Sign in to use this feature.

Years

Between: -

Subjects

remove_circle_outline
remove_circle_outline
remove_circle_outline
remove_circle_outline
remove_circle_outline
remove_circle_outline
remove_circle_outline
remove_circle_outline
remove_circle_outline

Journals

Article Types

Countries / Regions

Search Results (66)

Search Parameters:
Keywords = derating

Order results
Result details
Results per page
Select all
Export citation of selected articles as:
24 pages, 5568 KB  
Article
Research on Adaptive Control Optimization of Battery Energy Storage System Under High Wind Energy Penetration
by Meng-Hui Wang, Yi-Cheng Chen and Chun-Chun Hung
Energies 2025, 18(19), 5057; https://doi.org/10.3390/en18195057 - 23 Sep 2025
Viewed by 213
Abstract
With the increasing penetration of renewable energy, power system frequency stability faces multiple challenges. In addition to the decline of system inertia traditionally provided by synchronous machines, uncertainties such as wind power forecast errors, converter control characteristics, and stochastic load fluctuations further exacerbate [...] Read more.
With the increasing penetration of renewable energy, power system frequency stability faces multiple challenges. In addition to the decline of system inertia traditionally provided by synchronous machines, uncertainties such as wind power forecast errors, converter control characteristics, and stochastic load fluctuations further exacerbate the system’s sensitivity to power disturbances, increasing the risks of frequency deviation and instability. Among these factors, insufficient inertia is widely recognized as one of the most direct and critical drivers of the initial frequency response. This study focuses on this issue and explores the use of battery energy storage system (BESS) parameter optimization to enhance system stability. To this end, a simulation platform was developed in PSS®E V34 based on the IEEE New England 39-bus system, incorporating three wind turbines and two BESS units. The WECC generic models were adopted, and three wind disturbance scenarios were designed, including (i) disconnection of a single wind turbine, (ii) derating of two turbines to 50% output, and (iii) derating of three turbines to 50% output. In this study, a one-at-a-time (OAT) sensitivity analysis was first performed to identify the key parameters affecting frequency response, followed by optimization using an improved particle swarm optimization (IPSO) algorithm. The simulation results show that the minimum system frequency was 59.888 Hz without BESS control, increased to 59.969 Hz with non-optimized BESS control, and further improved to 59.976 Hz after IPSO. Compared with the case without BESS, the overall improvement was 0.088 Hz, of which IPSO contributed an additional 0.007 Hz. These results clearly demonstrate that IPSO can significantly strengthen the frequency support capability of BESS and effectively improve system stability under different wind disturbance scenarios. Full article
(This article belongs to the Section A3: Wind, Wave and Tidal Energy)
Show Figures

