Sign in to use this feature.

Years

Between: -

Subjects

remove_circle_outline
remove_circle_outline
remove_circle_outline

Journals

Article Types

Countries / Regions

Search Results (11)

Search Parameters:
Keywords = cycloartane glycoside

Order results
Result details
Results per page
Select all
Export citation of selected articles as:
11 pages, 2175 KB  
Article
An Open-Label Clinical Trial Analyzing the Efficacy of a Novel Telomere-Protecting Antiaging Face Cream
by Christina Alt, Menelaos Tsapekos, Diego Perez, Joachim Klode and Ingo Stoffels
Cosmetics 2022, 9(5), 95; https://doi.org/10.3390/cosmetics9050095 - 9 Sep 2022
Cited by 2 | Viewed by 11356
Abstract
Telomere length, a hallmark of cellular senescence, decreases with age and is associated with age-related diseases. Environmental factors, including dietary and lifestyle factors, can affect the rate at which telomeres shorten, and telomere protection prevents this from happening. The protection of telomeres by [...] Read more.
Telomere length, a hallmark of cellular senescence, decreases with age and is associated with age-related diseases. Environmental factors, including dietary and lifestyle factors, can affect the rate at which telomeres shorten, and telomere protection prevents this from happening. The protection of telomeres by natural molecules has been proposed as an antiaging strategy that may play a role in treating age-related diseases. This study investigated the effect of a cycloartane-type triterpene glycoside (astragaloside IV). Astragaloside IV is one of the primary compounds from the aqueous extract of Astragalus membranaceus, and it provides telomere protection both in vitro and in vivo. In a study cohort with 13 participants, telomere length in human skin samples was analyzed after daily treatment for 4 weeks. A comparison of the average median telomere length between the treatment and control groups (5342 bp vs. 4616 bp p = 0.0168) showed significant results. In the second clinical cohort with 20 participants, skin parameters at baseline and after 4 and 8 weeks were measured in vivo. The results show that the product improved hydration by 95%, the skin appeared brighter by 90%, and wrinkle visibility was reduced by 70%. The combination of biologically active compounds in the cream possesses telomere-protecting properties and notable antioxidant activity in vitro and in vivo. Full article
(This article belongs to the Section Cosmetic Dermatology)
Show Figures

Figure 1

21 pages, 1360 KB  
Article
The Implication of Chemotypic Variation on the Anti-Oxidant and Anti-Cancer Activities of Sutherlandia frutescens (L.) R.Br. (Fabaceae) from Different Geographic Locations
by Samkele Zonyane, Olaniyi A. Fawole, Chris la Grange, Maria A. Stander, Umezuruike L. Opara and Nokwanda P. Makunga
Antioxidants 2020, 9(2), 152; https://doi.org/10.3390/antiox9020152 - 13 Feb 2020
Cited by 23 | Viewed by 6605
Abstract
Extracts of Sutherlandia frutescens (cancer bush) exhibit considerable qualitative and quantitative chemical variability depending on their natural wild origins. The purpose of this study was thus to determine bioactivity of extracts from different regions using in vitro antioxidant and anti-cancer assays. Extracts of [...] Read more.
Extracts of Sutherlandia frutescens (cancer bush) exhibit considerable qualitative and quantitative chemical variability depending on their natural wild origins. The purpose of this study was thus to determine bioactivity of extracts from different regions using in vitro antioxidant and anti-cancer assays. Extracts of the species are complex and are predominantly composed of a species-specific set of triterpene saponins (cycloartanol glycosides), the sutherlandiosides, and flavonoids (quercetin and kaempferol glycosides), the sutherlandins. For the Folin-Ciocalteu phenolics test values of 93.311 to 125.330 mg GAE/g DE were obtained. The flavonoids ranged from 54.831 to 66.073 mg CE/g DE using the aluminum chloride assay. Extracts from different sites were also assayed using the 2,2-diphenyl-1-picrylhydrazyl (DPPH) radical scavenging method and ferric reducing anti-oxidant power (FRAP) methods. This was followed by an in vitro Cell Titer-Glo viability assay of various ecotypes using the DLD-1 colon cancer cell line. All test extracts displayed anti-oxidant activity through the DPPH radical scavenging mechanism, with IC50 values ranging from 3.171 to 7.707 µg·mL−1. However, the degree of anti-oxidant effects differed on a chemotypic basis with coastal plants from Gansbaai and Pearly Beach (Western Cape) exhibiting superior activity whereas the Victoria West inland group from the Northern Cape, consistently showed the weakest anti-oxidant activity for both the DPPH and FRAP methods. All extracts showed cytotoxicity on DLD-1 colon cancer cells at the test concentration of 200 µg·mL−1 but Sutherlandia plants from Colesburg (Northern Cape) exhibited the highest anti-cancer activity. These findings confirm that S. frutescens specimens display variability in their bioactive capacities based on their natural location, illustrating the importance of choosing relevant ecotypes for medicinal purposes. Full article
(This article belongs to the Special Issue Phenolic Profiling and Antioxidant Capacity in Plants)
Show Figures

