adsorption process was primarily driven by hydrophobic effects, hydrogen bonding, and van der Waals forces. These findings highlight that long-term hydrodynamic aging substantially modifies the interfacial properties of biodegradable plastics to alter their capacity for mediating the environmental fate of hydrophobic organic pollutants in marine ecosystems. Full article
(This article belongs to the Special Issue Plastic Pollution Reduction and Sustainable Marine Ecosystems)
Show Figures

Graphical abstract

33 pages, 42384 KB  
Article
Simulated Biogeochemical Effects of Seawater Restoration on Diked Salt Marshes, Cape Cod National Seashore, Massachusetts, U.S.
by Craig J. Brown
Soil Syst. 2025, 9(3), 89; https://doi.org/10.3390/soilsystems9030089 - 8 Aug 2025
Viewed by 1153
Abstract
Efforts have been underway worldwide to reintroduce seawater to many historically diked salt marshes for restoration of tidal flow and associated estuarine habitat. Seawater restoration to a diked Cape Cod marsh was simulated using the computer program PHREEQC based on previously conducted microcosm [...] Read more.
Efforts have been underway worldwide to reintroduce seawater to many historically diked salt marshes for restoration of tidal flow and associated estuarine habitat. Seawater restoration to a diked Cape Cod marsh was simulated using the computer program PHREEQC based on previously conducted microcosm experiments to better understand the associated timing and sequence of multiple biogeochemical reactions and their implications to aquatic health. Model simulations show that acidic, reducing waters with high concentrations of sorbed ferrous iron (Fe[II]), aluminum (Al), sulfide (S2−), ammonia (NH4+ + NH3), and phosphate (PO43−) are released through desorption and sediment weathering following salination that can disrupt aquatic habitat. Models were developed for one-dimensional reactive transport of solutes in diked, flooded (DF) marsh sediments and subaerially exposed, diked, drained (DD) sediments by curve matching porewater solute concentrations and adjusting the sedimentary organic matter (SOM) degradation rates based on the timing and magnitude of Fe(II) and S2− concentrations. Simulated salination of the DD sediments, in particular, showed a large release of Al, Fe(II), NH4+, and PO43−; the redox shift to reductive dissolution provided higher rates of SOM oxidation. The sediment type, iron source, and seasonal timing associated with seawater restoration can affect the chemical speciation and toxicity of constituents to aquatic habitat. The constituents of concern and their associated complex biogeochemical reactions simulated in this study are directly relevant to the increasingly common coastal marsh salination, either through tidal restoration or rising sea level. Full article
(This article belongs to the Special Issue Adsorption Processes in Soils and Sediments)
Show Figures

Figure 1

24 pages, 2893 KB  
Article
Adsorption of Methylene Blue Dye onto Various Marine Sediments and Seagrass Biomass of Posidonia oceanica Species: Kinetics and Equilibrium Studies
by Maria C. Vagi, Andreas S. Petsas, Dionysia Dimitropoulou, Melpomeni Leventelli and Anastasia D. Nikolaou
Organics 2025, 6(2), 21; https://doi.org/10.3390/org6020021 - 6 May 2025
Viewed by 1418
Abstract
This study concerns the investigation of the sorption and desorption phenomena of the organic dye methylene blue (MB) on three different marine sediments and non-living biomass of the seagrass species Posidonia oceanica. All tested adsorbents were of natural origin and were collected [...] Read more.
This study concerns the investigation of the sorption and desorption phenomena of the organic dye methylene blue (MB) on three different marine sediments and non-living biomass of the seagrass species Posidonia oceanica. All tested adsorbents were of natural origin and were collected from unpolluted coasts of the North Aegean Sea (Greece). The batch equilibrium technique was applied and MB concentrations were determined by spectrophotochemical analysis (λ = 665 nm). The experimental results showed that all four isotherm models, Freundlich, Langmuir, Henry, and Temkin, could describe the process. The normalized to organic matter content adsorption coefficients (KOM) ranged between 33.0765 and 34.5279 for the studied sediments. The maximum adsorption capacity (qmax) of sediments was in the range of 0.98 mg g−1 and 6.80 mg g−1, indicating a positive correlation with the adsorbents’ organic matter content, textural analysis of fine fraction (<63 μm), and specific surface area. The bioadsorption of MB on P. oceanica biomass resulted in 13.25 mg g−1 up to 17.86 mg g−1 adsorption efficiency. Desorption studies revealed that the studied dye in most cases was very strongly adsorbed on studied matrices with extremely low quantities of seawater extractable amounts (≤1.62%). According to the experimental findings, phycoremediation by using P. oceanica can be characterized as an efficient method for the bioremediation of dye-polluted wastewater. Full article
Show Figures