Figure 1

20 pages, 6107 KB  
Article
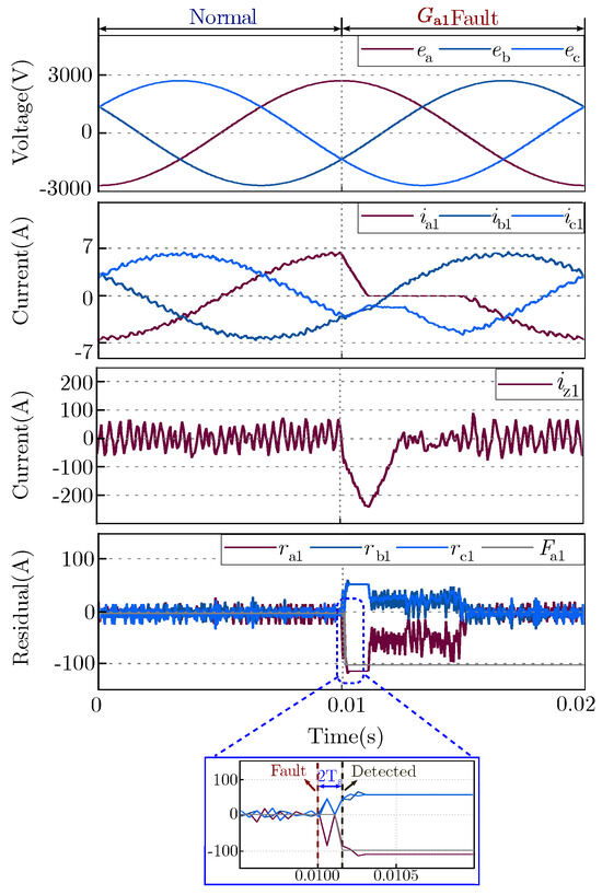
A Fast Open-Circuit Fault Diagnosis Method of Parallel Wind-Turbine Converters via Zero-Sequence Circulating Current Informed Residual Analysis
by Huimin Huang, Zhen Li, Sijia Huang and Zhenbin Zhang
Energies 2025, 18(18), 4801; https://doi.org/10.3390/en18184801 - 9 Sep 2025
Viewed by 364
Abstract
The parallel operation of converters is increasingly being adopted to meet higher power demands and improve reliability. However, open-circuit faults in semiconductor switches must be located quickly to prevent unnecessary derating and costly offshore interventions. In parallel topologies, zero-sequence circulating current (ZSCC) distorts [...] Read more.
The parallel operation of converters is increasingly being adopted to meet higher power demands and improve reliability. However, open-circuit faults in semiconductor switches must be located quickly to prevent unnecessary derating and costly offshore interventions. In parallel topologies, zero-sequence circulating current (ZSCC) distorts phase current residuals at fault inception, making conventional residual-based fault diagnosis methods unreliable. This paper proposes a fast fault diagnosis method that integrates phase current residual analysis with real-time ZSCC polarity. The method monitors which residuals exceed a fixed threshold and compares the polarity of the dominant residual with that of the ZSCC. In this way, it can distinguish and locate single-switch, same-converter dual-switch, and cross-converter dual-switch faults. A three-stage timing window mechanism captures residual and ZSCC signatures within only a few sampling periods, enabling precise fault location without additional sensors. Experimental and simulation results verify the accuracy and robustness of the proposed method, demonstrating its potential for practical deployment in offshore wind turbines. Full article
(This article belongs to the Special Issue Advances in Wind Turbine Optimization and Control)
Show Figures

Figure 1

20 pages, 7661 KB  
Article
Incorporating a Deep Neural Network into Moving Horizon Estimation for Embedded Thermal Torque Derating of an Electric Machine
by Alexander Winkler, Pranav Shah, Katrin Baumgärtner, Vasu Sharma, David Gordon and Jakob Andert
Energies 2025, 18(14), 3813; https://doi.org/10.3390/en18143813 - 17 Jul 2025
Viewed by 541
Abstract
This study presents a novel state estimation approach integrating Deep Neural Networks (DNNs) into Moving Horizon Estimation (MHE). This is a shift from using traditional physics-based models within MHE towards data-driven techniques. Specifically, a Long Short-Term Memory (LSTM)-based DNN is trained using synthetic [...] Read more.
This study presents a novel state estimation approach integrating Deep Neural Networks (DNNs) into Moving Horizon Estimation (MHE). This is a shift from using traditional physics-based models within MHE towards data-driven techniques. Specifically, a Long Short-Term Memory (LSTM)-based DNN is trained using synthetic data derived from a high-fidelity thermal model of a Permanent Magnet Synchronous Machine (PMSM), applied within a thermal derating torque control strategy for battery electric vehicles. The trained DNN is directly embedded within an MHE formulation, forming a discrete-time nonlinear optimal control problem (OCP) solved via the acados optimization framework. Model-in-the-Loop simulations demonstrate accurate temperature estimation even under noisy sensor conditions and simulated sensor failures. Real-time implementation on embedded hardware confirms practical feasibility, achieving computational performance exceeding real-time requirements threefold. By integrating the learned LSTM-based dynamics directly into MHE, this work achieves state estimation accuracy, robustness, and adaptability while reducing modeling efforts and complexity. Overall, the results highlight the effectiveness of combining model-based and data-driven methods in safety-critical automotive control systems. Full article
(This article belongs to the Section F5: Artificial Intelligence and Smart Energy)
Show Figures