Figure 1

11 pages, 4596 KB  
Article
Structure-Guided Identification of Black Cohosh (Actaea racemosa) Triterpenoids with In Vitro Activity against Multiple Myeloma
by Karin Jöhrer, Hermann Stuppner, Richard Greil and Serhat Sezai Çiçek
Molecules 2020, 25(4), 766; https://doi.org/10.3390/molecules25040766 - 11 Feb 2020
Cited by 13 | Viewed by 4976
Abstract
Black cohosh is a well-established medicinal plant and preparations of its rootstock are used for the treatment of mild climacteric complaints. The compounds considered responsible for the therapeutic effect are triterpene glycosides, characterized by a cycloartane scaffold and a pentose moiety. Because some [...] Read more.
Black cohosh is a well-established medicinal plant and preparations of its rootstock are used for the treatment of mild climacteric complaints. The compounds considered responsible for the therapeutic effect are triterpene glycosides, characterized by a cycloartane scaffold and a pentose moiety. Because some of these triterpenoids were found to exhibit relevant cytotoxic effects against human breast cancer cells, we decided to investigate their activity on multiple myeloma cell lines NCI-H929, OPM-2, and U266. In a systematic approach, we initially tested three known cytotoxic compounds of three different triterpenoid types, revealing the cimigenol-type triterpenoid as the most active constituent. In a second round, seven naturally occurring cimigenol derivatives were compared with respect to their sugar moiety and their substitution pattern at position C-25, leading to 25-O-methylcimigenol-3-O-α-L-arabinopyranoside as the most potent candidate. Interestingly, not only the methyl group at position C-25 increased the cytotoxic effect but also the arabinose moiety at position C-3 had an impact on the activity. The variety of cimigenol derivatives, moreover, allowed a detailed discussion of their structure–activity relationships, not only for their effect on multiple myeloma cells but also with regard to previous studies on the cytotoxicity of black cohosh triterpenoids. Full article
(This article belongs to the Special Issue Structure–Activity Relationships (SAR) of Natural Products)
Show Figures