Figure 1

21 pages, 5433 KB  
Article
Adsorption–Desorption Behaviors of Enrofloxacin and Trimethoprim and Their Interactions with Typical Microplastics in Aqueous Systems
by Zhichao Li, Xiao Meng, Xiaoyong Shi, Chunyue Li and Chuansong Zhang
Sustainability 2025, 17(2), 516; https://doi.org/10.3390/su17020516 - 10 Jan 2025
Cited by 6 | Viewed by 2135
Abstract
Microplastics can transfer antibiotics in water through adsorption and desorption, causing adverse effects on the water environment. Therefore, understanding the interaction between microplastics and antibiotics is important in order to assess their impact on the environment. In this study, the adsorption–desorption behaviors of [...] Read more.
Microplastics can transfer antibiotics in water through adsorption and desorption, causing adverse effects on the water environment. Therefore, understanding the interaction between microplastics and antibiotics is important in order to assess their impact on the environment. In this study, the adsorption–desorption behaviors of two commonly used antibiotics [enrofloxacin (ENR) and trimethoprim (TMP)] in aquaculture and their interactions with three typical microplastics [polystyrene (PS), polyvinyl chloride (PVC), and polyethylene (PE)] were investigated through laboratory experiments. The results showed that the adsorption capacity of the three microplastics was 1.229–1.698 mg/g for ENR and 1.110–1.306 mg/g for TMP, correlating with the octanol–water partition coefficients (logKow) of antibiotics. Due to the larger specific surface areas and special functional groups of microplastics, the antibiotic adsorption capacity of PS and PVC was higher than that of PE. The adsorption behavior followed pseudo-second-order kinetics and a Freundlich isotherm model, indicating a non-uniform surface with multilayer adsorption. A thermodynamic analysis showed that these were all spontaneous endothermic adsorptions. X-ray photoelectron spectroscopy (XPS) and Fourier-transform infrared spectroscopy (FTIR) analyses indicated that the adsorption mechanism was dominated by physical adsorption, involving π–π conjugation, halogen bonds, hydrogen bonding, and electrostatic interactions. High salinity and alkaline environments were conducive to desorption, and the ENR and TMP desorption rates of the microplastics ranged from 20.65% to 24.95%. This indicates that microplastics adsorbed with antibiotics will desorb antibiotics when entering the seawater system, thereby affecting marine ecosystems. These findings reveal the interaction mechanism between microplastics and aquaculture antibiotics in aqueous systems, providing theoretical support for environmental protection and sustainable development. Full article
Show Figures

Figure 1

15 pages, 6889 KB  
Article
Quaternized and Hyperbranched Amidoxime-Modified Ultra-High-Molecular-Weight Polyethylene Fiber for Uranium Extraction from Seawater
by Lijun Hu, Hongwei Han, Xuanzhi Mao, Xinxin Feng, Yulong He, Jiangtao Hu and Guozhong Wu
Polymers 2024, 16(23), 3310; https://doi.org/10.3390/polym16233310 - 27 Nov 2024
Cited by 1 | Viewed by 1684
Abstract
The most promising material for uranium extraction from saltwater is generally acknowledged to be fibrous adsorbents. An irradiation-modified anti-biofouling ultra-high-molecular-weight polyethylene (UHMWPE-g-PGAO) fibrous adsorbent with a hyperbranched structure was synthesized. It exhibited adsorption capacities of 314.8 mg-U/g-Ads in aqueous solution and [...] Read more.
The most promising material for uranium extraction from saltwater is generally acknowledged to be fibrous adsorbents. An irradiation-modified anti-biofouling ultra-high-molecular-weight polyethylene (UHMWPE-g-PGAO) fibrous adsorbent with a hyperbranched structure was synthesized. It exhibited adsorption capacities of 314.8 mg-U/g-Ads in aqueous solution and 4.04 mg-U/g-Ads in simulated seawater over a 28-day period. The ultra-high-molecular-weight polyethylene (UHMWPE) fiber was functionalized by covalently linking hyperbranched polyethyleneimine (h-PEI) to facilitate the migration of uranyl ions within the fibers. Additionally, amidoxime and quaternary ammonium groups were immobilized on the fiber surface to enhance uranium affinity and provide defense against marine organisms. This three-dimensional design of amidoxime and h-PEI-modified UHMWPE fiber retained more than 91.0% of its maximum adsorption capacity after undergoing five adsorption-desorption cycles. The UHMWPE-g-PGAO adsorbent exhibits significant antibacterial activity against Escherichia coli and Staphylococcus aureus, achieving an inactivation efficiency of over 99.9%. It is proved to be an innovative fiber adsorbent for uranium extraction from seawater for its biofouling resistance, robustness, and reusability. Full article
Show Figures

