Sign in to use this feature.

Years

Between: -

Subjects

remove_circle_outline
remove_circle_outline
remove_circle_outline
remove_circle_outline
remove_circle_outline
remove_circle_outline
remove_circle_outline
remove_circle_outline

Journals

Article Types

Countries / Regions

Search Results (18)

Search Parameters:
Keywords = decentralized target tracking

Order results
Result details
Results per page
Select all
Export citation of selected articles as:
21 pages, 4297 KB  
Article
Resilient Consensus-Based Target Tracking Under False Data Injection Attacks in Multi-Agent Networks
by Amir Ahmad Ghods and Mohammadreza Doostmohammadian
Signals 2025, 6(3), 44; https://doi.org/10.3390/signals6030044 - 2 Sep 2025
Viewed by 686
Abstract
Distributed target tracking in multi-agent networks plays a critical role in cooperative sensing and autonomous navigation. However, it faces significant challenges in highly dynamic and adversarial setups. This study aims to enhance the resilience of decentralized target tracking algorithms against measurement faults and [...] Read more.
Distributed target tracking in multi-agent networks plays a critical role in cooperative sensing and autonomous navigation. However, it faces significant challenges in highly dynamic and adversarial setups. This study aims to enhance the resilience of decentralized target tracking algorithms against measurement faults and cyber–physical threats, especially false data injection attacks. We propose a consensus-based estimation algorithm that integrates a nearly constant velocity model with saturation-based filtering to suppress impulsive measurement variations and promote robust, distributed state estimation. To counteract adversarial conditions, we incorporate a dynamic false data injection detection and isolation mechanism that uses innovation thresholds to identify and disregard suspicious measurements before they can degrade the global estimate. The effectiveness of the proposed algorithms is demonstrated through a series of simulation-based case studies under both benign and adversarial conditions. The results show that increased network connectivity and higher consensus iteration rates improve estimation accuracy and convergence speed, while properly tuned saturation filters achieve a practical balance between fault suppression and accurate estimation. Furthermore, under localized, coordinated, and transient false data injection attacks, the detection mechanism successfully identifies compromised agents and prevents their data from corrupting the distributed global estimate. Overall, this study illustrates that the proposed algorithm provides a simplified fault-tolerant solution that significantly enhances the accuracy and resilience of distributed target tracking without imposing excessive communication or computational burdens. Full article
Show Figures

Figure 1

22 pages, 813 KB  
Review
A Narrative Review and Gap Analysis of Blockchain for Transparency, Traceability, and Trust in Data-Driven Supply Chains
by Mitra Madanchian and Hamed Taherdoost
Appl. Sci. 2025, 15(17), 9571; https://doi.org/10.3390/app15179571 - 30 Aug 2025
Viewed by 1753
Abstract
The increasing complexity and digitization of modern supply chains have created an urgent demand for transparent, traceable, and trustworthy systems of data management. Blockchain, with its core features of immutability, decentralization, and smart contracts, has emerged as a promising solution for strengthening data-driven [...] Read more.
The increasing complexity and digitization of modern supply chains have created an urgent demand for transparent, traceable, and trustworthy systems of data management. Blockchain, with its core features of immutability, decentralization, and smart contracts, has emerged as a promising solution for strengthening data-driven supply chain operations. This paper presents a narrative review synthesizing insights from academic research, industry reports, and regulatory documents to examine blockchain’s role in enhancing transparency, traceability, and trust. References were identified through targeted searches of major databases and gray literature sources, with emphasis on diverse sectors and global perspectives, rather than exhaustive coverage. The review maps how blockchain’s technical capabilities—such as data integrity preservation, access control, automated validation, and provenance tracking—support these outcomes, and assesses the empirical indicators used to evaluate them. A sectoral applicability analysis distinguishes contexts in which blockchain adoption offers clear advantages from those where benefits are limited. The review also identifies critical research gaps, including inconsistent definitions of core concepts, insufficient interoperability standards, overreliance on subjective performance measures, and lack of longitudinal cost–benefit evidence. Finally, it proposes directions for future research, including the development of sector-specific adoption frameworks, integration with complementary technologies, and cross-border regulatory harmonization. Full article
(This article belongs to the Special Issue Data-Driven Supply Chain Management and Logistics Engineering)
Show Figures