Graphical abstract

8 pages, 1358 KB  
Article
Nervisides I–J: Unconventional Side-Chain-Bearing Cycloartane Glycosides from Nervilia concolor
by Thi-Ngoc-Mai Tran, Guillaume Bernadat, Dinh-Tri Mai, Van-Kieu Nguyen, Jirapast Sichaem, Tan-Phat Nguyen, Cong-Luan Tran, Phuong-Vy Do, Nguyen-Minh-An Tran, Huu-Hung Nguyen, Mehdi A. Beniddir, Thuc-Huy Duong and Pierre Le Pogam
Molecules 2019, 24(14), 2599; https://doi.org/10.3390/molecules24142599 - 17 Jul 2019
Cited by 7 | Viewed by 3749
Abstract
Two new cycloartane glycosides, nervisides I–J, were isolated from Nervilia concolor whole plants. Their structures were unambiguously established by interpretation of their HRESIMS and 1D and 2D NMR data. These cycloartanes comprised a stereogenic center at C-24, the R configuration of which was [...] Read more.
Two new cycloartane glycosides, nervisides I–J, were isolated from Nervilia concolor whole plants. Their structures were unambiguously established by interpretation of their HRESIMS and 1D and 2D NMR data. These cycloartanes comprised a stereogenic center at C-24, the R configuration of which was assigned based on DFT-NMR calculations and the subsequent DP4 probability score. These compounds were tested for cytotoxicity against K562 and MCF-7 tumor cell lines, revealing mild cytotoxic activity. Full article
(This article belongs to the Section Natural Products Chemistry)
Show Figures

Graphical abstract

17 pages, 1361 KB  
Article
Spectroscopic Characterization and Cytotoxicity Assessment towards Human Colon Cancer Cell Lines of Acylated Cycloartane Glycosides from Astragalus boeticus L.
by Vittoria Graziani, Assunta Esposito, Monica Scognamiglio, Angela Chambery, Rosita Russo, Fortunato Ciardiello, Teresa Troiani, Nicoletta Potenza, Antonio Fiorentino and Brigida D’Abrosca
Molecules 2019, 24(9), 1725; https://doi.org/10.3390/molecules24091725 - 3 May 2019
Cited by 16 | Viewed by 4622
Abstract
In several European countries, especially in Sweden, the seeds of the species Astragalus boeticus L. were widely used as coffee substitutes during the 19th century. Nonetheless, data regarding the phytochemistry and the pharmacological properties of this species are currently extremely limited. Conversely, other [...] Read more.
In several European countries, especially in Sweden, the seeds of the species Astragalus boeticus L. were widely used as coffee substitutes during the 19th century. Nonetheless, data regarding the phytochemistry and the pharmacological properties of this species are currently extremely limited. Conversely, other species belonging to the Astragalus genus have already been extensively investigated, as they were used for millennia for treating various diseases, including cancer. The current work was addressed to characterize cycloartane glycosides from A. boeticus, and to evaluate their cytotoxicity towards human colorectal cancer (CRC) cell lines. The isolation of the metabolites was performed by using different chromatographic techniques, while their chemical structures were elucidated by nuclear magnetic resonance (NMR) (1D and 2D techniques) and electrospray-ionization quadrupole time-of-flight (ESI-QTOF) mass spectrometry. The cytotoxic assessment was performed in vitro by 3-(4,5-dimethylthiazol-2-yl)-2,5-diphenyltetrazolium bromide (MTT) assays in Caco-2, HT-29 and HCT-116 CRC cells. As a result, the targeted phytochemical study of A. boeticus enabled the isolation of three new cycloartane glycosides, 6-O-acetyl-3-O-(4-O-malonyl)-β-d-xylopyranosylcycloastragenol (1), 3-O-(4-O-malonyl)-β-d-xylopyranosylcycloastragenol (2), 6-O-acetyl-25-O-β-d-glucopyranosyl-3-O-β-d-xylopyranosylcycloastragenol (3) along with two known compounds, 6-O-acetyl-3-O-β-d-xylopyranosylcycloastragenol (4) and 3-O-β-d-xylopyranosylcycloastragenol (5). Importantly, this work demonstrated that the acetylated cycloartane glycosides 1 and 4 might preferentially inhibit cell growth in the CRC cell model resistant to epidermal growth factor receptor (EGFR) inhibitors. Full article
(This article belongs to the Special Issue Natural Products and Drug Discovery)
Show Figures