Graphical abstract

25 pages, 4443 KB  
Article
Experimental Investigation of the Influence of Climatic Conditions and Vehicle Dynamics on the Thermal Management System of a Fuel Cell Electric Vehicle
by Yannick Heynen, Ralf Liedtke, Michael Schier and Florian Heckert
Energies 2025, 18(11), 2995; https://doi.org/10.3390/en18112995 - 5 Jun 2025
Viewed by 887
Abstract
In this study, the cooling performance of fuel cell electric vehicles (FCEVs) with regard to thermal derating is investigated. Particularly in hot climate conditions, low operating temperature of the fuel cell stack and hence low temperature difference to the environment can result in [...] Read more.
In this study, the cooling performance of fuel cell electric vehicles (FCEVs) with regard to thermal derating is investigated. Particularly in hot climate conditions, low operating temperature of the fuel cell stack and hence low temperature difference to the environment can result in thermal derating of the fuel cell stack. Experimental investigations on a production vehicle with a fuel cell drive (Hyundai Nexo) are conducted to analyze the influence of climatic boundary conditions and a dynamic driving scenario on the thermal management system of the vehicle. Therefore, a new method based on energy balances is introduced to indirectly measure the average cooling air velocity at the cooling module. The results indicate that the two high-power radiator fans effectively maintain a high cooling airflow between a vehicle speed of approximately 30 and 100 km/h, leading to efficient heat rejection at the cooling module largely independent of vehicle speed. Furthermore, this study reveals that the efficiency of the fuel cell system is notably affected by ambient air temperature, attributed to the load on the electric air compressor (EAC) as well as on cooling system components like cooling pump and radiator fans. However, at the stack level, balance of plant (BoP) components demonstrate the ability to ensure ambient temperature-independent performance, likely due to reliable humidification control up to 45 °C. Additionally, a new method for determining thermal derating of FCEVs on roller dynamometer tests is presented. A real-world uphill drive under ambient temperatures exceeding 40 °C demonstrates derating occurring in 6.3% of the time, although a worst case with an aged stack and high payload is not investigated in this study. Finally, a time constant of 50 s is found to be suitable to correlate the average fuel cell stack power with a coolant temperature at the stack inlet, which gives information on the thermal inertia of the system observed and can be used for future simulation studies. Full article
(This article belongs to the Section J: Thermal Management)
Show Figures

Figure 1

14 pages, 1756 KB  
Article
Derating of Electrical Contacts with Varying Surface Roughness
by Veronika Kharina and Andrzej Kurek
Appl. Sci. 2025, 15(11), 6196; https://doi.org/10.3390/app15116196 - 30 May 2025
Viewed by 678
Abstract
This study aimed to evaluate the impact of contact surface roughness on the performance characteristics of M12-type electrical contacts, with particular emphasis on current and thermal derating parameters. Three samples were prepared, all made from the same conductive material CuZn42, in accordance with [...] Read more.
This study aimed to evaluate the impact of contact surface roughness on the performance characteristics of M12-type electrical contacts, with particular emphasis on current and thermal derating parameters. Three samples were prepared, all made from the same conductive material CuZn42, in accordance with identical geometric and technological specifications, differing in the surface roughness value: Rz = 2 μm, representing high surface finish quality, and Rz = 10 μm, representing lower quality. The results showed that the surface roughness of the contact significantly affects the thermal and electrical properties of the tested contacts. Surfaces with lower roughness (Rz = 2 μm) exhibited better electrical conductivity, lower contact resistance, and slower temperature rise as the current load increased. In contrast, contacts with higher roughness (Rz = 10 μm) showed a faster temperature rise and a reduction in the maximum allowable current at higher ambient temperatures. These results could be useful in the design of systems requiring reliability, particularly in high-power devices. Full article
(This article belongs to the Special Issue Recent Advances in Manufacturing and Machining Processes)
Show Figures

