Sign in to use this feature.

Years

Between: -

Subjects

remove_circle_outline
remove_circle_outline
remove_circle_outline
remove_circle_outline
remove_circle_outline
remove_circle_outline

Journals

Article Types

Countries / Regions

Search Results (12)

Search Parameters:
Keywords = daytime ecosystem respiration

Order results
Result details
Results per page
Select all
Export citation of selected articles as:
17 pages, 3868 KB  
Article
Prolonged Summer Daytime Dissolved Oxygen Recovery in a Eutrophic Lake: High-Frequency Monitoring Diel Evidence from Taihu Lake, China
by Dong Xie, Xiaojie Chen, Yi Qian and Yuqing Feng
Water 2025, 17(22), 3221; https://doi.org/10.3390/w17223221 - 11 Nov 2025
Viewed by 968
Abstract
In eutrophic shallow lakes, dissolved oxygen (DO) exhibits significant temporal variations, regulated by the combined effects of photosynthesis and water temperature (WT). High-frequency monitoring enables a detailed capture of DO diel cycles, providing a more comprehensive understanding of the dynamic changes within lake [...] Read more.
In eutrophic shallow lakes, dissolved oxygen (DO) exhibits significant temporal variations, regulated by the combined effects of photosynthesis and water temperature (WT). High-frequency monitoring enables a detailed capture of DO diel cycles, providing a more comprehensive understanding of the dynamic changes within lake ecosystems. This study involved high-frequency (10 min intervals) in situ monitoring of DO over a three-year period (2020–2022) in the littoral zone of Taihu Lake, China. Random forest regression analysis identified WT, photosynthetically active radiation (PAR), and relative humidity (RH) as the three most influential variables governing DO dynamics. The relative importance of these factors varied seasonally (0.117–0.392), with PAR dominating in summer (0.383), whereas WT had the highest importance in other seasons (0.312–0.392). Cusum analysis further revealed that the DO-WT relationship changed from a dome-shaped pattern in spring, autumn, and winter to a bowl-shaped pattern in summer, indicating that thermal stratification intensified oxygen gradients. In addition, the majority of DO recovery occurred in the late afternoon during summer, suggesting that severe oxygen consumption delayed the daytime accumulation of DO. Our findings emphasize the critical roles of photosynthesis, respiration, and abiotic factors in shaping DO dynamics. This research enhances our understanding of DO fluctuations in eutrophic shallow lakes and provides valuable insights for ecosystem management, supporting the development of effective strategies to prevent and mitigate hypoxia. Full article
Show Figures

Figure 1

16 pages, 15431 KB  
Article
Warming Diminishes the Day–Night Discrepancy in the Apparent Temperature Sensitivity of Ecosystem Respiration
by Nan Li, Guiyao Zhou, Mayank Krishna, Kaiyan Zhai, Junjiong Shao, Ruiqiang Liu and Xuhui Zhou
Plants 2024, 13(23), 3321; https://doi.org/10.3390/plants13233321 - 26 Nov 2024
Viewed by 1703
Abstract
Understanding the sensitivity of ecosystem respiration (ER) to increasing temperature is crucial to predict how the terrestrial carbon sink responds to a warming climate. The temperature sensitivity of ER may vary on a diurnal basis but is poorly understood due to the paucity [...] Read more.
Understanding the sensitivity of ecosystem respiration (ER) to increasing temperature is crucial to predict how the terrestrial carbon sink responds to a warming climate. The temperature sensitivity of ER may vary on a diurnal basis but is poorly understood due to the paucity of observational sites documenting real ER during daytime at a global scale. Here, we used an improved flux partitioning approach to estimate the apparent temperature sensitivity of ER during the daytime (E0,day) and nighttime (E0,night) derived from multiyear observations of 189 FLUXNET sites. Our results demonstrated that E0,night is significantly higher than E0,day across all biomes, with significant seasonal variations in the day–night discrepancy in the temperature sensitivity of ER (ΔE0 = E0,night/E0,day) except for evergreen broadleaf forest and savannas. Such seasonal variations in ΔE0 mainly result from the effect of temperature and the seasonal amplitude of NDVI. We predict that future warming will decrease ΔE0 due to the reduced E0,night by the end of the century in most regions. Moreover, we further find that disregarding the ΔE0 leads to an overestimation of annual ER by 10~80% globally. Thus, our study highlights that the divergent temperature dependencies between day- and nighttime ER should be incorporated into Earth system models to improve predictions of carbon–climate change feedback under future warming scenarios. Full article
Show Figures