Graphical abstract

12 pages, 1333 KB  
Article
Cycloartane and Oleanane Glycosides from the Tubers of Eranthis cilicica
by Kazuki Watanabe, Yoshihiro Mimaki, Haruhiko Fukaya and Yukiko Matsuo
Molecules 2019, 24(1), 69; https://doi.org/10.3390/molecules24010069 - 25 Dec 2018
Cited by 12 | Viewed by 3812
Abstract
Phytochemical analysis of the tubers of Eranthis cilicica was performed as part of our continuous study on the plants of the family Ranunculaceae, which resulted in the isolation of eleven new cycloartane glycosides (111) and one new oleanane [...] Read more.
Phytochemical analysis of the tubers of Eranthis cilicica was performed as part of our continuous study on the plants of the family Ranunculaceae, which resulted in the isolation of eleven new cycloartane glycosides (111) and one new oleanane glycoside (13), together with one known oleanane glycoside (12). The structures of the new compounds were determined by extensive spectroscopic analysis, including two-dimensional (2D) NMR, and enzymatic hydrolysis followed by either X-ray crystallographic or chromatographic analysis. The aglycone (1a) of 2 and its C-23 epimer (8a), and the oleanane glycosides (12 and 13) showed cytotoxic activity against HL-60 leukemia cells with IC50 values ranging from 10.6 μM to 101.6 μM. HL-60 cells were much more sensitive to 8a (IC50 14.8 μM) than 1a (IC50 101.1 μM), indicating that the C-23 configuration is associated with the cytotoxicity of these cycloartane derivatives. Compound 12 was revealed so as to partially induce apoptotic cell death in HL-60 cells, as was evident from morphology of HL-60 cells treated with 12. Full article
(This article belongs to the Special Issue Natural Product Isolation, Identification and Biological Activity)
Show Figures

Graphical abstract

16 pages, 2840 KB  
Article
Chemical Constituents from Cimicifuga dahurica and Their Anti-Proliferative Effects on MCF-7 Breast Cancer Cells
by Chu Thi Thanh Huyen, Bui Thi Thuy Luyen, Ghulam Jilany Khan, Ha Van Oanh, Ta Manh Hung, Hui-Jun Li and Ping Li
Molecules 2018, 23(5), 1083; https://doi.org/10.3390/molecules23051083 - 4 May 2018
Cited by 31 | Viewed by 5820
Abstract
This study was designed to search for novel anti-cancer compounds from natural plants. The 70% ethanolic extract from the rizhomes of Cimicifuga dahurica (Turcz.) Maxim. (Ranunculaceae) was found to possess significant in vitro anti-proliferative effects on MCF-7 breast cancer cells. A phytochemical investigation [...] Read more.
This study was designed to search for novel anti-cancer compounds from natural plants. The 70% ethanolic extract from the rizhomes of Cimicifuga dahurica (Turcz.) Maxim. (Ranunculaceae) was found to possess significant in vitro anti-proliferative effects on MCF-7 breast cancer cells. A phytochemical investigation using assay-guided fractionation of the ethanolic extract of C. dahurica resulted in the isolation of one new phenolic amide glycoside 3, two new lignan glycosides 4 and 7, one new 9,19-cycloartane triterpenoid glycoside 6, and thirteen known constituents 1, 2, 5, and 817. The structures of 3, 4, 6, and 7 were established using contemporary NMR methods and from their HRESIMS data. The anti-proliferative effects of isolated compounds were evaluated using the BrdU-proliferation kit. Five among the 17 isolated compounds showed significant anti-proliferative effects (p ≤ 0.05), wherein compound 7 showed the most significant anti-proliferative and cell cycle arresting effect (p ≤ 0.05) which followed a dose dependent manner. Western blot protein expression analysis showed a down expression of c-Myc and cyclin D1 which further elucidated the anti-proliferation mechanism of compound 7 while apoptotic effects were found in association with Bcl-2 family protein expression variations. Conclusively this study reports the isolation and identification of 17 compounds from C. dahurica, including four novel molecules, in addition to the fact that compound 7 possesses significant anti-proliferative and apoptotic effects in vitro that may require further exploration. Full article
Show Figures

