Sign in to use this feature.

Years

Between: -

Subjects

remove_circle_outline
remove_circle_outline
remove_circle_outline
remove_circle_outline
remove_circle_outline

Journals

Article Types

Countries / Regions

Search Results (12)

Search Parameters:
Keywords = critical weed free period

Order results
Result details
Results per page
Select all
Export citation of selected articles as:
15 pages, 3603 KB  
Article
Effect of Row Spacing in the Period Prior to Weed Interference in Peanut Cultivation Under Azorean Conditions
by Mariana Casari Parreira, Vasco Rafael Rodrigues Costa, David João Horta Lopes, João Martim de Portugal e Vasconcelos, João da Silva Madruga, Vitor Adriano Benedito, Arthur Nardi Campalle and Heytor Lemos Martins
Crops 2025, 5(5), 59; https://doi.org/10.3390/crops5050059 - 31 Aug 2025
Viewed by 791
Abstract
Peanut cultivation currently plays a minor role in Portuguese agriculture, despite the country’s favorable soil and climatic conditions. In the Azores archipelago, where agriculture is a key economic activity, peanut production has recently sparked interest among rural producers. Weeds pose a major threat [...] Read more.
Peanut cultivation currently plays a minor role in Portuguese agriculture, despite the country’s favorable soil and climatic conditions. In the Azores archipelago, where agriculture is a key economic activity, peanut production has recently sparked interest among rural producers. Weeds pose a major threat to crop development, particularly for short-cycle species like peanuts. This study aimed to determine the period prior to weed interference (PPI) in peanut crops under two row spacings (40 cm and 60 cm) on São Miguel Island, Azores. Eight treatments were established—0–15, 0–30, 0–45, 0–60, 0–75, 0–90 days after emergence (DAE), full-season coexistence, and a weed-free control—to represent increasing periods of weed competition. A randomized block design with four replicates was used for each spacing. The weed community included eight species, with Cyperus spp., Digitaria spp., Amaranthus blitum, and Portulaca oleracea being the most prevalent. Weed interference throughout the entire cycle led to yield losses exceeding 81% and 86% at 40 cm and 60 cm row spacings, respectively. The PPI was defined at a 5% yield reduction threshold, which is a commonly accepted benchmark in weed science to determine the beginning of the critical period of weed interference. Full article
Show Figures

Figure 1

11 pages, 1320 KB  
Article
Critical Period of Weed Control in Maize as Influenced by Soil Tillage Practices and Glyphosate Application
by Sergeja Adamič Zamljen and Robert Leskovšek
Agronomy 2024, 14(1), 93; https://doi.org/10.3390/agronomy14010093 - 29 Dec 2023
Cited by 7 | Viewed by 4483
Abstract
Increasing evidence on environmental and economic benefits has raised farmers’ interest in adopting alternative, less intensive soil management practices. To evaluate the influence of weed-competitive ability in response to a different tillage regime, a field study was conducted in maize under humid Central [...] Read more.
Increasing evidence on environmental and economic benefits has raised farmers’ interest in adopting alternative, less intensive soil management practices. To evaluate the influence of weed-competitive ability in response to a different tillage regime, a field study was conducted in maize under humid Central European climatic conditions in Slovenia. This study was established as a split-plot arrangement with three tillage practices (TPs) as the main plot: conventional (CN), conservation (CS), and no tillage (NT); this was combined with glyphosate application and the weed removal timing as the subplot. The weed removal timings were at the V3, V6, V9, V15, and R1 maize stages, with weed-free and weed season-long monitoring. The beginning and the end of the critical period of weed control (CPWC), based on a 5% maize yield loss rate, were determined by fitting the four-parameter log-logistic equations to the relative maize dry grain yield. The weed dry biomass from maize germination until the R1 growth stage in the NT TP was consistently lower than that in the CN and CS TP. Moreover, the NT TP resulted in a shorter CPWC (39 days after emergence (DAE)) compared to the CN (57 DAE) and CS (58 DAE). The results of CTWR (critical timing of weed removal) showed that less intensive tillage operations in the CS resulted in an earlier need for weed control (V2 and 23 DAE) compared to the CN (V3 and 39 DAE) and NT (V3 and 40 DAE). Our study suggests that the intensive tillage operations performed in the CN TP and the pre-sowing use of non-selective burndown herbicide in the NT delay the CTWR by more than 2 weeks, thus reducing the need for early post-emergence herbicide application in maize. Full article
(This article belongs to the Section Weed Science and Weed Management)
Show Figures

