Sign in to use this feature.

Years

Between: -

Subjects

remove_circle_outline
remove_circle_outline
remove_circle_outline
remove_circle_outline
remove_circle_outline
remove_circle_outline
remove_circle_outline
remove_circle_outline
remove_circle_outline

Journals

Article Types

Countries / Regions

Search Results (43)

Search Parameters:
Keywords = curricula development and modernization

Order results
Result details
Results per page
Select all
Export citation of selected articles as:
18 pages, 1531 KB  
Article
Intelligent Construction-Driven Transformation of Construction Management Education for Sustainable Development: From the Educator’s Perspective
by Weijun Liu, Yuan Zeng, Dingli Liu, Yao Huang and Yunfei Hou
Sustainability 2025, 17(20), 9079; https://doi.org/10.3390/su17209079 - 14 Oct 2025
Viewed by 183
Abstract
In the context of global sustainable development strategies and the rise of intelligent construction, it has become increasingly urgent for universities to adapt construction management curricula to meet the demands of this new era. However, prior education-reform-based studies rarely offer a systematic, educator-centered [...] Read more.
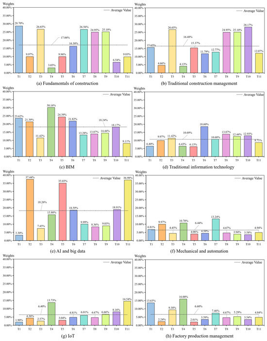
In the context of global sustainable development strategies and the rise of intelligent construction, it has become increasingly urgent for universities to adapt construction management curricula to meet the demands of this new era. However, prior education-reform-based studies rarely offer a systematic, educator-centered prioritization of knowledge areas, limiting actionable guidance for course sequencing and credit-hour allocation. To address this gap, this study identifies eight essential knowledge categories for construction management education through a comprehensive literature review and a survey of faculty members with strong theoretical and practical experience. An improved Analytic Hierarchy Process (AHP) model, weighted by the Consistency Ratio (CR), is applied to prioritize these areas. Results show that Fundamentals of Construction (18.50%), BIM (18.08%), and AI and Big Data (17.07%) received the highest importance values. These findings emphasize the need for curriculum reorientation to align with intelligent construction. This study contributes to modernizing construction management education and offers practical insights for curriculum development, ensuring alignment with industry trends and technological advancements. Full article
Show Figures

Figure 1

16 pages, 1135 KB  
Article
Geomatics Education in the Mining Industry: Assessing Competency Targets and Implementation Challenges
by Artur Krawczyk
Geosciences 2025, 15(10), 374; https://doi.org/10.3390/geosciences15100374 - 30 Sep 2025
Viewed by 356
Abstract
This article discusses the growing role of Geomatics and Geoinformatics in the education of specialists at various universities, with particular emphasis on the mining industry. The study used a qualitative desk research approach that included analysis of institutional curricula, legislative documents, and scientific [...] Read more.
This article discusses the growing role of Geomatics and Geoinformatics in the education of specialists at various universities, with particular emphasis on the mining industry. The study used a qualitative desk research approach that included analysis of institutional curricula, legislative documents, and scientific publications related to spatial data processing, mining education, and the geomatics professional framework. The paper identifies the requirements and educational goals for mining geomaticians who can act as managers of spatial data infrastructure in mining companies, managing the mining modelling processes and its impact on the environment and the local community. The article concludes with recommendations for restructuring educational programs to meet industry expectations for data-centric mining operations. The introduction of the profile of the ’mining geomatician’ can contribute significantly to the development of the industry, making it more modern and adapted to the requirements of a modern knowledge and technology-based economy. Full article
Show Figures

