Abstract
This study concerns the investigation of the sorption and desorption phenomena of the organic dye methylene blue (MB) on three different marine sediments and non-living biomass of the seagrass species Posidonia oceanica. All tested adsorbents were of natural origin and were collected from unpolluted coasts of the North Aegean Sea (Greece). The batch equilibrium technique was applied and MB concentrations were determined by spectrophotochemical analysis (λ = 665 nm). The experimental results showed that all four isotherm models, Freundlich, Langmuir, Henry, and Temkin, could describe the process. The normalized to organic matter content adsorption coefficients (KOM) ranged between 33.0765 and 34.5279 for the studied sediments. The maximum adsorption capacity (qmax) of sediments was in the range of 0.98 mg g−1 and 6.80 mg g−1, indicating a positive correlation with the adsorbents’ organic matter content, textural analysis of fine fraction (<63 μm), and specific surface area. The bioadsorption of MB on P. oceanica biomass resulted in 13.25 mg g−1 up to 17.86 mg g−1 adsorption efficiency. Desorption studies revealed that the studied dye in most cases was very strongly adsorbed on studied matrices with extremely low quantities of seawater extractable amounts (≤1.62%). According to the experimental findings, phycoremediation by using P. oceanica can be characterized as an efficient method for the bioremediation of dye-polluted wastewater.
1. Introduction
In modern society, a constantly growing number of harmful organic substances are discarded into the environment. Organic dyes constitute a category of synthetic and environmentally persistent pollutants. These compounds are mainly used in the fashion industry which is responsible for the consumption of 79 trillion liters of water annually, contributing to about 20% of industrial wastewater [1,2].
A wide variety of dyes, including aryl amines, azo dyes, anthraquinones, carbazoles, oxazines, phenothiazines, rhodamines, thiophene dyes, and several other chemicals that are classified into different chemical groups, are used in numerous applications. More than 100,000 commercial dyes have been reported worldwide [3]. Regardless of the various procedures that have been used worldwide to treat dye-containing wastewater produced by various industries (such as adsorption, precipitation, reverse osmosis, oxidation/reduction, and biological methods including aerobic and anaerobic treatments), dyes are inevitably released to the environment, producing highly colored wastewater (according to the relevant scientific data, approximately 10–15% of the originally used amount) [4]. Therefore, like many other anthropogenic organic substances, organic dyes can be introduced into various aquatic ecosystems including marine and coastal environments. The majority of dyes, along with their degradation byproducts, after penetrating several environmental compartments (soil, water, air), may cause numerous health problems for the inhabitants of the ecosystems and consequently humans due to their toxic and carcinogenic nature [5,6]. Solar radiation penetration and thus a reduction in the photosynthesis rate of phytoplanktons and other macrophytes present in water, pH, and salinity of the water alterations, a reduction in dissolved oxygen (DO), an increase in biological oxygen demand (BOD) and chemical oxygen demand (COD) are some of the impacts that affect the overall ecological balance of the water body [1,7,8].
Hence, the scientific interest is non-diminishingly focused on dyes’ environmental fate and behavior, and their removal from dye-polluted wastewater matrices. Based on the retrieved literature, the removal of dyes can be achieved by numerous physical, chemical, and biological traditional techniques [9,10,11], while adsorption processes are considered feasible and effective methods for their elimination from water bodies [1,12]. The effectiveness of various low-cost adsorbents towards dye adsorption has been investigated, such as natural materials, waste materials from industry, agricultural by-products, and biomass-based activated carbon [1,12,13].
Biosorption of toxic pollutants by macroalgae and microalgae, known as phycoremediation, is a promising method for wastewater treatment due to its natural, eco-friendly and cost-effective characteristics [1]. The major advantages of using algae in adsorption-based treatment of colored wastewater are their easy availability and growth, efficient uptake of dyes, and formation of less toxic sludge [1].
Methylene blue (MB) is an organic molecule classified as an aromatic heterocyclic basic dye. It is widely utilized as a synthetic dye across multiple industries, including textile, plastic, paper, and printing, and in scientific applications such as photo-redox catalysis, fluorescent tracers, and various medicinal uses. The International Union of Pure and Applied Chemistry (IUPAC) recognizes it by its full name: [7-(Dimethylamino)phenothiazin-3-ylidene]-dimethylazanium chloride (Table S1, Supplementary Materials). Notably, MB is highly water-soluble and is recognized as a cationic and primary thiazine dye [14]. Its principal applications involve the paper, pulp, and printing industries, textile dyeing—especially for materials like silk, wool, and cotton—and as a pharmaceutical agent in the treatment of methemoglobinemia [1,13,14].
Since the dye compound MB is xenobiotic, its environmental fate and behavior are critical issues in research conducted by the scientific community. The persistence of the molecule determines its mobility across environmental compartments and defines its impact on the ecosystem. A comprehensive list of scientific studies, including various literature reviews, has documented the removal of MB through adsorption [15,16,17] and bioremediation [12,13,18]. Based on the broad published bibliographic information gathered in this research, there has been significant scientific interest in removing MB dye as a pollutant from aqueous solutions through adsorption techniques utilizing biomass. Numerous studies on biosorption of MB dye by plants, macroalgae or microalgae revealed an interesting adsorption potential of some species such as Posidonia oceanica [19], Enteromorpha spp. [20], Spirodela polyrrhiza [21], Ulva Lactuca [22], Cystoseira barbatula [23], Sargassum muticum [24], Bifurcaria bifurcate [25], Fucus vesiculosus [26], Chlorella pyrenoidosa [27], Phaeodactylum tricornutum [28], Caulerpa lentillifera [29], Sargassum muticum [30], and Gelidium [31]. Selected bibliographic references regarding maximum adsorption capacity of adsorbent materials of different origins for the removal of MB dye are summarized in Table S2 (Supplementary Materials).
However, the published scientific data retrieved showed that there is a complete lack of data regarding the sorption process of MB dye in water systems and specifically in marine and coastal ecosystems. Although, for a few decades, the method of biosorption of chemical dyes and especially MB on biomass adsorbent materials of various origins (e.g., algae, fungi, agricultural by-products, activated carbon, etc.) has been extensively studied and has been proven to be a very effective method of remediation of industrial wastewater containing xenobiotic pigments, the study of the adsorption process in natural environmental substrates such as soils and sediments is minimal. Consequently, the existing literature offers limited published data on the adsorption of MB onto natural substrates, such as marine sediments [32,33].
The present study concerns two scientific targets: (i) to investigate the sorption and desorption behavior of MB on three different marine sediments collected from unpolluted coasts of the North Aegean Sea (Greece) that varied in their textural analysis, content of organic matter, and specific surface area, and (ii) to examine whether the seagrass species Posidonia oceanica is a natural material that can be used for the efficient bioadsorption of MB dye and consequently considered as a promising alternative treatment that could be applied as a supplement or a substitute method of current water treatments for the removal of organic pollutants from wastewater.
2. Materials and Methods
Analytical grade MB (Figure 1) was supplied by Merck KGaA (Darmstadt, Germany) and used as an adsorbate without any further purification. MB is a dark green crystal or a crystalline powder with bronze lustre, odorless, stable in air, deep blue solution in water or alcohol, forms double salts. MB’s main physicochemical properties and other information are shown in Table S1 (Supplementary Materials). The stock solution of MB (1000 mg L−1) was prepared daily in high-purity water Type II (Evoqua Water Technologies LLC, Kent, UK) and suitably diluted in saltwater to the required initial concentrations (working solutions). The seawater used in the current study was collected from an unpolluted area of the Aegean Sea, near the city of Mytilene (Lesvos) (Figure S1, Supplementary Materials). Seawater was chosen as reaction and dilution media used in the experiments as it simulates open field/ocean conditions (more realistic under the controlled laboratory conditions used).
Figure 1.
Structural formulae of MB.
The sediment samples used in the present study were collected from three different sampling stations of the Aegean Sea in Northern Greece (Figure S1, Supplementary Materials). Specifically, sediment samples 1 and 2, S1 and S2, respectively, were collected from stations 1 and 2, which were located in relatively unpolluted coastal areas of Chios (S1) and Lesvos (S2) islands. In contrast, sample 3 (S3) was gathered from station 3, which was located in a marine aquaculture industry (Selonda, Gera’s Golf, Lesvos) (Figure S1, Supplementary Materials).
Before their use, all three samples were air-dried at room temperature, passed through a 10-mesh sieve (2mm particle size), and stored in tightly sealed dark Pyrex vials under refrigeration (at −20 °C). The determination of the % content of sediments’ organic matter was performed according to the Walkley & Black chromic acid wet oxidation method [34]. The organic matter content was calculated by multiplying organic carbon by factor 1.72 (that is derived from 100/58, on the assumption that about 58% of the mass of organic matter exists as carbon). Finally, the specific surface area of the collected sediments was determined by the Ethylene Glycol Monoethyl Ether (EGME) method [35]. In Table 1 the afore-mentioned characteristics of the analyzed marine sediments are presented. The criteria for the selection of those substrates as adsorbent surfaces were based on both their difference in their textural analysis fine fraction (<63 μm) (that ranged between 1.68 and 34.54%) and the content of organic matter as well (that varied from 1.70 to 5.38%).
Table 1.
Characteristics of the studied sediments.