Figure 1

13 pages, 1237 KB  
Article
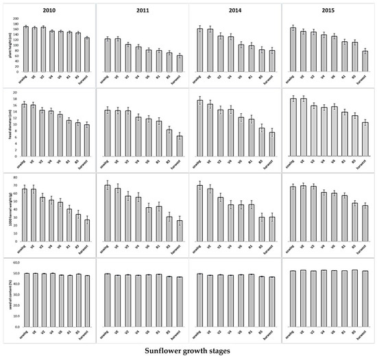
The Critical Period of Weed Control Influences Sunflower (Helianthus annuus L.) Yield, Yield Components but Not Oil Content
by Edita Stefanic, Sanda Rasic, Pavo Lucic, Domagoj Zimmer, Anto Mijic, Slavica Antunovic, Bozica Japundzic-Palenkic, Marin Lukacevic, Dinko Zima and Ivan Stefanic
Agronomy 2023, 13(8), 2008; https://doi.org/10.3390/agronomy13082008 - 28 Jul 2023
Cited by 10 | Viewed by 3581
Abstract
Field studies were conducted in the northeastern part of the Republic of Croatia to determine the influence of the critical period of weed interference on sunflower (Helianthus annuus) yield, yield components, and oil content. For this purpose, different durations of competition [...] Read more.
Field studies were conducted in the northeastern part of the Republic of Croatia to determine the influence of the critical period of weed interference on sunflower (Helianthus annuus) yield, yield components, and oil content. For this purpose, different durations of competition were established, allowing weeds to infest the crop for increasing periods of time after planting or maintaining plots weed-free for increasing periods of time after planting. The beginning and the end of the critical period of weed control (CPWC), based on a 5% and 10% loss of sunflower yield, were determined by fitting the four-parameter log-logistic equations to the relative seed yield. The total weed biomass increased progressively in relation to the increase in the competition. The beginning of the CPWC period, based on a 5% acceptable yield loss, ranged from 141 to 234 growing degree days (GDD), which corresponded to the two-to-four true leaf development stage (the V2–V4 growth stages) across both sites and years. The crop had to be kept weed-free until a period when sunflower inflorescence began to open and flower (the R4–R5 growth stage) or from 1365 to 1932 GDD. The sunflower yield and yield components varied between the years and among locations. An increasing duration of weed interference negatively affected crop height, head diameter, and 1000-kernel weight, but not seed oil content. Full article
(This article belongs to the Section Weed Science and Weed Management)
Show Figures

Figure 1

18 pages, 2660 KB  
Article
Determination of Critical Period for Sustainable Weed Management and Yield of Jute (Corchorus olitorius L.) under Sub-Tropical Condition
by Mohammad Shahadat Hossain, Uttam Kumer Sarker, Sirajam Monira, Md. Imran Ali, Ahmed Khairul Hasan, Md. Salahuddin Kaysar, Md. Parvez Anwar, Mahfuza Begum, Md. Harun Rashid, Md. Harunur Rashid, Abeer Hashem, Graciela Dolores Avila-Quezada, Elsayed Fathi Abd_Allah and Md. Romij Uddin
Sustainability 2023, 15(12), 9282; https://doi.org/10.3390/su15129282 - 8 Jun 2023
Cited by 4 | Viewed by 2796
Abstract
A field investigation was run to ascertain the critical period of weed control in jute (Corchorus olitorius). The study consisted of two distinct sets of treatments, with one set of weeds being left to invade the crop for a longer period [...] Read more.
A field investigation was run to ascertain the critical period of weed control in jute (Corchorus olitorius). The study consisted of two distinct sets of treatments, with one set of weeds being left to invade the crop for a longer period of time, specifically, for 15, 30, 45 and 60 days after sowing (DAS) and up to harvest. In the other set of treatments, the plants remained weed-free for progressively longer periods, i.e., 15, 30, 45 and 60 DAS, and until harvest. The reduction in fibre yield (FY) was recorded as 53.39% when weed interference was permitted from the beginning to harvest, as opposed to the season-long weed-free period. The critical period for weed competition (CPWC) of jute was calculated as being 11 to 68 DAS and 19 to 59 DAS, based on results of 5% and 10% yield loss, respectively. Under the 5% yield loss condition, although yield was higher (3.36 t ha−1), the benefit cost ratio (BCR) was lower (1.65), whereas yield was slightly lower (3.19 t ha−1) but BCR was higher (1.73) with respect to 10% yield loss. Therefore, jute fields should be kept weed free from 19 to 59 days after sowing, and a weed management strategy should be undertaken accordingly. Full article
Show Figures