Figure 1

14 pages, 1169 KB  
Article
Integrated Assessment of Rooftop Photovoltaic Systems and Carbon Footprint for Organization: A Case Study of an Educational Facility in Thailand
by Nattapon Leeabai, Natthakarn Sakaraphantip, Neeraphat Kunbuala, Kamonchanok Roongrueng and Methawee Nukunudompanich
Energies 2025, 18(10), 2485; https://doi.org/10.3390/en18102485 - 12 May 2025
Cited by 1 | Viewed by 820
Abstract
This study presents an integrated methodology to assess and reduce greenhouse gas (GHG) emissions in institutional buildings by combining organizational carbon footprint (CFO) analysis with rooftop photovoltaic (PV) system simulation. The HM Building at King Mongkut’s Institute of Technology Ladkrabang (KMITL), Thailand, was [...] Read more.
This study presents an integrated methodology to assess and reduce greenhouse gas (GHG) emissions in institutional buildings by combining organizational carbon footprint (CFO) analysis with rooftop photovoltaic (PV) system simulation. The HM Building at King Mongkut’s Institute of Technology Ladkrabang (KMITL), Thailand, was selected as a case study to evaluate carbon emissions and the feasibility of solar-based mitigation strategies. The CFO assessment, conducted in accordance with ISO 14064-1:2018 and the Thailand Greenhouse Gas Management Organization (TGO) guidelines, identified total emissions of 1841.04 tCO2e/year, with Scope 2 electricity-related emissions accounting for 442.00 tCO2e/year. Appliance-level audits revealed that classroom activities represent 36.7% of the building’s electricity demand. These findings were validated using utility data totaling 850,000 kWh/year. A rooftop PV system with a capacity of 207 kWp was simulated using PVsyst software (version 7.1), incorporating site-specific solar irradiance and technical loss parameters. Monocrystalline modules produced the highest energy output of 292,000 kWh/year, capable of offsetting 151.84 tCO2e/year, equivalent to 34.4% of Scope 2 emissions. Economic evaluation indicated a 7.4-year payback period, with a net present value (NPV) of THB 12.49 million and an internal rate of return (IRR) of 12.79%. The integration of verified CFO data with empirical load modeling and derated PV performance projections provides a robust, scalable framework for institutional carbon mitigation. This approach supports data-driven Net Zero campus planning aligned with Thailand’s Nationally Determined Contributions (NDCs) and carbon neutrality policies. Full article
(This article belongs to the Section B: Energy and Environment)
Show Figures

Figure 1

18 pages, 5216 KB  
Article
Fatigue Assessment of Marine Propulsion Shafting Due to Cyclic Torsional and Bending Stresses
by Alen Marijančević, Sanjin Braut, Roberto Žigulić and Ante Skoblar
Machines 2025, 13(5), 384; https://doi.org/10.3390/machines13050384 - 3 May 2025
Cited by 2 | Viewed by 840
Abstract
The International Maritime Organization (IMO) mandates a reduction in carbon dioxide emissions from 2008 levels by at least 40% by 2030, prompting the widespread adoption of slow steaming and engine de-rating strategies. This study investigates the fatigue life of marine propulsion shafts under [...] Read more.
The International Maritime Organization (IMO) mandates a reduction in carbon dioxide emissions from 2008 levels by at least 40% by 2030, prompting the widespread adoption of slow steaming and engine de-rating strategies. This study investigates the fatigue life of marine propulsion shafts under slow steaming conditions, focusing on the interplay between torsional and bending vibrations. A finite element (FE) model of a low-speed two-stroke propulsion system is developed, incorporating torsional and lateral excitation sources from both the engine and propeller. Vibrational stresses are computed for multiple operating conditions, and fatigue life is assessed using both the conventional Det Norske Veritas (DNV) methodology and a proposed biaxial stress approach. Results indicate that while torsional vibrations remain the primary fatigue driver, bending-induced stresses contribute marginally to the overall fatigue life. The proposed methodology refines high-cycle fatigue (HCF) assessment by incorporating a corrected S-N curve and equivalent von Mises stress criteria. Comparisons with classification society standards demonstrate that existing guidelines remain valid for most cases, though further studies on extreme alignment deviations and dynamic bending effects are recommended. This study enhances understanding of fatigue mechanisms in marine shafting and proposes a refined methodology for improved fatigue life prediction. Full article
(This article belongs to the Section Machines Testing and Maintenance)
Show Figures