Figure 1

16 pages, 8292 KB  
Article
The Response of Soil Respiration to Temperature and Humidity in the Thermokarst Depression Zone of the Headwater Wetlands of Qinghai Lake
by Yahui Mao, Kelong Chen, Wei Ji and Yanli Yang
Biology 2024, 13(6), 437; https://doi.org/10.3390/biology13060437 - 14 Jun 2024
Cited by 1 | Viewed by 1685
Abstract
As the climate warms, the thickening of the active layer of permafrost has led to permafrost melting and surface collapse, forming thermokarst landforms. These changes significantly impact regional vegetation, soil physicochemical properties, and hydrological processes, thereby exacerbating regional carbon cycling. This study analyzed [...] Read more.
As the climate warms, the thickening of the active layer of permafrost has led to permafrost melting and surface collapse, forming thermokarst landforms. These changes significantly impact regional vegetation, soil physicochemical properties, and hydrological processes, thereby exacerbating regional carbon cycling. This study analyzed the relationship between soil respiration rate (Rs), soil temperature (T), and volumetric water content (VWC) in the thermokarst depression zone of the headwater wetlands of Qinghai Lake, revealing their influence on these soil parameters. Results showed a significant positive correlation between soil temperature and Rs (p < 0.001), and a significant negative correlation between VWC and Rs (p < 0.001). The inhibitory effect of VWC on Rs in the thermokarst depression zone was stronger than under natural conditions (p < 0.05). Single-factor models indicated that the temperature-driven model had higher explanatory power for Rs variation in both the thermokarst depression zone (R2 = 0.509) and under natural conditions (R2 = 0.414), while the humidity-driven model had lower explanatory power. Dual-factor models further improved explanatory power, slightly more so in the thermokarst depression zone. This indicates that temperature and humidity jointly drive Rs. Additionally, during the daytime, temperature had a more significant impact on Rs under natural conditions, while increased VWC inhibited Rs. At night, the positive correlation between Rs and temperature in the thermokarst depression zone increased significantly. The temperature sensitivity (Q10) values of Rs were 3.32 and 1.80 for the thermokarst depression zone and natural conditions, respectively, indicating higher sensitivity to temperature changes at night in the thermokarst depression zone. This study highlights the complexity of soil respiration responses to temperature and humidity in the thermokarst depression zone of Qinghai Lake’s headwater wetlands, contributing to understanding carbon cycling in wetland ecosystems and predicting wetland carbon emissions under climate change. Full article
(This article belongs to the Section Ecology)
Show Figures

