Weed-Free Durations and Fertilization Regimes Boost Nutrient Uptake and Paddy Yield of Direct-Seeded Fine Rice (Oryza sativa L.)
Abstract
:1. Introduction
2. Materials and Methods
2.1. Description of Meteorological and Physico-Chemical Characteristics of Experimental Site
2.2. Experimentation Details
2.3. Data Recordings of Response Variables
2.4. Statistical Analyses
3. Results and Discussion
3.1. Weeds Density and Dry Biomass
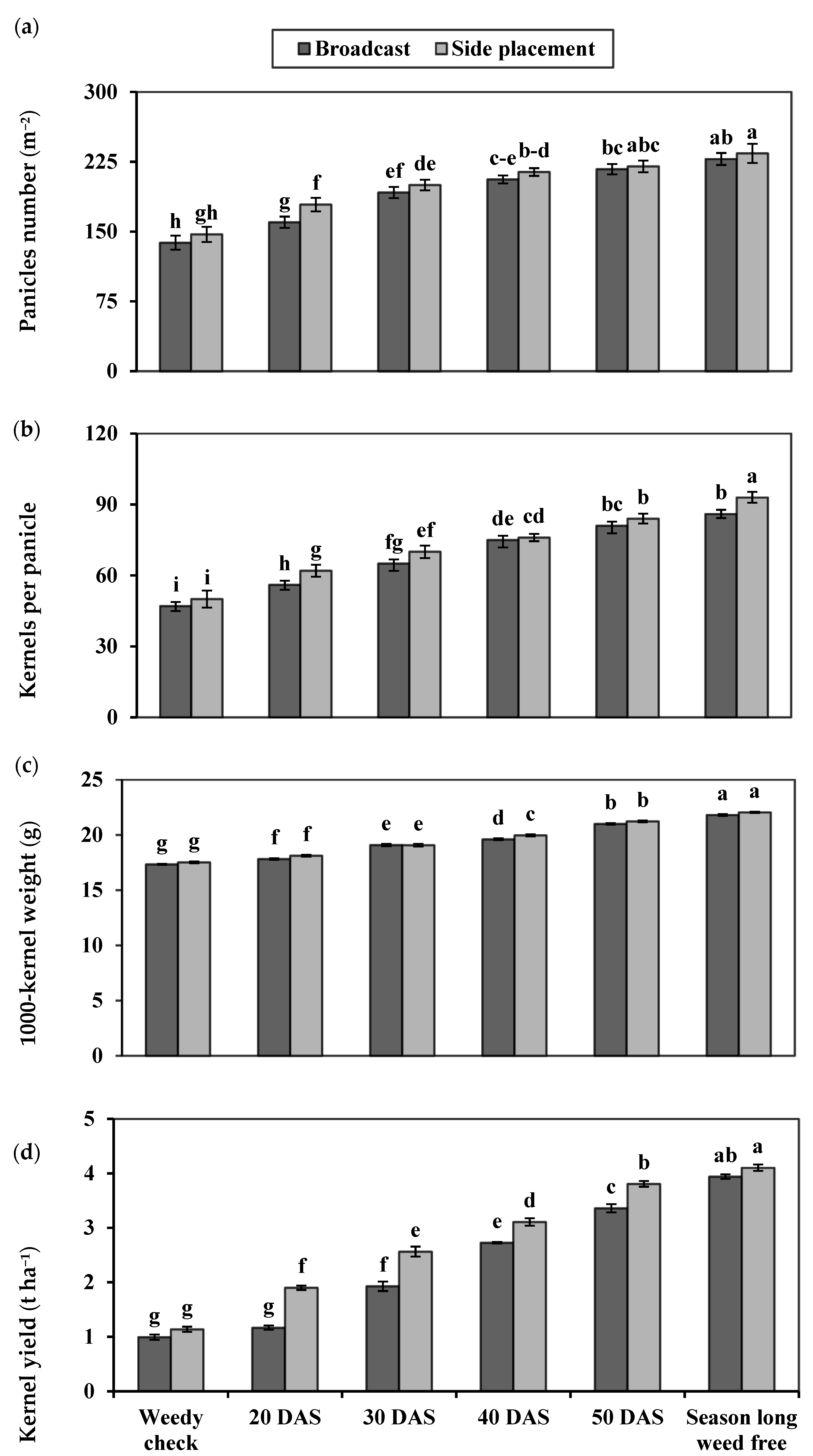
3.2. Yield Components and Paddy Yield
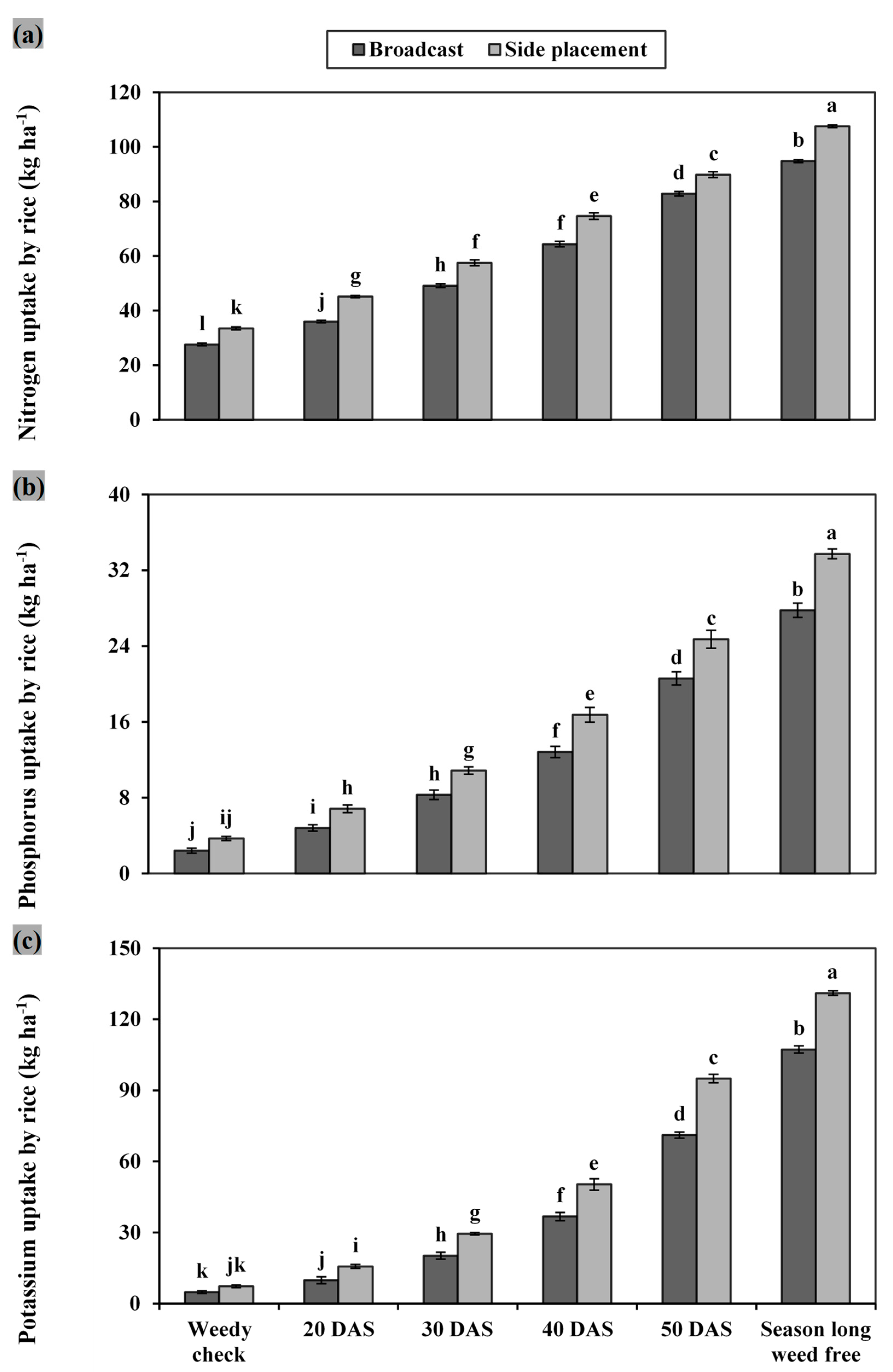
3.3. Nutrient Uptake by Weeds and Directly Seeded Rice
4. Conclusions
Author Contributions
Funding
Institutional Review Board Statement
Informed Consent Statement
Conflicts of Interest
References
- Gómez de Barreda, D.; Pardo, G.; Osca, J.M.; Catala-Forner, M.; Consola, S.; Garnica, I.; López-Martínez, N.; Palmerín, J.A.; Osuna, M.D. An Overview of Rice Cultivation in Spain and the Management of Herbicide-Resistant Weeds. Agronomy 2021, 11, 1095. [Google Scholar] [CrossRef]
- Vitalini, S.; Orlando, F.; Vaglia, V.; Bocchi, S.; Iriti, M. Potential role of Lolium multiflorum Lam. In the management of rice weeds. Plants 2020, 9, 324. [Google Scholar] [CrossRef] [Green Version]
- Islam, A.K.M.M.; Nasir, M.; Akter Mou, M.; Yeasmin, S.; Islam, M.S.; Ahmed, S.; Anwar, M.P.; Hadifa, A.; Baazeem, A.; Iqbal, M.A.; et al. Preliminary reports on comparative weed competitiveness of Bangladeshi monsoon and winter rice varieties under puddled transplanted conditions. Sustainability 2021, 13, 5091. [Google Scholar] [CrossRef]
- Martins, M.B.; Agostinetto, D.; Fogliatto, S.; Vidotto, F.; Andres, A. Aeschynomene spp. Identification and Weed Management in Rice Fields in Southern Brazil. Agronomy 2021, 11, 453. [Google Scholar] [CrossRef]
- Martin, R.; Chhun, S.; Yous, S.; Rien, R.; Korn, C.; Srean, P. Survey of Weed Management Practices in Direct-Seeded Rice in North-West Cambodia. Agronomy 2021, 11, 498. [Google Scholar] [CrossRef]
- Haque, M.M.; Datta, J.; Ahmed, T.; Ehsanullah, M.; Karim, M.N.; Akter, M.S.; Iqbal, M.A.; Baazeem, A.; Hadifa, A.; Ahmed, S.; et al. Organic amendments boost soil fertility and rice productivity and reduce methane emissions from paddy fields under sub-tropical conditions. Sustainability 2021, 13, 3103. [Google Scholar] [CrossRef]
- Ahmad, M.; Akhtar, M.; Anwar, M. Basmati rice: Progress, issues and prospects for rice crop in Pakistan. Soil Environ. 2005, 30, 50–57. [Google Scholar]