Figure 1

19 pages, 10422 KB  
Article
Post-Fault Energy Usage Optimization for Multilevel Inverter with Integrated Battery
by Rok Friš, Jure Domajnko, Nataša Prosen and Mitja Truntič
Batteries 2025, 11(4), 125; https://doi.org/10.3390/batteries11040125 - 26 Mar 2025
Viewed by 606
Abstract
This paper presents a novel sorting algorithm for modular multilevel inverters (MMCs) with integrated batteries, designed to ensure the uninterrupted operation of electric vehicles (EVs) under post-fault conditions. The proposed system structure consists of an MMC with four full-bridge modules per phase, where [...] Read more.
This paper presents a novel sorting algorithm for modular multilevel inverters (MMCs) with integrated batteries, designed to ensure the uninterrupted operation of electric vehicles (EVs) under post-fault conditions. The proposed system structure consists of an MMC with four full-bridge modules per phase, where one module acts as a spinning reserve during normal operation. The algorithm addresses a single switch fault per phase by operating the faulted module in half-bridge mode, ensuring all batteries remain operational and maintaining full power output and battery capacity without any noticeable changes for the vehicle operator. Unlike conventional fault-tolerant strategies that often reduce power output or disable affected modules, the proposed algorithm isolates the faulty switch while preserving system output. This approach avoids derating and eliminates the need for immediate maintenance, enabling the EV to continue operating under fault conditions. Simulation and experimental results validate the effectiveness of the algorithm under a single switch fault scenario, demonstrating its ability to maintain autonomy and consistent power delivery. This work demonstrates a fault-tolerant MMC principle, offering a robust and scalable solution for enhancing reliability and user satisfaction in EV power systems. Full article
(This article belongs to the Section Battery Modelling, Simulation, Management and Application)
Show Figures

Figure 1

15 pages, 5112 KB  
Article
Cooling Methods for a Typical Printed Circuit Board Assembly in Spacecraft: Simulation and Experiment
by Sheng Wang, Changxu Song, Li Zhang, Fengjiao Hu, Feng Dong, Dapeng Liang, Jiangtao Liu, Jingyu Zhang and Sihong Chen
Electronics 2025, 14(2), 314; https://doi.org/10.3390/electronics14020314 - 14 Jan 2025
Cited by 2 | Viewed by 1382
Abstract
In this study, cooling methods for a typical spacecraft circuit board assembly are investigated. The power dissipation of the assembly is more than 100 W, and the max heat dissipation of a component is 16 W, making it very difficult to cool the [...] Read more.
In this study, cooling methods for a typical spacecraft circuit board assembly are investigated. The power dissipation of the assembly is more than 100 W, and the max heat dissipation of a component is 16 W, making it very difficult to cool the assembly. According to the packaging characteristics and heat dissipation of the components on the circuit board, cooling methods such as potting brackets, cooling springs, and cooling blocks are used, and the effects of various cooling methods are analyzed. Through simulation and experimental research, it is proven that the power components in the printed circuit board assembly meet the requirements of temperature derating, which provides a reference for the thermal design of spacecraft electronic equipment. Full article
Show Figures

Figure 1

21 pages, 2700 KB  
Article
Degradation-Aware Derating of Lithium-Ion Battery Energy Storage Systems in the UK Power Market
by Inessa Rajah, Jake Sowe, Michael Schimpe and Jorge Varela Barreras
Electronics 2024, 13(19), 3817; https://doi.org/10.3390/electronics13193817 - 27 Sep 2024
Cited by 2 | Viewed by 2556
Abstract
As more renewable energy sources are integrated into the United Kingdom’s power grid, flexibility services are becoming integral to ensuring energy security. This has encouraged the proliferation of Lithium-ion battery storage systems, with 85 GW in development. However, battery degradation impacts both system [...] Read more.
As more renewable energy sources are integrated into the United Kingdom’s power grid, flexibility services are becoming integral to ensuring energy security. This has encouraged the proliferation of Lithium-ion battery storage systems, with 85 GW in development. However, battery degradation impacts both system lifespan and the economic viability of large-scale projects. With rising commodity costs and supply chain issues, maximising the value of energy storage is critical. Traditional methods of mitigating battery ageing rely on static limits based on inflexible warranties, which do not fully account for the complexity of battery degradation. This study examined an alternative, degradation-aware current derating strategy to improve system performance. Using an optimisation model simulating UK energy trading, combined with an electro-thermal and semi-empirical battery model, we assessed the impact of this approach. Interviews with industry leaders validated the modelled parameters and the relevance of the alternative strategy. Results show the degradation-aware strategy can extend battery lifetime by 5–8 years and improve net present value and internal rate of return over a 15-year period compared with traditional methods. These findings highlight the economic benefits of flexible, degradation-aware operational strategies and suggest that more adaptive warranties could accelerate renewable energy integration and lower costs for storage operators. Full article
(This article belongs to the Special Issue Innovative Smart Microgrids for Power System)
Show Figures

