Adsorption of a Mixture of Daily Use Pharmaceuticals on Pristine and Aged Polypropylene Microplastics
Abstract
1. Introduction
2. Materials and Methods
2.1. Chemicals and Targeted Compounds
2.2. Aging of Polypropylene MPs
2.3. Batch Adsorption Experiments
2.3.1. Effect of Contact Time
2.3.2. Isotherms
2.3.3. Effect of pH
2.4. Aqueous Matrices
2.5. Desorption Experimental Procedure
2.6. Analytical Methods
2.7. Characterizations
3. Results and Discussion
3.1. Characterization and Aging Effect on MPs
3.1.1. FTIR
3.1.2. SEM
3.2. Sorption Kinetics
3.3. Adsorption Isotherms
3.4. Effect of pH
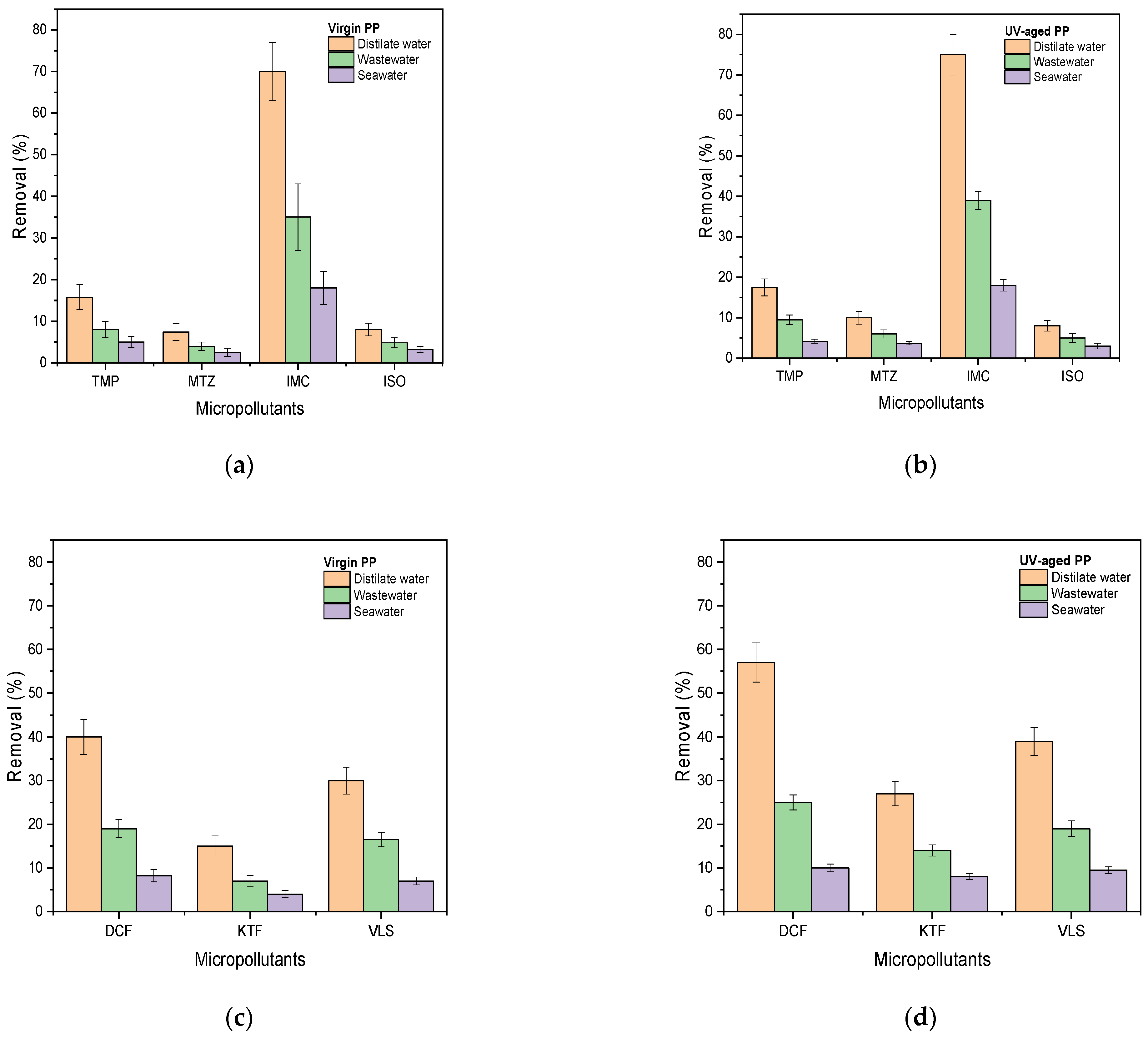
3.5. Effect of the Environmental Matrix
3.6. Desorption Process
4. Conclusions
Supplementary Materials
Author Contributions
Funding
Institutional Review Board Statement
Data Availability Statement
Conflicts of Interest
References
- Moura, D.S.; Pestana, C.J.; Moffat, C.F.; Gkoulemani, N.; Hui, J.; Irvine, J.T.; Lawton, L.A. Aging microplastics enhances the adsorption of pharmaceuticals in freshwater. Sci. Total Environ. 2024, 912, 169467. [Google Scholar] [CrossRef]
- Bobori, D.C.; Feidantsis, K.; Dimitriadi, A.; Datsi, N.; Ripis, P.; Kalogiannis, S.; Sampsonidis, I.; Kastrinaki, G.; Ainali, N.M.; Lambropoulou, D.A.; et al. Dose-Dependent Cytotoxicity of Polypropylene Microplastics (PP-MPs) in Two Freshwater Fishes. Int. J. Mol. Sci. 2022, 23, 13878. [Google Scholar] [CrossRef] [PubMed]
- EPA. Definition of Contaminant. Available online: https://www.epa.gov/ccl/definition-contaminant (accessed on 8 July 2024).
- Ainali, N.M.; Kalaronis, D.; Evgenidou, E.; Kyzas, G.Z.; Bobori, D.C.; Kaloyianni, M.; Yang, X.; Bikiaris, D.N.; Lambropoulou, D.A. Do poly(lactic acid) microplastics instigate a threat? A perception for their dynamic towards environmental pollution and toxicity. Sci. Total Environ. 2022, 832, 155014. [Google Scholar] [CrossRef] [PubMed]
- Yang, J.; Monnot, M.; Sun, Y.; Asia, L.; Wong-Wah-Chung, P.; Doumenq, P.; Moulin, P. Microplastics in different water samples (seawater, freshwater, and wastewater): Methodology approach for characterization using micro-FTIR spectroscopy. Water Res. 2023, 232, 119711. [Google Scholar] [CrossRef] [PubMed]
- Qiu, Q.; Tan, Z.; Wang, J.; Peng, J.; Li, M.; Zhang, Z. Extraction, enumeration and identification methods for monitoring microplastics in the environment. Estuar. Coast. Shelf Sci. 2016, 176, 102–109. [Google Scholar] [CrossRef]
- Zhang, Y.; Kang, S.; Allen, S.; Allen, D.; Gao, T.; Sillanpää, M. Atmospheric microplastics: A review on current status and perspectives. Earth-Sci. Rev. 2020, 203, 103118. [Google Scholar] [CrossRef]