Figure 1

14 pages, 1178 KB  
Article
Minimal Necessary Weed Control Does Not Increase Weed-Mediated Biological Pest Control in Romaine Lettuce (Lactuca sativa L., var. Romana)
by Alessandra Virili and Anna-Camilla Moonen
Horticulturae 2022, 8(9), 787; https://doi.org/10.3390/horticulturae8090787 - 30 Aug 2022
Cited by 1 | Viewed by 2710
Abstract
Lettuce is one of the most consumed leafy greens. Depending on the variety, it is ready for harvesting 40–80 days after sowing, and therefore several growth cycles can be concluded within a growing season. Due to its high market standards, lettuce may require [...] Read more.
Lettuce is one of the most consumed leafy greens. Depending on the variety, it is ready for harvesting 40–80 days after sowing, and therefore several growth cycles can be concluded within a growing season. Due to its high market standards, lettuce may require intensive management. This study implemented a critical period of weed interference (CPWI) trial to understand at which moment of the cropping cycle weeds can be tolerated without impacting crop yield to decrease the time needed for weeding and assess the potential support weeds can give to biological pest control in lettuce. Treatments represented two gradients of weed intensity: (1) increasingly weed-free, and (2) increasingly weedy. Dose–response curves were produced to find the CPWI based on lettuce relative yield. RLQ analysis was used to explore the relationships between weeding regime and weed functional traits for biological pest control. Yield was above the 5% acceptable yield loss threshold in all plots kept weed-free for 20 days or more, indicating a necessary weed-free period of 20 days from transplanting. However, the support of beneficial insects was not guaranteed at the end of the necessary weed-free period. We suggest that it is possible to limit intense weed management to the beginning of the growing season, reducing the cost of plastic mulches and increasing on-farm biodiversity, but field margins could be better suited to deliver conservation biological control in short-term crops where this service is of primary interest. Full article
Show Figures

Graphical abstract

13 pages, 1109 KB  
Article
The Influence of Different Row Spacing and Weed Control Intervals on Weed Infestation and Yield-Related Traits of American (Gossypium hirsutum L.) and Desi (Gossypium arboreum) Cotton
by Mubshar Hussain, Muhammad Haider Abbas, Abdul Majeed, Waqas Ahmed Minhas, Shahid Farooq and Khawar Jabran
Sustainability 2022, 14(16), 9867; https://doi.org/10.3390/su14169867 - 10 Aug 2022
Cited by 5 | Viewed by 2605
Abstract
Narrow row spacing has attracted significant attention due to its beneficial impacts on weed management in cotton. This study compared the effects of normal and ultra-narrow row spacing on critical periods of weed control in American (Gossypium hirsutum L.) and ‘Desi’ ( [...] Read more.
Narrow row spacing has attracted significant attention due to its beneficial impacts on weed management in cotton. This study compared the effects of normal and ultra-narrow row spacing on critical periods of weed control in American (Gossypium hirsutum L.) and ‘Desi’ (Gossypium arboreum) cotton. Two different row spacings (i.e., recommended (75 cm) and ultra-narrow (30 cm)) and three weed control intervals (i.e., weed control at 30, 60 and 90 days after sowing (DAS)) were included in the study. Weedy-check and weed-free treatments were included in the experiment as controls for comparison. ‘Desi’ cotton grown under ultra-narrow spacing recorded the lowest weed density and individual density of Trianthema portulacastarum L., Cyperus rotundus L., Cynodon dactylon L., Echinochloa colona (L.) Link and Digera muricata (L.) Mart. Moreover, ‘Desi’ cotton sown under ultra-narrow spacing with weed-free and weed control at 30 DAS resulted in the highest leaf area index (LAI), leaf area duration (LAD), net assimilation late (NAR), root elongation rate (RER) and root growth rate (RGR) at all sampling dates. Likewise, ‘desi’ cotton sown under recommended row spacing and weed-free conditions produced the highest number of sympodial and monopodial branches, number of flowers and bolls per plant, whereas the highest seed cotton yield of ‘Desi’ cotton was noted under ultra-narrow spacing and weed-free conditions. It is concluded that sowing both cotton types in ultra-narrow row spacing and controlling weeds at 30 DAS will result in lower weed infestation and higher seed cotton yield. Full article
(This article belongs to the Special Issue Sustainable Weed Control under Climate Change)
Show Figures

