The Critical Period of Weed Control Influences Sunflower (Helianthus annuus L.) Yield, Yield Components but Not Oil Content
Abstract
1. Introduction
2. Materials and Methods
2.1. Site Description
2.2. Experimental Design
2.3. Weed and Crop Measure
2.4. Data Analysis
3. Results
3.1. Weed Community in Sunflower
3.2. Weed Biomass Accumulation
3.3. Critical Period of Weed Removal
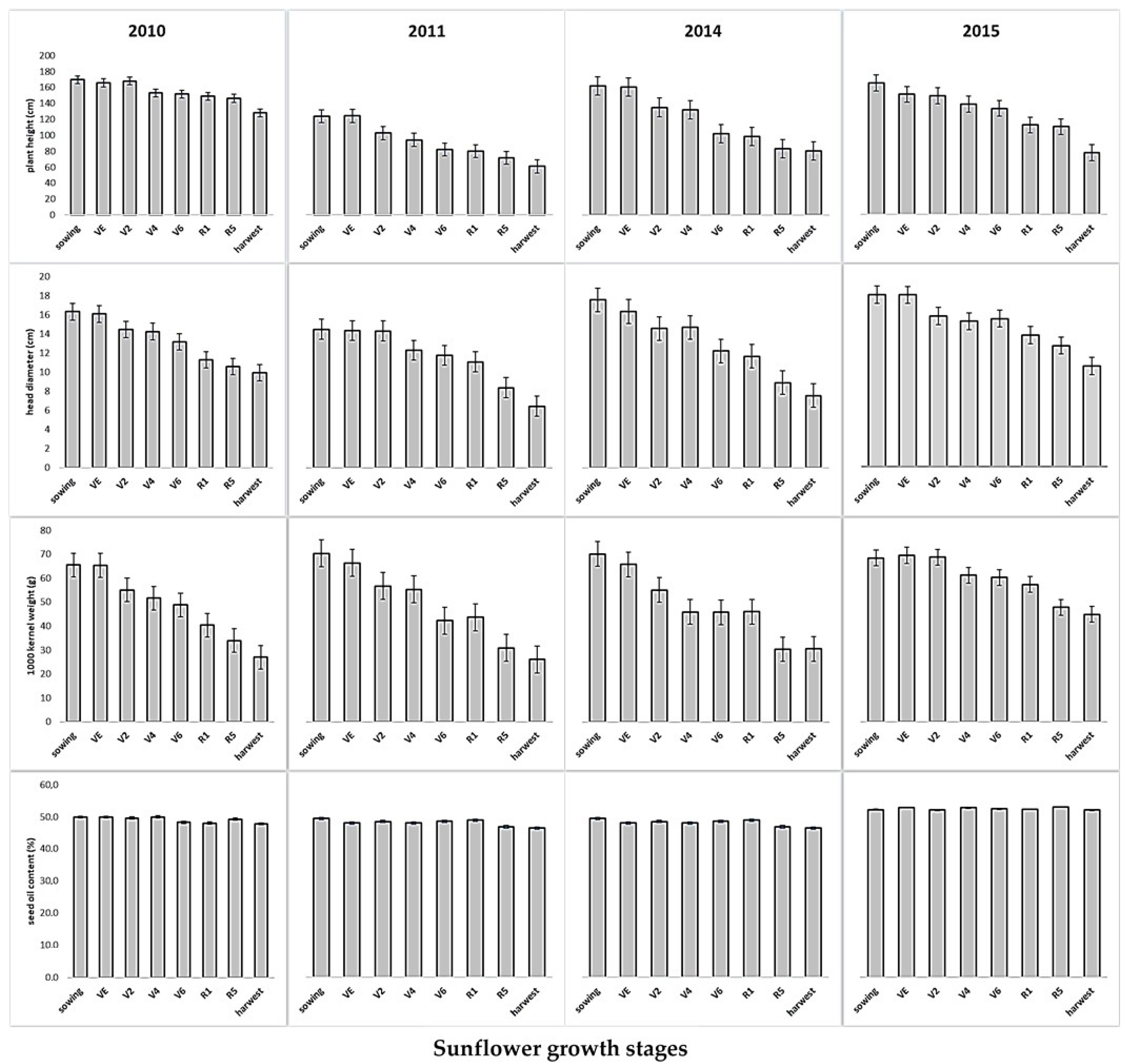
3.4. Influence of Weed Interference on Yield Components and Oilseed Content
4. Discussion
5. Conclusions
Author Contributions
Funding
Data Availability Statement
Conflicts of Interest
References
- FAOSTAT Statistical Database (Rome): FAO. Food and Agriculture Organization of the United Nations. 2021. Available online: https://www.fao.org/faostat/en/#data/QCL (accessed on 14 November 2022).