The non-living biomass of the species Posidonia oceanica employed as an adsorbent material was manually collected from the coastal area of the city of Mytilene (Lesvos, N. Aegean) (Figure S1, Supplementary Materials). The collected seagrass biomass was transferred in plastic bags to the laboratory within the same day and thoroughly washed with running tap water to remove any foreign bodies, chemical substances, and remaining saltwater. Afterward, the washed biomass was rinsed with ultrapure water multiple times (at least three). Finally, the seagrass mass was placed spread out on filter papers laid on plastic trays and left until complete air-drying was achieved at ambient temperature (18–20 °C) for 48–72 h to a constant weight. The storage of dried P. oceanica biomass was carried out in hermetically sealed glass jars until their further use in the adsorption tests. Simultaneously, the natural pretreatment of P. oceanica biomass was assessed by cutting its fibers into smaller pieces measuring 2 mm in width and 6–7 mm in length. This method was evaluated as a simple approach to enhance its adsorption capacity.
2.1. Adsorption Studies
The batch adsorption experiments were conducted according to the Test Guideline-106 proposed by the Organization for Economic Co-operation and Development Guideline 106 [36]. The method has been previously described in detail by Vagi et al., 2023 [13,37]. Briefly described, all tested adsorption systems were prepared separately in Erlenmeyer flasks by mixing a known volume of MB standard solution (prepared in seawater and with final concentrations ranging between 1 and 100 mg L−1) with a pre-weighed quantity of studied adsorbent (marine sediment or seagrass biomass). Erlenmeyer flasks were sealed with Teflon lining and shaken by a horizontal shaker (Gesellschaft für Labortechnik, GFL, Burwedel, Germany) until an adsorption equilibrium was reached (according to the results of the conducted preliminary kinetic experiments) at a constant room temperature of 20 °C ± 1 °C. After equilibration, aliquots of the aquatic suspensions were withdrawn (5 mL), centrifuged (5000 rpm for 15 min, Heraeus, Hanau, Germany), and the remaining (not adsorbed) dye concentrations in the solution were determined by spectrophotochemical analysis at 665 nm (Cary 60 UV-Vis Spectrophotometer, Agilent Technologies, Santa Clara, CA, USA).
The amount of adsorbed MB on the marine substrates was evaluated by calculating the difference between the initial and equilibrium dye concentrations in the solution (Equations (1) and (2)):
where Ci and Ce are the initial and equilibrium (or final) concentrations of MB dye (in mg L−1), respectively, V is the volume of the dye solution (in L), and m is the mass of dry adsorbent tested (in g) [1,20,38].
Further mass balance calculations were made based on the assumption that the total amount of MB dye that was originally added in the adsorption mixtures was equal to the sum of the amount of permanently adsorbed MB on the marine substrates used as adsorbent materials, the amount of pigment desorbed, the remaining (free or not adsorbed) amount in the marine solution, and finally the amount of MB degraded by biotic or abiotic processes (Equation (3)):
where MBtotal is the total amount of MB dye initially contained in the adsorption systems, MBperm.ads. is the amount of MB adsorbed permanently on the adsorbents’ surface, MBsol is the amount of MB remaining in the solution, and MBdegrad. is the amount of MB degraded.
Simultaneously, a similar experimental procedure was followed for blanks (without MB) and controls (without sediment or seagrass biomass), which were included in each sample batch to ensure the quality control of the conducted experiments. The average values of six replicates were obtained and analyzed (thus, N = 6).
2.2. Desorption Studies
Desorption of adsorbed MB at 20 °C ± 1 °C was determined by using the experimental systems from previously conducted batch adsorption tests. When the equilibrium of the solid–solution mixtures (marine sediment–seawater or seagrass biomass–seawater mixtures) was reached, the entire volume of supernatants was poured off (after centrifugation, 5000 rpm for 15 min) and replaced by fresh seawater. The flasks were mechanically shaken for 2 h to achieve the desorption equilibration process and afterwards centrifuged (5000 rpm for 15 min). In each case, the amount of dye recovered through the desorption process by seawater was determined by spectrometric analysis (λ = 665 nm), whereas the amount of MB remaining permanently adsorbed by the sediment or seagrass biomass was calculated as the difference between the initial adsorbed amount and the desorbed amount [13,37].
2.3. Isotherm Adsorption Modeling
The isotherm data were analyzed using four of the most commonly used equilibrium models, Freundlich, Langmuir, Henry and Temkin, which are described by Equations (4)–(7), respectively:
where x/m = Cs = q (in mg g−1) is the quantity of dye adsorbed (x, in mg) per unit mass of adsorbent (m, in g); Ce (in mg L−1) is the equilibrium concentration of MB in solution; KF (in mg1−1/n g−1 L1/n) is the adsorption constant or distribution coefficient that represents the quantity of MB adsorbed in mg/g (sediment) for a unit equilibrium concentration of the compound under test; n represents the energy distribution of the sorption sites, while l/n is a measure for the sorption intensity (e.g., for n = l the partition between the two phases is independent of the concentrations); (x/m)max = qmax (in mg g−1) is the measure of monolayer (maximum) adsorption capacity of the adsorbent substrate (marine sediment); KL is the Langmuir constant and represents the energy of adsorption (in L mg−1); KH is the adsorption constant (or distribution coefficient) of Henry’s isotherm model that indicates the adsorbate affinity toward a solid surface (in L g−1); BT is a constant related to the heat of adsorption [BT = RTb where b is a constant (in J mol−1); T is the absolute temperature (in K); R is the gas constant (8.314 J mol−1 K−1)]; and KT is the isotherm constant (in L g−1) [35,36,37,38,39,40,41,42].
The adsorption distribution coefficients are important parameters for understanding the mobility of a chemical compound in the environmental matrices and its distribution between water and sediment compartments. However, their values for a given compound can vary dramatically between different types of soils or sediments. For that reason, the values of adsorption distribution coefficients are often normalized to the organic content of the matrix to obtain sorption coefficients that do not depend on the specific property of the sorbent. The sorption coefficients, normalized to organic matter content (KOM), are described as the ratio between the sorption coefficient KF, and the organic matter content of the sorbent, in units of mass of organic matter (OM) per mass of sediment (g OM/g sediment). Estimated KOM coefficients were used to assess the extent to which the studied organic chemical MB dye was sorbed. KOM values were calculated through Equation (8):
2.4. Adsorption Kinetics
The linearized pseudo-first-order and pseudo-second-order kinetic equations for the adsorption of dissolved molecules of MB onto tested adsorbents are described by Equations (9) and (10), respectively:
where k1 is the first-order adsorption rate constant (in min−1), k2 is the second-order rate constant (in mg·g−1·min−1), and the variables Ce and Ct describe the concentrations (in mg L−1) at equilibrium (e), and at any time (t), respectively [40].
3. Results and Discussion
The experimental results obtained from the conducted adsorption–desorption batch equilibrium tests that were carried out are presented below.
3.1. Adsorption of MB Dye onto Marine Sediments
3.1.1. Effect of Contact Time and Kinetics
The effect of contact time on the extent of dye adsorbed onto the three marine adsorbent materials (and therefore removed from the aquatic solution) in terms of the percentage amount remaining in solution versus contact time was investigated. The data acquired after the mechanical agitation of 7 mg L−1 MB seawater solution–sediment mixtures for 10, 20, 30, 60, 120, and 360 min are presented in Figure 2 for all the selected marine sediments and control experiments. The experiments focusing on the effect of contact time on the extent of dye adsorbed onto the three marine adsorbent materials were conducted prior to the others. Therefore, since they were performed in the preliminary phase, they occupy a different mass of adsorbent (0.5 g L−1) than the optimum dose (2 g L−1).
Figure 2.
Rate of sorption of MB onto marine sediments studied (experimental conditions: dye’s initial concentration = Ci = 7 mg L−1; volume of MB seawater solution = 50 mL; dose of adsorbent = 0.5 g L−1; pH = 8.00; T = 20 °C ± 1 °C). Mean values of six replicates (N = 6) and standard deviations.
The results indicate that the sorption of MB on the three marine sediments occurred rapidly under the tested experimental conditions. Thus, it is justified that pH 8 was selected for the contact time experiments because it simulates the pH of seawater. All systems reached equilibrium, with the S3 sediment sample, which had a higher organic matter content (5.38%) and the highest percentage of fine fraction (<63 μm) at 34.54%, showing the fastest rate. Equilibrium for the S3 sediment and MB solution mixtures was achieved within 30 min. However, a contact time of 2 h was established as the optimum for all sediment–MB solution adsorption systems, as equilibrium was attained for all tested systems within that timeframe.
Given that in batch-type adsorption systems, a monolayer of adsorbate is normally formed on the surface of the adsorbent, the rate of transport of MB dye from the aqueous seawater solution onto the surface of the adsorbent was decreased when the adsorption sites of the adsorbent particles were also reduced [39,40]. Moreover, the amount of MB degraded during this time was negligible, as indicated by the control experiment of MB in seawater without adding sediment.
Τhe derived experimental data of Figure 2 were fitted to the linearized kinetic models of pseudo-first-order and pseudo-second-order (Equations (9) and (10)). The linear regression analyses and the constants were calculated by using Microsoft Excel, Version 2010. In the case of the pseudo-first-order kinetic model values, low linear regression correlation coefficients (R2 ranged between 0.6862 and 0.9649) indicated, in the cases of samples S1 and S2, very satisfactory agreement between the model and experimental data, whereas in the case of S3, the fitness of the pseudo-first-order model was very poor. The rate constants, k1, obtained for the pseudo-first-order model ranged between 0.030 and 0.061 min−1. The adsorption rate of MB was higher in the solution containing S3 sediment than when sediments S1 and S2 were used. For all the studied cases, the samples followed the pseudo-second-order kinetic model, which gave higher correlation coefficients for the adsorption of MB dye using the three selected marine sediments as adsorbents (R2 > 0.9997). The rate constant, k2, obtained for the pseudo-second-order model depended on the sediment employed and the higher value was determined for the case of sediment S3 (k2 = 0.022 mg·g−1·min−1).
