Anti-Inflammatory Cycloartane-Type Saponins of Astragalus membranaceus
Abstract
:1. Introduction
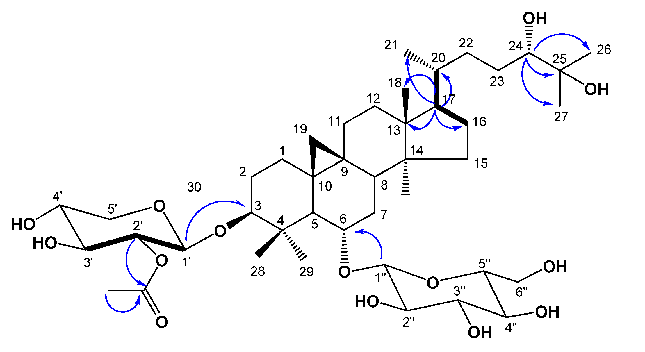
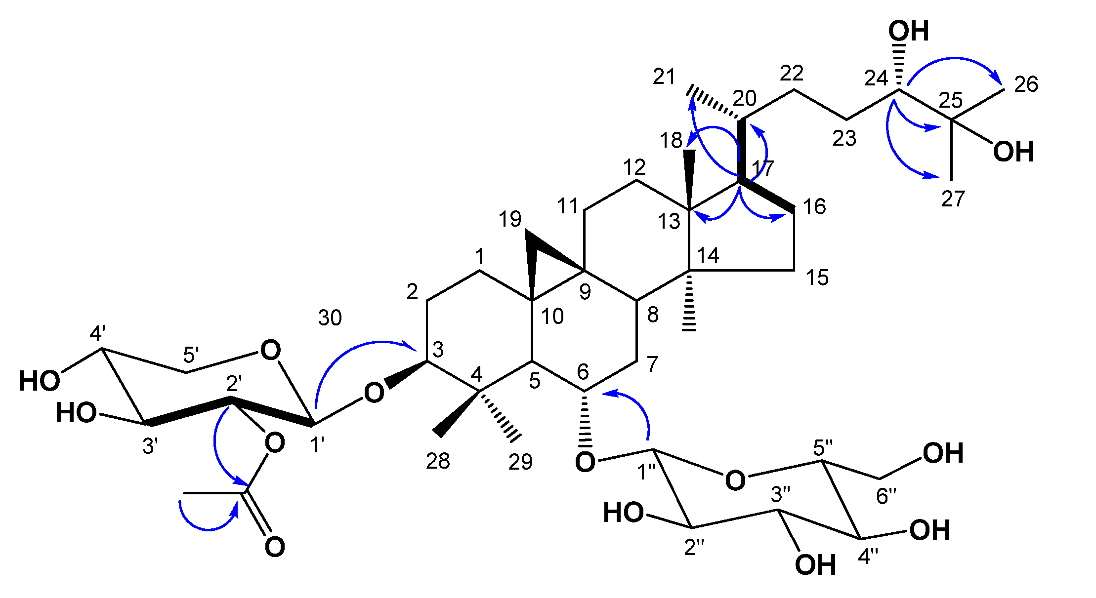
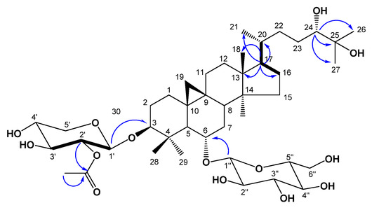
2. Results and Discussion

| No. | δH | δC (DEPT) | No. | δH | δC (DEPT) |
|---|---|---|---|---|---|
| 1 | 1.27 b, 1.55 b, m | 32.1 (CH2) | 23 | 1.68 b, 1.96 b, m | 27.9 (CH2) |
| 2 | 1.68 b, 1.94 b, m | 30.0 (CH2) | 24 | 3.91, brd, J = 10.8 | 77.1 (CH) |
| 3 | 3.39, dd, J = 4.4, 11.6 | 89.0 (CH) | 25 | - | 72.5 |
| 4 | - | 42.3 | 26 | 1.43, s | 25.7 (CH3) |
| 5 | 1.93, d, J = 8.8 | 52.5 (CH) | 27 | 1.41, s | 26.5 (CH3) |
| 6 | 3.78, ddd, J = 4.4, 9.6, 9.6 | 79.1 (CH) | 28 | 1.78, s | 28.3 (CH3) |
| 7 | 1.82, 2.25, m | 34.5 (CH2) | 29 | 1.28, s | 16.6 (CH3) |
| 8 | 1.90, m | 45.8 (CH) | 30 | 0.95, s | 19.9 (CH3) |
| 9 | - | 21.5 | 1' | 4.77, d, J = 7.6 | 104.7 (CH) |
| 10 | - | 28.7 | 2' | 5.52, dd, J = 8.0, 8.0 | 75.7 (CH) |
| 11 | 1.15, 1,89 b, m | 26.3 (CH2) | 3' | 4.15 b, m | 76.3 (CH) |
| 12 | 1.64 b, 2.35 b, m | 33.2 (CH2) | 4' | 4.14 b, m | 71.4 (CH) |
| 13 | - | 45.8 | 5' | 4.27 b, m, H-5'a 3.62, dd, J = 9.6, 11.6, H-5'b | 67.1 (CH2) |
| 14 | - | 46.9 | 1'' | 4.96, d, J = 7.2 | 105.2 (CH) |
| 15 | 1.45 b, 1.66 b, m | 30.0 (CH2) | 2'' | 4.00, dd, J = 8.0, 8.0 | 75.6 (CH) |
| 16 | 1.33 b, 1.54 b, m | 28.7 (CH2) | 3'' | 4.29, m | 79.1 (CH) |
| 17 | 1.51 b, m | 49.7 (CH) | 4'' | 4.10, dd, J = 8.8, 8.8 | 72.0 (CH) |
| 18 | 1.38, s | 18.6 (CH3) | 5'' | 3.88, m | 78.1 (CH) |
| 19 | 0.17, d, J = 4.0, H-19a 0.53, d, J = 4.0, H-19b | 28.4 (CH2) | 6'' | 4.42, dd, J = 2.4, 11.2, H-6''a 4.29, dd, J = 3.6, 11.2, H-6''b | 63.2 (CH2) |
| 20 | 2.39 b, m | 28.6 (CH) | COCH3 | - | 170.0 |
| 21 | 1.07, d, J = 6.4 | 18.3 (CH3) | COCH3 | 2.03, s | 21.2 (CH3) |
| 22 | 1.40, 1.99 b, m | 33.0 (CH2) |

| Compound | IC50 (μM) a | cell viability (%) b |
|---|---|---|
| 1 | 1.85 ± 0.24 | 93.15 ± 6.96 |
| 2 | 1.38 ± 0.15 | 54.54 ± 1.21 |
| 3 | 2.31 ± 0.47 | 47.56 ± 3.40 |
| 4 | 4.70 ± 1.77 | 68.98 ± 1.82 |
| 5 | 2.09 ± 0.27 | 94.42 ± 4.33 |
| Caffeic acid c | 0.83 ± 1.15 | 82.20 ± 1.64 |
3. Experimental
3.1. General
3.2. Plant Material
3.3. Extraction and Isolation
3.4. Spectroscopic Data
−18.5° (c = 0.15, MeOH); IR (CaF2 window) cm−1: 3433, 1724, 1510, 1245, 1065; HR-FAB/MS m/z 811.4777 [M−H]− (calcd for C43H71O14, 811.4843); 1H- and 13C-NMR data, see Table 1.3.5. Acid Hydrolysis and GC Analysis