- Pannacci, E.; Graziani, F.; Covarelli, G. Use of herbicide mixtures for pre and post-emergence weed control in sunflower (Helianthus annuus). Crop. Prot. 2007, 26, 1150–1157. [Google Scholar] [CrossRef]
- Lewis, D.W.; Cavalieri, A.; Gulden, R.H. Effect of Biennial Wormwood (Artemisia biennis) Interference on Sunflower Yield and Seed Quality. Weed Sci. 2016, 64, 154–160. [Google Scholar] [CrossRef]
- Durgan, B.R.; Dexter, A.G.; Miller, S.D. Kochia (Kochia scoparia) interference in sunflower (Helianthus annuus). Weed Technol. 1990, 4, 52–56. [Google Scholar]
- Stefanic, E.; Antunovic, S.; Japundzic-Palenkic, B.; Zima, D. Manipulation of sunflower population density and herbicide rate for economical and sustainable weed management. Rom. Biotechnol. Lett. 2021, 26, 2751–2758. [Google Scholar] [CrossRef]
- Simic, M.; Dragicevic, V.; Knezevic, S.; Radosavljevic, M.; Dolijanovic, Z.; Filipovic, M. Effects of applied herbicides on crop productivity and on weed infestation in different growth stages of sunflower (Helianthus annuus L.). Helia 2011, 34, 27–38. [Google Scholar] [CrossRef]
- Bruniard, J.M.; Miller, J.F. Inheritance of imidazolinone-herbicide resistance in sunflower. Helia 2001, 24, 11–16. [Google Scholar] [CrossRef]
- Swanton, C.; Nkoa, R.; Blachshaw, R. Experimental methods for crop-weed competition studies. Weed Sci. 2015, 63, 2–11. [Google Scholar] [CrossRef]
- Bukun, B. Critical periods for weed control in cotton in Turkey. Weed Res. 2004, 44, 404–412. [Google Scholar] [CrossRef]
- Ozkil, M.; Torun, H.; Eymirli, S.; Uremis, I.; Karaman, Y.; Tursun, N. Critical period for weed control in sunflower and effects of application on weed species and diversity. Kahramanmaraş Sütçü İmam Üniversitesi Tarım Doğa Derg. 2022, 25, 1305–1314. [Google Scholar] [CrossRef]
- Knezevic, S.Z.; Evans, S.P.; Blankenship, E.E.; Van Acker, R.C.; Lindquist, J.L. Critical period for weed control: The concept and data analysis. Weed Sci. 2002, 50, 773–786. [Google Scholar]
- Charles, G.; Taylor, I. Understanding the critical period for weed control. In WEEDpak a Guide to Integrate Weed Management in Cotton; Australian Government; Cotton Research and Development Cooperation B4.2. 1.: 2013; Available online: https://www.copttoninfo.com.au/sites/default/files/documents/WEEDpak-optimised.pdf (accessed on 15 July 2023).