Figure 1

24 pages, 5194 KB  
Article
Decentralized Multi-Agent Search for Moving Targets Using Road Network Gaussian Process Regressions
by Brady Moon, Christine Akagi and Cameron K. Peterson
Drones 2024, 8(11), 606; https://doi.org/10.3390/drones8110606 - 23 Oct 2024
Cited by 1 | Viewed by 4052
Abstract
Unmanned aerial vehicles (UAVs) can collaborate as teams to accomplish diverse mission objectives, such as target search and tracking. This paper introduces a method that leverages accumulated target-density information over the course of a UAV mission to adapt path-planning rewards, guiding UAVs toward [...] Read more.
Unmanned aerial vehicles (UAVs) can collaborate as teams to accomplish diverse mission objectives, such as target search and tracking. This paper introduces a method that leverages accumulated target-density information over the course of a UAV mission to adapt path-planning rewards, guiding UAVs toward areas with a higher likelihood of target presence. The target density is modeled using a Gaussian process, which is iteratively updated as the UAVs search the environment. Unlike conventional search algorithms that prioritize unexplored regions, this approach incentivizes revisiting target-rich areas. The target-density information is shared across UAVs using decentralized consensus filters, enabling cooperative path selection that balances the exploration of uncertain regions with the exploitation of known high-density areas. The framework presented in this paper provides an adaptive cooperative search method that can quickly develop an understanding of the region’s target-dense areas, helping UAVs refine their search. Through Monte Carlo simulations, we demonstrate this method in both a 2D grid region and road networks, showing up to a 26% improvement in target density estimates. Full article
(This article belongs to the Topic Civil and Public Domain Applications of Unmanned Aviation)
Show Figures

Figure 1

24 pages, 4335 KB  
Article
Decentralized UAV Swarm Control: A Multi-Layered Architecture for Integrated Flight Mode Management and Dynamic Target Interception
by Bingze Xia, Iraj Mantegh and Wenfang Xie
Drones 2024, 8(8), 350; https://doi.org/10.3390/drones8080350 - 29 Jul 2024
Cited by 5 | Viewed by 8443
Abstract
Uncrewed Aerial Vehicles (UAVs) are increasingly deployed across various domains due to their versatility in navigating three-dimensional spaces. The utilization of UAV swarms further enhances the efficiency of mission execution through collaborative operation and shared intelligence. This paper introduces a novel decentralized swarm [...] Read more.
Uncrewed Aerial Vehicles (UAVs) are increasingly deployed across various domains due to their versatility in navigating three-dimensional spaces. The utilization of UAV swarms further enhances the efficiency of mission execution through collaborative operation and shared intelligence. This paper introduces a novel decentralized swarm control strategy for multi-UAV systems engaged in intercepting multiple dynamic targets. The proposed control framework leverages the advantages of both learning-based intelligent algorithms and rule-based control methods, facilitating complex task control in unknown environments while enabling adaptive and resilient coordination among UAV swarms. Moreover, dual flight modes are introduced to enhance mission robustness and fault tolerance, allowing UAVs to autonomously return to base in case of emergencies or upon task completion. Comprehensive simulation scenarios are designed to validate the effectiveness and scalability of the proposed control system under various conditions. Additionally, a feasibility analysis is conducted to guarantee real-world UAV implementation. The results demonstrate significant improvements in tracking performance, scheduling efficiency, and overall success rates compared to traditional methods. This research contributes to the advancement of autonomous UAV swarm coordination and specific applications in complex environments. Full article
(This article belongs to the Special Issue Distributed Control, Optimization, and Game of UAV Swarm Systems)
Show Figures