- Akram, M. Aromatic rice of Pakistan-a review. Pak. J. Agric. Sci. 2009, 22, 154–160. [Google Scholar]
- Saha, S.; Munda, S.; Singh, S.; Kumar, V.; Jangde, H.K.; Mahapatra, A.; Chauhan, B.S. Crop Establishment and Weed Control Options for Sustaining Dry Direct Rice Production in Eastern India. Agronomy 2021, 11, 389. [Google Scholar] [CrossRef]
- Ali, S.; Liu, Y.; Ishaq, M.; Shah, T.; Ilyas, A.; Din, I. Climate change and its impact on the yield of major food crops: Evidence from Pakistan. Foods 2017, 6, 39. [Google Scholar] [CrossRef] [PubMed]
- Kumar, V.; Jat, H.S.; Sharma, P.C.; Singh, B.; Gathala, M.K.; Malik, R.K.; Kamboj, B.R.; Yadav, A.K.; Ladhaa, J.K.; Raman, A.; et al. Can productivity and profitability be enhanced in intensively managed cereal systems while reducing the environmental footprint of production? Assessing sustainable intensification options in the breadbasket of India. Agric. Ecosyst. Environ. 2018, 252, 132–147. [Google Scholar] [CrossRef]
- Rao, A.N.; Brainard, D.C.; Kumar, V.; Ladha, J.K.; Johnson, D.E. Preventive weed management indirect-seeded rice: Targeting the weed seed bank. Adv. Agron. 2017, 144, 45–142. [Google Scholar]
- Liu, H.; Hussain, S.; Zheng, M.; Peng, S.; Huang, J.; Cui, K.; Nie, L. Dry direct-seeded rice as an alternative to transplanted-flooded rice in Central China. Agron. Sustain. Dev. 2015, 35, 285–294. [Google Scholar] [CrossRef] [Green Version]
- Hakim, A.R.; Juraimi, S.M.; Rezaul, K.; Khan, M.S.I.; Islam, M.S.; Choudhury, M.K.; Soufan, W.; Alharby, H.; Bamagoos, A.; Iqbal, M.A.; et al. Effectiveness of herbicides to control rice weeds in diverse saline environments. Sustainability 2021, 13, 2053. [Google Scholar] [CrossRef]
- Ali, S.; Iqbal, M.A.; Afzal, S.; Afzal, M.I. Growth, kernel quality and yield assessment of aerobic aromatic rice (Oryza sativa L.) under different mulching types and spatial arrangements. World J. Agric. Sci. 2015, 12, 84–90. [Google Scholar]
- Iqbal, M.A.; Ali, S. Evaluation of yield and yield components of aerobic fine rice (Oryza sativa L.) as influenced by different mulches and planting patterns. Am. Eur. J. Agric. Environ. Sci. 2015, 14, 1089–1094. [Google Scholar]
- Iqbal, M.A. Productivity and quality of direct seeded rice under different types of mulches and planting patterns: A review. Am. Eur. J. Agric. Environ. Sci. 2015, 14, 1240–1247. [Google Scholar]
- Marchesi, C.; Saldain, N.E. First report of herbicide-resistant Echinochloa crus-galli in Uruguayan rice fields. Agronomy 2019, 9, 790. [Google Scholar] [CrossRef] [Green Version]