Figure 1

24 pages, 5800 KB  
Article
Empirical Models of Respiration and Net Ecosystem Productivity and Their Applications in a Subtropical Coniferous Plantation in China
by Jianhui Bai, Fengting Yang, Mingjie Xu and Huimin Wang
Atmosphere 2023, 14(10), 1557; https://doi.org/10.3390/atmos14101557 - 13 Oct 2023
Cited by 2 | Viewed by 1938
Abstract
Net ecosystem exchange (NEE), solar radiation (including photosynthetically active radiation PAR), and meteorological parameters were measured in a subtropical coniferous plantation in China during 2013–2016. Applying the PAR balance principle at a canopy level and analyzing the observation data, an empirical model of [...] Read more.
Net ecosystem exchange (NEE), solar radiation (including photosynthetically active radiation PAR), and meteorological parameters were measured in a subtropical coniferous plantation in China during 2013–2016. Applying the PAR balance principle at a canopy level and analyzing the observation data, an empirical model of respiration (Re, EMRe) considering 3-factor and 2-factor situations was developed and tested for all sky conditions. Generally, the respiration simulations were in reasonable agreement with the observations for the hourly, monthly, and annual sums of respiration. For example, using 3-factor and 2-factor models, the estimated annual sums of daytime and nighttime respiration in 2013–2016 overestimated that which was observed by about 31% and 26%, respectively. Further applications of EMRe and an empirical model of gross primary production (GPP, EMGPP) developed previously at this site, and an empirical model of net ecosystem productivity (NEP, EMNEP) using 3-factor and 2-factor models were obtained (NEP = GPP-Re) and evaluated for all sky conditions. Generally, the simulations of the hourly, monthly, and annual sums of NEP showed reasonable performances. The estimated NEP values overestimated the observations by 22% and 27% for the hourly sums in 2013–2016 when using the 3-factor and 2-factor models, respectively, and 7% and 12% for annual sums in 2013–2015 (2016 data were not used as the CO2 flux measurements had some problems in the 2016 summer). The NEP estimations were evidently improved when more factors (e.g., dark respiration) influencing Re were considered in the daytime respiration compared to those without considering these factors. To simplify the numerous and complicated CO2 processes in the simulations of Re and NEP, the PAR energy method was applied to capture and describe its main processes and energy interactions. The PAR energy method was suitable for studying the energy relationships associated with CO2 processes and developing empirical models for the simulations of GPP, Re, and NEP. These models were useful tools to investigate the multiple interactions and mechanisms between CO2, other atmospheric compositions, and PAR. Thus, the energy method is suggested to be applied to carbon balance. Full article
(This article belongs to the Section Biosphere/Hydrosphere/Land–Atmosphere Interactions)
Show Figures

Figure 1

12 pages, 1901 KB  
Article
Long-Term Daytime Warming Rather Than Nighttime Warming Alters Soil Microbial Composition in a Semi-Arid Grassland
by Jiayin Feng, Jingyi Ru, Jian Song, Xueli Qiu and Shiqiang Wan
Biology 2023, 12(5), 699; https://doi.org/10.3390/biology12050699 - 10 May 2023
Cited by 3 | Viewed by 2668
Abstract
Climate warming has profoundly influenced community structure and ecosystem functions in the terrestrial biosphere. However, how asymmetric rising temperatures between daytime and nighttime affect soil microbial communities that predominantly regulate soil carbon (C) release remains unclear. As part of a decade-long warming manipulation [...] Read more.
Climate warming has profoundly influenced community structure and ecosystem functions in the terrestrial biosphere. However, how asymmetric rising temperatures between daytime and nighttime affect soil microbial communities that predominantly regulate soil carbon (C) release remains unclear. As part of a decade-long warming manipulation experiment in a semi-arid grassland, we aimed to examine the effects of short- and long-term asymmetrically diurnal warming on soil microbial composition. Neither daytime nor nighttime warming affected soil microbial composition in the short term, whereas long-term daytime warming instead of nighttime warming decreased fungal abundance by 6.28% (p < 0.05) and the ratio of fungi to bacteria by 6.76% (p < 0.01), which could be caused by the elevated soil temperature, reduced soil moisture, and increased grass cover. In addition, soil respiration enhanced with the decreasing fungi-to-bacteria ratio, but was not correlated with microbial biomass C during the 10 years, indicating that microbial composition may be more important than biomass in modulating soil respiration. These observations highlight the crucial role of soil microbial composition in regulating grassland C release under long-term climate warming, which facilitates an accurate assessment of climate-C feedback in the terrestrial biosphere. Full article
Show Figures

