Trinor-cycloartane Glycosides from the Rhizomes of Cimicifuga foetida
Abstract
:1. Introduction

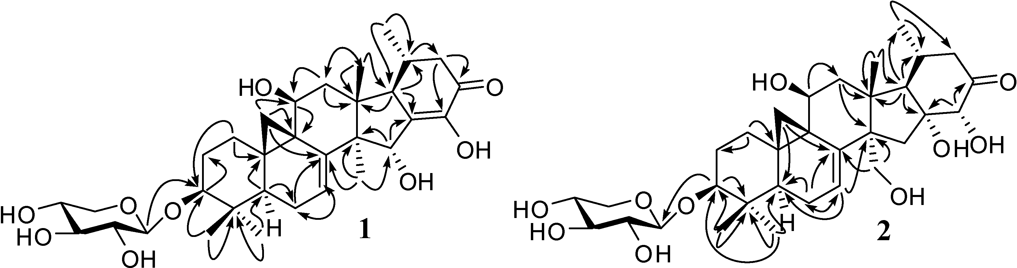
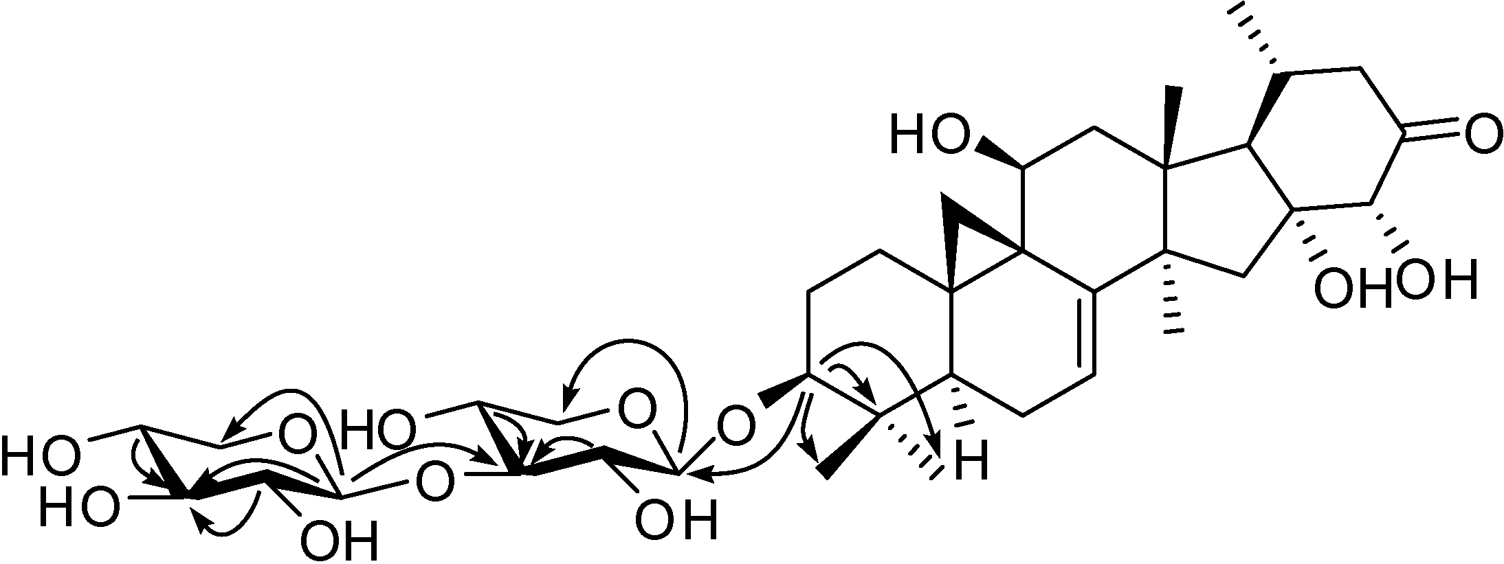
2. Results and Discussion


| 1 | 2 | 3 | |||||||||||
|---|---|---|---|---|---|---|---|---|---|---|---|---|---|
| No. | δC | δH, mult. (J in Hz) | δC, mult. | δH, mult. (J in Hz) | δC, mult. | δH, mult. (J in Hz) | |||||||
| C5D5N | |||||||||||||
| 1 | 27.6 t | 1.72m | 27.5 t | 1.61 t (12.2) | 27.5 t | 1.67 m | |||||||
| 2.81 m | 2.62 d (12.9) | 2.72 dt (13.7, 3.6) | |||||||||||
| 2 | 30.0 t | 2.10 m | 29.9 t | 2.03 m | 29.9 t | 2.05 m | |||||||
| 2.41 m | 2.35 m | 2.33 m | |||||||||||
| 3 | 88.5 d | 3.59 dd (12.1, 3.7) | 88.4 d | 3.47 dd (11.1, 3.0) | 88.8 d | 3.55 dd (11.9, 4.1) | |||||||
| 4 | 40.8 s | 40.7 s | 40.8 s | ||||||||||
| 5 | 44.0 d | 1.43 m | 43.8 d | 1.40 m | 44.1 d | 1.35 dd (12.6, 4.9) | |||||||
| 6 | 22.1 t | 1.76 m | 22.2 t | 1.76 dd (27.0, 13.5) | 22.1 t | 1.76 m | |||||||
| 2.03 m | 1.92 dd (16.4, 6.1) | 1.94 m | |||||||||||
| 7 | 115.3 d | 6.17 dd (7.8, 1.4) | 117.5 d | 5.26 d (7.0) | 113.8 d | 5.20 dd (7.8, 1.6) | |||||||
| 8 | 147.4 s | 144.4 s | 149.4 s | ||||||||||
| 9 | 27.8 s | 27.6 s | 27.5 s | ||||||||||
| 10 | 29.1 s | 29.3 s | 29.2 s | ||||||||||
| 11 | 63.5 d | 4.63 dd (9.4, 3.0) | 63.5 d | 4.57 m | 63.6 d | 4.59 m | |||||||
| 12 | 48.1 t | 2.02 m | 44.0 t | 2.46 m | 49.0 t | 2.06 m | |||||||
| 2.84 m | 2.80 d (13.8) | 2.84 dd (14.0, 9.6) | |||||||||||
| 13 | 43.6 s | 46.5 s | 46.4 s | ||||||||||
| 14 | 53.2 s | 56.8 s | 50.9 s | ||||||||||
| 15 | 76.5 d | 5.36 d (2.9) | 47.9 t | 2.17 m | 48.6 t | 2.25 m | |||||||
| 3.00 dd (13.3, 9.4) | 2.53 m | ||||||||||||
| 16 | 141.1 s | 82.4 s | 82.1 s | ||||||||||
| 17 | 54.9 d | 2.55 dd (10.1, 2.9) | 64.1 d | 2.40 m | 63.7 d | 2.21 m | |||||||
| 18 | 20.5 q | 1.12 s | 21.7 q | 1.34 s | 21.3 q | 1.26 s | |||||||