- Bedmar, F.; Manetti, P.; Monterubbianesi, G. Determination of the critical period of weed control in corn using a thermal basis. Pesq. Agropec. Bras. 1999, 34, 187–193. [Google Scholar] [CrossRef]
- Ahmadvand, G.; Mondani, F.; Golzardi, F. Effect of crop plant density on critical period of weed competition in potato. Sci. Hortic. 2009, 121, 249–254. [Google Scholar]
- Merino, J.; Pedreros, A.; Fischer, S.; Lopez, M.D. Critical period of weed interference on total polyphenol content in quinoa. Chil. J. Agric. Res. 2019, 79, 405–414. [Google Scholar]
- Swinton, S.M.; Buhler, D.D.; Forcella, F.; Gunsolus, J.L.; King, R.P. Estimation of crop yield loss due to interference by multiple weed species. Weed Sci. 1994, 42, 103–109. [Google Scholar] [CrossRef]
- Wilson, R.G.; Westra, P. Wild-proso millet (Panicum milliaceum) interference in corn (Zea mays). Weed Sci. 1991, 39, 217–220. [Google Scholar] [CrossRef]
- Retta, A.; Vanaderlip, R.L.; Higgins, R.A.; Moshier, L.J.; Feyerherm, A.M. Suitability of corn growth models for incorporation of weed and insect stresses. Agron. J. 1991, 83, 757–765. [Google Scholar]
- Kezevic, S.Z.; Evans, S.P.; Mainz, M. Row spacing influences the critical timing for weed removal in soybean (Glycine max). Weed Technol. 2003, 17, 666–673. [Google Scholar]
- Evans, S.P.; Knezevic, S.Z.; Lindquist, J.L.; Shapiro, C.A.; Blankenship, E.E. Nitrogen application influences the critical period for weed control in corn. Weed Sci. 2003, 51, 408–417. [Google Scholar]
- Gadžo, D.; Đikić, M.; Mijić, A. Industrijsko Bilje; Poljoprivredno-Prehrambeni Fakultet Univerziteta u Sarajevu: Sarajevo, Bosnia and Herzegovina, 2011; p. 238. [Google Scholar]
- Schneiter, A.A.; Miller, J.F. Description of sunflower growth stages. Crop. Sci. 1981, 21, 901–903. [Google Scholar]
- Kandel, H.; Schnetter, A.A.; Miller, J.F.; Berglund, D.R. Stages of Sunflower Development. 2019, NDSU, a1145. Available online: https://www.ndsu.edu/agriculture/sites/default/files/2022-08/a1145.pdf (accessed on 1 September 2020).
- Derksen, D.A.; Lafond, G.P.; Thomas, A.G.; Loeppky, H.A.; Swanton, C.J. Impact of Agronomic Practices on Weed Communities: Tillage Systems. Weed Sci. 1993, 41, 409–417. [Google Scholar]
- Gilmore, E.C.; Rogers, R.S. Heat units as a method of measuring maturity in corn. Agron. J. 1958, 50, 611–615. [Google Scholar] [CrossRef]
- SAS Institute Inc. User’s Guide. Version 9.3; SAS Institute Inc.: Cary, NC, USA, 2012. [Google Scholar]
- Schumacher, F.X. A new growth curve and its application to timber-yield studies. J. For. 1939, 37, 819–820. [Google Scholar]
- Seefeld, S.S.; Jensen, J.E.; Fuerst, E.P. Log-logistic analysis of herbicide dose-response relationship. Weed Technol. 1995, 9, 218–227. [Google Scholar] [CrossRef]
- Knezevic, S.Z.; Datta, A. The Critical period for Weed Control: Revisiting Data Analysis. Weed Sci. 2015, 63, 188–202. [Google Scholar] [CrossRef]