3.1.2. Adsorption Isotherms
In the related literature, the adsorption process is usually investigated by plots/isotherms that relate to the solute’s relative concentrations in solution (Ce) and adsorbed to the solid adsorbent (q). For that purpose, ten test substance initial concentrations (Ci) were used between the range of 5 and 300 mg L−1 in batch adsorption tests, as described in Section 2.1. (Experimental conditions: volume of MB seawater solution = 50 mL; dose of adsorbent = 2 g L−1; contact time = 2 h; pH = 8.00; T = 20 °C ± 1 °C). The range of concentration levels of MB in the initial seawater solution that was in contact with the marine sediment was slightly different for the case of the S3 sediment sample. The lowest initial concentration of 5 mg L−1 (included in the cases of sediments S1 and S2) was not studied, since total removal of MB through adsorption was expected to occur. Additionally, S3 was the only sample for which the highest of 300 mg L−1 was tested (Table S2, Supplementary Materials). After adsorption equilibrium was reached, individual spectrophotometric analysis of the aqueous phases was performed and the solution’s equilibrium concentrations (Ce) of MB were determined, and the amount of dye adsorbed on the marine sediment’s surface was calculated from the depletion of the test substance in the solution (indirect method). The adsorbed mass per unit mass of adsorbent was plotted as a function of the equilibrium concentration of the test substance [36]. Derived data are illustrated in Figure 3 (and Table S3, Supplementary Materials) and were further processed via the four selected isotherm models (Freundlich, Langmuir, Henry, and Temkin) in order to draw safer conclusions regarding the study of the specific process [35,36,37,38,39,40,41,42,43,44].
Figure 3.
Adsorption isotherms of MB dye on three studied marine sediments (experimental conditions: dye’s initial concentration = Ci = 5 to 300 mg/L; volume of MB seawater solution = 50 mL; dose of adsorbent = 2 g L−1; contact time = 2 h; pH = 8.00; T = 20 °C ± 1 °C). Mean values of six replicates (N = 6) and standard deviations.
3.1.3. Adsorption Isotherm Modeling
The acquired experimental data depicted in Figure 3 (and Table S3, Supplementary Materials) were fitted to the four isotherm adsorption models, Freundlich, Langmuir, Henry, and Temkin, which are described by Equations (4)–(7), respectively. The obtained values for the basic isotherm modeling parameters after the application of the above four Equations are presented in Table 2.
Table 2.
Isotherm modeling parameters related to the adsorption of MB onto marine sediments 1. Mean values of six replicates (N = 6).
From Table 2, it is observed that the equilibrium sorption data were very well represented by the Freundlich isotherm, which provided the highest correlation coefficients (R2 ≥ 0.9004), whereas the lowest correlation coefficients were calculated for the Henry isotherm (R2 ≥ 0.6949), which is a one-parameter adsorption model that represents a linear relationship between the adsorbed adsorbate and the bulk amount of adsorbate present in the solution. In the Freundlich isotherm model, the surface is considered heterogeneous, and, in this case, monolayer capacity is not assumed [1,45]. The estimated values of the Freundlich sorption coefficients KF for adsorption systems of MB and S1, S2, and S3 sediments were 1.0049, 0.5623, and 1.8576 L mg−1, respectively. Furthermore, the calculated 1/n values between 0.328 and 0.546 (therefore less than 0.7) described highly curved isotherms (Figure 3). The obtained values of (1/n) < 1, as well as those stated in the literature, represent a convex, L-type isotherm in which the adsorption energy decreases as the surface concentration increases, and the adsorption process is favorable if 1/n is greater than zero (0 < (1/n) < 1) [45].
In all three cases of marine sediment samples tested, the KF (Freundlich isotherm model), qmax (Langmuir isotherm model), KH (Henry isotherm model), and BT (Temkin isotherm model) values are in the order of S3 > S1 > S2 (Table 2), while the % content of organic matter of the adsorbent sediments is in the order of S3 > S1 > S2 (Table 1). The lower adsorption capacity was determined in the experiments using the sediment with a lower content of organic matter (S2) as an adsorbent. In other words, the amount of MB sorbed on the sediment with a lower content of organic matter (S2) was the smallest. On the contrary, for sediments with a higher organic matter content (S1, 2.94%, and S3, 5.38%), sorption followed a different behavior and occurred to a higher extent. Therefore, a positive correlation between the sorption of MB and the organic matter content of marine sediments is indicated.
The estimated values of the KOM coefficients (Equation (8)) ranged from 33.0765 to 34.5279. The acquired data confirmed that using KOM coefficients over KF coefficients is preferable when adsorption experiments are performed on substrates with different percentages of organic matter content, as this smooths out the differences between the substrates, which, in any case, are reduced but not eliminated. Furthermore, the decreasing order of adsorption capacity, based on organic matter content normalized adsorption coefficients, followed the corresponding decreasing order of content of organic matter in the sediments:
Sediment S3 (KOM = 34.5279) > Sediment S1 (KOM = 34.1803) > Sediment S2 (KOM = 33.0765)
3.1.4. Affinity of Studied Marine Sediments with the MB Dye
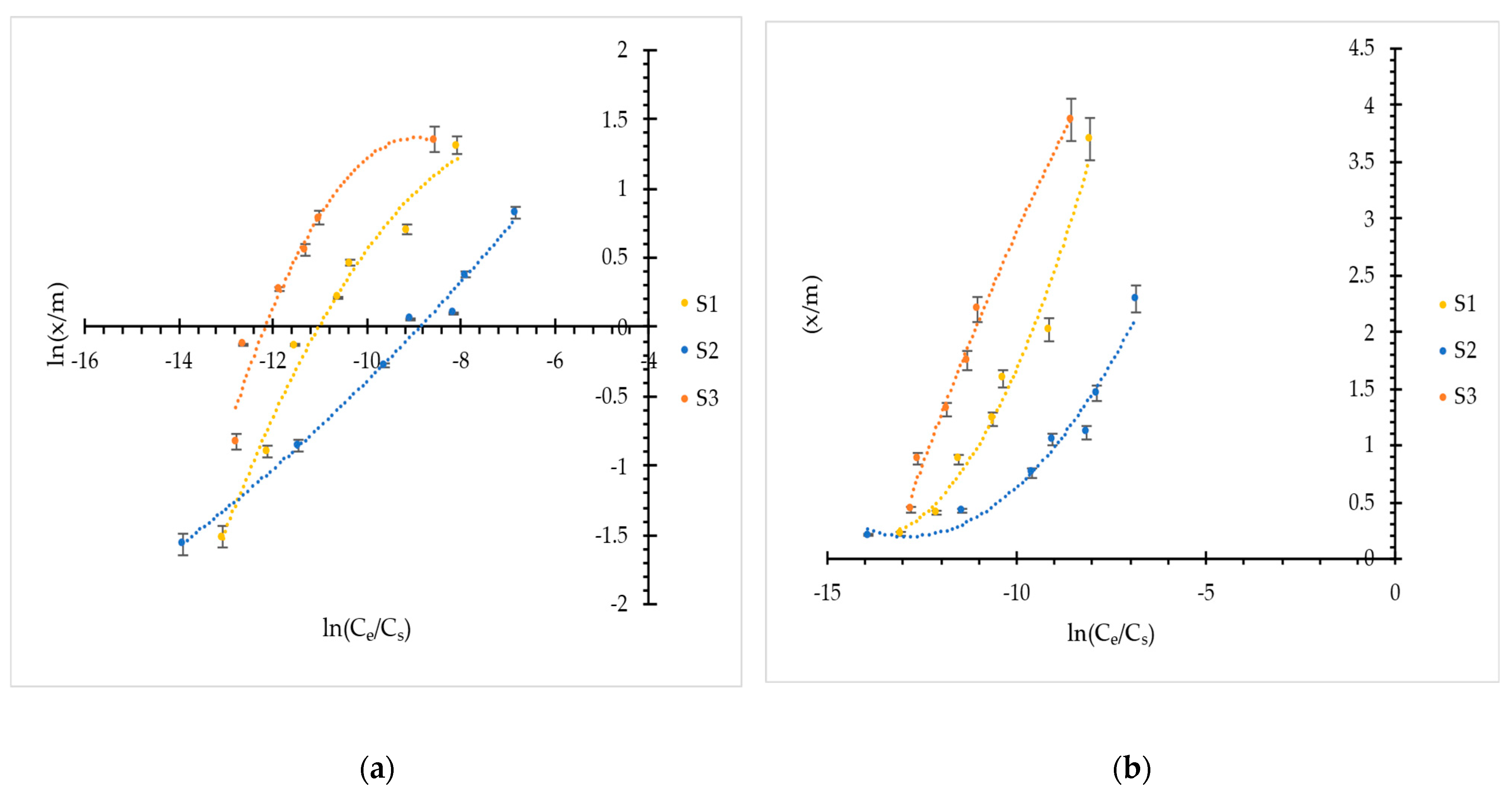
According to the relevant scientific literature, in order to draw useful and safe conclusions regarding the affinity of the solid adsorption surface (i.e., marine sediments) with the adsorbed substance, the production of plots that describe the extent of adsorption in conditions of saturation of the aqueous solution is suggested, as in, for example, the function ln(x/m) = f[ln(Ce/Cs)] [46]. In Figure 4, the relative graphs obtained that show the correlation for each one of the three sediments examined with the synthetic dye MB through the relations (a) ln(x/m) = f[ln(Ce/Cs)] and (b) (x/m) = f[ln(Ce/Cs)], where Ce is the adsorption equilibrium concentration and Cs is the solubility of synthetic test compound in water (43.6 g/L, data from reference [47]), are illustrated.