Figure 1

18 pages, 1076 KB  
Article
Identification of Multiple Ingredients for a Traditional Chinese Medicine Preparation (Bu-yang-huan-wu-tang) by Liquid Chromatography Coupled with Tandem Mass Spectrometry
by Lee-Hsin Shaw, Wei-Ming Chen and Tung-Hu Tsai
Molecules 2013, 18(9), 11281-11298; https://doi.org/10.3390/molecules180911281 - 12 Sep 2013
Cited by 33 | Viewed by 10252
Abstract
Bu-yang-huan-wu-tang (BYHWT) is a popular Traditional Chinese Medicine formula consisting of seven herbal medicines (Astragalus membranaceus, Angelica sinensis, Paeonia lactiflora, Ligusticum chuanxiong, Carthamus tinctorius, Amygdalus persica and Pheretima aspergillum), that has been used in China for centuries to overcome stroke-induced disability. To ensure [...] Read more.
Bu-yang-huan-wu-tang (BYHWT) is a popular Traditional Chinese Medicine formula consisting of seven herbal medicines (Astragalus membranaceus, Angelica sinensis, Paeonia lactiflora, Ligusticum chuanxiong, Carthamus tinctorius, Amygdalus persica and Pheretima aspergillum), that has been used in China for centuries to overcome stroke-induced disability. To ensure the consistency of quality, a reliable analytical method is required, therefore, we developed a liquid chromatography with tandem mass spectrometry (LC-MS/MS) method for quantitative analysis of the major constituents in BYHWT. The herbal ingredients consisting of the cycloartane-type triterpene glycosides of astragaloside I, astragaloside II and astragaloside IV; isoflavones of formononetin, ononin calycosin, calycosin-7-O-β-d-glucoside; ligustilide and paeoniflorin were separated on a C18 column with gradient elution of methanol/10 mM ammonium acetate buffer–formic acid (100:0.1, v/v). This study was performed by a mass spectrometer using electrospray ionization (ESI) with positive ionization ions monitored in the multiple reaction-monitoring (MRM) mode. The linearity, accuracy, precision, limit of detection (LOD) and lower limit of quantification (LLOQ) were validated for this quantification method, and the sensitivity, reliability and reproducibility were all confirmed. The experiments provided a good method for analyzing BYHWT extracts. This study also quantitated the active components in various brands of commercially available products. The results indicated that the pharmaceutical industrial products of BYHWT exhibited considerable variation in their contents of the herbal compounds. Full article
(This article belongs to the Section Natural Products Chemistry)
Show Figures

Figure 1

8 pages, 297 KB  
Communication
Anti-Inflammatory Cycloartane-Type Saponins of Astragalus membranaceus
by Dae-Young Lee, Hyung-Jun Noh, Jehun Choi, Kyeong-Hee Lee, Min-Ho Lee, Ji-Hyun Lee, Yoonpyo Hong, Seung-Eun Lee, Seung-Yu Kim and Geum-Soog Kim
Molecules 2013, 18(4), 3725-3732; https://doi.org/10.3390/molecules18043725 - 25 Mar 2013
Cited by 72 | Viewed by 11041
Abstract
A new cycloartane-type triterpene glycoside, agroastragaloside V (1) was isolated from the roots of Astragalus membranaceus. The structure was identified as 3-O-β-(2'-O-acetyl)-D-xylopyranosyl-6-O-β-D-glucopyranosyl-(24S)-3β,6α,24α,25-tetrahydroxy- [...] Read more.
A new cycloartane-type triterpene glycoside, agroastragaloside V (1) was isolated from the roots of Astragalus membranaceus. The structure was identified as 3-O-β-(2'-O-acetyl)-D-xylopyranosyl-6-O-β-D-glucopyranosyl-(24S)-3β,6α,24α,25-tetrahydroxy- 9,19-cyclolanostane, by means of spectroscopic methods, including HR-FAB/MS, 1D NMR (1H, 13C, DEPT), 2D NMR (gCOSY, gHSQC, gHMBC, NOESY), and IR spectroscopy. Four known cycloartane glycosides, namely, agroastragaloside I (2), agroastragaloside II (3), isoastragaloside II (4) and astragaloside IV (5) were also isolated. All isolated compounds were tested for the ability to inhibit LPS-induced nitric oxide production in RAW264.7 macrophages. Full article
(This article belongs to the Special Issue Triterpenes and Triterpenoids 2013)
Show Figures