Figure 1

42 pages, 969 KB  
Review
A Review of Blockchain’s Role in E-Commerce Transactions: Open Challenges, and Future Research Directions
by Latifa Albshaier, Seetah Almarri and M. M. Hafizur Rahman
Computers 2024, 13(1), 27; https://doi.org/10.3390/computers13010027 - 17 Jan 2024
Cited by 68 | Viewed by 35460
Abstract
The Internet’s expansion has changed how the services accessed and businesses operate. Blockchain is an innovative technology that emerged after the rise of the Internet. In addition, it maintains transactions on encrypted databases that are distributed among many computer networks, much like digital [...] Read more.
The Internet’s expansion has changed how the services accessed and businesses operate. Blockchain is an innovative technology that emerged after the rise of the Internet. In addition, it maintains transactions on encrypted databases that are distributed among many computer networks, much like digital ledgers for online transactions. This technology has the potential to establish a decentralized marketplace for Internet retailers. Sensitive information, like customer data and financial statements, should be routinely transferred via e-commerce. As a result, the system becomes a prime target for cybercriminals seeking illegal access to data. As e-commerce increases, so does the frequency of hacker attacks that raise concerns about the safety of e-commerce platforms’ databases. Owing to the sensitivity of customer data, employee records, and customer records, organizations must ensure their protection. A data breach not only affects an enterprise’s financial performance but also erodes clients’ confidence in the platform. Currently, e-commerce businesses face numerous challenges, including the security of the e-commerce system, transparency and trust in its effectiveness. A solution to these issues is the application of blockchain technology in the e-commerce industry. Blockchain technology simplifies fraud detection and investigation by recording transactions and accompanying data. Blockchain technology enables transaction tracking by creating a detailed record of all the related data, which can assist in identifying and preventing fraud in the future. Using blockchain cryptocurrency will record the sender’s address, recipient’s address, amount transferred, and timestamp, which creates an immutable and transparent ledger of all transaction data. Full article
Show Figures

Figure 1

14 pages, 3119 KB  
Article
Comparison of Multiple Models in Decentralized Target Estimation by a UAV Swarm
by Fausto Francesco Lizzio, Martin Bugaj, Ján Rostáš and Stefano Primatesta
Drones 2024, 8(1), 5; https://doi.org/10.3390/drones8010005 - 27 Dec 2023
Cited by 4 | Viewed by 2743
Abstract
The decentralized estimation and tracking of a mobile target performed by a group of unmanned aerial vehicles (UAVs) is studied in this work. A flocking protocol is used for maintaining a collision-free formation, while a decentralized extended Kalman filter in the information form [...] Read more.
The decentralized estimation and tracking of a mobile target performed by a group of unmanned aerial vehicles (UAVs) is studied in this work. A flocking protocol is used for maintaining a collision-free formation, while a decentralized extended Kalman filter in the information form is employed to provide an estimate of the target state. In the prediction step of the filter, we adopt and compare three different models for the target motion with increasing levels of complexity, namely, a constant velocity (CV), a constant turn (CT), and a full-state (FS) model. Software-in-the-loop (SITL) simulations are conducted in ROS/Gazebo to compare the performance of the three models. The coupling between the formation and estimation tasks is evaluated since the tracking task is affected by the outcome of the estimation process. Full article
Show Figures