Figure 1

3 pages, 202 KB  
Proceeding Paper
Partitioning of Net Ecosystem Exchange Using Dynamic Mode Decomposition and Time Delay Embedding
by Maha Shadaydeh, Joachim Denzler and Mirco Migliavacca
Eng. Proc. 2022, 18(1), 13; https://doi.org/10.3390/engproc2022018013 - 21 Jun 2022
Viewed by 1767
Abstract
Ecosystem respiration (Reco) represents a major component of the global carbon cycle. An accurate estimation of Reco dynamics is necessary for a better understanding of ecosystem–climate interactions and the impact of climate extremes on ecosystems. This paper proposes a new data-driven method for [...] Read more.
Ecosystem respiration (Reco) represents a major component of the global carbon cycle. An accurate estimation of Reco dynamics is necessary for a better understanding of ecosystem–climate interactions and the impact of climate extremes on ecosystems. This paper proposes a new data-driven method for the estimation of the nonlinear dynamics of Reco using the method of dynamic mode decomposition with control input (DMDc). The method is validated on the half-hourly Fluxnet 2015 data. The model is first trained on the night-time net ecosystem exchange data. The day-time Reco values are then predicted using the obtained model with future values of a control input such as air temperature and soil water content. To deal with unobserved drivers of Reco other than the user control input, the method uses time-delay embedding of the history of Reco and the control input. Results indicate that, on the one hand, the prediction accuracy of Reco dynamics using DMDc is comparable to state-of-the-art deep learning-based methods, yet it has the advantages of being a simple and almost hyper-parameter-free method with a low computational load. On the other hand, the study of the impact of different control inputs on Reco dynamics showed that for most of the studied Fluxnet sites, air temperature is a better long-term predictor of Reco, while using soil water content as control input produced better short-term prediction accuracy. Full article
(This article belongs to the Proceedings of The 8th International Conference on Time Series and Forecasting)
22 pages, 3487 KB  
Article
Science to Commerce: A Commercial-Scale Protocol for Carbon Trading Applied to a 28-Year Record of Forest Carbon Monitoring at the Harvard Forest
by Nahuel Bautista, Bruno D. V. Marino and J. William Munger
Land 2021, 10(2), 163; https://doi.org/10.3390/land10020163 - 6 Feb 2021
Cited by 17 | Viewed by 5553
Abstract
Forest carbon sequestration offset protocols have been employed for more than 20 years with limited success in slowing deforestation and increasing forest carbon trading volume. Direct measurement of forest carbon flux improves quantification for trading but has not been applied to forest carbon [...] Read more.
Forest carbon sequestration offset protocols have been employed for more than 20 years with limited success in slowing deforestation and increasing forest carbon trading volume. Direct measurement of forest carbon flux improves quantification for trading but has not been applied to forest carbon research projects with more than 600 site installations worldwide. In this study, we apply carbon accounting methods, scaling hours to decades to 28-years of scientific CO2 eddy covariance data for the Harvard Forest (US-Ha1), located in central Massachusetts, USA and establishing commercial carbon trading protocols and applications for similar sites. We illustrate and explain transactions of high-frequency direct measurement for CO2 net ecosystem exchange (NEE, gC m−2 year−1) that track and monetize ecosystem carbon dynamics in contrast to approaches that rely on forest mensuration and growth models. NEE, based on eddy covariance methodology, quantifies loss of CO2 by ecosystem respiration accounted for as an unavoidable debit to net carbon sequestration. Retrospective analysis of the US-Ha1 NEE times series including carbon pricing, interval analysis, and ton-year exit accounting and revenue scenarios inform entrepreneur, investor, and landowner forest carbon commercialization strategies. CO2 efflux accounts for ~45% of the US-Ha1 NEE, an error of ~466% if excluded; however, the decades-old coupled human and natural system remains a financially viable net carbon sink. We introduce isoflux NEE for t13C16O2 and t12C18O16O to directly partition and quantify daytime ecosystem respiration and photosynthesis, creating new soil carbon commerce applications and derivative products in contrast to undifferentiated bulk soil carbon pool approaches. Eddy covariance NEE methods harmonize and standardize carbon commerce across diverse forest applications including, a New England, USA regional eddy covariance network, the Paris Agreement, and related climate mitigation platforms. Full article
Show Figures