Figure 1

19 pages, 1555 KB  
Article
Performance of 45 Non-Linear Models for Determining Critical Period of Weed Control and Acceptable Yield Loss in Soybean Agroforestry Systems
by Taufan Alam, Priyono Suryanto, Nanang Susyanto, Budiastuti Kurniasih, Panjisakti Basunanda, Eka Tarwaca Susila Putra, Dody Kastono, Dyah Weny Respatie, Muhammad Habib Widyawan, Nurmansyah, Andrianto Ansari and Taryono
Sustainability 2022, 14(13), 7636; https://doi.org/10.3390/su14137636 - 23 Jun 2022
Cited by 5 | Viewed by 2791
Abstract
A family of Sigmoidal non-linear models is commonly used to determine the critical period of weed control (CPWC) and acceptable yield loss (AYL) in annual crops. We tried to prove another non-linear model to determine CPWC and AYL in a soybean agroforestry system [...] Read more.
A family of Sigmoidal non-linear models is commonly used to determine the critical period of weed control (CPWC) and acceptable yield loss (AYL) in annual crops. We tried to prove another non-linear model to determine CPWC and AYL in a soybean agroforestry system with kayu putih. The three-year experiment (from 2019–2021) was conducted using a randomised complete block design factorial with five blocks as replications. The treatments comprised weedy and weed-free periods. Non-linear models comprised 45 functions. The results show that the Sigmoidal and Dose-Response Curve (DRC) families were the most suitable for estimating CPWC and AYL. The best fitted non-linear model for weedy and weed-free periods in the dry season used the Sigmoidal family consisting of the Weibull and Richards models, while in the wet season the best fit was obtained using the DRC and Sigmoidal families consisting of the DR-Hill and Richards models, respectively. The CPWC of soybean in the dry season for AYL was 5, 10, and 15%, beginning at 20, 22, and 24 days after emergence (DAE) and ended at 56, 54, and 52 DAE. The AYL in the wet season started at 20, 23, and 26 DAE and ended at 59, 53, and 49 DAE. Full article
(This article belongs to the Special Issue Sustainable Weed Control in the Agroecosystems)
Show Figures