Figure 4.
Affinity of the three examined marine sediments to the adsorption of the synthetic dye MB, (a) ln(x/m) = f[ln(Ce/Cs)] and (b) (x/m) = f[ln(Ce/Cs)]. Mean values of six replicates (N = 6) and standard deviations.
Based on the information acquired from the relevant processing of the experimental results, it appears that the affinity of the marine sediment substrates for the adsorption of the selected synthetic dye follows the increasing order of S2 > S1 > S3 as the isotherms in Figure 4a,b shift towards lower values of the parameter ln(Ce/Cs).
3.1.5. Mass Balances
In Table 3, the results of the average values determined after the execution of relevant experiments are depicted concerning the percentage masses of MB dye: (i) adsorbed on 1 g of marine sediment at seven different concentrations, called loading levels, which ranged from 0.225 to 4.5 mg g−1 of dry marine sediment, (ii) desorbed by 10 mL of seawater (for loading levels 0.225, 0.45 and 0.9 mg g−1) or 20 mL of seawater (for loading levels 0.225, 0.45 and 0, 9 mg g−1), and finally (iii) remained free (or not adsorbed) in the seawater phase.
Table 3.
Average values of percentage balances for the adsorbed, desorbed and free amount of the selected synthetic dye in the marine sediments of the study (experimental conditions: sediment mass (adsorbent): 1.0000 ± 0.0002 g; volume of MB seawater solution = 45 mL; rotational stirring speed: 150 rotation min−1; Ph = 8.00; T = 20 °C ± 1 °C). Mean values of six replicates (N = 6).
According to the relevant laboratory results of the mass balance study, it was evident that the percentages of the amount of MB dye adsorbed in all three marine sediments from different origins in the North Aegean Sea were notably high. For sample S1, the adsorption ranged from 85.75% to 98.06%. Sample S2 showed a broader range from 51.24% to 99.17%, while sample S3 had percentages ranging from 91.34% to 99.24%. As expected (based on the treatment results acquired by adsorption isotherm models and the assessment of the affinity of the substance with the substrates), the lowest adsorption rates were observed for the case of sample S2, which was the sample containing the minimum values of organic matter content (1.70%) and microparticle fraction < 63 μm (6.24%). On the contrary, the highest adsorption percentages were recorded for the case of sample S3, which was the sample with the highest content of organic matter (5.38%), as well as the highest value of microparticle content < 63 μm (34.54%).
Additionally, it became evident from Table 3 that the adsorption of the selected organic compound decreased as its concentration increased in the seawater/sediment system. For example, the % amount of adsorbed substance in sample S2 decreased from 99.17% to 51.24% (~48% reduction) when the initial concentration in the aqueous solution that was in contact with the solid surface of the sediment rose from 5 mg L−1 to 100 mg L−1 (those concentrations in the contact solution correspond to loading levels of 0.225 mg g−1 and 4.5 mg g−1 marine sediment, respectively). These results are in accordance with the relevant scientific literature, according to which this phenomenon is expected and interpreted based on the fact that as all the active adsorption sites available from the surface of the marine sediment are occupied, the system is driven towards a saturation state [12,45].
Regarding the desorption process, as it follows from Table 3, the percentages of the desorbed amount of MB dye (calculated based on the initial amounts of MB loaded in batch adsorption systems and based on the corresponding adsorbed masses of MB) were low. More specifically, the percentages of the desorbed amounts of MB (based on the initial amounts of the compound in the sediment/seawater mixture) ranged for sample S1 from 0.09 to 1.62%, for sample S2 from 0.09 to 0.38%, and for sample S3 from 0.00 to 0.68%. These observations suggest the following assumptions: (i) strong retention of the adsorbed molecules of the compound with the colloidal particles of the sediment through high-energy bonds which do not break and consequently the process of adsorption (chemisorption) is irreversible; and (ii) greater affinity of the molecules of the MB compound to the adsorption sites of the colloids of the marine sediments examined compared to seawater.
Previous studies dealing with the desorption of MB from dye-loaded biomass in the literature focused on the hysterysis phenomenon and mechanisms [43,44]. In the recent study of Azzaz et al. (2019), the desorption of MB from alkali-treated adsorbent was investigated under different experimental conditions [43]. The results of the conducted study confirmed that MB desorption is most likely driven by a cationic exchange mechanism between dye molecules and sodium ions. In fact, the presence of Na+ ions in the bulk solution triggered an ion exchange reaction with MB molecules present on the adsorbent’s surface, in addition to the breakdown of some low-energy bindings [43]. According to more recent research of the same authors (2021), it appeared that the MB molecules’ desorption from the particles of the adsorbent was mainly driven by a counter chemisorption process based on cationic exchange with the sodium and hydronium ions present in the desorbing solutions [44].
Finally, the unadsorbed amount of synthetic dye that remained free in the overlying seawater solution (i.e., in the water column of marine environment) was different for each case of examined sediment and dependent on the physicochemical characteristics of the underlying marine sediment substrate. In particular, the highest percentages of non-adsorbed/free amount of MB, which ranged from 0.83 to 48.76% of the initial amount, were observed in the case of sample S2, which was the sample with the minimum content of organic matter and fine textural fraction < 63 μm (1.70% and 6.24%, respectively). On the contrary, the lowest percentages of free amount were recorded for the case of sample S3 (from 1.00 to 8.66% of the initial amount of MB), which was the sample with the maximum organic matter content (5.38%) as well as the highest value of contained microparticle fraction < 63 μm (34.54%). Sample S1 showed moderate behavior as the percentages of non-adsorbed, and therefore bioavailable substance percentages, ranged from 1.94 to 14.25%, an observation attributed to the corresponding values of organic matter content (2.94%) and microparticle fraction < 63 μm (1.68%).
3.2. Adsorption of MB Dye onto Seagrass Biomass of Posidonia oceanica Species
3.2.1. Effect of Contact Time
The effect of contact time on the amount of dye adsorbed on biomass of P. oceanica was examined at various time intervals in seawater solutions containing initial concentrations of dye that varied (within the range of 10 to 50 mg L−1), and which were mixed with two different doses of the studied algal adsorbent substrate (1 and 2 g L−1). Selected experimental data obtained are presented in Figure 5 for both cases of biomass in original physical size and biomass cut into smaller length pieces (2 mm width × 7 mm length). Based on the results, the contact time required to achieve adsorption equilibrium is short (about 60 min) with respect to that for marine sediments (Section 3.1.1), indicating a rapid process of transport and accumulation of MB on the surface of the seagrass biomass. The relative increase in the extent of removal of dye after 60 min of contact time is not significant and hence it was fixed as the optimum contact time for MB and P. oceanica adsorption systems.
Figure 5.
Rate of sorption of MB onto seagrass biomass of P. oceanica (experimental conditions: dye’s initial concentration = Ci = 40 mg L−1; volume of MB seawater solution = 50 mL; dose of adsorbent = 2 g L−1; rotational stirring speed = 150 rpm; pH = 5.45; T = 20 °C ± 1 °C). Mean values of six replicates (N = 6) and standard deviations.
Considering that the rate of the studied physical process of transport and retention of the substance from the liquid solution on the solid surface of the adsorbent depends on the number and availability of surface adsorption sites, the shape of the curve was expected. Τhe decrease in the adsorption rate of MB pigment by P. oceanica species depending on the time that is observed in Figure 5 is attributed to the fact that the increase in the quantity of substance already adsorbed leads to less likely possibilities for a non-adsorbed molecule to find an available adsorption site.
In addition, according to Figure 5 data, the estimated rate of the process was greater in the material of seagrass biomass that had been divided into small pieces compared to not-cut seagrass biomass. This observation was expected since the increase in the surface area of adsorbent accelerates the phenomenon, especially in the initial stages, when diffusion and dispersion from the solution between the pores of the adsorbent take place. Finally, a negligible amount of MB degraded during the control experiment (MB in seawater without adding algal biomass, Figure 5).
3.2.2. Effect of Adsorbent’s Dose
The effect of the adsorbent’s dose on the extent of MB dye adsorption (in terms of percentage removal and equilibrium concentration) was investigated by the conduction of a series of batch adsorption experiments using different amounts of algae mass of P. oceanica species. Hence, individual masses of adsorbent material ranging between the values of 1 and 25 g L−1 were used, mixed with 50 mL of dye standard solution at three concentration levels (20 mg L−1, 30 mg L−1 and 50 mg L−1) and shaken mechanically to reach the adsorption equilibrium (contact time 60 min, stirring speed 150 rpm, pH = 5.77, T = 20 °C ± 1 °C). The relevant data for the initial concentration level of 20 mg L−1 are given in Figure 6, indicating that the percentage removal of MB increased with the increase in the dose of adsorbent. This may be due to the increase in availability of surface-active sites resulting from the increased dose and conglomeration of the adsorbent, which is in accordance with the findings of other researchers [20,38,48].
Figure 6.