Figure 1

15 pages, 3343 KB  
Article
Power–Pitch Cascade Control-Based Approach for the Up/Down-Regulated Operation of Large Wind Turbines
by Adrian Gambier
Appl. Sci. 2024, 14(8), 3396; https://doi.org/10.3390/app14083396 - 17 Apr 2024
Cited by 3 | Viewed by 1212
Abstract
Modern energy needs require controlled and clean power generation. This demands that the wind turbines be integrated into joint generation groups (wind farms) and the power supply passes be managed by the grid. In this case, the control system of both the wind [...] Read more.
Modern energy needs require controlled and clean power generation. This demands that the wind turbines be integrated into joint generation groups (wind farms) and the power supply passes be managed by the grid. In this case, the control system of both the wind farm and the individual machines needs the ability to decrease and increase the power output as required. This control system feature is normally implemented by changing control strategies and an associated switching logic. This makes the control system additionally complex and prone to errors. This paper proposes an integrated control configuration for torque and pitch based on a cascade power tracking control (PTC) approach that extends the traditional wind turbine control to enable or disable up/down-regulation. Hence, the resulting control system topology is not complex, and its theoretic dynamic behaviour is known and expected. The new control configuration is studied within a simulation environment with a 20 MW reference machine. The simulation results are very promising from the control performance viewpoint. Full article
(This article belongs to the Section Energy Science and Technology)
Show Figures

Figure 1

28 pages, 6366 KB  
Article
Techno-Economic Performance and Sensitivity Analysis of an Off-Grid Renewable Energy-Based Hybrid System: A Case Study of Kuakata, Bangladesh
by Sheikh Md. Nahid Hasan, Shameem Ahmad, Abrar Fahim Liaf, A. G. M. B. Mustayen, M. M. Hasan, Tofael Ahmed, Sujan Howlader, Mahamudul Hassan and Mohammad Rafiqul Alam
Energies 2024, 17(6), 1476; https://doi.org/10.3390/en17061476 - 19 Mar 2024
Cited by 11 | Viewed by 3110
Abstract
Hybrid renewable energy sources (HRES) are increasingly being utilized to meet global energy demands, particularly in rural areas that rely on diesel generators and are disconnected from the utility grid, due to their environmental and human health benefits. This study investigates the performance [...] Read more.
Hybrid renewable energy sources (HRES) are increasingly being utilized to meet global energy demands, particularly in rural areas that rely on diesel generators and are disconnected from the utility grid, due to their environmental and human health benefits. This study investigates the performance of an off-grid, hybrid PV/diesel generator/battery system for a decentralized power plant in Kuakata, Bangladesh, meeting a load demand of 3000 kWh/day with a 501.61 kW peak load demand. HOMER Pro (hybrid optimization model for electric renewable) software (version 3.11) was used to simulate and optimize system operations utilizing real-time solar radiation and load profile data from that location. This study also includes a sensitivity analysis of the off-grid HRES system under different electrical load demands, project longevity, and derating variables. The results reveal that CO2 emissions have potentially decreased by more than 30% and over 10 tons per year, respectively, when compared to traditional power plants. The optimized system’s net present cost (NPC) was determined to be around USD 5.19 million, with a cost of energy (COE) of USD 0.367 per kWh per unit with a 100% renewable component. Furthermore, the current study’s findings are compared to previous research that has resulted in an economical hybrid renewable energy system with an affordable COE. The hybrid energy system under consideration might also be applicable to other parts of the world with comparable climate conditions. Full article
Show Figures