| 19 | 18.6 t | 1.01 d (3.7) | 19.2 t | 1.02 d (2.8) | 18.8 t | 1.01 d (3.5) | |||||||
| 1.97 d (3.8) | 2.02 d (3.6) | 1.98 d (3.8) | |||||||||||
| 20 | 34.2 d | 1.90 ddt (9.7, 6.6, 3.3) | 26.0 d | 2.20 m | 25.9 d | 2.17 m | |||||||
| 21 | 19.4 q | 0.86 d (6.4) | 20.7 q | 0.88 d (5.9) | 20.8 q | 0.91 d (6.1) | |||||||
| 22 | 47.1 t | 2.20 dd (15.8, 2.2) | 45.0 t | 2.46 m | 45.0 t | 2.41 dd (18.8, 3.2) | |||||||
| 2.51 dd (16.4, 3.6) | 2.46 m | 2.48 d (12.3) | |||||||||||
| 23 | 195.8 s | 211.3 s | 211.5 s | ||||||||||
| 24 | 146.9 s | 82.3 d | 4.58 s | 82.5 d | 4.49 s | ||||||||
| 28 | 20.3 q | 1.47 s | 67.4 t | 3.77 d (6.7) | 28.2 q | 1.59 s | |||||||
| 4.47 d (10.8) | |||||||||||||
| 29 | 26.0 q | 1.40 s | 25.9 q | 1.33 s | 25.9 q | 1.39 s | |||||||
| 30 | 14.6 q | 1.14 s | 14.6 q | 1.12 s | 14.7 q | 1.14 s | |||||||
| 1’ | 107.6 d | 4.88 d (7.5) | 107.6 d | 4.85 d (7.4) | 107.2 d | 4.82 d (7.5) | |||||||
| 2’ | 75.6 d | 4.03 t (8.1) | 75.6 d | 4.02 t (7.8) | 74.5 d | 4.03 m | |||||||
| 3’ | 78.7 d | 4.16 t (8.7) | 78.7 d | 4.17 dd (8.2, 16.8) | 87.4 d | 4.11 m | |||||||
| 4’ | 71.3 d | 4.20 | 71.3 d | 4.22 dd (11.7, 6.7) | 69.4 d | 4.08 m | |||||||
| 5’ | 67.2 t | 3.73 dd (10.9,10.1) | 67.2 t | 3.73 dd (10.2, 6.2) | 66.6 t | 3.70 m | |||||||
| 4.34 dd (11.3, 5.0) | 4.35 dd (11.2, 4.7) | 4.29 m | |||||||||||
| 1” | 106.3 d | 5.27 d (7.7) | |||||||||||
| 2” | 75.4 d | 4.01 m | |||||||||||
| 3” | 78.3 d | 4.14 m | |||||||||||
| 4” | 71.0 d | 4.15 m | |||||||||||
| 5” | 67.5 t | 3.66 m | |||||||||||
| 4.29 m | |||||||||||||
3. Experimental
3.1. General
3.2. Plant material
3.3. Extraction and Isolation
3.4. Acid hydrolysis of compounds 1-3
4. Conclusions
Acknowledgements
References
- Pharmacopoeial Commission of the People’s Republic of China. The Pharmacopoeia of Chinese People’s Republic; The People’s Health Publishing House & the Chemical Industry Publishing House: Beijing, P.R. China, 2005; p. 50. [Google Scholar]