Effect of the amount of P. oceanica biomass on the adsorption of the MB dye (experimental conditions: dye’s initial concentration = Ci = 20 mg L−1; volume of MB seawater solution = 50 mL; contact time = 60 min; rotational stirring speed = 150 rpm; pH = 5.45; T = 20 °C ± 1 °C). Mean values of six replicates (N = 6) and standard deviations.
Based on the acquired results, the increase in the extent of MB dye’s removal by adsorption was found to be significant by increasing the dose of adsorbent up to 2 g L−1, whereas above that value, a minor further increase in the adsorption capacity of the adsorption systems was observed. Consequently, the amount of biomass 2 g L−1 was fixed as the optimum dose of P. oceanica used as adsorbent substrate in all other series of experiments conducted.
3.2.3. Effect of Mechanical Rotational Stirring Speed
Batch adsorption experiments with constant algal biomass (2 g L−1) and an initial concentration of MB dye of 30 mg L−1 (volume of MB seawater solution 50 mL) were performed at different mechanical rotational stirring speeds (0, 150, 300 and 450 rpm) to study the effect of rotational speed on the adsorption capacity of the seaweed P. oceanica. After 60 min of mechanical agitation (to reach adsorption equilibrium), the equilibrium concentration of the target dye substance was determined via spectrophotometric analysis and the corresponding results are summarized in Figure 7 (in terms of percentage removal by adsorption).
Figure 7.
Effect of rotational stirring speed on the extent of MB dye adsorption on P. oceanica (experimental conditions: dye’s initial concentration = Ci = 30 mg/L; volume of MB seawater solution = 50 mL; dose of adsorbent = 2 g L−1; contact time = 60 min; pH = 5.45; T = 20 °C ± 1 °C). Mean values of six replicates (N = 6) and standard deviations.
Although the maximum (%) percentage removal of MB through the adsorption process on the studied seagrass biomass was achieved at the highest value of tested stirring speed (450 rpm) and not at the others examined (0, 150, and 300 rpm), the stirring rate of 150 rpm was chosen as the most practical and efficient for the execution of the experiments since, at this speed, the % adsorption was in the same order of magnitude (at 150 rpm: 84.99% ± 2.99% removal; at 450 rpm: 88.77% ± 4.93% removal).
3.2.4. Effect of pH
In order to study the effect of pH of the aquatic solution containing the dye on the adsorption process onto algal biomass, experiments were carried out over a range of pH values (2.20 to 11.80). The pH was adjusted to the desired value by adding sodium hydroxide (NaOH) or a hydrogen chloride (HCl) solution. The results of the measurements are given in Figure 8, where the quantity of adsorbed MB pigment per unit mass of P. oceanica seaweed (mg of MB per g of biomass) as a function of pH is depicted. As can be seen, a lower adsorption capacity was measured at pH 2.20 (11.18 mg g−1), which increased with the pH up to 5.45 (15.59 mg g−1) and then remained almost constant even at basic pH 11.50.
Figure 8.
Effect of the pH value on the extent of MB dye adsorption on P. oceanica (experimental conditions: dye’s initial concentration = Ci = 30 mg/L; volume of MB seawater solution = 50 mL; dose of adsorbent = 2 g L−1; contact time = 60 min; T = 20 °C ± 1 °C). Mean values of six replicates (N = 6) and standard deviations.
Several researchers have already reported that the aqueous solution’s pH is an important parameter influencing the sorptive uptake of dyes because of its profound impact on both the surface-binding sites of the biosorbent and the ionization/aggregation process of the dye molecules [12,19,20,38]. The lower adsorptive capacity that was noted at the most acidic value studied (pH = 2.20) can be attributed to the fact that MB is a cationic substance (pKa = 3.14 up to 3.851, Table S1, Supplementary Materials), combined with the phenomenon that, at low pH values (or high concentrations of hydrogen cations H+), the surface of the seaweed can be positively charged (primary via protonation of functional groups contained in polysaccharides, lipids and proteins). Therefore, due to the repulsive electrostatic forces between the adsorbent and the absorbate, reduced adsorption occurred at pH = 2.20. Consequently, pH = 5.45 was set as the optimal value for the maximum adsorbent capacity and used in the rest of the adsorption experiments, including the study of adsorption isotherms. The results of the present study regarding the influence of the solution’s pH on the biosorption of MB by algae are consistent with those of other published studies that involved the study of the biosorptive uptake of MB using various species of algae, such as the Mediterranean green alga Enteromorpha spp. [20], and P. oceanica [19], which showed that the equilibrium biosorption capacity was optimal under alkaline conditions (pH = 6–10) and minimum at acidic pH 2 [19,20].
3.2.5. Adsorption Isotherms
Isotherms relating to the solute’s relative concentrations in solution (Ce) and adsorbed to the solid adsorbent (qe) were plotted after the performance of the appropriate experiments. More specific, five test substance initial concentrations (Ci) were used between 10 and 50 mg L−1 in batch adsorption tests that were performed under the optimal experimental conditions, as described in Section 2.1. (Experimental conditions: volume of MB seawater solution = 50 mL; dose of adsorbent = 2 g L−1; contact time = 60 min; pH = 5.45; T = 20 °C ± 1 °C). After the adsorption equilibrium was reached, the amount of dye adsorbed on P. oceanica was determined indirectly (calculated from the depletion of the test substance in the solution) [25]. Derived data are illustrated in Table 4 and Figure 9.
Table 4.
Effect of adsorbate’s initial concentration on the extent of the dye’s removal by adsorption onto biomass of P. oceanica (experimental conditions: dye’s initial concentration = Ci = 10 to 50 mg/L; volume of MB seawater solution = 50 mL; dose of adsorbent = 2 g L−1; contact time= 60 min; pH = 5.45; T = 20 °C ± 1 °C). Mean values of six replicates (N = 6).
Figure 9.
Adsorption isotherms of MB dye on (a) seagrass biomass of P. oceanica in original size (not cut), and (b) seagrass biomass of P. oceanica cut into smaller size pieces (2 mm width × 7 mm length) (experimental conditions: dye’s initial concentration = Ci = 10 to 50 mg/L; volume of MB seawater solution = 50 mL; dose of adsorbent = 2 g L−1; contact time= 60 min; pH = 5.45; T = 20 °C ± 1 °C). Mean values of six replicates (N = 6) and standard deviations.
3.2.6. Adsorption Isotherm Modeling
The acquired experimental data depicted in Table 4 and Figure 9 were fitted to the Freundlich, Langmuir, Henry, and Temkin isotherm adsorption models, described by Equations (4)–(7), respectively. The isotherm modeling parameters related to the biosorption of MB onto P. oceanica biomass calculated are summarized in Table 5.
Table 5.
Isotherm modeling parameters related to the biosorption of MB onto P. oceanica biomass 1. Mean values of six replicates (N = 6).
As shown by the isotherm modeling parameters calculated through the four different mathematical adsorption models (Table 5), it becomes evident that the squared regression correlation coefficients (R2) ranged between the values 0.7735 and 0.9606, indicating a fit ranging from satisfactory to very good of the obtained experimental data to all models examined.
Moreover, based on the comparison of the calculated data illustrated in Table 5, it is observed that the Langmuir adsorption model was the best-fitting equilibrium isotherm model for the processing of the experimental equilibrium adsorption data of MB dye on the selected alga as its application provided the highest collinearity coefficient values for both the untreated P. oceanica biomass as well as for the naturally treated by shredding P. oceanica biomass (cut into pieces of size 2 mm × 6–7 mm) with R2 values equal to 0.9131 and 0.9606, respectively. Therefore, the main assumption that could be made is the monolayer coverage process of MB molecules onto Pocidonia’s sorptive sites. Consequently, the surface of tested seagrass can be considered homogeneous, as all adsorption sites exhibit equal affinity for solute MB molecules [1,49,50]. As has been previously reported by other researchers, the Langmuir model is a valid model for monolayer sorption onto a surface with a finite number of similar active sites [19,20,38,49,50,51]. Furthermore, the high values of the substrate’s sorptive capacity (13.25 mg g−1 and 17.86 mg g−1 for not-cut and cut into smaller size pieces of P. oceanica, accordingly) indicated the strong attraction forces that interact between the binding sites on the biomass of seagrass and the molecules of the studied dye. Moreover, according to the relevant literature, apart from electrostatic interactions, MB adsorption may also involve π–π interactions or hydrogen bonding with the adsorbent’s surface [43,44].
High values of adsorption capacity indicate a strong electrostatic force of attraction between MB dye molecules and the biosorbent binding sites of P. oceanica, which align with previously reported scientific data on the removal of various chemicals from aqueous solutions through adsorption onto algal species. For instance, Ncibi et al. conducted batch biosorption experiments for the removal of MB from aqueous solutions using biomass from P. oceanica fibers, achieving a maximum adsorption capacity of 5.56 mg g−1 [19]. Additionally, the same authors noted that a significantly higher adsorption capacity of 274 mg g−1 could be achieved in the removal of MB by utilizing raw and dried Mediterranean green alga Enteromorpha spp. as adsorbent materials [20].
The experimental results of this study concerning the adsorption efficiency of the seagrass P. oceanica in removing MB cationic dye from aquatic solutions simulating a marine environment are comparable to some of the previously published scientific data (Table S2, Supplementary Materials). In comparison to earlier scientific studies that documented the successful elimination of the studied dye from aqueous solutions in laboratory settings, the maximum capacity evaluated in the current study (13.25 to 17.86 mg g−1) is consistent with the findings of Santaeufemia et al. (2021). Their research focused on the effective removal of dyes from seawater using both dead and living biomass of the microalga Phaeodactylum tricornutum, reporting a maximum removal capacity for MB of 18.9 mg g−1. Notably, the dead biomass exhibited greater effectiveness, likely due to the difficulties faced by the dye in penetrating living cells [28].