3.6. Measurement of NO Production and Cell Viability
4. Conclusions
Supplementary Materials
Acknowledgments
References
- Evans, W.C. Trease and Evans Pharmacognosy, 15th ed.; Elsevier Science Ltd.: London, UK, 2002; p. 26. [Google Scholar]
- Jung, B.S.; Shin, M.K. Hyang Yak Dae Sa Jeon, 3rd ed.; Young Lim Sa Publisher: Seoul, Korea, 2003; pp. 662–664. [Google Scholar]
- Tang, W.; Eisenbrand, G. Chinese Drugs of Plant Origin: Chemistry, Phamocology and Use in Traditional and Modern Medicine; Springer-Verlag: Berlin, Germany, 1992; pp. 191–197. [Google Scholar]
- Rios, J.L.; Waterman, P.G. A review on the pharmacology and toxicology of Astragalus. Phytother. Res. 1997, 11, 411–418. [Google Scholar] [CrossRef]
- Tohda, C.; Tamura, T.; Matsuyama, S.; Komatsu, K. Promotion of axonal maturation and prevention of memory loss in mice by extracts of Astragalus mongholicus. Br. J. Pharmacol. 2006, 149, 532–541. [Google Scholar] [CrossRef]
- Zhang, W.D.; Chen, H.; Zhang, C.; Liu, R.H.; Li, H.L.; Chen, H.Z. Astragaloside IV from Astragalus membranaceus shows cardioprotection during myocardial ischemia in vivo and in vitro. Planta Med. 2006, 72, 4–8. [Google Scholar] [CrossRef]
- Lei, H.; Wang, B.; Li, W.P.; Yang, Y.; Zhou, A.W.; Chen, M.Z. Anti-aging effect of astragalosides and its mechanism of action. Acta Pharmacol. Sin. 2003, 24, 230–234. [Google Scholar]
- Cho, W.C.S.; Leung, K.N. In vitro and in vivo anti-tumor effects of Astragalus membranaceus. Cancer Lett. 2007, 252, 43–54. [Google Scholar] [CrossRef]
- Zhang, W.J.; Hufnag, P.; Binder, B.R.; Wojta, J. Anti-inflammatory activity of astragaloside IV is mediated by inhibition of NF-kappaB activation and adhesion molecule expression. Thromb. Haemost. 2003, 90, 904–914. [Google Scholar]
- Tin, M.M.Y.; Cho, C.H.; Chan, K.; James, A.E.; Ko, J.K. stragalus saponins induce growth inhibition and apoptosis in human colon cancer cells and tumor xenograft. Carcinogenesis 2007, 28, 1347–1355. [Google Scholar] [CrossRef]
- Xu, M.E.; Xiao, S.Z.; Sun, Y.H.; Ou-Yang, Y.; Zheng, X.X. Effects of astragaloside IV on pathogenesis of metabolic syndrome in vitro. Acta Pharmacol. Sin. 2006, 27, 229–236. [Google Scholar] [CrossRef]
- Zhang, Y.D.; Wang, Y.L.; Shen, J.P. Effects of Astragalous saponins on antiinflammation and antihypertension. Acta Pharmacol. Sin. 1984, 19, 333–337. [Google Scholar]