- Koelmans, A.A.; Nor, N.H.M.; Hermsen, E.; Kooi, M.; Mintenig, S.M.; De France, J. Microplastics in freshwaters and drinking water: Critical review and assessment of data quality. Water Res. 2019, 155, 410–422. [Google Scholar] [CrossRef]
- Jiménez-Skrzypek, G.; Hernández-Expósito, O.M.; Hernández-Borges, J.; González-Sálamo, J. Sorption of levonorgestrel on polyethylene, polystyrene and polypropylene microplastics. Chemosphere 2023, 335, 139042. [Google Scholar] [CrossRef]
- Nikpay, M. Wastewater Fines Influence the Adsorption Behavior of Pollutants onto Microplastics. J. Polym. Environ. 2022, 30, 776–783. [Google Scholar] [CrossRef]
- Wu, X.; Liu, P.; Huang, H.; Gao, S. Adsorption of triclosan onto different aged polypropylene microplastics: Critical effect of cations. Sci. Total Environ. 2020, 717, 137033. [Google Scholar] [CrossRef]
- He, S.; Sun, S.; Xue, H.; Kang, C.; Yu, S. Polypropylene microplastics aging under natural conditions in winter and summer and its effects on the sorption and desorption of nonylphenol. Environ. Res. 2023, 225, 115615. [Google Scholar] [CrossRef] [PubMed]
- Xu, B.; Liu, F.; Brookes, P.C.; Xu, J. Microplastics play a minor role in tetracycline sorption in the presence of dissolved organic matter. Environ. Pollut. 2018, 240, 87–94. [Google Scholar] [CrossRef] [PubMed]
- Wang, X.; Wang, X.; Zhu, W.; Ding, L.; Liang, X.; Wu, R.; Jia, H.; Huang, X.; Guo, X. Insight into interactions between microplastics and fulvic acid: Mechanisms affected by microplastics type. Sci. Total Environ. 2023, 913, 169427. [Google Scholar] [CrossRef] [PubMed]
- Song, Y.; Zhao, J.; Zheng, L.; Zhu, W.; Xue, X.; Yu, Y.; Deng, Y.; Wang, H. Adsorption behaviors and mechanisms of humic acid on virgin and aging microplastics. J. Mol. Liq. 2022, 363, 119819. [Google Scholar] [CrossRef]
- Munoz, M.; Ortiz, D.; Nieto-Sandoval, J.; de Pedro, Z.M.; Casas, J.A. Adsorption of micropollutants onto realistic microplastics: Role of microplastic nature, size, age, and NOM fouling. Chemosphere 2021, 283, 131085. [Google Scholar] [CrossRef]
- Guo, X.; Chen, C.; Wang, J. Sorption of sulfamethoxazole onto six types of microplastics. Chemosphere 2019, 228, 300–308. [Google Scholar] [CrossRef]
- Cui, N.; Wang, P.; Xu, N. Sorption behaviour of tebuconazole on microplastics: Kinetics, isotherms and influencing factors. Environ. Technol. 2022, 44, 3937–3948. [Google Scholar] [CrossRef]
- Tetreault, J. Measurement of Ultraviolet Radiation—Canadian Conservation Institute (CCI) Notes 2/2. CCI Notes no. Cci. 2016, pp. 1–8. Available online: http://canada.pch.gc.ca/eng/1441825394866 (accessed on 11 September 2017).