Figure 1

18 pages, 3194 KB  
Article
Integrating Theory and Practice in Engineering Education: A Cross-Curricular and Problem-Based Methodology
by Milagros Huerta-Gomez-Merodio and Maria-Victoria Requena-Garcia-Cruz
Educ. Sci. 2025, 15(9), 1253; https://doi.org/10.3390/educsci15091253 - 19 Sep 2025
Viewed by 604
Abstract
Engineering education often struggles to connect academic content with the real-world skills demanded by industry. Despite the inclusion of teamwork, collaborative learning, and leadership training in engineering curricula, many graduates remain unprepared to deal with complex and professional challenges. This study presents a [...] Read more.
Engineering education often struggles to connect academic content with the real-world skills demanded by industry. Despite the inclusion of teamwork, collaborative learning, and leadership training in engineering curricula, many graduates remain unprepared to deal with complex and professional challenges. This study presents a cross-curricular, practice-oriented methodology designed to strengthen the integration of theoretical knowledge and professional competencies among engineering students. The method has been implemented in the degree in Industrial Design and Product Development Engineering at the University of Cádiz. Students engaged in a realistic design task—developing an outdoor clothesline system—requiring the application of content from Materials Science, Structural Analysis, and Computer-Aided Design. Digital tools such as MILAGE LEARN+ (for gamified content review) and MindMeister (for concept mapping) have been integrated to promote autonomous learning and interdisciplinary thinking. The methodology has also been designed to improve transversal skills such as initiative, communication, and teamwork through collaborative and student-led project development. The approach has been evaluated through pre- and post-intervention surveys, informal feedback, and internship outcomes. The results showed a 40% reduction in students reporting difficulty retaining theoretical content (from 78% to 38%) and a 29% increase in self-perceived autonomous learning. The proportion of students feeling unprepared for professional environments dropped from 73% to 34%. Those experiencing anxiety when facing real-world problems has been reduced from 92% to 57%. Students have also reported greater motivation and a clearer understanding of the practical relevance of the academic content. These findings suggest that structured interdisciplinary challenges, when supported by blended learning tools and authentic design problems, can significantly improve student readiness for professional practice. The proposed methodology offers a replicable and adaptable model for other engineering programs seeking to modernize their curricula and foster transferable and real-world skills. Full article
(This article belongs to the Collection Trends and Challenges in Higher Education)
Show Figures

Figure 1

30 pages, 3136 KB  
Article
Leveraging Sustainable Development Goals to Transform Higher Education and Advance Sustainability Science
by Dzintra Atstāja
Sustainability 2025, 17(17), 7807; https://doi.org/10.3390/su17177807 - 29 Aug 2025
Viewed by 954
Abstract
Sustainable development in modern conditions is impossible without the support of processes by competent specialists with the necessary skills in technology and other areas of economic activity. Studying the methods and principles of implementing SDGs in higher education is crucial. The study was [...] Read more.
Sustainable development in modern conditions is impossible without the support of processes by competent specialists with the necessary skills in technology and other areas of economic activity. Studying the methods and principles of implementing SDGs in higher education is crucial. The study was based on a multi-aspect sociological survey to determine the form of implementing SDGs in educational programs, as well as on the analysis of the possibilities of introducing educational modules in the environmental direction into the practice of existing educational programs as integrated modules. It was found that, on average, the allocation of the subject “Sustainable Development” as a separate course received 5.41 out of 10 possible points, which indicates the need to change the paradigm for implementing SDGs in higher education not as a separate discipline but as components of educational courses. While the integration of SDGs into curricula promotes value changes and highlights the importance of best practice examples, expert opinions differ on the need to establish “Sustainable Development” as a separate sub-discipline in the social sciences, despite the active implementation of SDGs by universities and the proven effectiveness of educational modules on reducing CO2 emissions. When forming such components or modules, special attention should be paid to the practical focus, which is especially important when determining the potential positive impact of the results of using educational modules both in the primary and continuing education systems. Full article
(This article belongs to the Section Economic and Business Aspects of Sustainability)
Show Figures