Likewise, the study by El Sikaily et al. (2006) investigated the maximum adsorption capacity of the commonly available green alga Ulva lactuca as a viable biosorbent for the biological treatment of MB. They found that the adsorption capacity was approximately 40.2 mg of dye per gram of dry green algae at a pH of 10, with dye and alga concentrations of 25 g L−1 and 2.5 g L−1, respectively [22]. According to Caparkaya et al. (2008), the maximum adsorption capacity of the brown alga Cystoseira barbatula Kützing, which is widely distributed in the Mediterranean Sea, was estimated as 38.61 mg g−1 at 35 °C. This observation suggested that it could serve as an effective and low-cost bio-sorbent for the removal of MB from aqueous solutions [23]. Accordingly, values of the same order of magnitude were determined by Pathak et al. (2015) for phycoremediation of MB by Chlorella pyrenoidosa (20.8–21.3 mg g−1) [27].
Simultaneously, other researchers have reported varying adsorption efficiencies for different species used as biosorbents. For example, a study by Bouzikri et al. (2020) found that the brown marine alga Bifurcaria bifurcata, which is abundantly available along the Moroccan coast, achieved a maximum biosorption capacity of 2744.5 mg g−1 for MB at an optimal pH of 5.6, after a contact time of 15 min [25]. Similarly, the maximum adsorption capacities of various species have been documented, showing that some are more efficient in the bioremediation of MB dye. For instance, Spirodela polyrrhiza has a capacity of 144.93 mg g−1 [21], Sargassum muticum of 191.38 mg g−1 [22], Fucus vesiculosus of 698.477 mg g−1 [26], Caulerpa lentillifera of 417 mg g−1 [29], and another measurement for Sargassum muticum is 279.2 mg g−1 [30], with algae Gelidium also showing a capacity of 279.2 mg g−1 [31]. In comparison, the estimated adsorption capacity for P. oceanica in the present study ranges from 13.24 to 17.86 mg g−1, which is significantly lower than the capacities of those algal species. On the contrary, Ncibi et al. (2007) studied the kinetic and equilibrium sorption phenomenon of MB by the seagrass P. oceanica, which is an endemic marine magnoliophyta present in the Mediterranean Sea and is the same species utilized in the present study. The results showed that biosorption capacity was optimal using a 6–9 solution pH range and by increasing the biosorbent concentration up to 1 g L−1. The reported value of maximum bioadsorption capacity was equal to 5.56 mg g−1 [19], which is lower than the one that was estimated in the present study.
4. Conclusions
The research objectives of this survey were to examine the behavior of MB dye into the marine ecosystems through the assessment of its adsorption onto marine sediments, and, simultaneously, to evaluate its removal from polluted wastewater through its bioadsorption on the seagrass species Posidonia oceanica. Therefore, the batch equilibrium technique was applied by using three different marine sediments (range of fine fraction < 63 μm: 1.68–34.54%, content of organic matter: 1.70 to 5.38%, and specific surface area: 2.22 to 9.89 m2 g−1), and non-living biomass of P. oceanica. The determination of MB concentrations was accomplished through spectrophotochemical analysis (λ = 665 nm).
The kinetic analysis employing linearized kinetic models of pseudo-first-order and pseudo-second-order models showed that the experimental data acquired for the sediments exhibit a better fitness to the pseudo-second-order model. The rate constants, k1, obtained for the pseudo-first-order model ranged between the values 0.030 and 0.061 min−1, whereas the corresponding range for the rate constants, k2, obtained for the pseudo-second-order model, varied among the values 0.002 and 0.022 mg·g−1·min−1. Regardless of the kinetic model applied, the phenomenon was more rapid in the case of the sediment sample S3 (5.38% organic matter content, 34.54% of fine fraction < 63 μm, and specific surface area 9.89 m2 g−1), which gave the highest adsorption capacity (qmax = 6.80 mg g−1) compared to the other two tested sediments (S1, 2.94% organic matter content, 1.68% of fine fraction < 63 μm, qmax = 2.59 mg g−1, and specific surface area 5.85 m2 g−1; S2, 1.70% organic matter content, 6.24% of fine fraction < 63 μm, qmax = 0.98 mg g−1, and specific surface area 2.22 m2 g−1). The experimental results showed that all four isotherm models, Freundlich (R2 ≥ 0.9004), Langmuir (R2 ≥ 0.8487), Henry (R2 ≥ 0.6949), and Temkin (R2 ≥ 0.8592), could describe the process onto the sediments’ surface. Overall, the results of this study demonstrated that the process of adsorption onto the marine sediments collected from the Aegean Sea in Northern Greece is significant and irreversible (desorbed quantities ≤ 1.62% of the initial amounts of MB loaded in batch adsorption systems or ≤1.89% of the corresponding adsorbed masses), and, therefore, influences the distribution of the synthetic dye MB within the marine ecosystems. Hence, the current study reduces the research gaps that exist in the published literature concerning the fate and behavior of cationic dyes such as MB in the marine ecosystems.
In the case of the equilibration studies that assessed the bioadsorption capacity on the seagrass species Posidonia oceanica, the optimum values of several factors were determined, such as the biomass loading (2 g L−1), contact time (60 min), solution pH (5.45), and speed of agitation (150 rpm). The evaluated adsorption efficiency of the untreated seagrass was slightly dependent on the size of the fibers, yielding values of qmax equal to 13.25 mg g−1 and 17.86 mg g−1 for P. oceanica biomass in original size (not-cut fibers) and biomass fibers cut into smaller pieces (measuring 2mm in width and 6-7mm in length), respectively. Among the four tested isotherm models, Freundlich (R2 ≥ 0.7777), Langmuir (R2 ≥ 0.9131), Henry (R2 ≥ 0.7735), and Temkin (R2 ≥ 0.7993), the Langmuir isotherm model could better describe the isotherm data of the occurred process onto the seagrass mass. Although P. oceanica exhibited lower adsorption capacity than some of absorbent substrate materials reported in the literature that belong to the taxonomic group of microalgae and were used alive, it can still be considered a promising alternative treatment that could be applied as a supplement or a substitute method of current water treatments for the removal of organic pollutants from wastewater. Therefore, marine sediments and raw P. oceanica seagrass fibers seem to be competitive materials compared to other MB sorbents and some optimizing treatments on these substrates might be very interesting for further studies in the future.
One of the challenges that can be foreseen for large-scale implementations is the large amounts of adsorbent material required. Raw P. oceanica seagrass fibers of non-living biomass can be easily found in large amounts in the Mediterranean Sea and especially in the coastline, but their collection and transportation are difficult challenges. On the contrary, organic leaching from their biomass into treated water is not an issue to be considered because they can be easily separated from treated water through filtration techniques (they are used in their natural shape and length and consequently they can be easily removed).
Supplementary Materials
The following supporting information can be downloaded at: https://www.mdpi.com/article/10.3390/org6020021/s1, Table S1: Structural formulae, main physicochemical properties, and other information for MB; Table S2: Selected bibliographic references regarding maximum adsorption capacity qmax (in mg g−1) of adsorbent materials of different origin for the removal of MB dye; Table S3: Effect of adsorbate’s initial concentration on the extent of dye’s removal by adsorption on marine sediments (Experimental conditions: dye’s initial concentration = Ci = 5 to 300 mg L−1; volume of MB seawater solution = 50 mL; dose of adsorbent = 2 g L−1; contact time = 2 h; pH = 8.00; T = 20 °C ± 1 °C). The average value of 6 replicates is shown; Table S4: Kinetic model constants and correlation coefficients for adsorption of MB dye using the three selected marine sediments as adsorbents; Figure S1: Map of sampling locations of marine sediments and seagrass biomass; Figure S2: Photos taken from several stages of the experimental procedure: (a) sediments prior their use in adsorption experiments, and (b) sediments after use in adsorption experiments; Figure S3: Photos taken from several stages of the experimental procedure testing the adsorbent capacity of P. oceanica; Figure S4: Microscopic observation of P. oceanica fibres prior and after performing batch adsorption experiment with MB; Figure S5: Calibration curve for the spectrophotometric determination of MB. References [52,53,54] are cited in Supplementary Materials.
Author Contributions
Conceptualization, M.C.V. and A.S.P.; methodology, M.C.V.; software, M.C.V., D.D. and M.L.; validation, M.C.V. and A.S.P.; formal analysis, M.C.V.; investigation, D.D. and M.L.; resources, M.C.V.; data curation, M.C.V.; writing—original draft preparation, M.C.V., D.D. and M.L.; writing—review and editing, M.C.V., A.S.P. and A.D.N.; visualization, M.C.V. and A.S.P.; supervision, M.C.V.; project administration, M.C.V. All authors have read and agreed to the published version of the manuscript.
Funding
This research received no external funding.
Data Availability Statement
The original contributions presented in this study are included in the article/Supplementary Material. Further inquiries can be directed to the corresponding author.
Conflicts of Interest
The authors declare no conflicts of interest.