- Plastics Europe. Plastics the Fact 2021. pp. 1–34. Available online: https://plasticseurope.org/wp-content/uploads/2021/12/Plastics-the-Facts-2021-web-final.pdf (accessed on 8 July 2024).
- Liu, L.; Ma, H.; Xing, B. Aging and characterization of disposable polypropylene plastic cups based microplastics and its adsorption for methylene blue. Chemosphere 2024, 349, 140976. [Google Scholar] [CrossRef]
- Tien, C. Adsorption Calculation and Modeling; Butterworth-Heinemann: Woburn, MA, USA, 1994. [Google Scholar]
- Ho, Y.S.; Ng, J.C.; McKay, G. Kinetics of Pollutant Sorption by Biosorbents: Review. Sep. Purif. Methods 2000, 29, 189–232. [Google Scholar] [CrossRef]
- Weber, J.C.; Morris, W.J. Kinetics of Adsorption on Carbon from Solutions. J. Sanit. Eng. Div. 1963, 89, 31–39. [Google Scholar] [CrossRef]
- Langmuir, I. The adsorption of gases on plane surfaces of glass, mica and platinum. J. Am. Chem. Soc. 1918, 40, 1361–1403. [Google Scholar] [CrossRef]
- Freundlich, H.M.F. Over the Adsorption in Solution. J. Phys. Chem. 1906, 57, 385–471. [Google Scholar]
- Malesic-Eleftheriadou, N.; Evgenidou, E.; Lazaridou, M.; Bikiaris, D.N.; Yang, X.; Kyzas, G.Z.; Lambropoulou, D.A. Simultaneous removal of anti-inflammatory pharmaceutical compounds from an aqueous mixture with adsorption onto chitosan zwitterionic derivative. Colloids Surf. A Physicochem. Eng. Asp. 2021, 619, 126498. [Google Scholar] [CrossRef]
- Mylläri, V.; Ruoko, T.; Syrjälä, S. A comparison of rheology and FTIR in the study of polypropylene and polystyrene photodegradation. J. Appl. Polym. Sci. 2015, 132, 1–6. [Google Scholar] [CrossRef]
- Chen, Q.; Wang, Q.; Zhang, C.; Zhang, J.; Dong, Z.; Xu, Q. Aging simulation of thin-film plastics in different environments to examine the formation of microplastic. Water Res. 2021, 202, 117462. [Google Scholar] [CrossRef]
- Ainali, N.M.; Bikiaris, D.N.; Lambropoulou, D.A. Aging effects on low- and high-density polyethylene, polypropylene and polystyrene under UV irradiation: An insight into decomposition mechanism by Py-GC/MS for microplastic analysis. J. Anal. Appl. Pyrolysis 2021, 158, 105207. [Google Scholar] [CrossRef]
- Guo, C.; Wang, L.; Lang, D.; Qian, Q.; Wang, W.; Wu, R.; Wang, J. UV and chemical aging alter the adsorption behavior of microplastics for tetracycline. Environ. Pollut. 2023, 318, 120859. [Google Scholar] [CrossRef]
- Liang, S.; Wang, K.; Wang, K.; Wang, T.; Guo, C.; Wang, W.; Wang, J. Adsorption Behavior of Diclofenac on Polystyrene and Poly(butylene adipate-co-terephthalate) Microplastics: Influencing Factors and Adsorption Mechanism. Langmuir 2023, 39, 12216–12225. [Google Scholar] [CrossRef]