Graphical abstract

19 pages, 4428 KB  
Article
Adsorption of a Mixture of Daily Use Pharmaceuticals on Pristine and Aged Polypropylene Microplastics
by Dimitrios Kalaronis, Eleni Evgenidou, George Z. Kyzas, Dimitrios N. Bikiaris and Dimitra A. Lambropoulou
Environments 2024, 11(9), 198; https://doi.org/10.3390/environments11090198 - 11 Sep 2024
Cited by 3 | Viewed by 3538
Abstract
The main goal of this study is the examination of polypropylene (PP) microplastics (MPs) as possible carriers of daily use pharmaceutical compounds. The selected compounds can be separated into three groups: (i) antibiotics (Trimethoprim, Metronidazole, Indomethacin, Isoniazid), (ii) anti-inflammatories (Ketoprofen, Diclofenac), and (iii) [...] Read more.
The main goal of this study is the examination of polypropylene (PP) microplastics (MPs) as possible carriers of daily use pharmaceutical compounds. The selected compounds can be separated into three groups: (i) antibiotics (Trimethoprim, Metronidazole, Indomethacin, Isoniazid), (ii) anti-inflammatories (Ketoprofen, Diclofenac), and (iii) anti-hypertensive (Valsartan). Two types of PP MPs (virgin and UV-aged) were used in the experimental procedure, and the effect of time and the effect of the initial concentrations of the drugs were examined. The impact of various environmental factors such as pH, salinity, and natural organic matter were also explored. The last two factors were studied using real aqueous matrices such as wastewater and seawater. According to the obtained results, the highest uptake was observed in indomethacin (9.3 mg/g) and diclofenac (7.3 mg/g), owing to their physiochemical properties. Aged particles showed enhanced adsorption ability in accordance with the existing literature, as their adsorption capacity was between 0.5–1.5 times greater than that of the virgin ones. Regarding the desorption of compounds from the virgin and aged PP MPs at three different pH values, diclofenac and indomethacin exhibited the highest desorption capacity, while alkaline conditions favored the desorption ability of PP MPs for most of the target compounds. Full article
(This article belongs to the Special Issue Advanced Technologies of Water and Wastewater Treatment (2nd Edition))
Show Figures