Abbreviations
The following abbreviations are used in this manuscript:
| b | Constant (in J mol−1); |
| BOD | Biological oxygen demand |
| BT | Constant of Temkin’s isotherm model related to the heat of adsorption |
| Ce | Equilibrium concentration of methylene blue in the solution (in mg L−1) |
| Ci | Initial concentration of methylene blue in the solution (in mg L−1) |
| Cs | Solubility or saturation concentration (in mg L−1) |
| Ct | Concentration of methylene blue in the solution at any time (in mg L−1) |
| COD | Chemical oxygen demand |
| DO | Dissolved oxygen |
| IUPAC | International Union of Pure and Applied Chemistry |
| k1 | First-order adsorption rate constant (in min−1) |
| k2 | Second-order rate constant (in mg·g−1·min−1) |
| KF | Freundlich’s isotherm constant (in mg1–1/n g−1 L1/n) or L mg−1) |
| KH | Henry’s isotherm constant (in L g−1) |
| KL | Langmuir’s isotherm constant (in L mg−1) |
| KOM | Normalized sorption coefficients per 1g of organic matter |
| KT | Temkin’s isotherm constant (in L g−1) |
| m | Mass of dry adsorbent (in g) |
| MB | Methylene Blue |
| n | Freundlich exponent related to adsorption intensity (dimensionless) |
| OECD | Organization for Economic Co-operation and Development Guideline |
| OM | Organic matter |
| pH | Negative logarithm (base 10) of hydrogen ion concentration |
| pKa | Negative logarithm (base 10) of the acid dissociation constant |
| q | Amount of methylene blue adsorbed per unit of mass of dry adsorbent (in mg g−1) |
| qmax | Maximum (monolayer) adsorption capacity of the adsorbent substrate (in mg g−1) |
| R | Universal gas constant (equal to 1.986 cal K−1 mol−1 or 8.314 J K−1 mol−1) |
| R2 | Squared regression correlation coefficient |
| t | Time (in min) |
| T | Absolute temperature (in K degrees) |
| V | Solution volume (in L) |
| x | Quantity of dye adsorbed (in mg) |
| WPWS | Wine-processing waste sludge |
References
- Chakravarty, P.; Bauddh, K.; Kumar, M. Remediation of Dyes from Aquatic Ecosystems by Biosorption Method Using Algae. In Algae and Environmental Sustainability. Developments in Applied Phycology; Singh, B., Bauddh, K., Bux, F., Eds.; Springer: New Delhi, India, 2015; Volume 7, pp. 97–106. [Google Scholar] [CrossRef]
- Niinimäki, K.; Peters, G.; Dahlbo, H.; Perry, P.; Rissanen, T.; Gwilt, A. The Environmental Price of Fast Fashion. Nat. Rev. Earth Environ. 2020, 1, 189–200. [Google Scholar] [CrossRef]
- Bouras, H.D.; Isik, Z.; Arikan, E.B.; Yeddou, A.R.; Bouras, N.; Chergui, A.; Favier, L.; Amrane, A.; Dizge, N. Biosorption characteristics of methylene blue dye by two fungal biomasses. Int. J. Environ. Stud. 2020, 78, 365–381. [Google Scholar] [CrossRef]
- Koroglu, E.O.; Yoruklu, H.C.; Demir, A.; Ozkaya, B. Chapter 3.9—Scale-Up and Commercialization Issues of the MFCs: Challenges and Implications. In Biomass, Biofuels and Biochemicals, Microbial Electrochemical Technology; Venkata Mohan, S., Varjani, S., Pandey, A., Eds.; Elsevier: Amsterdam, The Netherlands, 2019; pp. 565–583. [Google Scholar] [CrossRef]
- Alves de Lima, R.O.; Bazo, A.P.; Salvadori, D.M.F.; Rech, C.M.; de Oliveira Palma, D.; Umbuzeiro, G.A. Mutagenic and carcinogenic potential of a textile azo dye processing plant effluent that impacts a drinking water source. Mut. Res./Gen. Toxicol. Environ. Mutagen. 2007, 626, 53–60. [Google Scholar] [CrossRef] [PubMed]
- Oplatowska, M.; Donnelly, R.F.; Majithiya, R.J.; Kennedy, D.G.; Elliott, C.T. The potential for human exposure, direct and indirect, to the suspected carcinogenic triphenylmethane dye Brilliant Green from green paper towels. Food Chem. Toxicol. 2011, 49, 1870–1876. [Google Scholar] [CrossRef]
- Chia, M.A.; Musa, R.I. Effect of indigo dye effluent on the growth, biomass production and phenotype plasticity of Scenedesmus quadricauda (Chlorococcales). An. Acad. Bras. Cienc. 2014, 86, 419–428. [Google Scholar] [CrossRef]
- Ratna, R.; Padhi, B.S. Pollution due to synthetic dyes toxicity & carcinogenicity studies and remediation. Int. J. Environ. Sci. 2012, 3, 940–955. [Google Scholar]
- Suteu, D.; Zaharia, C.; Bilba, D.; Muresan, A.; Muresan, R.; Popescu, A. Decolorization wastewaters from the textile industry—Physical methods, chemical methods. Ind. Textila 2009, 60, 254–263. [Google Scholar]
- Zaharia, C.; Suteu, D. Textile organic dyes—Characteristics, polluting effects and separation/elimination procedures from industrial effluents—A critical overview. In Organic Pollutants Ten Years After the Stockholm Convention—Environmental and Analytical Update, 1st ed.; Puzyn, T., Mostrag-Szlichtyng, A., Eds.; InTech: Rijeka, Croatia, 2012; pp. 55–86. [Google Scholar]
- Punzi, M.; Anbalagan, A.; Aragão Börner, R.; Svensson, B.M.; Jonstrup, M.; Mattiasson, B. Degradation of a textile azo dye using biological treatment followed by photo-Fenton oxidation: Evaluation of toxicity and microbial community structure. Chem. Eng. J. 2015, 270, 290–299. [Google Scholar] [CrossRef]
- Yagub, M.T.; Sen, T.K.; Afroze, S.; Ang, H.M. Dye and its removal from aqueous solution by adsorption: A review. Adv. Colloid Interface Sci. 2014, 209, 172–184. [Google Scholar] [CrossRef]
- Vagi, M.C.; Leventelli, M.; Petsas, A.S. Adsorption-desorption of methylene blue dye onto marine sediments: Kinetics and equilibrium studies. In Proceedings of the 18th International Conference on Environmental Science and Technology, Athens, Greece, 30 August–2 September 2023. [Google Scholar]
- Khan, I.; Saeed, K.; Zekker, I.; Zhang, B.; Hendi, A.H.; Ahmad, A.; Ahmad, S.; Zada, N.; Ahmad, H.; Shah, L.A.; et al. Review on Methylene Blue: Its Properties, Uses, Toxicity and Photodegradation. Water 2022, 14, 242. [Google Scholar] [CrossRef]
- Rafatullah, M.; Sulaiman, O.; Hashim, R.; Ahmad, A. Adsorption of methylene blue on low-cost adsorbents: A review. J. Hazard. Mater. 2010, 177, 70–80. [Google Scholar] [CrossRef] [PubMed]
- Santoso, E.; Ediati, R.; Kusumawati, Y.; Bahruji, H.; Sulistiono, D.O.; Prasetyoko, D. Review on recent advances of carbon based adsorbent for methylene blue removal from waste water. Mater. Today Chem. 2020, 16, 100233. [Google Scholar] [CrossRef]
- Mashkoor, F.; Nasar, A. Magsorbents: Potential candidates in wastewater treatment technology—A review on the removal of methylene blue dye. J. Magn. Magn. Mater. 2020, 500, 166408. [Google Scholar] [CrossRef]
- Zamel, D.; Khan, A.U. Bacterial immobilization on cellulose acetate based nanofibers for methylene blue removal from wastewater: Mini-review. Inorg. Chem. Commun. 2021, 131, 108766. [Google Scholar] [CrossRef]
- Ncibi, M.C.; Mahjoub, B.; Seffen, M. Kinetic and equilibrium studies of methylene blue biosorption by Posidonia oceanica (L.) fibres. J. Hazard. Mater. 2007, 139, 280–285. [Google Scholar] [CrossRef]
- Ncibi, M.C.; Ben Hamissa, A.M.; Fathallah, A.; Kortas, M.H.; Baklouti, T.; Mahjoub, B.; Seffen, M. Biosorptive uptake of methylene blue using Mediterranean green alga Enteromorpha spp. J. Hazard. Mater. 2009, 170, 1050–1055. [Google Scholar] [CrossRef]
- Waranusantigul, P.; Pokethitiyook, P.; Kruatrachue, M.; Upatham, E.S. Kinetics of basic dye (methylene blue) biosorption by giant duckweed (Spirodela polyrrhiza). Environ. Pollut. 2003, 125, 385–392. [Google Scholar] [CrossRef]
- El Sikaily, A.; Khaled, A.; El Nemr, A.; Abdelwahab, O. Removal of methylene blue from aqueous solution by marine green alga Ulva lactuca. Chem. Ecol. 2006, 22, 149–157. [Google Scholar] [CrossRef]
- Caparkaya, D.; Cavas, L. Biosorption of methylene blue by a brown alga Cystoseira barbatula Kutzing. Acta Chim. Slov. 2008, 55, 547–553. [Google Scholar]
- El Atouani, S.; Belattmania, Z.; Reani, A.; Tahiri, S.; Aarfane, A.; Bentiss, F.; Zrid, R.; Sabour, B. Brown seaweed Sargassum muticum as low-cost biosorbent of Methylene blue. Int. J. Environ. Res. 2019, 13, 131–142. [Google Scholar] [CrossRef]