- Bao, Z.-Z.; Chen, Z.-F.; Zhong, Y.; Wang, G.; Qi, Z.; Cai, Z. Adsorption of phenanthrene and its monohydroxy derivatives on polyvinyl chloride microplastics in aqueous solution: Model fitting and mechanism analysis. Sci. Total Environ. 2020, 764, 142889. [Google Scholar] [CrossRef]
- Suri, M.; Huld, T.A.; Duniop, E.D.; Tomas, C. European-Solar-Irradiation. 2006. Available online: http://www.eborx.com/download/en/data/European-Solar-Irradiation-kWh-m2.pdf (accessed on 8 July 2024).
- Wagstaff, A.; Lawton, L.A.; Petrie, B. Polyamide microplastics in wastewater as vectors of cationic pharmaceutical drugs. Chemosphere 2022, 288, 132578. [Google Scholar] [CrossRef]
- Liu, P.; Qian, L.; Wang, H.; Zhan, X.; Lu, K.; Gu, C.; Gao, S. New Insights into the Aging Behavior of Microplastics Accelerated by Advanced Oxidation Processes. Environ. Sci. Technol. 2019, 53, 3579–3588. [Google Scholar] [CrossRef] [PubMed]
- Sarkar, A.K.; Rubin, A.E.; Zucker, I. Engineered Polystyrene-Based Microplastics of High Environmental Relevance. Environ. Sci. Technol. 2021, 55, 10491–10501. [Google Scholar] [CrossRef] [PubMed]
- Gong, W.; Jiang, M.; Han, P.; Liang, G.; Zhang, T.; Liu, G. Comparative analysis on the sorption kinetics and isotherms of fipronil on nondegradable and biodegradable microplastics. Environ. Pollut. 2019, 254, 112927. [Google Scholar] [CrossRef] [PubMed]
- Puckowski, A.; Cwięk, W.; Mioduszewska, K.; Stepnowski, P.; Białk-Bielińska, A. Sorption of pharmaceuticals on the surface of microplastics. Chemosphere 2021, 263, 127976. [Google Scholar] [CrossRef] [PubMed]
- Fan, X.; Zou, Y.; Geng, N.; Liu, J.; Hou, J.; Li, D.; Yang, C.; Li, Y. Investigation on the adsorption and desorption behaviors of antibiotics by degradable MPs with or without UV ageing process. J. Hazard. Mater. 2021, 401, 123363. [Google Scholar] [CrossRef]
- Almond, J.; Sugumaar, P.; Wenzel, M.N.; Hill, G.; Wallis, C. Determination of the carbonyl index of polyethylene and polypropylene using specified area under band methodology with ATR-FTIR spectroscopy. e-Polymers 2020, 20, 369–381. [Google Scholar] [CrossRef]
- Arvaniti, O.S.; Antonopoulou, G.; Gatidou, G.; Frontistis, Z.; Mantzavinos, D.; Stasinakis, A.S. Sorption of two common antihypertensive drugs onto polystyrene microplastics in water matrices. Sci. Total Environ. 2022, 837, 155786. [Google Scholar] [CrossRef]
- He, J.; Chen, S.; Xu, Y.; Sun, M.; Yang, T.; Liang, L.; Xiong, X. Reduced adsorption of norfloxacin on UV aging microplastics in anoxic environment. Environ. Sci. Pollut. Res. 2023, 30, 67174–67186. [Google Scholar] [CrossRef]