Graphical abstract

18 pages, 14118 KB  
Article
The Preparation of a Polyamidoxime–Phosphorylated Cellulose Nanofibrils Composite Aerogel for the Selective Extraction of Uranium from Seawater
by Xiaoying Yang, Mei Cui, Rongxin Su and Renliang Huang
Nanomaterials 2024, 14(15), 1297; https://doi.org/10.3390/nano14151297 - 1 Aug 2024
Cited by 6 | Viewed by 2574
Abstract
Uranium is the most important fuel for nuclear power operations, and the safe supply of its resources is the key to the development of nuclear power in China. Because of the complex seawater environment and extremely low uranium concentration, extracting uranium from natural [...] Read more.
Uranium is the most important fuel for nuclear power operations, and the safe supply of its resources is the key to the development of nuclear power in China. Because of the complex seawater environment and extremely low uranium concentration, extracting uranium from natural seawater poses a significant challenge. In this study, a polyamidoxime–phosphorylated cellulose nanofibril composite aerogel was prepared as an adsorbent for uranium extraction from seawater. An adsorption kinetics test, equilibrium adsorption isotherm model fitting, an adsorption–desorption cycle test, and a selectivity test were carried out to evaluate the adsorption performance of the composite aerogel for uranium extraction. The adsorption capacities for the initial concentrations of 4 and 8 ppm in uranium-spiked pure water were 96.9 and 204.3 mg-U/g-Ads, respectively. The equilibrium uranium adsorption capacities of uranium-spiked simulated seawater were 38.9 and 51.7 mg-U/g-Ads, respectively. The distribution coefficient KD of uranium was calculated to be 2.5 × 107 mL/g. The results show that the polyamidoxime–phosphorylated cellulose nanofiber composite aerogels prepared in this study have the advantages of low cost and high uranium selectivity for uranium extraction from seawater. Full article
Show Figures

Figure 1

23 pages, 4462 KB  
Article
Synergic Origin and Evolution of TDS, Mg and Fluoride in Groundwater as Relative to Chronic Kidney Disease of Unknown Etiology (CKDu) in Sri Lanka
by K. S. G. S. Priyadarshanee, Zhonghe Pang, E. A. N. V. Edirisinghe, H. M. T. G. A. Pitawala, J. D. C. Gunasekara, W. M. G. S. Wijesooriya, Yinlei Hao, Yifan Bao and Jiao Tian
Water 2024, 16(11), 1606; https://doi.org/10.3390/w16111606 - 4 Jun 2024
Cited by 2 | Viewed by 2524
Abstract
The rural population in the Dry Zone of Sri Lanka is largely affected by Chronic Kidney Disease of Unknown etiology (CKDu). According to the multidisciplinary research carried out so far, quality of groundwater is considered one of the possible causative factors for CKDu. [...] Read more.
The rural population in the Dry Zone of Sri Lanka is largely affected by Chronic Kidney Disease of Unknown etiology (CKDu). According to the multidisciplinary research carried out so far, quality of groundwater is considered one of the possible causative factors for CKDu. Therefore, assessment of the quality of groundwater being used for drinking and its evolution mechanism is the key to identifying the linkage between CKDu and drinking water. This study aimed to perform a detailed investigation on groundwater sources using isotopic, chemical, and hydrogeological methods in the CKDu-endemic (site A) and the control area (sedimentary formation—site B) in the Malwathu Oya basin and the control areas in the Malala Oya basin (site C) selected for a systematic comparison. Our investigation shows that elevated levels of TDS, magnesium, and fluoride in the shallow groundwater affected by climatic, geochemical, and hydrogeological processes may contribute to the CKDu in the Dry Zone of Sri Lanka. All the groundwater samples analysed have exceeded the hardness threshold. Prominent Mg hardness proportion together with excess F in the CKDu endemic area may produce nephrotoxic MgF2 complexes that may trigger renal damage. In contrast, NaF complexes in the CKDu control area leads to reduction of F toxicity in the human body. Elevated F and Mg2+ are found in site A, low F and high Mg2+ in site B, and either combinations of low F and low Mg2+, high F and low Mg2+, or low F with high Mg2+ in site C. TDS, hardness, Mg2+, Na+, and F are formed with different mechanisms in the three selected areas. The primary process that regulates the evolution of groundwater types and contents in sites A and C is the weathering of silicates. Similarly, in site A, carbonate dissolution and reverse ion exchange are quite strong. Cation exchange and evaporite dissolution are more pronounced in site C. Shallow groundwaters are evapo-concentrated, hence their quality deteriorates more significantly than the deep groundwater in the CKDu endemic area. Dilution decreases the ion content in site A while evaporite dissolution increases it in site C after the rainy season. Evaporation and seawater mixing affect the quality of groundwater in site B. It is also found that a statistically significant difference exists in the F/Na+, F/Mg2+, and F/Ca2+ between the endemic and control areas. Intensive rock weathering combined with desorption has added excess F to the groundwater in site A, while cation exchange and fluorite dissolution are contributing factors in site C. Full article
(This article belongs to the Topic Advances in Hydrogeological Research)
Show Figures