Figure 1

23 pages, 3691 KB  
Article
Assessment of Load Losses Caused by Harmonic Currents in Distribution Transformers Using the Transformer Loss Calculator Software
by Vicente León-Martínez, Elisa Peñalvo-López, Joaquín Montañana-Romeu, Clara Andrada-Monrós and Laura Molina-Cañamero
Environments 2023, 10(10), 177; https://doi.org/10.3390/environments10100177 - 7 Oct 2023
Cited by 13 | Viewed by 3167
Abstract
Transformer load losses cause various adverse effects, such as derating, a decreased lifetime, and greenhouse gas emissions. In this paper, the load losses caused by non-linear loads on distribution transformers are analyzed. For this study, the load loss expressions provided by the IEEE [...] Read more.
Transformer load losses cause various adverse effects, such as derating, a decreased lifetime, and greenhouse gas emissions. In this paper, the load losses caused by non-linear loads on distribution transformers are analyzed. For this study, the load loss expressions provided by the IEEE Standard C57.110 and ANSI/UL 1561-1562 were adapted to the usual case where the transformer currents differ in each phase. The novel load loss expressions adapted from the IEEE Standard C57.110 were applied using the software known as the “Transformer Loss Calculator” (TLC), implemented with LabVIEW. For the application of new load loss expressions, carbon dioxide (CO2) emissions were determined by multiplying the load losses by the emission factors of each country. The experimental results are based on the recordings made by a FLUKE 435 Series II analyzer on the second of two 1000 kVA transformers, feeding real residential distribution networks with very differently distorted loads. An analysis of these transformers shows that the annual energy losses and CO2 emissions obtained from the adapted load loss expressions could be more than 5% of those determined by the original IEEE and ANSI Standard expressions. Due to these percentage loss and emission differences, it is advisable to use the TLC software in transformer monitoring instruments. Full article
(This article belongs to the Special Issue Deployment of Green Technologies for Sustainable Environment II)
Show Figures

Figure 1

16 pages, 2317 KB  
Article
Derating of Squirrel-Cage Induction Motors Due to High Harmonics in Supply Voltage
by Tomasz Drabek
Energies 2023, 16(18), 6604; https://doi.org/10.3390/en16186604 - 13 Sep 2023
Viewed by 2390
Abstract
This paper presents the results of load capacity calculations for three-phase squirrel-cage induction motors supplied with distorted voltage with rotating harmonics. The calculations were made on the basis of a commonly used model of an induction machine. The difference from many papers is [...] Read more.
This paper presents the results of load capacity calculations for three-phase squirrel-cage induction motors supplied with distorted voltage with rotating harmonics. The calculations were made on the basis of a commonly used model of an induction machine. The difference from many papers is that the parameters of the equivalent circuit of each motor were precisely determined in terms of power losses in the motor. The load capacity of the motors was made dependent on the load power losses in the rotor cage. These losses were determined on the basis of short-circuit measurements of motors, made for frequencies equal to harmonic frequencies. Measurements and calculations were made for low-voltage squirrel-cage motors with rated powers of 4–65 kW and various efficiency classes. Calculations have shown that the calculated derating curves do not match the curves given in IEC 60034-17 and NEMA MG1. The differences are up to 15% for IE1 and IE2 motors and more than 50% for IE3 motors. Full article
(This article belongs to the Special Issue Advances in Electrical Machines Design and Control)
Show Figures

Figure 1

19 pages, 4310 KB  
Review
Paralleling of IGBT Power Semiconductor Devices and Reliability Issues
by Ravi Nath Tripathi and Ichiro Omura
Electronics 2023, 12(18), 3826; https://doi.org/10.3390/electronics12183826 - 10 Sep 2023
Cited by 5 | Viewed by 4146
Abstract
Paralleling of power semiconductor devices is inevitable considering their widespread application and exploitation in the extended horizon of these applications. However, paralleling of power semiconductor devices is prone to severe unbalancing corresponding to the non-idealities of device parameters, which leads to non-identical dynamic [...] Read more.
Paralleling of power semiconductor devices is inevitable considering their widespread application and exploitation in the extended horizon of these applications. However, paralleling of power semiconductor devices is prone to severe unbalancing corresponding to the non-idealities of device parameters, which leads to non-identical dynamic and static characteristics of the power devices, as well as the operating conditions and aging. Therefore, the currents are generally non-uniform and cause the derating of the system. This paper discusses and analyzes issues associated with the paralleling of IGBT power devices, which can evoke serious reliability issues. Furthermore, the paper examines the techniques and methodologies that have been proposed to reduce the issue of current unbalancing of parallel-connected power devices. Full article
(This article belongs to the Special Issue Feature Papers in Semiconductor Devices)
Show Figures

Figure 1

Back to TopTop