- Rao, A.N.; Johnson, D.E.; Sivaprasad, B.; Ladha, J.K.; Mortimer, A.M. Weed management in direct-seeded rice. Adv. Agron. 2007, 93, 153–255. [Google Scholar]
- Khaliq, A.; Matloob, A. Weed crop competition period in three fine rice cultivars under direct seeded rice culture. Pak. J. Weed Sci. Res. 2011, 17, 229–243. [Google Scholar]
- Johnson, D.E.; Wopereis, M.C.S.; Mbodj, D.; Diallo, S.; Powers, S.; Haefele, S.M. Timing of weed management and yield losses due to weeds in irrigated rice in the Sahel. Field Crop. Res. 2004, 85, 31–42. [Google Scholar] [CrossRef]
- Anwar, M.P.; Juraimi, A.S.; Samedani, B.; Puteh, A.; Man, A. Critical period of weed control in aerobic rice. Sci. World J. 2012, 20, 1–10. [Google Scholar] [CrossRef] [PubMed] [Green Version]
- Di-Tomaso, J.M. Approaches for improving crop competitiveness through manipulation of fertilization strategies. Weed Sci. 1995, 43, 491–497. [Google Scholar] [CrossRef]
- Blackshaw, R.E.; Molnar, L.J.; Larney, F.J. Fertilizer, manure and compost effects on weed growth and competition with winter wheat in western Canada. Crop Protect. 2005, 24, 971–980. [Google Scholar] [CrossRef]
- Iqbal, M.A. Nano-Fertilizers for Sustainable Crop Production under Changing Climate: A Global Perspective. In Sustainable Crop Production, 1st ed.; Hasanuzzaman, M., Ed.; Intechopen Ltd.: London, UK, 2019; pp. 1–10. [Google Scholar]
- Rasmussen, K.; Rasmussen, J.; Petersen, J. Effects of fertilizer placement on weeds in weed harrowed spring barley. Acta Agric. Scand. B-Plant Soil Sci. 1996, 46, 192–196. [Google Scholar] [CrossRef]
- Kirkl, K.J.; Beckie, H.J. Contribution of nitrogen fertilizer placement to weed management in spring wheat (Triticum aestivum L.). Weed Technol. 1998, 12, 507–514. [Google Scholar] [CrossRef]
- Mahajan, G.; Timsina, J. Effect of nitrogen rates and weed control methods on weeds abundance and yield of direct-seeded rice. Arch. Agron. Soil Sci. 2011, 57, 239–250. [Google Scholar] [CrossRef]
- Khaliq, A.; Matloob, A.; Ihsan, Z.A.; Abbas, R.N.; Aslam, Z.; Rasul, F. Supplementing herbicides with manual weeding improves weed control efficiency, growth and yield of dry seeded rice. Int. J. Agric. Biol. 2013, 15, 191–199. [Google Scholar]
- Khaliq, A.; Mahmood, S.; Matloob, A.; Khan, M.B.; Awan, I.U. Optimizing seeding density and tank mixture of herbicides help reduce yield losses in dry seeded fine rice. Pak. J. Weed Sci. Res. 2012, 18, 167–181. [Google Scholar]