- Stefanic, E.; Antunovic, S.; Kovacevic, V.; Turalija, A.; Zima, D. Impact of weeds from field margins on adjacent agriculture land. Arch. Bio. Sci. 2020, 72, 403–411. [Google Scholar] [CrossRef]
- Knezevic, S.Z.; Elezovic, I.; Datta, A.; Vrbnicanin, S.; Glamoclija Dj Simic, M.; Malidza, G. Delay in the critical time for weed removal in imidazolinone-resistant sunflower (Helianthus annuus) caused by application of pre-emergence herbicide. Int. J. Pest Manag. 2013, 59, 229–235. [Google Scholar] [CrossRef]
- Elezovic, I.; Datta, A.; Vrbnicanin, S.; Glamoclija, D.; Simic, M.; Malidza, G.; Knezevic, S.Z. Yield and yield components of imidzolinone-resistant sunflower (Helianthus annuus L.) are influenced by pre-emergence herbicide and time of post-emergence weed removal. Field Crops Res. 2012, 128, 137–146. [Google Scholar] [CrossRef]
- Pacanoski, Z.; Mehmeti, A. Weed control in sunflower (Helianthus annuus L.) with soil-applied herbicides affected by a prolonged and limited rainfall. Poljoprivreda 2021, 27, 3–14. [Google Scholar]
- Malidza, G.; Vrbnicanin, S.; Bozic, D.; Jocic, S. Integrated weed management in sunflower: Challenges and opportunities. In Proceedings of the 19th International Sunflower Conference, Edirne, Turkey, 29 May–3 June 2016; pp. 90–99. [Google Scholar]
- Dos Santos, E.G.; Hiroko Inue, M.; Dias Guimaraeas, A.C.; Queiroz Bastos, J.S.; de la Cruz, R.A.; Mendes, K.F. Influence of Chemical Control on the Floristic Composition of Weeds in the Initial and Pre-Harvest Development Stages of the Sunflower Crop. Agrochemicals 2023, 2, 193–202. [Google Scholar] [CrossRef]
- Pinke, G.; Karacsony, P.; Botta-Dukat, Z.; Czucz, B. Factors affecting the weed vegetation of Hungarian sunflower fields with special attention to the incidence of Ambrosia artemisiifolia. J. Pest Sci. 2013, 86, 621–631. [Google Scholar] [CrossRef]
- Reisinger, P.; Lehoczky, E.; Komives, T. Late emergence of weed in maize. J. Plant Dis. Prot. 2006, 20, 401–405. [Google Scholar]
- Lehoczky, E.; Reisinger, P.; Komives, T.; Szalai, T. Study on the early competition between sunflower and weeds in field experiments. J. Plant Dis. Prot. 2006, 20, 935–940. [Google Scholar]
- Papamichali, D.; Eleftherohorinos, I.; Froud-Willians, R.; Gravanis, F. Critical periods of weed competition in cotton in Greece. Phytoparasitica 2002, 30, 105–111. [Google Scholar]
- Tagour, R.M.H. Mathematical Models for Determination of the Critical Period of Weed Competition in Sunflower (Helianthus annuus L.). Alex. J. Agric. Res. 2015, 60, 231–251. [Google Scholar] [CrossRef]
- Kanatas, P. Seed and Oil Productivity of Sunflower (Helianthus annuus L.) as Affected by the Timing of Weed Removal. Sci. Pap. Ser. A Agron. 2020, 63, 124–127. [Google Scholar]