Figure 1

20 pages, 1334 KB  
Review
Salinity-Induced Changes in Heavy Metal Behavior and Mobility in Semi-Arid Coastal Aquifers: A Comprehensive Review
by Rakesh Roshan Gantayat and Vetrimurugan Elumalai
Water 2024, 16(7), 1052; https://doi.org/10.3390/w16071052 - 5 Apr 2024
Cited by 14 | Viewed by 4051
Abstract
Semi-arid coastal aquifers face critical challenges characterized by lower rainfall, higher evaporation rates, and looming risk of over-exploitation. These conditions, coupled with climate change, are conducive to seawater intrusion and promote mechanisms associated with it. The understanding of metal behavior in such environments [...] Read more.
Semi-arid coastal aquifers face critical challenges characterized by lower rainfall, higher evaporation rates, and looming risk of over-exploitation. These conditions, coupled with climate change, are conducive to seawater intrusion and promote mechanisms associated with it. The understanding of metal behavior in such environments is limited, and hence, an attempt is made through this review to bridge the knowledge gap. A study on the behavior of trace metals within a specific context of semi-arid coastal aquifers was carried out, and 11 aquifers from 6 different countries were included. The review observed that trace metals within semi-arid coastal aquifers exhibit distinctive behaviors influenced by their surrounding environment. The prevalence of evaporation and continuous seawater intrusion played a pivotal role in shaping trace metal dynamics by curtailing groundwater flux. The findings suggest that the formation of stable Cl and organic ligands under increased alkaline conditions (pH > 8) has higher control over Zn, Pb, and Cd toxicity in a highly ionic reactive condition. In addition, dominant control of Fe/Mn-hydroxide association with Pb and high organic affinity of Zn played a pivotal role in controlling its bioavailability in aquifers such as WFB, Saudi Arabia NW-C and India. On the contrary, under prevailing acidic conditions (pH < 6), carbonate and SO4-ligands become more dominant, controlling the bioavailability/desorption of Cu irrespective of its origin. The behavior of Ni is found to be controlled by stable organic ligands increasing salinity. An increase in salinity in the considered aquifers shows an increase in bioavailability of Ni, except UmC, South Africa, where organic ligands act as a sink for the metal, even at low pH conditions (pH < 5.5). This study indicates that factors such as mineral saturation, carbonate complexes, pH variations (pH > 8), and chloride complexes govern the distribution of trace metals further enhanced by prolonged water residence time. Nonetheless, specific conditions, such as a reducing and acidic environment, could potentially elevate the solubility of highly toxic Cr (VI) released from anthropogenic sources. Full article
(This article belongs to the Special Issue Recent Advances in Hydrogeology: Featured Reviews)
Show Figures

Figure 1

25 pages, 6649 KB  
Article
Design of a New Phthalocyanine-Based Ion-Imprinted Polymer for Selective Lithium Recovery from Desalination Plant Reverse Osmosis Waste
by Bassem Jamoussi, Radhouane Chakroun, Bandar A. Al-Mur, Riyadh F. Halawani, Fahed A. Aloufi, Anis Chaabani and Naif S. Aljohani
Polymers 2023, 15(18), 3847; https://doi.org/10.3390/polym15183847 - 21 Sep 2023
Cited by 5 | Viewed by 2726
Abstract
In this study, a novel technique is introduced that involves the combination of an ion-imprinted polymer and solid-phase extraction to selectively adsorb lithium ions from reverse osmosis brine. In the process of synthesizing ion-imprinted polymers, phthalocyanine acrylate acted as the functional monomer responsible [...] Read more.
In this study, a novel technique is introduced that involves the combination of an ion-imprinted polymer and solid-phase extraction to selectively adsorb lithium ions from reverse osmosis brine. In the process of synthesizing ion-imprinted polymers, phthalocyanine acrylate acted as the functional monomer responsible for lithium chelation. The structural and morphological characteristics of the molecularly imprinted polymers and non-imprinted polymers were assessed using Fourier transform infrared spectroscopy and scanning electron microscopy. The adsorption data for Li on an ion-imprinted polymer showed an excellent fit to the Langmuir isotherm, with a maximum adsorption capacity (Qm) of 3.2 mg·g−1. Comprehensive chemical analyses revealed a significant Li concentration with a higher value of 45.36 mg/L. Through the implementation of a central composite design approach, the adsorption and desorption procedures were systematically optimized by varying the pH, temperature, sorbent mass, and elution volume. This systematic approach allowed the identification of the most efficient operating conditions for extracting lithium from seawater reverse osmosis brine using ion-imprinted polymer–solid-phase extraction. The optimum operating conditions for the highest efficiency of adsorbing Li+ were determined to be a pH of 8.49 and a temperature of 45.5 °C. The efficiency of ion-imprinted polymer regeneration was evaluated through a cycle of the adsorption–desorption process, which resulted in Li recoveries of up to 80%. The recovery of Li from the spiked brine sample obtained from the desalination plant reverse osmosis waste through the ion-imprinted polymer ranged from 62.8% to 71.53%. Full article
Show Figures