Figure 1

14 pages, 2104 KB  
Article
Weed Competition Effects on Growth and Yield of Spring-Sown White Lupine
by Christos A. Damalas and Spyridon D. Koutroubas
Horticulturae 2022, 8(5), 430; https://doi.org/10.3390/horticulturae8050430 - 11 May 2022
Cited by 14 | Viewed by 4467
Abstract
White lupine (Lupinus albus L.) is an annual legume that is grown for both seeds and green biomass, but several agronomic aspects of this crop, including response to weed competition, have not been studied extensively. Field experiments over two growing seasons (2012 [...] Read more.
White lupine (Lupinus albus L.) is an annual legume that is grown for both seeds and green biomass, but several agronomic aspects of this crop, including response to weed competition, have not been studied extensively. Field experiments over two growing seasons (2012 and 2016) were carried out in Orestiada, Greece, to study the growth and development of spring-sown white lupine under season-long weed competition from natural weed flora compared with its growth without weed competition. Treatments were arranged in a randomized complete block design with four replications and included (i) a non-treated (weedy) control, where weeds (Chenopodium album and Sorghum halepense) remained in the plots throughout the experiments and (ii) a weed-free control, where weeds were removed upon crop emergence and the plots were kept free of weeds throughout the experiments by hand removal. The presence of Chenopodium album and Sorghum halepense reduced the aboveground dry matter accumulation of white lupine ‘Multitalia’ at 7 weeks after crop emergence by 18.0% in the first growing season and 29.5% in the second growing season, while the corresponding decrease in the aboveground dry matter accumulation at 9 weeks after crop emergence was 25.3 and 33.4%. However, the reduction in dry matter accumulation was limited to lower levels after flowering (9.9% in the first and 12.8% in the second growing season). In both growing seasons, values of the ability to withstand competition (AWC) index were lower at 7 and 9 weeks from crop emergence than at maturity. Seed yields were 1.58 Mg per ha under weedy conditions and 2.20 Mg per ha under weed free conditions in the first growing season, and 1.59 and 2.32 Mg per ha, respectively, in the second growing season. The values of the relative yield loss (RYL) index for seed yield were 28.2% in the first growing season and 31.5% in the second growing season. Overall, white lupine growth and seed yield was significantly affected by the occurrence of weeds mostly at the early vegetative stages, resulting in the potential yield not being achieved due to weed competition. Future research on weed competition across several sites and years would be useful to define more clearly the critical period of weed control in white lupine. Full article
Show Figures

Figure 1

15 pages, 2047 KB  
Article
Weed-Free Durations and Fertilization Regimes Boost Nutrient Uptake and Paddy Yield of Direct-Seeded Fine Rice (Oryza sativa L.)
by Rana Nadeem Abbas, Asif Iqbal, Muhammad Aamir Iqbal, Omar M. Ali, Raees Ahmed, Raina Ijaz, Adel Hadifa and Brandon J. Bethune
Agronomy 2021, 11(12), 2448; https://doi.org/10.3390/agronomy11122448 - 30 Nov 2021
Cited by 13 | Viewed by 3687
Abstract
Under the changing climate, fertilization regimes and weed infestation management in aromatic direct-seeded fine rice (DSR) remain vital for curbing environmental hazards and ensuring food security. A multi-year field study was undertaken to appraise the influence of fertilization techniques and weed-free periods on [...] Read more.
Under the changing climate, fertilization regimes and weed infestation management in aromatic direct-seeded fine rice (DSR) remain vital for curbing environmental hazards and ensuring food security. A multi-year field study was undertaken to appraise the influence of fertilization techniques and weed-free periods on weed dynamics, nutrient uptake and paddy yield in a semi-arid environment. Treatments included two fertilization methods (broadcasting and side placement) and five weed-free durations (20, 30, 40, 50 post-seeding days, DAS) along with a weed-free crop for a whole season. Weed competition for a season-long crop (weedy check) was maintained for each fertilizer application method. Our results revealed that the side placement of fertilizers resulted in a significantly lower weed density and biomass, even under season-long weed competition. The highest paddy yield was recorded for a crop without weeds, while weed-free duration of up to 50 DAS followed it. The uptake of nitrogen (N), phosphorus (P) and potassium (K) for a weed-free duration of up to 50 DAS were only 19%, 9% and 8%, respectively, as compared to the weedy check. The uptake of N, P and K by weeds in the broadcast method was 18%, 30% and 24% higher, compared to side-placed fertilizers. The period of 20–50 DAS remained critical in DSR as far as weed control was concerned. Thus, the side placement of fertilizers and controlling weeds for up to 50 days after rice sowing can be recommended for general adoption in semi-arid agro-ecological conditions. Full article
(This article belongs to the Special Issue Cropping Systems and Agronomic Management Practices of Field Crops)
Show Figures