Figure 1

29 pages, 10245 KB  
Article
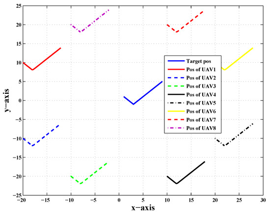
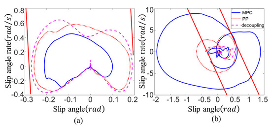
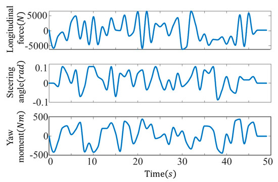
Trajectory Tracking Coordinated Control of 4WID-4WIS Electric Vehicle Considering Energy Consumption Economy Based on Pose Sensors
by Yiran Qiao, Xinbo Chen and Zhen Liu
Sensors 2023, 23(12), 5496; https://doi.org/10.3390/s23125496 - 11 Jun 2023
Cited by 9 | Viewed by 2731
Abstract
In order to improve the stability and economy of 4WID-4WIS (four-wheel independent drive—four-wheel independent steering) electric vehicles in trajectory tracking, this paper proposes a trajectory tracking coordinated control strategy considering energy consumption economy. First, a hierarchical chassis coordinated control architecture is designed, which [...] Read more.
In order to improve the stability and economy of 4WID-4WIS (four-wheel independent drive—four-wheel independent steering) electric vehicles in trajectory tracking, this paper proposes a trajectory tracking coordinated control strategy considering energy consumption economy. First, a hierarchical chassis coordinated control architecture is designed, which includes target planning layer, and coordinated control layer. Then, the trajectory tracking control is decoupled based on the decentralized control structure. Expert PID and Model Predictive Control (MPC) are employed to realize longitudinal velocity tracking and lateral path tracking, respectively, which calculate generalized forces and moments. In addition, with the objective of optimal overall efficiency, the optimal torque distribution for each wheel is achieved using the Mutant Particle Swarm Optimization (MPSO) algorithm. Additionally, the modified Ackermann theory is used to distribute wheel angles. Finally, the control strategy is simulated and verified using Simulink. Comparing the control results of the average distribution strategy and the wheel load distribution strategy, it can be concluded that the proposed coordinated control not only provides good trajectory tracking but also greatly improves the overall efficiency of the motor operating points, which enhances the energy economy and realizes the multi-objective coordinated control of the chassis. Full article
Show Figures

Figure 1

23 pages, 1348 KB  
Article
Coordinated Vision-Based Tracking by Multiple Unmanned Vehicles
by Venanzio Cichella and Isaac Kaminer
Drones 2023, 7(3), 177; https://doi.org/10.3390/drones7030177 - 5 Mar 2023
Cited by 3 | Viewed by 2813
Abstract
We address the problem of coordinated vision-based tracking of a moving target using multiple unmanned vehicles that exchange information over a supporting time-varying network. The objective of this work is to formulate decentralized control algorithms that enable multiple vehicles to follow the target [...] Read more.
We address the problem of coordinated vision-based tracking of a moving target using multiple unmanned vehicles that exchange information over a supporting time-varying network. The objective of this work is to formulate decentralized control algorithms that enable multiple vehicles to follow the target while coordinating their phase separation. A typical scenario involves multiple unmanned aerial vehicles that are required to monitor a moving ground object (target tracking) while maintaining a desired inter-vehicle separation (coordination). To solve the vision-based tracking problem, the yaw rate of each vehicle is used as the control input, while the speeds of the vehicles are adjusted to achieve coordination. It is assumed that the vehicles are equipped with an internal autopilot, which is able to track yaw rate and speed commands. The performance of the coordinated vision-based tracking algorithm is evaluated as a function of the target’s velocity, tracking performance of the onboard autopilot, and the quality of service of the communication network. Full article
(This article belongs to the Special Issue Large Scale Cooperative UAS: Control Theory and Applications)
Show Figures

Figure 1

21 pages, 5753 KB  
Article
A Video Target Tracking and Correction Model with Blockchain and Robust Feature Location
by Yiru Jiang, Dezhi Han, Mingming Cui, Yuan Fan and Yachao Zhou
Sensors 2023, 23(5), 2408; https://doi.org/10.3390/s23052408 - 22 Feb 2023
Cited by 6 | Viewed by 3320
Abstract
In this paper, a cutting-edge video target tracking system is proposed, combining feature location and blockchain technology. The location method makes full use of feature registration and received trajectory correction signals to achieve high accuracy in tracking targets. The system leverages the power [...] Read more.
In this paper, a cutting-edge video target tracking system is proposed, combining feature location and blockchain technology. The location method makes full use of feature registration and received trajectory correction signals to achieve high accuracy in tracking targets. The system leverages the power of blockchain technology to address the challenge of insufficient accuracy in tracking occluded targets, by organizing the video target tracking tasks in a secure and decentralized manner. To further enhance the accuracy of small target tracking, the system uses adaptive clustering to guide the target location process across different nodes. In addition, the paper also presents an unmentioned trajectory optimization post-processing approach, which is based on result stabilization, effectively reducing inter-frame jitter. This post-processing step plays a crucial role in maintaining a smooth and stable track of the target, even in challenging scenarios such as fast movements or significant occlusions. Experimental results on CarChase2 (TLP) and basketball stand advertisements (BSA) datasets show that the proposed feature location method is better than the existing methods, achieving a recall of 51% (27.96+) and a precision of 66.5% (40.04+) in the CarChase2 dataset and recall of 85.52 (11.75+)% and precision of 47.48 (39.2+)% in the BSA dataset. Moreover, the proposed video target tracking and correction model performs better than the existing tracking model, showing a recall of 97.1% and a precision of 92.6% in the CarChase2 dataset and an average recall of 75.9% and mAP of 82.87% in the BSA dataset, respectively. The proposed system presents a comprehensive solution for video target tracking, offering high accuracy, robustness, and stability. The combination of robust feature location, blockchain technology, and trajectory optimization post-processing makes it a promising approach for a wide range of video analytics applications, such as surveillance, autonomous driving, and sports analysis. Full article
(This article belongs to the Special Issue Blockchain Technologies: Communications and Industry 4.0)
Show Figures