- Bouzikri, S.; Ouasfi, N.; Benzidia, N.; Salhi, A.; Bakkas, S.; Khamliche, L. Marine alga “Bifurcaria bifurcata”: Biosorption of Reactive Blue 19 and methylene blue from aqueous solutions. Environ. Sci. Pollut. Res. 2020, 27, 33636–33648. [Google Scholar] [CrossRef] [PubMed]
- Lebron, Y.A.R.; Moreira, V.R.; Santos, L.V.S. Studies on dye biosorption enhancement by chemically modified Fucus vesiculosus, Spirulina maxima and Chlorella pyrenoidosa algae. J. Clean. Prod. 2019, 240, 118197. [Google Scholar] [CrossRef]
- Pathak, V.V.; Kothari, R.; Chopra, A.K.; Singh, D.P. Experimental and kinetic studies for phycoremediation and dye removal by Chlorella pyrenoidosa from textile wastewater. J. Environ. Manag. 2015, 163, 270–277. [Google Scholar] [CrossRef] [PubMed]
- Santaeufemia, S.; Abalde, J.; Torres, E. Efficient removal of dyes from seawater using as biosorbent the dead and living biomass of the microalga Phaeodactylum tricornutum: Equilibrium and kinetics studies. J. Appl. Phycol. 2021, 33, 3071–3090. [Google Scholar] [CrossRef]
- Marungrueng, K.; Pavasant, P. High performance biosorbent (Caulerpa lentillifera) for basic dye removal. Bioresour. Technol. 2007, 98, 1567–1572. [Google Scholar] [CrossRef]
- Rubin, E.; Rodriquez, P.; Herrero, R.; Cremades, J.; Barbara, I.; Sastre de Vicente, M.E. Removal of methylene blue from aqueous solutions using as biosorbent Sargassum muticum: An invasive macroalga in Europe. J. Chem. Technol. Biotechnol. 2005, 80, 291–298. [Google Scholar] [CrossRef]
- Vilar, V.J.P.; Botelho, C.; Boaventura, R.A.R. Methylene blue adsorption by algal biomass-based materials: Biosorbents characterization and process behaviour. J. Hazard. Mater. 2007, 147, 120–132. [Google Scholar] [CrossRef]
- Dra, A.; Tanji, K.; Arrahli, A.; Iboustaten, E.M.; Gaidoumi, A.E.; Kherchafi, A.; Chaouni Benabdallah, A.; Kherbeche, A. Valorization of Oued Sebou Natural Sediments (Fez-Morocco Area) as Adsorbent of Methylene Blue Dye: Kinetic and Thermodynamic Study. Sci. World J. 2020, 2020, 2187129. [Google Scholar]
- Chen, L.-F.; Wang, H.-H.; Lin, K.-Y.; Kuo, J.-Y.; Wang, M.-K.; Liu, C.-C. Removal of methylene blue from aqueous solution using sediment obtained from a canal in an industrial park. Water Sci. Technol. 2018, 78, 556–570. [Google Scholar] [CrossRef]
- Walkley, A.; Black, I.A. An examination of the Degtjiareff method for determining soil organic matter and a proposed modification of chromic acid titration method. Soil Sci. 1934, 37, 29–38. [Google Scholar] [CrossRef]
- Cerato, A.; Lutenegger, A. Determination of Surface Area of Fine-Grained Soils by the Ethylene Glycol Monoethyl Ether (EGME) Method. ASTM Int. Geotech. Test. J. 2002, 25, 315–321. [Google Scholar] [CrossRef]
- Organization for Economic Co-operation and Development (OECD). Test No. 106: Adsorption-Desorption Using a Batch Equilibrium Method. In OECD Guidelines for Testing of Chemicals, Section 1; OECD Publishing: Paris, France, 2000. [Google Scholar] [CrossRef]
- Vagi, M.C.; Petsas, A.S.; Kostopoulou, M.N.; Lekkas, T.D. Adsorption and desorption processes of the organophosphorus pesticides, dimethoate and fenthion, onto three Greek agricultural soils. Int. J. Environ. Anal. Chem. 2010, 90, 369–389. [Google Scholar] [CrossRef]
- Ncibi, M.C.; Mahjoub, B.; Ben Hamissa, A.M.; Ben Mansour, R.; Seffen, M. Biosorption of textile metal-complexed dye from aqueous medium using Posidonia oceanica (L.) leaf sheaths: Mathematical modelling. Desalination 2009, 243, 109–121. [Google Scholar] [CrossRef]
- Bouchemal, N.; Addoun, F. Adsorption of dyes from aqueous solution onto activated carbons prepared from date pits: The effect of adsorbents pore size distribution. Desalin. Water Treat. 2009, 7, 242–250. [Google Scholar] [CrossRef]
- Kouvalakidou, S.L.; Varoutoglou, A.; Alibrahim, K.A.; Alodhayb, A.N.; Mitropoulos, A.C.; Kyzas, G.Z. Batch adsorption study in liquid phase under agitation, rotation, and nanobubbles: Comparisons in a multi-parametric study. Environ. Sci. Pollut. Res. 2023, 30, 114032–114043. [Google Scholar] [CrossRef]
- Chekir, N.; Tassalit, D.; Sahraoui, N.; Benhabiles, O.; Abchiche, H.; Tigrine, Z.; Rabehi, F.K.; Lamani, L.; Trari, M.; Lebouachera, S.E.I. Pre-treatment system using granulated activated carbon filtration for seawater desalination: Methylene blue case. Chem. Pap. 2024, 78, 9473–9483. [Google Scholar] [CrossRef]
- Amode, J.O.; Santos, J.H.; Alam, Z.M.; Mizra, A.H.; Mei, C.C. Adsorption of methylene blue from aqueous solution using untreated and treated (Metroxylon spp.) waste adsorbent: Equilibrium and kinetics studies. Int. J. Ind. Chem. 2016, 7, 333–345. [Google Scholar] [CrossRef]
- Azzaz, A.A.; Jellali, S.; Bengharez, Z.; Bousselmi, L.; Akrout, H. Investigations on a dye desorption from modified biomass by using a low-cost eluent: Hysteresis and mechanisms exploration. Int. J. Environ. Sci. Technol. 2019, 16, 7393–7408. [Google Scholar] [CrossRef]
- Azzaz, A.A.; Jellali, S.; Jeguirim, M.; Bousselmi, L.; Bengharez, Z.; Akrout, H. Optimization of a cationic dye desorption from a loaded-lignocellulosic biomass: Factorial design experiments and investigation of mechanisms. C. R. Chim. 2021, 24 (Suppl. 1), 71–84. [Google Scholar] [CrossRef]
- Chen, X.; Hossain, M.F.; Duan, C.; Lu, J.; Tsang, Y.F.; Islam, M.S.; Zhou, Y. Isotherm models for adsorption of heavy metals from water—A review. Chemosphere 2022, 307, 135545. [Google Scholar] [CrossRef]
- Vagi, M.C. Hydrolysis and Adsorption Study of Selected Organophosphorus Pesticides in Aquatic and Soil Systems. Evaluation of Their Toxicity on Marine Algae. Ph.D. Thesis, University of the Aegean, Department of Environment, School of Environment, Mytilene, Greece, 2007; 355p. Available online: http://hdl.handle.net/10442/hedi/17779 (accessed on 6 February 2025). (In Greek).
- PubChem Open Chemistry Database at the National Library of Medicine, National Center for Biotechnology Information. Methylene Blue. Available online: https://pubchem.ncbi.nlm.nih.gov (accessed on 15 January 2025).
- Kannan, N.; Sundaram, M.M. Kinetics and mechanism of removal of methylene blue by adsorption on various carbons—A comparative study. Dyes Pigments 2001, 51, 25–40. [Google Scholar] [CrossRef]
- Langmuir, I. The adsorption of gases on plane surfaces of glass, mica and platinum. J. Am. Chem. Soc. 1918, 40, 1361–1403. [Google Scholar] [CrossRef]
- Kaewsarn, P.; Yu, Q. Cadmium removal from aqueous solutions by pretreated biomass of marine algae Padina sp. Environ. Pollut. 2001, 112, 209–213. [Google Scholar] [CrossRef] [PubMed]
- Rashid, J.; Tehreem, F.; Rehman, A.; Kumar, R. Synthesis using natural functionalization of activated carbon frompumpkin peels for decolourization of aqueous methylene blue. Sci. Total Environ. 2019, 671, 369–376. [Google Scholar] [CrossRef]
- Global Chemical Network (ChemNet). Available online: https://www.chemnet.com (accessed on 15 January 2025).
- National Toxicology Program (NTP). Toxicology and carcinogenesis studies of methylene blue trihydrate (Cas No. 7220–79–3) in F344/N rats and B6C3F1 mice (gavage studies). Natl. Toxicol. Program Tech. Rep. Ser. 2008, 540, 1–224. [Google Scholar] [PubMed]
- Liu, C.C.; Li, Y.S.; Chen, Y.M.; Li, H.H.; Wang, M.K. Removal of methylene blue from aqueous solution using wine-processing waste sludge. Water Sci. Technol. 2012, 65, 2191–2199. [Google Scholar] [CrossRef][Green Version]
Disclaimer/Publisher’s Note: The statements, opinions and data contained in all publications are solely those of the individual author(s) and contributor(s) and not of MDPI and/or the editor(s). MDPI and/or the editor(s) disclaim responsibility for any injury to people or property resulting from any ideas, methods, instructions or products referred to in the content. |
© 2025 by the authors. Licensee MDPI, Basel, Switzerland. This article is an open access article distributed under the terms and conditions of the Creative Commons Attribution (CC BY) license (https://creativecommons.org/licenses/by/4.0/).