Graphical abstract

15 pages, 6869 KB  
Article
Increasing Summer Rainfall and Asymmetrical Diurnal and Seasonal Warming Enhanced Vegetation Greenness in Temperate Deciduous Forests and Grasslands of Northern China
by Mei Yu and Qiong Gao
Remote Sens. 2020, 12(16), 2569; https://doi.org/10.3390/rs12162569 - 10 Aug 2020
Cited by 11 | Viewed by 3518
Abstract
Temperate forests and grasslands carry key ecosystem functions and provide essential services. Remote-sensing derived greenness has been widely used to assess the response of ecosystem function to climate and land-cover changes. Although reforestation and grassland restoration have been proposed to enhance the regional [...] Read more.
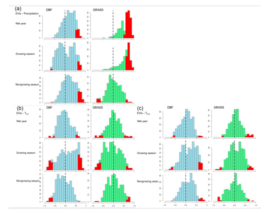
Temperate forests and grasslands carry key ecosystem functions and provide essential services. Remote-sensing derived greenness has been widely used to assess the response of ecosystem function to climate and land-cover changes. Although reforestation and grassland restoration have been proposed to enhance the regional greenness in Northern China, the independent contribution of climate without the interference of land-cover change at meso and large scales has rarely been explored. To separate the impacts of climate change on vegetation greenness from those of land-cover/use change, we identified large patches of forests and grasslands in Northern China without land-cover/use changes in 2001–2015 and derived their greenness using MODIS enhanced vegetation index (EVI). We found that most deciduous-broadleaved forest patches showed greening, and the significant slope of the annual mean and maximum EVI are 3.97 ± 0.062 × 10−3 and 4.8 ± 0.116 × 10−3 yr−1, respectively. On the contrary, grassland patches showed great spatial heterogeneity and only those in the east showed greening. The partial correlation analysis between EVI and climate showed that the greening of grassland patches is primarily supported by the increased growing-season precipitation with mean significant coefficient of 0.72 ± 0.01. While wet-year (0.57 ± 0.01) and nongrowing-season precipitation (0.68 ± 0.01) significantly benefit greening of deciduous-broadleaved forests, the altered temperature seasonality modulates their greening spatial-heterogeneously. The increased growing-season minimum temperature might lengthen the growing season and contribute to the greening for the temperature-limited north as shown by positive partial correlation coefficient of 0.66 ± 0.01, but might elevate respiration and reduce greening of the forests in the south as shown by negative coefficient of −0.70 ± 0.01. Daytime warming in growing season is found to favor the drought-tolerant oak dominated forest in the south due to enhanced photosynthesis, but may not favor the forests dominated by less-drought-tolerant birch in the north due to potential water stress. Therefore, grassland greening was essentially promoted by the growing-season precipitation, however, in addition to being driven by precipitation, greening of deciduous forests was regulated spatial-heterogeneously by asymmetrical diurnal and seasonal warming which could be attributed to species composition. Full article
Show Figures