- Cathcart, R.J.; Chandler, K.; Swanton, C.J. Fertilizer N rate and the response of weeds to herbicide. Weed Sci. 2004, 52, 291–296. [Google Scholar] [CrossRef]
- Chauhan, B.S.; Johnson, D.E. Row spacing and weed control timing affect yield of aerobic rice. Field Crops Res. 2011, 121, 226–231. [Google Scholar] [CrossRef]
- Chauhan, B.S.; Abugho, S.B. Fertilizer placement affects weed growth and grain yield in dry-seeded rice (Oryza sativa L.) systems. Am. J. Plant Sci. 2013, 4, 1260–1264. [Google Scholar] [CrossRef] [Green Version]
- Evans, S.; Knezevic, S.; Lindquist, J.; Shapiro, C.; Blankenship, E. Nitrogen application influences the critical period for weed control in corn. Weed Sci. 2003, 51, 408–417. [Google Scholar] [CrossRef] [Green Version]
- Abbas, R.N.; Arshad, M.A.; Iqbal, A.; Iqbal, M.A.; Imran, M.; Raza, A.; Chen, J.-T.; Alyemeni, M.N.; Hefft, D.I. Weeds spectrum, productivity and land-use efficiency in maize-gram intercropping systems under semi-arid environment. Agronomy 2021, 11, 1615. [Google Scholar] [CrossRef]
- Addis, H.; Andreas, K.; Theib, O.; Stefan, S. Linking selected soil properties to land use and hill slope- A watershed case study in the Ethiopian highlands. Soil Water Res. 2016, 11, 163–171. [Google Scholar] [CrossRef] [Green Version]
- Black, C.A. Methods of Soil Analysis, Part II; American Society of Agronomy: Madison, WI, USA, 1965. [Google Scholar]
- Sparks, D.L.; Page, A.L.; Helmke, P.A.; Leoppert, R.H.; Soltanpour, P.N.; Tabatabai, M.A.; Johnston, G.T.; Sumner, M.E. Methods of Soil Analysis; Soil Science Society of America: Madison, WI, USA, 1996. [Google Scholar]
- Naresh, R.K.; Tomar, S.S.; Kumar, D.; Samsher, P.; Singh, S.; Dwivedi, P.; Kumar, A. Experiences with rice grown on permanent raised beds: Effect of crop establishment techniques on water use, productivity, profitability and soil physical properties. Rice Sci. 2014, 21, 170–180. [Google Scholar] [CrossRef]
- AOAC. Official Methods of Analysis, 17th ed.; Association of Official Analytical Chemists: Arlington, VI, USA, 2003. [Google Scholar]
- Jackson, M.L. Soil Chemical Analysis; Prentice Hall: Englewood Cliffs, NJ, USA, 1962. [Google Scholar]
- Piper, C.S. Soil and Plant Analysis; Press Adelaide: Adelaide, Australia, 1950. [Google Scholar]