Figure 1

34 pages, 7060 KB  
Article
Sensor Fusion with Asynchronous Decentralized Processing for 3D Target Tracking with a Wireless Camera Network
by Thiago Marchi Di Gennaro and Jacques Waldmann
Sensors 2023, 23(3), 1194; https://doi.org/10.3390/s23031194 - 20 Jan 2023
Cited by 3 | Viewed by 2400
Abstract
We present a method to acquire 3D position measurements for decentralized target tracking with an asynchronous camera network. Cameras with known poses have fields of view with overlapping projections on the ground and 3D volumes above a reference ground plane. The purpose is [...] Read more.
We present a method to acquire 3D position measurements for decentralized target tracking with an asynchronous camera network. Cameras with known poses have fields of view with overlapping projections on the ground and 3D volumes above a reference ground plane. The purpose is to track targets in 3D space without constraining motion to a reference ground plane. Cameras exchange line-of-sight vectors and respective time tags asynchronously. From stereoscopy, we obtain the fused 3D measurement at the local frame capture instant. We use local decentralized Kalman information filtering and particle filtering for target state estimation to test our approach with only local estimation. Monte Carlo simulation includes communication losses due to frame processing delays. We measure performance with the average root mean square error of 3D position estimates projected on the image planes of the cameras. We then compare only local estimation to exchanging additional asynchronous communications using the Batch Asynchronous Filter and the Sequential Asynchronous Particle Filter for further fusion of information pairs’ estimates and fused 3D position measurements, respectively. Similar performance occurs in spite of the additional communication load relative to our local estimation approach, which exchanges just line-of-sight vectors. Full article
(This article belongs to the Section Sensor Networks)
Show Figures

Figure 1

16 pages, 655 KB  
Article
Multi-Agent Distributed Deep Deterministic Policy Gradient for Partially Observable Tracking
by Dongyu Fan, Haikuo Shen and Lijing Dong
Actuators 2021, 10(10), 268; https://doi.org/10.3390/act10100268 - 14 Oct 2021
Cited by 13 | Viewed by 5063
Abstract
In many existing multi-agent reinforcement learning tasks, each agent observes all the other agents from its own perspective. In addition, the training process is centralized, namely the critic of each agent can access the policies of all the agents. This scheme has certain [...] Read more.
In many existing multi-agent reinforcement learning tasks, each agent observes all the other agents from its own perspective. In addition, the training process is centralized, namely the critic of each agent can access the policies of all the agents. This scheme has certain limitations since every single agent can only obtain the information of its neighbor agents due to the communication range in practical applications. Therefore, in this paper, a multi-agent distributed deep deterministic policy gradient (MAD3PG) approach is presented with decentralized actors and distributed critics to realize multi-agent distributed tracking. The distinguishing feature of the proposed framework is that we adopted the multi-agent distributed training with decentralized execution, where each critic only takes the agent’s and the neighbor agents’ policies into account. Experiments were conducted in the distributed tracking tasks based on multi-agent particle environments where N(N=3,N=5) agents track a target agent with partial observation. The results showed that the proposed method achieves a higher reward with a shorter training time compared to other methods, including MADDPG, DDPG, PPO, and DQN. The proposed novel method leads to a more efficient and effective multi-agent tracking. Full article
(This article belongs to the Special Issue Resilient Control and Estimation in Networked Systems)
Show Figures