- Institutum Botanicum Kunmingense Acadimiae Sinicae. Index florae yunnanensis, Tomus 1; The People’s Publishing House: Yunnan, P.R. China, 1984; p. 105. [Google Scholar]
- Kadota, S.; Li, J.X.; Tanaka, K.; Namba, T. Constituents of Cimicifugae rhizoma. II. Isolation and structures of new cycloartenol triterpenoids and related compounds from Cimicifuga foetida L. Tetrahedron 1995, 51, 1143–1166. [Google Scholar] [CrossRef]
- Koeda, M.; Aoki, Y.; Sakurai, N.; Kawai, K.; Nagai, M. Three novel cyclolanostanol xylosides from Cimicifuga rhizome. Chem. Pharm. Bull. 1994, 42, 2205–2207. [Google Scholar] [CrossRef]
- Sakurai, N.; Koeda, M.; Aoki, Y.; Nagai, M. Studies on the Chinese crude drug "Shoma." X. Three new trinor-9,19-cyclolanostanol xylosides, cimicifugosides H-3, H-4 and H-6, from Cimicifuga Rhizome and transformation of cimicifugoside H-1 into cimicifugosides H-2, H-3 and H-4. Chem. Pharm. Bull. 1995, 43, 1475–1482. [Google Scholar] [CrossRef]
- Li, J.X.; Kadota, S.; Pu, X.F.; Namba, T. Foetidinol, a new trinor-triterpenoid with a novel carbon skeleton, from a Chinese crude drug "Shengma" (Cimicifuga foetida L.). Tetrahedron Lett. 1994, 35, 4575–4576. [Google Scholar] [CrossRef]
- Li, C.J.; Li, Y.H.; Xiao, P.G.; Mabry, T.J.; Watson, W.H.; Krawiec, M. An unusual cycloartane triterpenoid from Cimicifuga foetida. Phytochemistry 1996, 42, 489–494. [Google Scholar] [CrossRef]
- Qiu, M.H.; Kim, J.H.; Lee, H.K.; Min, B.S. Anticomplement activity of cycloartane glycosides from the rhizome of Cimicifuga foetida. Phytother. Res. 2006, 20, 945–948. [Google Scholar] [CrossRef]
- Sun, L.R.; Yan, J.; Pei, S.J.; Qiu, M.H. A new cycloartane triterpenoid from the rhizome of Cimicifuga foetida collected in Dali. Acta. Bot. Yunnan. 2005, 27, 331–336. [Google Scholar]