- Ryan, J.; Estefan, G.; Rashid, A. Soil and Plant Analysis Laboratory Manual, 2nd ed.; International Center for Agricultural Research in the Dry Areas (ICARDA): Aleppo, Syria; National Agriculture Research Center (NARC): Islamabad, Pakistan, 2001. [Google Scholar]
- Steel, R.G.D.; Torrie, J.H.; Dickey, D. Principles and Procedures of Statistics: A biometrical Approach; McGraw Hill Book Co. Inc.: New York, NY, USA, 1997; pp. 172–177. [Google Scholar]
- Ahmed, S.; Alam, M.J.; Hossain, A.; Islam, A.K.M.M.; Awan, T.H.; Soufan, W.; Qahtan, A.A.; Okla, M.K.; El Sabagh, A. Interactive Effect of Weeding Regimes, Rice Cultivars, and Seeding Rates Influence the Rice-Weed Competition under Dry Direct-Seeded Condition. Sustainability 2021, 13, 317. [Google Scholar] [CrossRef]
- Javed, T.; Afzal, I.; Mauro, R.P. Seed Coating in Direct Seeded Rice: An Innovative and Sustainable Approach to Enhance Grain Yield and Weed Management under Submerged Conditions. Sustainability 2021, 13, 2190. [Google Scholar] [CrossRef]
- Mohanta, S.; Banerjee, M.; Malik, G.C.; Shankar, T.; Maitra, S.; Ismail, I.A.; Dessoky, E.S.; Attia, A.O.; Hossain, A. Productivity and Profitability of Kharif Rice Are Influenced by Crop Establishment Methods and Nitrogen Management in the Lateritic Belt of the Subtropical Region. Agronomy 2021, 11, 1280. [Google Scholar] [CrossRef]
- Guan, S.; Fukami, K.; Matsunaka, H.; Okami, M.; Tanaka, R.; Nakano, H.; Sakai, T.; Nakano, K.; Ohdan, H.; Takahashi, K. Assessing Correlation of High-Resolution NDVI with Fertilizer Application Level and Yield of Rice and Wheat Crops Using Small UAVs. Remote Sens. 2019, 11, 112. [Google Scholar] [CrossRef] [Green Version]
- Xu, L.; Li, X.; Wang, X.; Xiong, D.; Wang, F. Comparing the Grain Yields of Direct-Seeded and Transplanted Rice: A Meta-Analysis. Agronomy 2019, 9, 767. [Google Scholar] [CrossRef] [Green Version]
- Basavalingaiah, K.; Ramesha, Y.M.; Paramesh, V.; Rajanna, G.A.; Jat, S.L.; Dhar Misra, S.; Kumar Gaddi, A.; Girisha, H.C.; Yogesh, G.S.; Raveesha, S.; et al. Energy Budgeting, Data Envelopment Analysis and Greenhouse Gas Emission from Rice Production System: A Case Study from Puddled Transplanted Rice and Direct-Seeded Rice System of Karnataka, India. Sustainability 2020, 12, 6439. [Google Scholar] [CrossRef]
- Shekhawat, K.; Rathore, S.S.; Chauhan, B.S. Weed Management in Dry Direct-Seeded Rice: A Review on Challenges and Opportunities for Sustainable Rice Production. Agronomy 2020, 10, 1264. [Google Scholar] [CrossRef]