Figure 1

8 pages, 171 KB  
Article
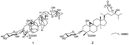
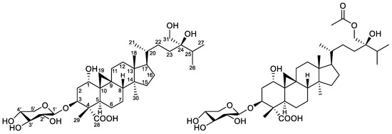
Two New Triterpene Glycosides with Monomethyl Malonate Groups from the Rhizome of Cimifuga foetida L.
by Li-Rong Sun, Jian Yan, Lin Zhou, Zhong-Rong Li and Ming-Hua Qiu
Molecules 2011, 16(7), 5701-5708; https://doi.org/10.3390/molecules16075701 - 5 Jul 2011
Cited by 13 | Viewed by 7270
Abstract
Two new 9,19-cycloartane triterpene glycosides 1-2, together with four known compounds—26-deoxyactein (3), actein (4), 7,8-didehydro-26-deoxyactein (5) and cimiaceroside B (6)—were isolated from the rhizome of Cimicifuga foetida. The new triterpene glycosides [...] Read more.
Two new 9,19-cycloartane triterpene glycosides 1-2, together with four known compounds—26-deoxyactein (3), actein (4), 7,8-didehydro-26-deoxyactein (5) and cimiaceroside B (6)—were isolated from the rhizome of Cimicifuga foetida. The new triterpene glycosides were identified as 23-O-methyl-24-deoxy-2'-O-(3''-methylmalonyl)-cimiaceroside B (1) and 2'-O-(3''-methylmalonyl)actein (2) based on analysis of their spectral data and chemical reactions. Full article
(This article belongs to the Section Natural Products Chemistry)
Show Figures

Figure 1

7 pages, 164 KB  
Article
Trinor-cycloartane Glycosides from the Rhizomes of Cimicifuga foetida
by Lu Lu, Jianchao Chen, Yin Nian, Yun Sun and Minghua Qiu
Molecules 2009, 14(4), 1578-1584; https://doi.org/10.3390/molecules14041578 - 17 Apr 2009
Cited by 12 | Viewed by 11167
Abstract
Three new trinor-cycloartane glycosides, 15α-hydroxy-16-dehydroxy-16(24)-en-foetidinol-3-O-β-D-xylopyranoside (1), 28-hydroxy-foetidinol-3-O-β-D-xylopyranoside (2) and foetidinol-3-O-β-D-xylopyranosyl-(1”→3’)-β-D-xylopyranoside (3) together with the known compound foetidinol-3-O-β-D-xylopyranoside (4) were isolated from the n-BuOH fraction [...] Read more.
Three new trinor-cycloartane glycosides, 15α-hydroxy-16-dehydroxy-16(24)-en-foetidinol-3-O-β-D-xylopyranoside (1), 28-hydroxy-foetidinol-3-O-β-D-xylopyranoside (2) and foetidinol-3-O-β-D-xylopyranosyl-(1”→3’)-β-D-xylopyranoside (3) together with the known compound foetidinol-3-O-β-D-xylopyranoside (4) were isolated from the n-BuOH fraction of the roots of Cimicifuga foetida. Their structures were elucidated on the basis of spectroscopic and chemical reaction data. Full article
Show Figures

Figure 1

Back to TopTop