- Weaver, S.E.; Kropf, M.J.; Groeneveld, R.M.W. Use of Ecophysiological Models for Crop-Weed Interference: The Critical Period of Weed Interference. Weed Sci. 1992, 40, 302–307. [Google Scholar]
- Hodi, L.; Torma, M.; Musci, K.; Kazinczi, G. Critical periods for weed control in sunflower in south-eastern region of Hungary. Cereal Res. Commun. 2006, 34, 469–472. [Google Scholar] [CrossRef]
- Barros, J.F.C.; de Carvalho, M.; Basch, G. Response of sunflower (Helianthus annuus L.) to sowing date and plant density under Mediterranean conditions. Eur. J. Agron. 2004, 21, 347–356. [Google Scholar] [CrossRef]
- Skoric, D. Achievements and future directions of sunflower breeding. Field Crops Res. 1992, 30, 231–270. [Google Scholar] [CrossRef]
- Izquerdo, N.; Aquirrezabal, L.; Andrade, F.; Pereyra, V. Night temperature affect fatty acid composition in sunflower oil depending on the hybrid and phenological stage. Field Crops Res. 2002, 77, 115–126. [Google Scholar] [CrossRef]



| Temperature (°C) | Precipitation (mm) | |||||||||
|---|---|---|---|---|---|---|---|---|---|---|
| 2010 | 2011 | 2014 | 2015 | 30-Year Average | 2010 | 2011 | 2014 | 2015 | 30-Year Average | |
| April | 11.8 | 12.9 | 13.1 | 13.2 | 11.4 | 68.7 | 10.9 | 45.2 | 81.2 | 53.2 |
| May | 16.1 | 16.3 | 16.7 | 16.1 | 16.7 | 164.0 | 29.6 | 118.8 | 159.1 | 59.1 |
| June | 20.0 | 20.9 | 19.9 | 20.3 | 19.6 | 210.3 | 28.1 | 63.4 | 91.6 | 88.0 |
| July | 22.7 | 21.9 | 22.9 | 21.8 | 21.1 | 44.1 | 57.9 | 36.3 | 65.4 | 64.9 |
| August | 20.8 | 22.3 | 22.7 | 20.8 | 20.7 | 69.1 | 14.6 | 32.8 | 53.8 | 60.9 |
| September | 15.0 | 19.4 | 15.9 | 17.0 | 16.5 | 116.1 | 18.2 | 129.0 | 69.6 | 46.3 |
| Scientific Name | Common Name | Functional Groups | Mean Relative Abundance Value | ||||
|---|---|---|---|---|---|---|---|
| LC | WC | 2010 | 2011 | 2014 | 2015 | ||
| Valpovo | Darda | ||||||
| Abutilon theophrasti Medik. | Velvetleaf | A | D | - | - | 8.2 | 0.1 |
| Ambrosia artemisiifolia L. | Common ragweed | A | D | 25.3 | 23.1 | 29.1 | 19.9 |
| Amaranthus retroflexus L. | Redroot pigweed | A | D | - | - | 0.1 | 1.2 |
| Anagallis arvensis L. | Scarlet pimpernel | A | D | - | - | - | 0.1 |
| Arctium lappa L. | Burdock | B | D | - | - | 0.2 | - |
| Atriplex patula L. | Spear saltbush | A | D | ||||
| Calystegia sepium (L.) R. Br. | Great bindweed | P | D | - | - | 7.4 | - |
| Capsella bursa-pastoris (L.) Med. | Sheperd’s purse | A | D | - | 0.1 | - | - |
| Chenopodium album L. | Common lambsquarters | A | D | 13.3 | 14.1 | 21.4 | 18.3 |
| Cirsium arvense (L.) Scop. | Creeping thistle | P | D | - | - | - | 5.9 |
| Convolvulus arvensis L. | Bindweed | P | D | 0.1 | - | 0.1 | 4.5 |
| Datura stramonium L. | Jimsonweed | A | D | - | - | 6.9 | 0.1 |
| Daucus carota L. | Wild carrot | B | D | - | - | 0.1 | - |
| Digitaria sanquinalis | Hairy crabgrass | A | M | ||||
| Echinochloa crus-galli (L.) P. Beauv | Barnyard grass | A | M | 16.4 | 21.2 | - | 0.1 |