Figure 1

17 pages, 1950 KB  
Article
MODIS-Derived Estimation of Soil Respiration within Five Cold Temperate Coniferous Forest Sites in the Eastern Loess Plateau, China
by Junxia Yan, Xue Zhang, Ju Liu, Hongjian Li and Guangwei Ding
Forests 2020, 11(2), 131; https://doi.org/10.3390/f11020131 - 22 Jan 2020
Cited by 11 | Viewed by 2697
Abstract
Soil respiration (Rs) is seldom analyzed using remotely sensed data because satellite technology has difficulty monitoring various respiratory processes in the soil. We investigated the potential of remote sensing data products to estimate Rs, including land surface temperature [...] Read more.
Soil respiration (Rs) is seldom analyzed using remotely sensed data because satellite technology has difficulty monitoring various respiratory processes in the soil. We investigated the potential of remote sensing data products to estimate Rs, including land surface temperature (LST) and spectral vegetation indices from the Moderate Resolution Imaging Spectroradiometer (MODIS), using a nine-year (2007–2015) field measurement dataset of Rs and soil temperature (Ts) at five forest sites at the eastern Loess Plateau, China. The results indicate that soil temperature is the primary factor influencing the seasonal variation of Rs at the five sites. The accuracy of the model based on the observed data is not significantly different from the model based on MODIS-derived nighttime LST values. There was a significant difference with the model based on MODIS-derived daytime LST values. Therefore, nighttime LST was the optimum LST for estimation of Rs. The normalized difference vegetation index (NDVI) consistently exhibited a stronger correlation with Rs when compared to the green edge chlorophyll index and enhanced vegetation index. Further analysis showed that adding the NDVI into the model considering only Ts or nighttime LST could significantly improve the simulation accuracy of Rs. The models depending on nighttime LST and NDVI showed comparable accuracy with the models based on the in situ Ts and NDVI. These results suggest that models based entirely on remote sensing data from MODIS have the potential to estimate Rs at the cold temperate coniferous forest sites. The performance of the model in other vegetation types or regions has also been proved. Our conclusions further confirmed that it is feasible for large-scale estimates of Rs by means of MODIS data in temperate coniferous forest ecosystems. Full article
(This article belongs to the Section Forest Ecology and Management)
Show Figures

Graphical abstract

14 pages, 1265 KB  
Article
A Novel Approach for High-Frequency in-situ Quantification of Methane Oxidation in Peatlands
by Cecilie Skov Nielsen, Niles J. Hasselquist, Mats B. Nilsson, Mats Öquist, Järvi Järveoja and Matthias Peichl
Soil Syst. 2019, 3(1), 4; https://doi.org/10.3390/soilsystems3010004 - 31 Dec 2018
Cited by 16 | Viewed by 4990
Abstract
Methane (CH4) oxidation is an important process for regulating CH4 emissions from peatlands as it oxidizes CH4 to carbon dioxide (CO2). Our current knowledge about its temporal dynamics and contribution to ecosystem CO2 fluxes is, however, [...] Read more.
Methane (CH4) oxidation is an important process for regulating CH4 emissions from peatlands as it oxidizes CH4 to carbon dioxide (CO2). Our current knowledge about its temporal dynamics and contribution to ecosystem CO2 fluxes is, however, limited due to methodological constraints. Here, we present the first results from a novel method for quantifying in-situ CH4 oxidation at high temporal resolution. Using an automated chamber system, we measured the isotopic signature of heterotrophic respiration (CO2 emissions from vegetation-free plots) at a boreal mire in northern Sweden. Based on these data we calculated CH4 oxidation rates using a two-source isotope mixing model. During the measurement campaign, 74% of potential CH4 fluxes from vegetation-free plots were oxidized to CO2, and CH4 oxidation contributed 20 ± 2.5% to heterotrophic respiration corresponding to 10 ± 0.5% of ecosystem respiration. Furthermore, the contribution of CH4 oxidation to heterotrophic respiration showed a distinct diurnal cycle being negligible during nighttime while contributing up to 35 ± 3.0% during the daytime. Our results show that CH4 oxidation may represent an important component of the peatland ecosystem respiration and highlight the value of our method for measuring in-situ CH4 oxidation to better understand carbon dynamics in peatlands. Full article
(This article belongs to the Special Issue Formation and Fluxes of Soil Trace Gases)
Show Figures