Figure 1

16 pages, 1558 KB  
Article
Competition of Weeds Dominated by Wild Oat (Avena sterilis   L.) in Wheat (Triticum durum Desf.) in Jordan
by Jamal R. Qasem
Agronomy 2021, 11(9), 1816; https://doi.org/10.3390/agronomy11091816 - 9 Sep 2021
Cited by 1 | Viewed by 3500
Abstract
Wheat is the main field crop grown in Jordan. Productivity is low due to different factors, including erratic rainfall, poor soil fertility and weed competition. A field experiment was carried out at the University of Jordan Research Station for two growing seasons to [...] Read more.
Wheat is the main field crop grown in Jordan. Productivity is low due to different factors, including erratic rainfall, poor soil fertility and weed competition. A field experiment was carried out at the University of Jordan Research Station for two growing seasons to determine the effect of weed competition on growth and yield of wheat (Triticum durum Cv. “Hourani”). Treatments consisted of either allowing weeds to infest the crop or maintaining the crop weed-free for increasing durations after emergence. Results showed that, the longer the periods of weed competition, the greater the loss in crop growth and yield. Average reductions in grain and straw yields were 41% and 37%, respectively. The highest grain yield obtained was from weed-free, and the lowest was in weed-infested plots for the entire growing season. Average grain yield was not significantly different at 14 to 49 days of weed-infested periods, while none of the weed-free periods produced a yield similar to that of the weed-free control. However, maintaining a weed-free crop for three weeks after emergence significantly increased grain yield compared with the weed-infested control. High rainfall in the first season almost doubled weed growth and greatly reduced wheat growth and yield compared with the second season. To determine the critical period of weed competition and the influence of weed infestation on wheat grain yield, Gompertz and logistic equations were fitted to data representing increasing duration of weed-free and weed-infested periods, respectively. Based upon an arbitrary 5% level of average grain yield loss in the two years, the critical period of weed competition occurred at 0–49 days after wheat emergence, which corresponded with the rapid increase in weed biomass. Full article
(This article belongs to the Special Issue Plant Interference through Competition and Allelopathy)
Show Figures

Figure 1

18 pages, 5203 KB  
Article
Impact of Level of Nitrogen Fertilization and Critical Period for Weed Control in Peanut (Arachis hypogaea L.)
by Ali A. A. Mekdad, Moamen M. Abou El-Enin, Mostafa M. Rady, Fahmy A. S. Hassan, Esmat F. Ali and Ahmed Shaaban
Agronomy 2021, 11(5), 909; https://doi.org/10.3390/agronomy11050909 - 5 May 2021
Cited by 23 | Viewed by 4282
Abstract
To avoid competing with economical plants, weed control must be implemented with a clean and appropriate strategy. Since the efficiency of leguminous crops in biological fixation of the atmospheric N2 is severely affected when grown under stressful conditions (the soil tested in [...] Read more.
To avoid competing with economical plants, weed control must be implemented with a clean and appropriate strategy. Since the efficiency of leguminous crops in biological fixation of the atmospheric N2 is severely affected when grown under stressful conditions (the soil tested in this study was salt-affected; ECe = 8.99 dS m−1), an appropriate level of N fertilization should also be applied. Two field trials were performed in the 2018 and 2019 seasons to investigate the influences of soil-applied nitrogen (N) levels [48 (N1), 96 (N2), and 144 kg N ha−1 (N3)] and critical timing of weed removal (CTWR) on weed control efficiency, improving weed control, yield traits, and quality attributes in peanut (Arachis hypogaea L.). Each trial was conducted with three replicates and planned according to a split-plot in a completely randomized design. The results revealed that N levels had significant (p ≤ 0.01) variations for the dry weight of all weeds tested (narrow-leaved, broad-leaved, and total annual weeds), pods and seed weight and yields, N use efficiency, and oil and protein yields (t ha−1) in peanut in both seasons. N3 outperformed both N1 and N2 with respect to the above-mentioned traits, however, it decreased N use efficiency and seed oil content compared to N1 and N2, respectively. Dry weight of weeds and seed harvest index were significantly (p ≤ 0.01) increased, while seed oil and protein contents, N use efficiency, and yields of pods, seeds, and protein were decreased, with increased weed interference (with peanut plants) period in both seasons. In both seasons, the interaction effect of N × W (weed removal time) was significant (p ≤ 0.01) on the dry weight of weeds and peanut traits, including seed oil content, N use efficiency, and yields of pods, seeds, and protein, and their highest values were obtained with N3 × W6 (weed-free for the whole season). The CTWR had growing degree days (GDDs) of 221.4 and 189. These two GDDs each corresponded to 2 weeks after emergence (WAE) in both growing seasons. The critical weed-free period (CWFP) had GDDs of 1400 and 1380. These two GDDs corresponded to 9.5 and 10 WAE, respectively. The combination of CTWR and CWFP resulted in a critical period of weed control (CPWC) of 2–9.5 and 2–10 WAE in both growing seasons, respectively, for the peanut crop with an acceptable yield loss of 5%. A high positive (p ≤ 0.01) correlation was noted between oil yield and seed yield (r = 0.999 ** and 0.999 **). However, a high negative (p ≤ 0.01) correlation (r = −0.723 ** and −0.711 **) was found between dry total annual weeds and seed weight in the first and second seasons, respectively. The stepwise regression analysis revealed high significant participation of two traits (i.e., seed yield and oil content) and three traits (i.e., seed yield, oil content, and weight of seeds) in the variations in oil yield in the first and second seasons, respectively. These results recommend the use of N fertilization at a rate of 144 kg N ha−1 in conjunction with keeping the soil free of weeds throughout the season to maximize peanut productivity under saline (8.99 dS m−1) conditions. Full article
(This article belongs to the Special Issue Weed-Crop Interactions under Climate Change)
Show Figures