| Equisetum arvense L. | Field horsetail | P | C | - | - | 0.1 | - |
| Galinsoga parviflora Cav. | Galant soldier | A | D | 5.3 | 0.1 | - | - |
| Geranium molle L. | Dovefoot geranium | A | D | 0.1 | - | - | - |
| Gypsophyla muralis L. | Low baby’s breath | A | D | 0.1 | - | - | - |
| Matricaria chamomilla L. | Common chamomile | A | D | 0.8 | 1.3 | - | - |
| Plantago major L. | Broad-leaved plantain | P | D | 1.3 | 0.9 | - | - |
| Polygonum aviculare L. | Prostrate knotweed | A | D | 0.1 | 0.1 | - | - |
| Polygonum lapathifolium L. | Pale smartweed | A | D | 6.4 | 5.4 | 0.1 | 1.7 |
| Ranunculus repens L. | Creeping buttercup | P | D | 0.1 | - | - | - |
| Rorippa austriaca (Crantz) Besser | Austrian fieldcrest | P | D | 0.1 | - | - | - |
| Rubus fruticosus L. | European blackberry | P | D | - | - | 0.1 | - |
| Rumex crispus L. | Curled dock | P | D | - | - | 0.1 | - |
| Setaria viridis (L.) Beauv. | Green foxtail | A | M | 12.3 | 8.3 | 2.8 | - |
| Solanum nigurm L. | Black nightshade | A | D | - | - | 1.2 | 6.0 |
| Sorghum halepense (L.) Pers. | Johnson grass | P | M | - | - | 11.1 | 4.3 |
| Stachys annua | Annual woundwort | A | D | - | - | - | 1.2 |
| Xanthium strumarium L. | Common cocklebur | A | D | - | - | - | 3.2 |
| TOTAL number of species | 14 | 10 | 16 | 14 | |||
| TOTAL relative abundance value | 95.7 | 84.3 | 104.4 | 92.6 | |||
| Year | Location | a | b | R2 |
|---|---|---|---|---|
| 2010 | Valpovo | 51.29 | 0.002352 | 0.91 |
| 2011 | 25.7 | 0.002697 | 0.91 | |
| 2014 | Darda | 106.6 | 0.001708 | 0.83 |
| 2015 | 33.68 | 0.002360 | 0.95 |
| Year | Duration of Weed Interference | Duration of Weed-Free Period | ||||||
|---|---|---|---|---|---|---|---|---|
| B | C | D | I50 | B | C | D | I50 | |
| 2010 | 1.8 (0.2) | 16.1 (4.3) | 100.3 (2.1) | 541 (52) | −1.8 (0.2) | 18.6 (2.2) | 103.2 (3.9) | 481 (41) |
| 2011 | 1.2 (0.2) | 1.5 (25.9) | 99.5 (2.1) | 1236 (512) | −1.8 (0.2) | 19.1 (2.3) | 97.3 (3.0) | 330 (23) |
| 2014 | 1.6 (0.2) | 13.6 (9.4) | 101.6 (2.1) | 761 (137) | −2.7 (0.3) | 32.6 (2.3) | 97.4 (1.7) | 313 (16) |
| 2015 | 1.7 (0.2) | 12.9 (7.4) | 101.0 (2.0) | 760 (106) | −2.4 (0.3) | 23.7 (2.4) | 98.3 (2.2) | 385 (20) |
| Acceptable Yield Loss (%) | Year | Beginning of the CWPC | End of CWPC | ||||
|---|---|---|---|---|---|---|---|
| GDD (±SE) | CGS | DAE | GDD (±SE) | CGS | DAE | ||
| 5% | 2010 | 141 (16.7) | V2 | 14 | 1860 (636.8) | R5 | 98 |
| 2011 | 191 (19.4) | V2 | 17 | 1365 (412.2) | R4 | 84 | |
| 2014 | 234 (19.4) | V3 | 25 | 1435 (133.4) | R4 | 82 | |
| 2015 | 208 (20.8) | V3 | 21 | 1932 (227.0) | R5 | 92 | |
| 10% | 2010 | 198 (18.2) | V4 | 27 | 1377 (344.6) | R4 | 76 |
| 2011 | 237 (36.6) | V5 | 30 | 1003 (218.6) | R3 | 69 | |
| 2014 | 301 (22.0) | V7 | 36 | 1151 (79.9) | R3 | 72 | |
| 2015 | 291 (23.3) | V6 | 32 | 1432 (131.4) | R4 | 79 | |