Graphical abstract

20 pages, 6790 KB  
Article
Spatial Responses of Net Ecosystem Productivity of the Yellow River Basin under Diurnal Asymmetric Warming
by Jianjian He, Pengyan Zhang, Wenlong Jing and Yuhang Yan
Sustainability 2018, 10(10), 3646; https://doi.org/10.3390/su10103646 - 11 Oct 2018
Cited by 13 | Viewed by 3789
Abstract
The net ecosystem productivity (NEP) of drainage basins plays an important role in maintaining the carbon balance of those ecosystems. In this study, the modified CASA (Carnegie Ames Stanford Approach) model and a soil microbial respiration model were used to estimate [...] Read more.
The net ecosystem productivity (NEP) of drainage basins plays an important role in maintaining the carbon balance of those ecosystems. In this study, the modified CASA (Carnegie Ames Stanford Approach) model and a soil microbial respiration model were used to estimate net primary productivity (NPP) and NEP of the Yellow River Basin’s (YRB) vegetation in the terrestrial ecosystem (excluding rivers, floodplain lakes and other freshwater ecosystems) from 1982 to 2015. After analyzing the spatiotemporal variations in the NEP using slope analysis, the coefficient of variation, and the Hurst exponent, precipitation was identified as the main factor limiting vegetation growth in the YRB. Hence, precipitation was treated as the control variable and a second-order partial correlation method was used to determine the correlation between diurnal asymmetric warming and the YRB’s NEP. The results indicate that: (i) diurnal asymmetric warming occurred in the YRB from 1982 to 2015, with nighttime warming (Tmin) being 1.50 times that of daytime warming (Tmax). There is a significant correlation between variations in NPP and diurnal warming; (ii) the YRB’s NEP are characterized by upward fluctuations in terms of temporal variations, large differences between the various vegetation types, high values in the western and southeastern regions but low values in the northern region in terms of spatial distribution, overall relative stability in the YRB’s vegetation cover, and changes in the same direction being more dominant than those in the opposite direction (although the former is not sustained); and (iii) positive correlations between the NEP and nighttime and daytime warming are approximately 48.37% and 67.51% for the YRB, respectively, with variations in nighttime temperatures having more extensive impacts on vegetation cover. Full article
(This article belongs to the Special Issue Data Analytics on Sustainable, Resilient and Just Communities)
Show Figures

Figure 1

17 pages, 392 KB  
Article
Using Eddy Covariance Sensors to Quantify Carbon Metabolism of Peatlands: A Case Study in Turkey
by Fatih Evrendilek, Nusret Karakaya, Guler Aslan and Can Ertekin
Sensors 2011, 11(1), 522-538; https://doi.org/10.3390/s110100522 - 6 Jan 2011
Cited by 9 | Viewed by 9320
Abstract
Net ecosystem exchange (NEE) of carbon dioxide (CO2) was measured in a cool temperate peatland in northwestern Turkey on a continuous basis using eddy covariance (EC) sensors and multiple (non-)linear regression-M(N)LR-models. Our results showed that hourly NEE varied between −1.26 and [...] Read more.
Net ecosystem exchange (NEE) of carbon dioxide (CO2) was measured in a cool temperate peatland in northwestern Turkey on a continuous basis using eddy covariance (EC) sensors and multiple (non-)linear regression-M(N)LR-models. Our results showed that hourly NEE varied between −1.26 and 1.06 mg CO2 m−2 s−1, with a mean value of 0.11 mg CO2 m−2 s−1. Nighttime ecosystem respiration (RE) was on average measured as 0.23 ± 0.09 mg CO2 m−2 s−1. Two best-fit M(N)LR models estimated daytime RE as 0.64 ± 0.31 and 0.24 ± 0.05 mg CO2 m−2 s−1. Total RE as the sum of nighttime and daytime RE ranged from 0.47 to 0.87 mg CO2 m−2 s−1, thus yielding estimates of gross primary productivity (GPP) at −0.35 ± 0.18 and −0.74 ± 0.43 mg CO2 m−2 s−1. Use of EC sensors and M(N)LR models is one of the most direct ways to quantify turbulent CO2 exchanges among the soil, vegetation and atmosphere within the atmospheric boundary layer, as well as source and sink behaviors of ecosystems. Full article
(This article belongs to the Special Issue Sensors in Agriculture and Forestry)
Show Figures

Back to TopTop