Figure 1

19 pages, 492 KB  
Review
What Do We Know About Contemporary Quality Improvement and Patient Safety Training Curricula in Health Workers? A Rapid Scoping Review
by Zoi Tsimtsiou, Ilias Pagkozidis, Anna Pappa, Christos Triantafyllou, Constantina Vasileiou, Marie Stridborg, Válter R. Fonseca and Joao Breda
Healthcare 2025, 13(12), 1445; https://doi.org/10.3390/healthcare13121445 - 16 Jun 2025
Viewed by 1546
Abstract
Background and Objective: Despite growing emphasis on quality and safety in healthcare, there remains a limited understanding of how Quality Improvement and Patient Safety (QI/PS) training for health workers has evolved in response to global events like the COVID-19 pandemic and the WHO [...] Read more.
Background and Objective: Despite growing emphasis on quality and safety in healthcare, there remains a limited understanding of how Quality Improvement and Patient Safety (QI/PS) training for health workers has evolved in response to global events like the COVID-19 pandemic and the WHO Global Patient Safety Action Plan. This rapid scoping review aimed to not only identify existing curricula but also uncover trends, innovation gaps, and global inequities in QI/PS education—providing timely insights for reshaping future training strategies. Methods: We searched MEDLINE and Scopus for English-language studies published between January 2020 and April 2024, describing QI and/or PS curricula across graduate, postgraduate, and continuing education levels. All healthcare worker groups were eligible, with no geographic limitations. Two reviewers conducted independent screening and data extraction; a third verified the results. Results: Among 3290 records, 74 curricula met inclusion criteria, with a majority originating from the US (58, 78.4%) and targeting physicians—especially residents and fellows (43/46, 93.5%). Only 27% of curricula were multidisciplinary. While traditional didactic (66.2%) and interactive (73%) approaches remained prevalent, curricula launched after 2020 introduced novel formats such as Massive Open Online Courses and gamification, with long-term programs uniformly leveraging web-based platforms. Common thematic content included Root Cause Analysis, Plan-Do-Study-Act cycles, QI tools, communication skills, and incident reporting. English-language peer-reviewed published literature indicated a marked lack of structured QI/PS training in Europe, Asia, and Africa. Conclusions: This review reveals both an uneven development and fragmentation in global QI/PS training efforts, alongside emerging opportunities catalyzed by digital transformation and pandemic-era innovation. The findings highlight a critical gap: while interest in QI/PS is growing, scalable, inclusive, and evidence-based curricula remain largely concentrated in a few high-income countries. By mapping these disparities and innovations, this review provides actionable direction for advancing more equitable and modern QI/PS education worldwide, whilst showcasing the need to systematically delve into QI/PS training in underrepresented regions. Full article
(This article belongs to the Special Issue Innovations in Interprofessional Care and Training)
Show Figures

Figure 1

13 pages, 247 KB  
Review
Evolving Anatomy Education: Bridging Dissection, Traditional Methods, and Technological Innovation for Clinical Excellence
by Luis Alfonso Arráez-Aybar
Anatomia 2025, 4(2), 9; https://doi.org/10.3390/anatomia4020009 - 3 Jun 2025
Viewed by 2930
Abstract
Anatomy education has long served as a cornerstone of medical training, equipping healthcare professionals with the foundational knowledge necessary for clinical practice. However, the discipline has undergone significant transformations in response to evolving curricula, ethical considerations, and technological advancements. This paper explores the [...] Read more.
Anatomy education has long served as a cornerstone of medical training, equipping healthcare professionals with the foundational knowledge necessary for clinical practice. However, the discipline has undergone significant transformations in response to evolving curricula, ethical considerations, and technological advancements. This paper explores the historical development, current state, and future trajectory of anatomy education, focusing on challenges such as ethical concerns regarding cadaveric dissection, and the need for cost-effective alternatives. The study examines innovative teaching methods, including virtual reality, augmented reality and artificial intelligence, which enhance anatomical learning by providing interactive, scalable educational experiences. Additionally, it discusses the integration of anatomy with clinical practice through imaging technologies, competency-based education, and evidence-based approaches. While modern innovations offer valuable learning tools, they cannot entirely replace the hands-on experience and professional identity formation fostered by cadaveric dissection. A balanced approach that combines traditional methodologies with digital advancements is essential for optimizing anatomy education. By leveraging both physical and virtual resources, educators can enhance anatomical comprehension, improve clinical preparedness, and ensure that future healthcare professionals develop both technical expertise and ethical awareness. This paper underscores the need for continued adaptation in anatomy education to align with the demands of modern medicine while preserving its core educational values. Full article
17 pages, 1039 KB  
Review
Towards a Modernized Framework of Histology Teaching to Integrate Genetics: Pedagogical Perspectives for Oral Histology
by Camilla Sofia Miranda Kristoffersen, Camilla Elise Øxnevad Ziesler, Noora Helene Thune, Anna Tostrup Kristensen, Amer Sehic, Tor Paaske Utheim and Qalbi Khan
Genes 2025, 16(5), 512; https://doi.org/10.3390/genes16050512 - 28 Apr 2025
Cited by 1 | Viewed by 1377
Abstract
Histology remains a cornerstone in medical and dental education, providing essential insights into tissue structure, function, and pathology. However, despite its foundational importance, interest in histology is declining, often due to outdated pedagogical methods, insufficient clinical context, and limited use of diverse teaching [...] Read more.
Histology remains a cornerstone in medical and dental education, providing essential insights into tissue structure, function, and pathology. However, despite its foundational importance, interest in histology is declining, often due to outdated pedagogical methods, insufficient clinical context, and limited use of diverse teaching strategies. Modern health professionals require not only microscopic knowledge but also an understanding of the genetic mechanisms driving tissue development and disease. This paper critically evaluates current histology teaching strategies, identifying a gap in linking molecular genetics to tissue development, particularly in dental education. For instance, oral histology covers tooth development as a core subject yet often neglects the genetic foundations of odontogenesis. This disconnects risks undermining students’ ability to understand clinically relevant conditions, such as amelogenesis imperfecta, dentinogenesis imperfecta, molar incisor hypomineralization, and tooth agenesis—disorders where genetics play a key role. To address this, we propose a vertically integrated teaching model and a merged approach for teaching where several teaching methods, like flipped classrooms, team-based learning, and personalized digital tools, are designed for institutional curricula. Early pre-clinical exposure to genetic principles, revisited with clinical relevance in later years, can strengthen students’ appreciation of histology’s clinical value. This approach modernizes pedagogy, aligns with students’ preferences for digital learning, and ensures histology retains its central role in shaping competent healthcare professionals. Ultimately, developing multi-modal, genetics-integrated strategies is crucial to revitalizing histology education and fostering a deeper, clinically relevant understanding of human biology. Full article
Show Figures