- Sun, L.R.; Qing, C.; Zhang, Y.L.; Jia, S.Y.; Li, Z.R.; Pei, S.J.; Qiu, M.H.; Michael, L.G.; Samuel, X.Q. Cimicifoetisides A and B, two cytotoxic cycloartane triterpenoid glycosides from the rhizomes of Cimicifuga foetida, inhibit proliferation of cancer cells. Beilstein J. Org. Chem. 2007, 3(No.3). [Google Scholar]
- Sun, L.R.; Yan, J.; Nian, Y.; Zhou, L.; Zhang, H.J.; Qiu, M.H. New triterpene diglycosides from the rhizome of Cimicifuga foetida. Molecules 2008, 13, 1712–1721. [Google Scholar] [CrossRef]
- Haralampidis, K; Trojanowska, M; Osbourn, A.E. Biosynthesis of Triterpenoid Saponins in Plant. In Advances in Biochemical Engineering/Biotechnology; Scheper, T., Ed.; Springer-Verlag: Berlin, Heidelberg, New York, 2002; volume 75, pp. 31–44. [Google Scholar]
- Sample Availability: Samples of all the four compounds are available from the authors.
© 2009 by the authors; licensee Molecular Diversity Preservation International, Basel, Switzerland. This article is an open-access article distributed under the terms and conditions of the Creative Commons Attribution license ( http://creativecommons.org/licenses/by/3.0/).
Share and Cite
Lu, L.; Chen, J.; Nian, Y.; Sun, Y.; Qiu, M. Trinor-cycloartane Glycosides from the Rhizomes of Cimicifuga foetida. Molecules 2009, 14, 1578-1584. https://doi.org/10.3390/molecules14041578
Lu L, Chen J, Nian Y, Sun Y, Qiu M. Trinor-cycloartane Glycosides from the Rhizomes of Cimicifuga foetida. Molecules. 2009; 14(4):1578-1584. https://doi.org/10.3390/molecules14041578
Chicago/Turabian StyleLu, Lu, Jianchao Chen, Yin Nian, Yun Sun, and Minghua Qiu. 2009. "Trinor-cycloartane Glycosides from the Rhizomes of Cimicifuga foetida" Molecules 14, no. 4: 1578-1584. https://doi.org/10.3390/molecules14041578
APA StyleLu, L., Chen, J., Nian, Y., Sun, Y., & Qiu, M. (2009). Trinor-cycloartane Glycosides from the Rhizomes of Cimicifuga foetida. Molecules, 14(4), 1578-1584. https://doi.org/10.3390/molecules14041578