Sign in to use this feature.

Years

Between: -

Subjects

remove_circle_outline
remove_circle_outline
remove_circle_outline
remove_circle_outline

Journals

Article Types

Countries / Regions

Search Results (6)

Search Parameters:
Keywords = cyclo (His-Pro)

Order results
Result details
Results per page
Select all
Export citation of selected articles as:
12 pages, 1826 KB  
Article
Cyclo(His-Pro) Exerts Protective Carbonyl Quenching Effects through Its Open Histidine Containing Dipeptides
by Luca Regazzoni, Laura Fumagalli, Angelica Artasensi, Silvia Gervasoni, Ettore Gilardoni, Angelica Mazzolari, Giancarlo Aldini and Giulio Vistoli
Nutrients 2022, 14(9), 1775; https://doi.org/10.3390/nu14091775 - 23 Apr 2022
Cited by 8 | Viewed by 3769
Abstract
Cyclo(His-Pro) (CHP) is a cyclic dipeptide which is endowed with favorable pharmacokinetic properties combined with a variety of biological activities. CHP is found in a number of protein-rich foods and dietary supplements. While being stable at physiological pH, CHP can open yielding two [...] Read more.
Cyclo(His-Pro) (CHP) is a cyclic dipeptide which is endowed with favorable pharmacokinetic properties combined with a variety of biological activities. CHP is found in a number of protein-rich foods and dietary supplements. While being stable at physiological pH, CHP can open yielding two symmetric dipeptides (His-Pro, Pro-His), the formation of which might be particularly relevant from dietary CHP due to the gastric acidic environment. The antioxidant and protective CHP properties were repeatedly reported although the non-enzymatic mechanisms were scantly investigated. The CHP detoxifying activity towards α,β unsaturated carbonyls was never investigated in detail, although its open dipeptides might be effective as already observed for histidine containing dipeptides. Hence, this study investigated the scavenging properties of TRH, CHP and its open derivatives towards 4-hydroxy-2-nonenal. The obtained results revealed that Pro-His possesses a marked activity and is more reactive than l-carnosine. As investigated by DFT calculations, the enhanced reactivity can be ascribed to the greater electrophilicity of the involved iminium intermediate. These findings emphasize that the primary amine (as seen in l-carnosine) can be replaced by secondary amines with beneficial effects on the quenching mechanisms. Serum stability of the tested peptides was also evaluated, showing that Pro-His is characterized by a greater stability than l-carnosine. Docking simulations suggested that its hydrolysis can be catalyzed by serum carnosinase. Altogether, the reported results evidence that the antioxidant CHP properties can be also due to the detoxifying activity of its open dipeptides, which might be thus responsible for the beneficial effects induced by CHP containing food. Full article
(This article belongs to the Collection Bioactive Peptides: Challenges and Opportunities)
Show Figures

Figure 1

19 pages, 9573 KB  
Article
Histidyl-Proline Diketopiperazine Isomers as Multipotent Anti-Alzheimer Drug Candidates
by Hasan Turkez, Ivana Cacciatore, Mehmet Enes Arslan, Erika Fornasari, Lisa Marinelli, Antonio Di Stefano and Adil Mardinoglu
Biomolecules 2020, 10(5), 737; https://doi.org/10.3390/biom10050737 - 9 May 2020
Cited by 33 | Viewed by 5527
Abstract
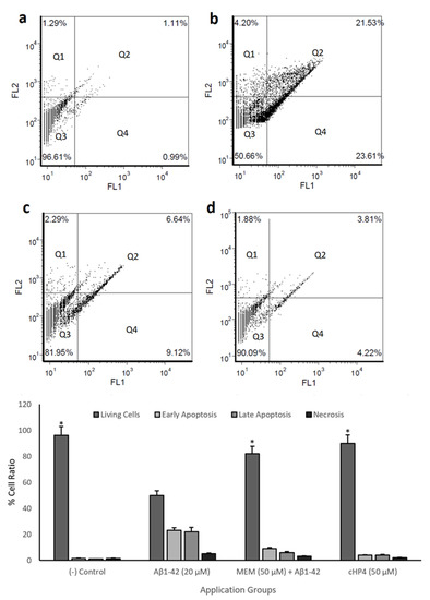
Cyclic dipeptides administered by both parenteral and oral routes are suggested as promising candidates for the treatment of neurodegeneration-related pathologies. In this study, we tested Cyclo (His-Pro) isomers (cHP1-4) for their anti-Alzheimer potential using a differentiated human neuroblastoma cell line (SH-SY5Y) as an [...] Read more.
Cyclic dipeptides administered by both parenteral and oral routes are suggested as promising candidates for the treatment of neurodegeneration-related pathologies. In this study, we tested Cyclo (His-Pro) isomers (cHP1-4) for their anti-Alzheimer potential using a differentiated human neuroblastoma cell line (SH-SY5Y) as an Alzheimer’s disease (AD) experimental model. The SH-SY5Y cell line was differentiated by the application of all-trans retinoic acid (RA) to obtain mature neuron-like cells. Amyloid-beta 1-42 (1-42) peptides, the main effector in AD, were administered to the differentiated cell cultures to constitute the in vitro disease model. Next, we performed cell viability analyses 3-(4,5-dimethylthiazol-2-yl)-2,5-diphenyltetrazolium bromide (MTT) and lactate dehydrogenase (LDH) release assays) to investigate the neuroprotective concentrations of cyclodipeptides using the in vitro AD model. We evaluated acetylcholinesterase (AChE), α- and β-secretase activities (TACE and BACE1), antioxidant potency, and apoptotic/necrotic properties and performed global gene expression analysis to understand the main mechanism behind the neuroprotective features of cHP1-4. Moreover, we conducted sister chromatid exchange (SCE), micronucleus (MN), and 8-hydroxy-2′-deoxyguanosine (8-OHdG) analyses to evaluate the genotoxic damage potential after applications with cHP1-4 on cultured human lymphocytes. Our results revealed that cHP1-4 isomers provide a different degree of neuroprotection against 1-42-induced cell death on the in vitro AD model. The applications with cHP1-4 isomers altered the activity of AChE but not the activity of TACE and BACE1. Our analysis indicated that the cHP1-4 increased the total antioxidant capacity without altering total oxidative status levels in the cellular AD model and that cHP1-4 modulated the alterations of gene expressions by 1-42 exposure. We also observed that cHP1-4 exhibited noncytotoxic and non-genotoxic features in cultured human whole blood cells. In conclusion, cHP1-4 isomers, especially cHP4, have been explored as novel promising therapeutics against AD. Full article
(This article belongs to the Section Natural and Bio-derived Molecules)
Show Figures