- Wang, L.; Yang, H.; Guo, M.; Wang, Z.; Zheng, X. Adsorption of antibiotics on different microplastics (MPs): Behavior and mechanism. Sci. Total Environ. 2023, 863, 161022. [Google Scholar] [CrossRef]
- Gao, Z.; Cizdziel, J.V.; Wontor, K.; Olubusoye, B.S. Adsorption/desorption of mercury (II) by artificially weathered microplastics: Kinetics, isotherms, and influencing factors. Environ. Pollut. 2023, 337, 122621. [Google Scholar] [CrossRef]
- Li, J.; Zhang, K.; Zhang, H. Adsorption of antibiotics on microplastics. Environ. Pollut. 2018, 237, 460–467. [Google Scholar] [CrossRef]







| Compound | Molecular Formula | Chemical Structure | M.W. (g/mol) | log Kow | pKa |
|---|---|---|---|---|---|
| ISO | C6H7N3O | ![]() | 137 | −0.70 | 1.82 |
| IMC | C19H16ClNO4 | ![]() | 358 | 4.27 | 4.50 |
| MTZ | C6H9N3O3 | ![]() | 171 | −0.02 | 2.38 |
| TMP | C14H18N4O3 | ![]() | 290 | 0.91 | 7.12 |
| DCF | C14H11Cl2NO2 | ![]() | 296 | 4.51 | 4.15 |
| KPF | C16H14O3 | ![]() | 254 | 3.12 | 4.45 |
| VLS | C24H29N5O3 | ![]() | 436 | 4.00 | 4.73 |
| Parameters | Distilled Water | Seawater | Wastewater Effluent |
|---|---|---|---|
| pH | 5.9 | 8.3 | 6.9 |
| Conductivity (μs/cm3) | 35 | 83,200 | 1388 |
| TOC (mg/L) | <2 | 4.718 | 10.72 |
| Pseudo-First Order | Pseudo-Second Order | ||||||
|---|---|---|---|---|---|---|---|
| MPs | Pharmaceuticals | k1 min−1 | R2 | X2 | k2 g mg−1 min−1 | R2 | X2 |
| Virgin PP | TMP | 0.028 | 0.979 | 0.060 | 0.053 | 0.966 | 0.099 |
| MTZ | 0.034 | 0.991 | 0.022 | 0.070 | 0.965 | 0.090 | |
| IMC | 0.026 | 0.968 | 2.708 | 0.043 | 0.988 | 1.581 | |
| ISO | 0.037 | 0.971 | 0.088 | 0.063 | 0.972 | 0.074 | |
| UV-aged PP | TMP | 0.037 | 0.994 | 0.021 | 0.064 | 0.973 | 0.083 |
| MTZ | 0.026 | 0.995 | 0.014 | 0.043 | 0.969 | 0.096 | |
| IMC | 0.022 | 0.990 | 0.098 | 0.047 | 0.993 | 0.071 | |
| ISO | 0.016 | 0.968 | 0.119 | 0.026 | 0.995 | 0.014 | |
| Virgin PP | DCF | 0.025 | 0.958 | 0.701 | 0.048 | 0.986 | 0.233 |
| KTF | 0.031 | 0.956 | 0.142 | 0.063 | 0.987 | 0.046 | |
| VLS | 0.018 | 0.959 | 0.515 | 0.035 | 0.980 | 0.248 | |
| UV-aged PP | DCF | 0.026 | 0.994 | 1.290 | 0.052 | 0.983 | 3.736 |
| KTF | 0.035 | 0.985 | 0.551 | 0.066 | 0.991 | 0.441 | |
| VLS | 0.030 | 0.992 | 0.544 | 0.057 | 0.977 | 1.727 | |
| Freundlich Model | Langmuir Model | ||||||||
|---|---|---|---|---|---|---|---|---|---|
| MPs | Pharmaceuticals | KF (mg1−1/n L1/n g−1) | n | R2 | X2 | Qmax (mg/g) | KL (L/mg) | R2 | X2 |
| Virgin PP | TMP | 0.65 | 2.98 | 0.969 | 0.677 | 1.65 | 0.643 | 0.962 | 0.825 |
| MTZ | 0.40 | 2.45 | 0.970 | 0.343 | 1.25 | 0.437 | 0.957 | 0.490 | |