Figure 1

19 pages, 1266 KB  
Systematic Review
Learning in Nature: A Systematic Review and Meta-Analysis of Outdoor Recreation’s Role in Youth Development
by Manto-Markela Vasilaki, Aglaia Zafeiroudi, Ioannis Tsartsapakis, Gerasimos V. Grivas, Athanasia Chatzipanteli, George Aphamis, Christoforos Giannaki and Charilaos Kouthouris
Educ. Sci. 2025, 15(3), 332; https://doi.org/10.3390/educsci15030332 - 7 Mar 2025
Cited by 1 | Viewed by 5770
Abstract
Outdoor recreational activities offer critical benefits to youth development, yet their impacts have been insufficiently synthesized. This systematic review and meta-analysis evaluated the effects of outdoor recreation on children and adolescents aged 6 to 18 years. Significant improvements were observed in psychological well-being, [...] Read more.
Outdoor recreational activities offer critical benefits to youth development, yet their impacts have been insufficiently synthesized. This systematic review and meta-analysis evaluated the effects of outdoor recreation on children and adolescents aged 6 to 18 years. Significant improvements were observed in psychological well-being, social connectivity, and environmental awareness, emphasizing the multidimensional benefits of such activities. Challenges such as urbanization and reduced access to green spaces highlighted the need for prioritizing outdoor engagement to counteract the growing detachment from nature. This study followed PRISMA guidelines and included 21 studies published between 2014 and 2024. A random-effects meta-analysis revealed positive effects on mood, anxiety reduction, interpersonal relationships, and environmental responsibility. However, significant heterogeneity reflected variability in study designs and contexts. The GRADE framework assessed evidence certainty, rating psychological benefits as moderate, social connectivity as high, and environmental awareness as low. Limitations included reliance on self-reported data and exclusion of pandemic-era studies. These findings emphasized the role of outdoor activities in addressing modern challenges such as urbanization and climate change by fostering holistic youth development. Policymakers and educators should be encouraged to integrate outdoor programs into curricula and community initiatives to promote mental health, social cohesion, and environmental stewardship. Full article
(This article belongs to the Special Issue Outdoors: Playing, Learning and Teaching)
Show Figures