Figure 1

17 pages, 5530 KB  
Article
Dynamic Decoupling and Trajectory Tracking for Automated Vehicles Based on the Inverse System
by Yinghong Yu, Yinong Li, Yixiao Liang, Ling Zheng and Wei Yang
Appl. Sci. 2020, 10(21), 7394; https://doi.org/10.3390/app10217394 - 22 Oct 2020
Cited by 14 | Viewed by 3120
Abstract
A simultaneous trajectory tracking and stability control method is present for the four-wheel independent drive (4WID) automated vehicles to handle dynamic coupling maneuvers. To conquer the disadvantage that attendant disturbances caused by the dynamic coupling of traditional decentralized control methods degenerate the trajectory [...] Read more.
A simultaneous trajectory tracking and stability control method is present for the four-wheel independent drive (4WID) automated vehicles to handle dynamic coupling maneuvers. To conquer the disadvantage that attendant disturbances caused by the dynamic coupling of traditional decentralized control methods degenerate the trajectory tracking accuracy, the proposed method takes advantage of the idea of decoupling to optimize the tracking performance. After establishing the dynamic model of the 4WID automated vehicles, the coupling mechanism of the vehicle dynamic control and its negative effect on trajectory tracking were studied at first. The inverse system model was then determined by machine learning and connected in series with the controlled object to form a pseudo linear system to realize dynamic decoupling. Finally, differing from previous tracking methods following the apparent lateral position and longitudinal velocity references, the pseudo linear system tracks the ideal intermediate targets transferred from the target trajectory, that is, the accelerations of vehicle in longitudinal, lateral and yaw directions, to indirectly achieve trajectory tracking and validly restrain the vehicle motion. The effectiveness of the proposed method, i.e., the high tracking accuracy and the stable driving performance, is verified through three coupling driving scenarios in the CarSim-Simulink co-simulations platform. Full article
Show Figures

Figure 1

40 pages, 1474 KB  
Article
Survey of Decentralized Solutions with Mobile Devices for User Location Tracking, Proximity Detection, and Contact Tracing in the COVID-19 Era
by Viktoriia Shubina, Sylvia Holcer, Michael Gould and Elena Simona Lohan
Data 2020, 5(4), 87; https://doi.org/10.3390/data5040087 - 23 Sep 2020
Cited by 59 | Viewed by 16364
Abstract
Some of the recent developments in data science for worldwide disease control have involved research of large-scale feasibility and usefulness of digital contact tracing, user location tracking, and proximity detection on users’ mobile devices or wearables. A centralized solution relying on collecting and [...] Read more.
Some of the recent developments in data science for worldwide disease control have involved research of large-scale feasibility and usefulness of digital contact tracing, user location tracking, and proximity detection on users’ mobile devices or wearables. A centralized solution relying on collecting and storing user traces and location information on a central server can provide more accurate and timely actions than a decentralized solution in combating viral outbreaks, such as COVID-19. However, centralized solutions are more prone to privacy breaches and privacy attacks by malevolent third parties than decentralized solutions, storing the information in a distributed manner among wireless networks. Thus, it is of timely relevance to identify and summarize the existing privacy-preserving solutions, focusing on decentralized methods, and analyzing them in the context of mobile device-based localization and tracking, contact tracing, and proximity detection. Wearables and other mobile Internet of Things devices are of particular interest in our study, as not only privacy, but also energy-efficiency, targets are becoming more and more critical to the end-users. This paper provides a comprehensive survey of user location-tracking, proximity-detection, and digital contact-tracing solutions in the literature from the past two decades, analyses their advantages and drawbacks concerning centralized and decentralized solutions, and presents the authors’ thoughts on future research directions in this timely research field. Full article
(This article belongs to the Section Featured Reviews of Data Science Research)
Show Figures