Figure 1

13 pages, 2218 KB  
Article
Removal of the Water Pollutant Ciprofloxacin Using Biodegradable Sorbent Polymers Obtained from Polysaccharides
by Sarah Alvarado, Alicia Megia-Fernandez, Mariano Ortega-Muñoz, Fernando Hernandez-Mateo, F. Javier Lopez-Jaramillo and Francisco Santoyo-Gonzalez
Polymers 2023, 15(15), 3188; https://doi.org/10.3390/polym15153188 - 27 Jul 2023
Cited by 8 | Viewed by 2065
Abstract
Water use has been increasing globally by 1% per year, and recycling and re-use are critical issues compromised by the presence of pollutants. In this context, the design of novel materials and/or procedures for the large scale-removal of pollutants must be economically and [...] Read more.
Water use has been increasing globally by 1% per year, and recycling and re-use are critical issues compromised by the presence of pollutants. In this context, the design of novel materials and/or procedures for the large scale-removal of pollutants must be economically and environmentally feasible in order to be considered as part of the solution by emerging economies. We demonstrate that the cross-linking of biodegradable polysaccharides such as starch, dextrin, or dextrin and β-cyclodextrin with divinyl sulfone is an innovative strategy for synthesizing insoluble and eco-friendly sorbent polymers, including pSt, pDx and pCD-Dx. The evaluation of these polymers’ ability to remove ciprofloxacin (CIP), a prime example of antibiotic pollution, revealed that pSt, with a Kd of 1469 L/kg and a removal rate higher than 92%, is a favorable material. Its sorption is pH-dependent and enhanced at a mildly alkaline pH, allowing for the desorption (i.e., cleaning) and reuse of pSt through an environmentally friendly treatment with 20 mM AcONa pH 4.6. The facts that pSt (i) shows a high affinity for CIP even at high NaCl concentrations, (ii) can be obtained from affordable starting materials, and (iii) is synthesized and regenerated through organic, solvent-free procedures make pSt a novel sustainable material for inland water and seawater remediation, especially in less developed countries, due to its simplicity and low cost. Full article
(This article belongs to the Special Issue Polymer Composites for Biomedical and Environmental Applications II)
Show Figures