Figure 1

6 pages, 329 KB  
Proceeding Paper
Assessment of Yield Loss in Green Gram (Vigna radiata (L.) R. Wilczek) Cultivation and Estimation of Weed-Free Period for Eco-Friendly Weed Management
by Pubudu Kumara, Kandiah Pakeerathan and Liyanage P. P. Deepani
Biol. Life Sci. Forum 2021, 3(1), 22; https://doi.org/10.3390/IECAG2021-09691 - 1 May 2021
Cited by 1 | Viewed by 2970
Abstract
Green gram (Vigna radiata (L.) R. Wilczek) is one of the most economically important grain legumes of the traditional farming systems of Sri Lanka because it is a cheap source of protein and animal feed, and sustains soil fertility by fixing atmospheric [...] Read more.
Green gram (Vigna radiata (L.) R. Wilczek) is one of the most economically important grain legumes of the traditional farming systems of Sri Lanka because it is a cheap source of protein and animal feed, and sustains soil fertility by fixing atmospheric nitrogen. Weeds are one of the major problems in green gram cultivation, reducing the yield through competition, interference with harvest and harboring pests and diseases. Controlling of weeds by applying herbicides would definitely cause unexpected damage to human health and the abundant biodiversity of Sri Lanka. Therefore, an investigation was planned to evaluate the yield loss due to weeds and to determine the optimum weed free period to minimize the yield losses. Two experiments were performed. The first experiment was conducted to determine the effects of different weed functional groups on the yield of green gram. In the second experiment, weeds were continuously hand weeded and areas kept weed free. In the third, weeds were allowed to compete with green gram until 2, 3, 4, 5 or 6 weeks after cultivation. All the treatments were conducted in randomized complete block design with three replicates. The data collected on types of weed, number of pods and pod weight at 3–6 weeks after planting (WAP) were analyzed using the SAS 9.4 statistical package, and DMRT was performed to determine the best treatment combination. The results from the first experiment showed that average yield loss due to total weed populations was 54.77%. Yield loss due to grasses alone was 46.56%, far worse than broad leaves (16.49%) and sedges (18.01%) at p < 0.05. Crop stand count at 3–4 WAP was not significantly different among treatments. However, biomass weight of 50 plants, number of pods in 50 plants and grain weight of 10 plants were found to be significantly different after 3–4 WAP in weed free conditions at p < 0.05%. When the weed free period increased, the yield was increased until 3 WAP; thereafter, not significant yield increment was observed. In contrast, yield steeply declined in plots that had weeds until 3 WAP. According to the results of the present study, it can be concluded that the critical weed free period from the planting of green gram is 3 WAP. Maintaining a weed free period for 3–4 weeks is recommended to minimize the yield loss of green gram at minimal weed management cost. Full article
(This article belongs to the Proceedings of The 1st International Electronic Conference on Agronomy)
Show Figures

Figure 1

Back to TopTop