| Variable | df | Crop Height (cm) | Head Diameter (cm) | 1000-Kernel Weight (g) | Seed Oil Content (%) | ||||
|---|---|---|---|---|---|---|---|---|---|
| MSS | P > F | MSS | P > F | MSS | P > F | MSS | P > F | ||
| Location (Loc) | 1 | 169.050 | 0.363 | 1115.750 | 0.695 | 943.951 | 0.052 | 943.951 | 0.052 |
| Year (Yr) | 1 | 12.375 | 0.746 | 4214.882 | 0.495 | 44.959 | 0.218 | 44.959 | 0.332 |
| Weed removal (WR) | 7 | 40.712 | 0.006 ** | 793.296 | 0.034 ** | 13.046 | 0.001 ** | 9.550 | 0.110 |
| Loc × Yr | 1 | 69.473 | 0.001 ** | 4121.072 | 0.000 *** | 6.426 | 0.019 * | 6.426 | 0.286 |
| Loc × WR | 7 | 12.655 | 0.020 ** | 320.514 | 0.086 | 11.116 | 0.001 ** | 7.903 | 0.264 |
| WR × Yr | 7 | 4.955 | 0.168 | 180.065 | 0.255 | 0.986 | 0.329 | 3.582 | 0.646 |
| Loc × Yr × WR | 7 | 2.312 | 0.670 | 107.098 | 0.087 | 0.696 | 0.970 | 4.808 | 0.107 |
| Error | 96 | 3.290 | 57.990 | 2.753 | 2.753 | ||||
Disclaimer/Publisher’s Note: The statements, opinions and data contained in all publications are solely those of the individual author(s) and contributor(s) and not of MDPI and/or the editor(s). MDPI and/or the editor(s) disclaim responsibility for any injury to people or property resulting from any ideas, methods, instructions or products referred to in the content. |
© 2023 by the authors. Licensee MDPI, Basel, Switzerland. This article is an open access article distributed under the terms and conditions of the Creative Commons Attribution (CC BY) license (https://creativecommons.org/licenses/by/4.0/).
Share and Cite
Stefanic, E.; Rasic, S.; Lucic, P.; Zimmer, D.; Mijic, A.; Antunovic, S.; Japundzic-Palenkic, B.; Lukacevic, M.; Zima, D.; Stefanic, I. The Critical Period of Weed Control Influences Sunflower (Helianthus annuus L.) Yield, Yield Components but Not Oil Content. Agronomy 2023, 13, 2008. https://doi.org/10.3390/agronomy13082008
Stefanic E, Rasic S, Lucic P, Zimmer D, Mijic A, Antunovic S, Japundzic-Palenkic B, Lukacevic M, Zima D, Stefanic I. The Critical Period of Weed Control Influences Sunflower (Helianthus annuus L.) Yield, Yield Components but Not Oil Content. Agronomy. 2023; 13(8):2008. https://doi.org/10.3390/agronomy13082008
Chicago/Turabian StyleStefanic, Edita, Sanda Rasic, Pavo Lucic, Domagoj Zimmer, Anto Mijic, Slavica Antunovic, Bozica Japundzic-Palenkic, Marin Lukacevic, Dinko Zima, and Ivan Stefanic. 2023. "The Critical Period of Weed Control Influences Sunflower (Helianthus annuus L.) Yield, Yield Components but Not Oil Content" Agronomy 13, no. 8: 2008. https://doi.org/10.3390/agronomy13082008
APA StyleStefanic, E., Rasic, S., Lucic, P., Zimmer, D., Mijic, A., Antunovic, S., Japundzic-Palenkic, B., Lukacevic, M., Zima, D., & Stefanic, I. (2023). The Critical Period of Weed Control Influences Sunflower (Helianthus annuus L.) Yield, Yield Components but Not Oil Content. Agronomy, 13(8), 2008. https://doi.org/10.3390/agronomy13082008