Graphical abstract

14 pages, 1887 KB  
Article
Photo- and Water-Degradation Phenomena of ZnO Bio-Blend Based on Poly(lactic acid) and Polyamide 11
by Roberta Puglisi, Andrea Antonino Scamporrino, Nadka Tzankova Dintcheva, Giovanni Filippone, Elena Bruno, Paola Scarfato, Pierfrancesco Cerruti and Sabrina Carola Carroccio
Polymers 2023, 15(6), 1434; https://doi.org/10.3390/polym15061434 - 14 Mar 2023
Cited by 11 | Viewed by 2703
Abstract
The goal of this work was to investigate the morphological and chemical–physical changes induced by adding ZnO nanoparticles to bio-based polymeric materials based on polylactic acid (PLA) and polyamide 11 (PA11). Precisely, the photo- and water-degradation phenomena of nanocomposite materials were monitored. For [...] Read more.
The goal of this work was to investigate the morphological and chemical–physical changes induced by adding ZnO nanoparticles to bio-based polymeric materials based on polylactic acid (PLA) and polyamide 11 (PA11). Precisely, the photo- and water-degradation phenomena of nanocomposite materials were monitored. For this purpose, the formulation and characterization of novel bio-nanocomposite blends based on PLA and PA11 at a ratio of 70/30 wt.% filled with zinc oxide (ZnO) nanostructures at different percentages were performed. The effect of ZnO nanoparticles (≤2 wt.%) within the blends was thoroughly explored by employing thermogravimetry (TGA), size exclusion chromatography (SEC), matrix-assisted laser desorption ionization–time-of-flight mass spectrometry (MALDI-TOF MS) and scanning and transmission electron microscopy (SEM and TEM). Adding up to 1% wt. of ZnO resulted in a higher thermal stability of the PA11/PLA blends, with a decrement lower than 8% in terms of molar masses (MMs) values being obtained during blend processing at 200 °C. ZnO promoted trans-ester-amide reactions between the two polymers, leading to the formation of PLA/PA11 copolymers. These species could work as compatibilisers at the polymer interface, improving thermal and mechanical properties. However, the addition of higher quantities of ZnO affected such properties, influencing the photo-oxidative behaviour and thus thwarting the material’s application for packaging use. The PLA and blend formulations were subjected to natural aging in seawater for two weeks under natural light exposure. The 0.5% wt. ZnO sample induced polymer degradation with a decrease of 34% in the MMs compared to the neat samples. Full article
(This article belongs to the Section Biobased and Biodegradable Polymers)
Show Figures

Figure 1

15 pages, 8779 KB  
Article
Estimation of 226Ra and 228Ra Content Using Various Types of Sorbents and Their Distribution in the Surface Layer of the Black Sea
by Ol’ga N. Kozlovskaia, Iuliia G. Shibetskaia, Nikolay A. Bezhin and Ivan G. Tananaev
Materials 2023, 16(5), 1935; https://doi.org/10.3390/ma16051935 - 26 Feb 2023
Cited by 3 | Viewed by 2131
Abstract
Radium isotopes have traditionally been used as tracers of surface and underground fresh waters in land–ocean interactions. The concentration of these isotopes is most effective on sorbents containing mixed oxides of manganese. During the 116 RV Professor Vodyanitsky cruise (22 April–17 May 2021), [...] Read more.
Radium isotopes have traditionally been used as tracers of surface and underground fresh waters in land–ocean interactions. The concentration of these isotopes is most effective on sorbents containing mixed oxides of manganese. During the 116 RV Professor Vodyanitsky cruise (22 April–17 May 2021), a study about the possibility and efficiency of 226Ra and 228Ra recovery from seawater using various types of sorbents was conducted. The influence of seawater flow rate on the sorption of 226Ra and 228Ra isotopes was estimated. It was indicated that the Modix, DMM, PAN-MnO2, and CRM-Sr sorbents show the best sorption efficiency at a flow rate of 4–8 column volumes per minute. Additionally, the distribution of biogenic elements (dissolved inorganic phosphorus (DIP), silicic acid, and the sum of nitrates and nitrites), salinity, and 226Ra and 228Ra isotopes was studied in the surface layer of the Black Sea in April–May 2021. Correlation dependencies between the concentration of long-lived radium isotopes and salinity are defined for various areas of the Black Sea. Two processes control the dependence of radium isotope concentration on salinity: conservative mixing of riverine and marine end members and desorption of long-lived radium isotopes when river particulate matter meets saline seawater. Despite the high long-lived radium isotope concentration in freshwater in comparison with that in seawater, their content near the Caucasus shore is lower mainly because riverine waters meet with a great open seawater body with a low content of these radionuclides, and radium desorption processes take place in an offshore area. The 228Ra/226Ra ratio derived from our data displays freshwater inflow spreading over not only the coastal region, but also the deep-sea region. The lowered concentration of the main biogenic elements corresponds to high-temperature fields because of their intensive uptake by phytoplankton. Therefore, nutrients coupled with long-lived radium isotopes trace the hydrological and biogeochemical peculiarities of the studied region. Full article
Show Figures