Figure 1

26 pages, 949 KB  
Article
Lessons Learned from the LBS2ITS Project—An Interdisciplinary Approach for Curricula Development in Geomatics Education
by Günther Retscher, Jelena Gabela and Vassilis Gikas
Geomatics 2025, 5(1), 2; https://doi.org/10.3390/geomatics5010002 - 30 Dec 2024
Viewed by 1249
Abstract
The LBS2ITS project, titled “Curricula Enrichment Delivered through the Application of Location-Based Services to Intelligent Transport Systems”, is a collaborative initiative funded by the Erasmus+ program of the European Union. The primary objectives of the project were twofold: to develop new curricula and [...] Read more.
The LBS2ITS project, titled “Curricula Enrichment Delivered through the Application of Location-Based Services to Intelligent Transport Systems”, is a collaborative initiative funded by the Erasmus+ program of the European Union. The primary objectives of the project were twofold: to develop new curricula and modernize existing programs at four universities in Sri Lanka. This effort was driven by the need to align educational offerings with the rapidly evolving fields of Location-Based Services (LBSs) and Intelligent Transport Systems (ITSs). A key feature of the LBS2ITS project is its interdisciplinary approach, which draws on expertise from a range of academic disciplines. The project has successfully developed curricula that integrate diverse fields such as geomatics, cartography, transport engineering, urban planning, environmental engineering, and computer science. By blending these perspectives, the curricula provide students with a holistic understanding of LBSs and ITSs, preparing them to address complex, real-world challenges that span multiple sectors. In this paper, the curriculum development and modernization process is detailed, with a particular focus on the two key phases: teacher training and curriculum development. The teacher training phase was crucial in equipping educators with the skills and knowledge necessary to deliver the new and updated courses. This phase also provided an opportunity for teachers to familiarize themselves with the latest trends and technologies in LBSs and ITSs, ensuring that they could effectively convey this information to students. The development phase focused on the creation of the curriculum itself, ensuring that it met both academic standards and industry needs. The curriculum was designed to be flexible and responsive to emerging technologies and methodologies, allowing for continuous improvement and adaptation. Additionally, the paper delves into the theoretical frameworks underpinning the methodologies employed in the project. These include Problem-Based Learning (PBL) and Problem-Based e-Learning (PBeL), both of which encourage active student engagement and foster critical thinking by having students tackle real-world problems. The emphasis on PBL ensures that students not only acquire theoretical knowledge but also develop practical problem-solving skills applicable to their future careers in LBSs and ITSs. Furthermore, the project incorporated rigorous quality assurance (QA) mechanisms to ensure that the teaching methods and curriculum content met high standards. This included regular feedback loops, stakeholder involvement, and iterative refinement of course materials based on evaluations from both students and industry experts. These QA measures are essential for maintaining the relevance, effectiveness, and sustainability of the curricula over time. In summary, the LBS2ITS project represents a significant effort to enrich and modernize university curricula in Sri Lanka by integrating cutting-edge technologies and interdisciplinary approaches. Through a combination of innovative teaching methodologies, comprehensive teacher training, and robust quality assurance practices, the project aims to equip students with the skills and knowledge needed to excel in the fields of LBSs and ITSs. Full article
Show Figures

Figure 1

19 pages, 1191 KB  
Article
Fostering the Interdisciplinary Learning of Contemporary Physics Through Digital Technologies: The “Gravitas” Project
by Matteo Tuveri, Arianna Steri, Daniela Fadda, Riccardo Stefanizzi, Viviana Fanti and Walter Marcello Bonivento
Digital 2024, 4(4), 971-989; https://doi.org/10.3390/digital4040048 - 19 Nov 2024
Cited by 1 | Viewed by 1834
Abstract
The interdisciplinary teaching of contemporary physics has become increasingly common in physics education, especially for high school students and teachers. This approach, which integrates content and methodologies from various disciplines, fosters scientific reasoning, enhances creativity, and increases student motivation and interest in physics. [...] Read more.
The interdisciplinary teaching of contemporary physics has become increasingly common in physics education, especially for high school students and teachers. This approach, which integrates content and methodologies from various disciplines, fosters scientific reasoning, enhances creativity, and increases student motivation and interest in physics. The use of digital technologies, such as social media platforms, supports these educational goals by facilitating the inclusive and cost-effective dissemination of scientific knowledge and the development of soft skills. This paper introduces the “Gravitas” project, an initiative that employs an interdisciplinary approach to present contemporary physics topics to high school students through social media. Coordinated by the Cagliari Division of the National Institute of Nuclear Physics (INFN) in Italy, the “Gravitas” project offers a non-traditional learning environment where students explore modern physics and philosophy and the history of science. Through the creation of educational materials, such as social media posts, students actively engage in their learning. In 2022, around 250 students from 16 high schools across Sardinia, Italy, participated in this project. This paper discusses the learning outcomes, highlighting the potential of integrating formal high school curricula with innovative educational and digital tools. Full article
Show Figures