Figure 1

17 pages, 6717 KB  
Article
A Stand-Alone Smart Camera System for Online Post-Earthquake Building Safety Assessment
by Ting-Yu Hsu and Xiang-Ju Kuo
Sensors 2020, 20(12), 3374; https://doi.org/10.3390/s20123374 - 15 Jun 2020
Cited by 5 | Viewed by 3347
Abstract
Computer vision-based approaches are very useful for dynamic displacement measurement, damage detection, and structural health monitoring. However, for the application using a large number of existing cameras in buildings, the computational cost of videos from dozens of cameras using a centralized computer becomes [...] Read more.
Computer vision-based approaches are very useful for dynamic displacement measurement, damage detection, and structural health monitoring. However, for the application using a large number of existing cameras in buildings, the computational cost of videos from dozens of cameras using a centralized computer becomes a huge burden. Moreover, when a manual process is required for processing the videos, prompt safety assessment of tens of thousands of buildings after a catastrophic earthquake striking a megacity becomes very challenging. Therefore, a decentralized and fully automatic computer vision-based approach for prompt building safety assessment and decision-making is desired for practical applications. In this study, a prototype of a novel stand-alone smart camera system for measuring interstory drifts was developed. The proposed system is composed of a single camera, a single-board computer, and two accelerometers with a microcontroller unit. The system is capable of compensating for rotational effects of the camera during earthquake excitations. Furthermore, by fusing the camera-based interstory drifts with the accelerometer-based ones, the interstory drifts can be measured accurately even when residual interstory drifts exist. Algorithms used to compensate for the camera’s rotational effects, algorithms used to track the movement of three targets within three regions of interest, artificial neural networks used to convert the interstory drifts to engineering units, and some necessary signal processing algorithms, including interpolation, cross-correlation, and filtering algorithms, were embedded in the smart camera system. As a result, online processing of the video data and acceleration data using decentralized computational resources is achieved in each individual smart camera system to obtain interstory drifts. Using the maximum interstory drifts measured during an earthquake, the safety of a building can be assessed right after the earthquake excitation. We validated the feasibility of the prototype of the proposed smart camera system through the use of large-scale shaking table tests of a steel building. The results show that the proposed smart camera system had very promising results in terms of assessing the safety of steel building specimens after earthquake excitations. Full article
(This article belongs to the Special Issue Sensors for Structural Damage Identification)
Show Figures

Figure 1

12 pages, 503 KB  
Article
Tracking a Decentralized Linear Trajectory in an Intermittent Observation Environment
by Wasi Ullah, Irshad Hussain, Iram Shehzadi, Zahid Rahman and Peerapong Uthansakul
Sensors 2020, 20(7), 2127; https://doi.org/10.3390/s20072127 - 9 Apr 2020
Cited by 10 | Viewed by 2491
Abstract
Faults and failures are familiar case studies in centralized and decentralized tracking systems. The processing of sensor data becomes more severe in the presence of faults/failures and/or noise. Effective schemes have been presented for decentralized systems, in the presence of faults only. In [...] Read more.
Faults and failures are familiar case studies in centralized and decentralized tracking systems. The processing of sensor data becomes more severe in the presence of faults/failures and/or noise. Effective schemes have been presented for decentralized systems, in the presence of faults only. In some practical scenarios of systems, there are certain interruptions in addition to these faults. These interruptions may occur in the form of noise. However it is expected that the decision about the sensor data is difficult in the presence of noise. This is because the noise adversely affects the communication amongst sensors and the processing unit. More complexity is expected when there are faults and noise simultaneously. To deal with this problem, in addition to existing fault detection and isolation schemes, the Kalman filter is employed. Here, a generic discussion is provided, which is equally applicable to other situations. This work addresses various faults in the presence of noise for decentralized tracking systems. Local single faults and multiple faults in the presence of noise are the core issues addressed in this paper. The proposed work is comprised of a general scenario for a decentralized tracking system followed by a case study of a target tracking scenario with and without noise. The presented schemes are also tested for different types of faults. The proposed work presents effective tracking in the presence of noise and faults. The results obtained demonstrate the acceptable performance of the scheme of this work. Full article
(This article belongs to the Section Sensor Networks)
Show Figures

Figure 1

Back to TopTop