Figure 1

14 pages, 4920 KB  
Article
Administration of Zinc plus Cyclo-(His-Pro) Increases Hippocampal Neurogenesis in Rats during the Early Phase of Streptozotocin-Induced Diabetes
by Bo Young Choi, In Yeol Kim, Jin Hee Kim, Bo Eun Lee, Song Hee Lee, A Ra Kho, Min Sohn and Sang Won Suh
Int. J. Mol. Sci. 2017, 18(1), 73; https://doi.org/10.3390/ijms18010073 - 1 Jan 2017
Cited by 9 | Viewed by 7062
Abstract
The effects of zinc supplementation on hippocampal neurogenesis in diabetes mellitus have not been studied. Herein, we investigated the effects of zinc plus cyclo-(His-Pro) (ZC) on neurogenesis occurring in the subgranular zone of dentate gyrus after streptozotocin (STZ)-induced diabetes. ZC (27 mg/kg) was [...] Read more.
The effects of zinc supplementation on hippocampal neurogenesis in diabetes mellitus have not been studied. Herein, we investigated the effects of zinc plus cyclo-(His-Pro) (ZC) on neurogenesis occurring in the subgranular zone of dentate gyrus after streptozotocin (STZ)-induced diabetes. ZC (27 mg/kg) was administered by gavage once daily for one or six weeks from the third day after the STZ injection, and histological evaluation was performed at 10 (early phase) or 45 (late phase) days after STZ injection. We found that the proliferation of progenitor cells in STZ-induced diabetic rats showed an increase in the early phase. Additionally, ZC treatment remarkably increased the number of neural progenitor cells (NPCs) and immature neurons in the early phase of STZ-induced diabetic rats. Furthermore, ZC treatment showed increased survival rate of newly generated cells but no difference in the level of neurogenesis in the late phase of STZ-induced diabetic rats. The present study demonstrates that zinc supplementation by ZC increases both NPCs proliferation and neuroblast production at the early phase of diabetes. Thus, this study suggests that zinc supplemented with a histidine/proline complex may have beneficial effects on neurogenesis in patients experiencing the early phase of Type 1 diabetes. Full article
(This article belongs to the Special Issue Metal Metabolism in Animals II)
Show Figures