Figure 1

28 pages, 4814 KB  
Article
Disaster Risk Reduction Education Through Digital Technologies in the Context of Education for Sustainable Development: A Curricula Analysis of Security and Defense Studies in Serbia
by Vanja Rokvić and Petar Stanojević
Sustainability 2024, 16(22), 9777; https://doi.org/10.3390/su16229777 - 9 Nov 2024
Cited by 3 | Viewed by 3181
Abstract
This study examines the integration of disaster risk reduction (DRR) into security and defense studies curricula at Serbian universities, focusing on public and private institutions. As climate change accelerates and natural disasters become more frequent, addressing these risks is critical for national security [...] Read more.
This study examines the integration of disaster risk reduction (DRR) into security and defense studies curricula at Serbian universities, focusing on public and private institutions. As climate change accelerates and natural disasters become more frequent, addressing these risks is critical for national security and sustainable development. This research evaluates the extent of DRR incorporation in curricula and the use of emerging technologies in DRR education. A qualitative analysis of programs at institutions such as the Faculty of Security Studies at the University of Belgrade, the Military Academy, the University of Criminal Investigation and Police Studies, and private universities like Singidunum and Educons University reveals that public institutions have made significant progress. However, private universities still need comprehensive DRR-focused courses and technological integration. This study recommends fostering collaboration between public and private universities, expanding access to the National Simulation Center, and incorporating modern technologies and active learning strategies across curricula to bridge existing gaps. These steps equip future security professionals with the practical skills and interdisciplinary knowledge necessary for effective disaster management in an increasingly complex risk environment. Full article
Show Figures

Figure 1

21 pages, 1152 KB  
Systematic Review
A Systematic Review of the Impact of Emerging Technologies on Student Learning, Engagement, and Employability in Built Environment Education
by Amir Naser Ghanbaripour, Nima Talebian, Dane Miller, Roksana Jahan Tumpa, Weiwei Zhang, Mehdi Golmoradi and Martin Skitmore
Buildings 2024, 14(9), 2769; https://doi.org/10.3390/buildings14092769 - 3 Sep 2024
Cited by 15 | Viewed by 19313
Abstract
This paper presents a systematic literature review of the impact of emerging technologies such as Virtual Reality (VR), Augmented Reality (AR), Mixed Reality (MR), and gamification on student engagement, learning outcomes, and employability in Built Environment (BE) education. This review covers studies conducted [...] Read more.
This paper presents a systematic literature review of the impact of emerging technologies such as Virtual Reality (VR), Augmented Reality (AR), Mixed Reality (MR), and gamification on student engagement, learning outcomes, and employability in Built Environment (BE) education. This review covers studies conducted between 2013 and 2023, utilizing the Preferred Reporting Items for Systematic Reviews and Meta-analyses (PRISMA) framework. From an initial pool of 626 studies, 61 were identified and rigorously analyzed. The findings reveal that these technologies significantly enhance student engagement by providing immersive and interactive learning experiences that bridge the gap between theoretical knowledge and practical application. Furthermore, their use is shown to improve learning outcomes by facilitating a deeper understanding of complex concepts and increasing student motivation. In terms of employability, the integration of digital tools into BE education equips students with the requisite skills that are increasingly demanded in the modern workplace. However, the study also identifies several challenges, including high costs, limited resources, and the need for extensive faculty training, which act as barriers to the effective implementation of these technologies. Despite these challenges, this review underscores the transformative potential of digital technologies in BE education. This study is significant as it synthesizes recent evidence to highlight the critical role of digital technologies in reshaping BE education. It offers practical recommendations for educators and policymakers to enhance teaching and learning practices. Providing pathways for integrating these technologies into BE curricula, this study aims to inform future research and pedagogical strategies, ultimately contributing to the development of a highly skilled and adaptable workforce. Full article
Show Figures

Figure 1

20 pages, 2679 KB  
Article
Exploring the Intersection of Paleontology and Sustainability: Enhancing Scientific Literacy in Spanish Secondary School Students
by Alicia Giner-Baixauli, Hugo Corbí and Olga Mayoral
Sustainability 2024, 16(14), 5890; https://doi.org/10.3390/su16145890 - 10 Jul 2024
Cited by 3 | Viewed by 1847
Abstract
This study aims to assess the knowledge of geology and sustainability among 14- and 15-year-old secondary school students in Spain and to evaluate the effectiveness of active experiential methodologies in improving academic performance in these subjects. Involving 132 students, we used pre-test and [...] Read more.
This study aims to assess the knowledge of geology and sustainability among 14- and 15-year-old secondary school students in Spain and to evaluate the effectiveness of active experiential methodologies in improving academic performance in these subjects. Involving 132 students, we used pre-test and post-test questionnaires for data collection, with both control and experimental groups. Our findings showed that integrating Earth history, the Sustainable Development Goals (SDGs), and public speaking enhances scientific literacy by fostering problem-solving and interdisciplinary understanding. The study highlights the importance of integrating scientific methods, revealing a preference for experimental approaches over traditional methods among students; however, when the results are analyzed independently by topic, similar results are obtained with active and traditional teaching methodologies. Therefore, a holistic and flexible approach not only meets the requirements of modern curricula but also helps students address complex global challenges. Full article
Show Figures