Figure 1

21 pages, 2667 KB  
Article
Potential Analysis of Atmospheric Water Harvesting Technologies from the Perspective of “Trading-in Energy for Water”
by Hou-Jun Li, Liang Cheng, Peng Sun, Fang-Fang Li and Jun Qiu
Water 2023, 15(5), 878; https://doi.org/10.3390/w15050878 - 24 Feb 2023
Cited by 12 | Viewed by 10714
Abstract
An applicable, high-volume, and sustainable water uptake technology can alleviate freshwater shortages, improve the energy utilization rate and promote the development of energy technology. Traditional seawater desalination, fog water, and dew collection are limited by the geographical environment, and the water resource transportation [...] Read more.
An applicable, high-volume, and sustainable water uptake technology can alleviate freshwater shortages, improve the energy utilization rate and promote the development of energy technology. Traditional seawater desalination, fog water, and dew collection are limited by the geographical environment, and the water resource transportation cost is high, or the water uptake volume is limited, so they cannot be used on a large scale. There are potential safety problems with wastewater reuse and recycled water. Atmospheric water harvesting technology uses energy for direct condensation or uses adsorbent to absorb water, which is characterized by strong sustainability, high applicability, decentralization, and stable water uptake. This study summarizes the working principle of mainstream atmospheric water harvesting technologies, mainly including condensation, absorption, and desorption water harvesting, and some active dew and fog collection technologies. It also theoretically analyzes the energy consumption of condensation and adsorption and desorption water harvesting technologies. Aiming at the problems of difficult condensing for direct condensation and long adsorption/desorption cycle of adsorption and desorption water harvesting, it summarizes the countermeasures of multi-stage condensation and multi-cycle adsorption and desorption. The development prospect of atmospheric water harvesting technologies is also discussed Full article
(This article belongs to the Special Issue Atmospheric Water Resources Exploitation and Utilization)
Show Figures

Figure 1

41 pages, 12955 KB  
Article
New Process for the Sulfonation of Algal/PEI Biosorbent for Enhancing Sr(II) Removal from Aqueous Solutions—Application to Seawater
by Mohammed F. Hamza, Eric Guibal, Khalid Althumayri, Thierry Vincent, Xiangbiao Yin, Yuezhou Wei and Wenlong Li
Molecules 2022, 27(20), 7128; https://doi.org/10.3390/molecules27207128 - 21 Oct 2022
Cited by 15 | Viewed by 2897
Abstract
Sulfonic resins are highly efficient cation exchangers widely used for metal removal from aqueous solutions. Herein, a new sulfonation process is designed for the sulfonation of algal/PEI composite (A*PEI, by reaction with 2-propylene-1-sulfonic acid and hydroxylamine-O-sulfonic acid). The new sulfonated functionalized sorbent (SA*PEI) [...] Read more.
Sulfonic resins are highly efficient cation exchangers widely used for metal removal from aqueous solutions. Herein, a new sulfonation process is designed for the sulfonation of algal/PEI composite (A*PEI, by reaction with 2-propylene-1-sulfonic acid and hydroxylamine-O-sulfonic acid). The new sulfonated functionalized sorbent (SA*PEI) is successfully tested in batch systems for strontium recovery first in synthetic solutions before investigating with multi-component solutions and final validation with seawater samples. The chemical modification of A*PEI triples the sorption capacity for Sr(II) at pH 4 with a removal rate of up to 7% and 58% for A*PEI and SA*PEI, respectively (with SD: 0.67 g L−1). FTIR shows the strong contribution of sulfonate groups for the functionalized sorbent (in addition to amine and carboxylic groups from the support). The sorption is endothermic (increase in sorption with temperature). The sulfonation improves thermal stability and slightly enhances textural properties. This may explain the fast kinetics (which are controlled by the pseudo-first-order rate equation). The sulfonated sorbent shows a remarkable preference for Sr(II) over competitor mono-, di-, and tri-valent metal cations. Sorption properties are weakly influenced by the excess of NaCl; this can explain the outstanding sorption properties in the treatment of seawater samples. In addition, the sulfonated sorbent shows excellent stability at recycling (for at least 5 cycles), with a loss in capacity of around 2.2%. These preliminary results show the remarkable efficiency of the sorbent for Sr(II) removal from complex solutions (this could open perspectives for the treatment of contaminated seawater samples). Full article
Show Figures

Graphical abstract

Back to TopTop