- Kim, J.S.; Yean, M.H.; Lee, E.J.; Kang, S.S. Phytochemical studies on Astragalus root (1)-Saponins. Nat. Prod. Sci. 2008, 14, 37–46. [Google Scholar]
- Hirotani, M.; Zhou, Y.; Rui, H.; Furuya, T. Cycloartane triterpene glycosides from the hairy root cultures of Astragalus membranaceus. Phytochemistry 1994, 37, 1403–1407. [Google Scholar] [CrossRef]
- Lee, D.Y.; Seo, K.H.; Lee, D.S.; Kim, Y.C.; Chung, I.S.; Kim, G.W.; Cheoi, D.S.; Baek, N.I. 172 Bioactive 3,4-seco-triterpenoids from the fruits of Acanthopanax sessiliflorus. J. Nat. Prod. 2012, 75, 1138–1144. [Google Scholar] [CrossRef]
- Hirotani, M.; Zhou, Y.; Lui, H.; Furuya, T. Astragalosides from hairy root cultures of Astragalus membranaceus. Phytochemistry 1994, 36, 665–670. [Google Scholar] [CrossRef]
- Jung, L.H.; Lee, D.Y.; Cho, J.G.; Lee, S.M.; Kang, H.C.; Seo, W.D.; Kang, H.W.; Kim, J.Y.; Baek, N.I. A new flavonolignan from the aerial parts of Oryza sativa L. inhibits nitric oxide production in RAW 264.7 macrophage cells. J. Korean Soc. Appl. 2011, 54, 865–870. [Google Scholar] [CrossRef]
- Sample Availability: Samples of the compounds 1–5 are available from the authors.
© 2013 by the authors; licensee MDPI, Basel, Switzerland. This article is an open access article distributed under the terms and conditions of the Creative Commons Attribution license (http://creativecommons.org/licenses/by/3.0/).
Share and Cite
Lee, D.-Y.; Noh, H.-J.; Choi, J.; Lee, K.-H.; Lee, M.-H.; Lee, J.-H.; Hong, Y.; Lee, S.-E.; Kim, S.-Y.; Kim, G.-S. Anti-Inflammatory Cycloartane-Type Saponins of Astragalus membranaceus. Molecules 2013, 18, 3725-3732. https://doi.org/10.3390/molecules18043725
Lee D-Y, Noh H-J, Choi J, Lee K-H, Lee M-H, Lee J-H, Hong Y, Lee S-E, Kim S-Y, Kim G-S. Anti-Inflammatory Cycloartane-Type Saponins of Astragalus membranaceus. Molecules. 2013; 18(4):3725-3732. https://doi.org/10.3390/molecules18043725
Chicago/Turabian StyleLee, Dae-Young, Hyung-Jun Noh, Jehun Choi, Kyeong-Hee Lee, Min-Ho Lee, Ji-Hyun Lee, Yoonpyo Hong, Seung-Eun Lee, Seung-Yu Kim, and Geum-Soog Kim. 2013. "Anti-Inflammatory Cycloartane-Type Saponins of Astragalus membranaceus" Molecules 18, no. 4: 3725-3732. https://doi.org/10.3390/molecules18043725
APA StyleLee, D.-Y., Noh, H.-J., Choi, J., Lee, K.-H., Lee, M.-H., Lee, J.-H., Hong, Y., Lee, S.-E., Kim, S.-Y., & Kim, G.-S. (2013). Anti-Inflammatory Cycloartane-Type Saponins of Astragalus membranaceus. Molecules, 18(4), 3725-3732. https://doi.org/10.3390/molecules18043725