Graphical abstract

20 pages, 3041 KB  
Article
Artificial Intelligence Chatbots in Chemical Information Seeking: Narrative Educational Insights via a SWOT Analysis
by Johannes Pernaa, Topias Ikävalko, Aleksi Takala, Emmi Vuorio, Reija Pesonen and Outi Haatainen
Informatics 2024, 11(2), 20; https://doi.org/10.3390/informatics11020020 - 18 Apr 2024
Cited by 8 | Viewed by 4008
Abstract
Artificial intelligence (AI) chatbots are next-word predictors built on large language models (LLMs). There is great interest within the educational field for this new technology because AI chatbots can be used to generate information. In this theoretical article, we provide educational insights into [...] Read more.
Artificial intelligence (AI) chatbots are next-word predictors built on large language models (LLMs). There is great interest within the educational field for this new technology because AI chatbots can be used to generate information. In this theoretical article, we provide educational insights into the possibilities and challenges of using AI chatbots. These insights were produced by designing chemical information-seeking activities for chemistry teacher education which were analyzed via the SWOT approach. The analysis revealed several internal and external possibilities and challenges. The key insight is that AI chatbots will change the way learners interact with information. For example, they enable the building of personal learning environments with ubiquitous access to information and AI tutors. Their ability to support chemistry learning is impressive. However, the processing of chemical information reveals the limitations of current AI chatbots not being able to process multimodal chemical information. There are also ethical issues to address. Despite the benefits, wider educational adoption will take time. The diffusion can be supported by integrating LLMs into curricula, relying on open-source solutions, and training teachers with modern information literacy skills. This research presents theory-grounded examples of how to support the development of modern information literacy skills in the context of chemistry teacher education. Full article
(This article belongs to the Topic AI Chatbots: Threat or Opportunity?)
Show Figures

Figure 1

18 pages, 1131 KB  
Article
Land Grant University Participants’ Eurocentric Attitudes about Agriculture: An Ideological Constraint to Achieving the 2030 Agenda for Sustainable Development
by Seth Jordan, C. Cameron Baker, Gary Wingenbach and Rafael Landaverde
Sustainability 2024, 16(6), 2410; https://doi.org/10.3390/su16062410 - 14 Mar 2024
Cited by 2 | Viewed by 2321
Abstract
Socio-cultural Eurocentric views about agriculture may diminish educational efforts to globalize the curricula at land grant institutions in the United States of America. While many U.S. inhabitants have historical and/or cultural ties to Europe, the modern U.S. agricultural industry is dependent upon contributions [...] Read more.
Socio-cultural Eurocentric views about agriculture may diminish educational efforts to globalize the curricula at land grant institutions in the United States of America. While many U.S. inhabitants have historical and/or cultural ties to Europe, the modern U.S. agricultural industry is dependent upon contributions from diverse agricultural origins. Recognizing ideological origins in agriculture helps educators prepare curricula and teach others through inclusive and equitable education that is consistent with the goals of the 2030 Agenda for Sustainable Development. The purpose of this study was to explore postsecondary students’ and employees’ Eurocentric attitudes about agriculture at a large southern U.S. land grant university. A cross-sectional design and random samples constituted the study population. Eurocentric attitudes existed primarily among undergraduate students and staff members. Respondents with family actively engaged in agriculture and those enrolled in the college of agriculture had stronger levels of Eurocentric beliefs, as did respondents with at least one previous international experience. Efforts to lessen Eurocentric attitudes about agriculture are needed in postsecondary education. Additional study of the origins of belief systems and factors affecting attitudinal formation may provide useful insights for replacing outdated ideals and achieving cognitive consistency in understanding the global agricultural industry. Full article
(This article belongs to the Section Sustainable Education and Approaches)
Show Figures

Figure 1

Back to TopTop