Figure 1

14 pages, 1139 KB  
Review
The Role of Cyclo(His-Pro) in Neurodegeneration
by Silvia Grottelli, Ilaria Ferrari, Grazia Pietrini, Matthew J. Peirce, Alba Minelli and Ilaria Bellezza
Int. J. Mol. Sci. 2016, 17(8), 1332; https://doi.org/10.3390/ijms17081332 - 12 Aug 2016
Cited by 42 | Viewed by 8186
Abstract
Neurodegenerative diseases may have distinct genetic etiologies and pathological manifestations, yet share common cellular mechanisms underpinning neuronal damage and dysfunction. These cellular mechanisms include excitotoxicity, calcium dysregulation, oxidative damage, ER stress and neuroinflammation. Recent data have identified a dual role in these events [...] Read more.
Neurodegenerative diseases may have distinct genetic etiologies and pathological manifestations, yet share common cellular mechanisms underpinning neuronal damage and dysfunction. These cellular mechanisms include excitotoxicity, calcium dysregulation, oxidative damage, ER stress and neuroinflammation. Recent data have identified a dual role in these events for glial cells, such as microglia and astrocytes, which are able both to induce and to protect against damage induced by diverse stresses. Cyclo(His-Pro), a cyclic dipeptide derived from the hydrolytic removal of the amino-terminal pyroglutamic acid residue of the hypothalamic thyrotropin-releasing hormone, may be important in regulating the nature of the glial cell contribution. Cyclo(His-Pro) is ubiquitous in the central nervous system and is a key substrate of organic cation transporters, which are strongly linked to neuroprotection. The cyclic dipeptide can also cross the brain-blood-barrier and, once in the brain, can affect diverse inflammatory and stress responses by modifying the Nrf2-NF-κB signaling axis. For these reasons, cyclo(His-Pro) has striking potential for therapeutic application by both parenteral and oral administration routes and may represent an important new tool in counteracting neuroinflammation-based degenerative pathologies. In this review, we discuss the chemistry and biology of cyclo(His-Pro), how it may interact with the biological mechanisms driving neurodegenerative disease, such as amyotrophic lateral sclerosis, and thereby act to preserve or restore neuronal function. Full article
(This article belongs to the Special Issue Neuroprotective Strategies 2016)
Show Figures

Graphical abstract

33 pages, 427 KB  
Review
Bioactive Plant Metabolites in the Management of Non-Communicable Metabolic Diseases: Looking at Opportunities beyond the Horizon
by Chandan Prasad, Victorine Imrhan, Shanil Juma, Mindy Maziarz, Anand Prasad, Casey Tiernan and Parakat Vijayagopal
Metabolites 2015, 5(4), 733-765; https://doi.org/10.3390/metabo5040733 - 12 Dec 2015
Cited by 25 | Viewed by 9299
Abstract
There has been an unprecedented worldwide rise in non-communicable metabolic diseases (NCDs), particularly cardiovascular diseases (CVD) and diabetes. While modern pharmacotherapy has decreased the mortality in the existing population, it has failed to stem the rise. Furthermore, a large segment of the world [...] Read more.
There has been an unprecedented worldwide rise in non-communicable metabolic diseases (NCDs), particularly cardiovascular diseases (CVD) and diabetes. While modern pharmacotherapy has decreased the mortality in the existing population, it has failed to stem the rise. Furthermore, a large segment of the world population cannot afford expensive pharmacotherapy. Therefore, there is an urgent need for inexpensive preventive measures to control the rise in CVD and diabetes and associated co-morbidities. The purpose of this review is to explore the role of food bioactives in prevention of NCDs. To this end, we have critically analyzed the possible utility of three classes of food bioactives: (a) resistant starch, a metabolically resistant carbohydrate known to favorably modulate insulin secretion and glucose metabolism; (b) cyclo (His-Pro), a food-derived cyclic dipeptides; and (c) polyphenol-rich berries. Finally, we have also briefly outlined the strategies needed to prepare these food-bioactives for human use. Full article
(This article belongs to the Special Issue Metabolomic Studies in Metabolic Diseases)
Show Figures

Figure 1

17 pages, 351 KB  
Article
Antitumor and Antimicrobial Activity of Some Cyclic Tetrapeptides and Tripeptides Derived from Marine Bacteria
by Subrata Chakraborty, Dar-Fu Tai, Yi-Chun Lin and Tzyy-Wen Chiou
Mar. Drugs 2015, 13(5), 3029-3045; https://doi.org/10.3390/md13053029 - 15 May 2015
Cited by 14 | Viewed by 8212
Abstract
Marine derived cyclo(Gly-l-Ser-l-Pro-l-Glu) was selected as a lead to evaluate antitumor-antibiotic activity. Histidine was chosen to replace the serine residue to form cyclo(Gly-l-His-l-Pro-l-Glu). Cyclic tetrapeptides (CtetPs) were then synthesized using a solution phase method, and subjected to antitumor and antibiotic assays. [...] Read more.
Marine derived cyclo(Gly-l-Ser-l-Pro-l-Glu) was selected as a lead to evaluate antitumor-antibiotic activity. Histidine was chosen to replace the serine residue to form cyclo(Gly-l-His-l-Pro-l-Glu). Cyclic tetrapeptides (CtetPs) were then synthesized using a solution phase method, and subjected to antitumor and antibiotic assays. The benzyl group protected CtetPs derivatives, showed better activity against antibiotic-resistant Staphylococcus aureus in the range of 60–120 μM. Benzyl group protected CtetPs 3 and 4, exhibited antitumor activity against several cell lines at a concentration of 80–108 μM. However, shortening the size of the ring to the cyclic tripeptide (CtriP) scaffold, cyclo(Gly-l-Ser-l-Pro), cyclo(Ser-l-Pro-l-Glu) and their analogues showed no antibiotic or antitumor activity. This phenomenon can be explained from their backbone structures. Full article
(This article belongs to the Special Issue Marine Peptides and Their Mimetics)
Show Figures

Graphical abstract

Back to TopTop