| ISO | 0.53 | 2.83 | 0.955 | 0.679 | 1.45 | 0.544 | 0.955 | 0.822 | |
| IMC | 3.98 | 4.04 | 0.991 | 2.902 | 7.83 | 1.005 | 0.983 | 5.328 | |
| UV-aged PP | TMP | 0.96 | 4.05 | 0.997 | 0.038 | 1.92 | 1.019 | 0.988 | 0.187 |
| MTZ | 0.60 | 3.12 | 0.994 | 0.054 | 1.51 | 0.565 | 0.990 | 0.095 | |
| ISO | 0.76 | 3.20 | 0.998 | 0.020 | 1.82 | 0.461 | 0.995 | 0.065 | |
| IMC | 4.28 | 3.50 | 0.994 | 1.107 | 9.30 | 0.776 | 0.989 | 2.077 | |
| Virgin PP | DCF | 1.67 | 2.37 | 0.991 | 0.451 | 5.5 | 0.412 | 0.987 | 0.644 |
| VLS | 0.93 | 1.95 | 0.996 | 0.155 | 4.1 | 0.293 | 0.989 | 0.830 | |
| KTF | 0.73 | 2.80 | 0.997 | 0.027 | 2.1 | 0.478 | 0.979 | 0.107 | |
| UV-aged PP | DCF | 2.63 | 2.62 | 0.974 | 2.281 | 7.3 | 0.528 | 0.981 | 1.477 |
| VLS | 1.61 | 2.48 | 0.988 | 0.399 | 5.5 | 0.337 | 0.997 | 0.095 | |
| KTF | 1.03 | 2.29 | 0.993 | 0.069 | 3.6 | 0.382 | 0.989 | 0.113 | |
Disclaimer/Publisher’s Note: The statements, opinions and data contained in all publications are solely those of the individual author(s) and contributor(s) and not of MDPI and/or the editor(s). MDPI and/or the editor(s) disclaim responsibility for any injury to people or property resulting from any ideas, methods, instructions or products referred to in the content. |
© 2024 by the authors. Licensee MDPI, Basel, Switzerland. This article is an open access article distributed under the terms and conditions of the Creative Commons Attribution (CC BY) license (https://creativecommons.org/licenses/by/4.0/).
Share and Cite
Kalaronis, D.; Evgenidou, E.; Kyzas, G.Z.; Bikiaris, D.N.; Lambropoulou, D.A. Adsorption of a Mixture of Daily Use Pharmaceuticals on Pristine and Aged Polypropylene Microplastics. Environments 2024, 11, 198. https://doi.org/10.3390/environments11090198
Kalaronis D, Evgenidou E, Kyzas GZ, Bikiaris DN, Lambropoulou DA. Adsorption of a Mixture of Daily Use Pharmaceuticals on Pristine and Aged Polypropylene Microplastics. Environments. 2024; 11(9):198. https://doi.org/10.3390/environments11090198
Chicago/Turabian StyleKalaronis, Dimitrios, Eleni Evgenidou, George Z. Kyzas, Dimitrios N. Bikiaris, and Dimitra A. Lambropoulou. 2024. "Adsorption of a Mixture of Daily Use Pharmaceuticals on Pristine and Aged Polypropylene Microplastics" Environments 11, no. 9: 198. https://doi.org/10.3390/environments11090198
APA StyleKalaronis, D., Evgenidou, E., Kyzas, G. Z., Bikiaris, D. N., & Lambropoulou, D. A. (2024). Adsorption of a Mixture of Daily Use Pharmaceuticals on Pristine and Aged Polypropylene Microplastics. Environments, 11(9), 198. https://doi.org/10.3390/environments11090198