- Chen, Y.; Fan, P.; Mo, Z. Deep Placement of Nitrogen Fertilizer Affects Grain Yield, Nitrogen Recovery Efficiency, and Root Characteristics in Direct-Seeded Rice in South China. J. Plant Growth Regul. 2021, 40, 379–387. [Google Scholar] [CrossRef]
- Yao, Y.L.; Zhang, M.; Tian, Y.H.; Zhang, B.W.; Zhao, M.; Zeng, K.; Yin, B. Urea deep placement for minimizing NH3 loss in an intensive rice cropping system. Field Crops Res. 2018, 218, 254–266. [Google Scholar] [CrossRef]
- Xu, J.Z.; Liao, L.X.; Tan, J.Y.; Shao, X.H. Ammonia volatilization in gemmiparous and early seedling stages from direct seeding rice fields with different nitrogen management strategies: A pots experiment. Soil Till Res. 2013, 126, 169–176. [Google Scholar] [CrossRef]
- Wang, W.Q.; Peng, S.B.; Liu, H.Y.; Tao, Y.; Huang, J.L.; Cui, K.H.; Nie, L.X. The possibility of replacing puddled transplanted flooded rice with dry seeded rice in central China. A review. Field Crops Res. 2017, 214, 310–320. [Google Scholar] [CrossRef]
- Pan, S.G.; Wen, X.C.; Wang, Z.M.; Umair, A.; Tian, H.; Duan, M.Y.; Mo, Z.W.; Fan, P.S.; Tang, X.R. Benefits of mechanized deep placement of nitrogen fertilizer in direct-seeded rice in South China. Field Crops Res. 2017, 203, 139–149. [Google Scholar] [CrossRef]
- Zhu, C.; Xiang, J.; Zhang, Y.; Zhu, D.; Chen, H. Mechanized transplanting with side deep fertilization increases yield and nitrogen use efficiency of rice in Eastern China. Sci. Rep. 2019, 9, 5653. [Google Scholar] [CrossRef] [Green Version]






Publisher’s Note: MDPI stays neutral with regard to jurisdictional claims in published maps and institutional affiliations. |
© 2021 by the authors. Licensee MDPI, Basel, Switzerland. This article is an open access article distributed under the terms and conditions of the Creative Commons Attribution (CC BY) license (https://creativecommons.org/licenses/by/4.0/).
Share and Cite
Abbas, R.N.; Iqbal, A.; Iqbal, M.A.; Ali, O.M.; Ahmed, R.; Ijaz, R.; Hadifa, A.; Bethune, B.J. Weed-Free Durations and Fertilization Regimes Boost Nutrient Uptake and Paddy Yield of Direct-Seeded Fine Rice (Oryza sativa L.). Agronomy 2021, 11, 2448. https://doi.org/10.3390/agronomy11122448
Abbas RN, Iqbal A, Iqbal MA, Ali OM, Ahmed R, Ijaz R, Hadifa A, Bethune BJ. Weed-Free Durations and Fertilization Regimes Boost Nutrient Uptake and Paddy Yield of Direct-Seeded Fine Rice (Oryza sativa L.). Agronomy. 2021; 11(12):2448. https://doi.org/10.3390/agronomy11122448
Chicago/Turabian StyleAbbas, Rana Nadeem, Asif Iqbal, Muhammad Aamir Iqbal, Omar M. Ali, Raees Ahmed, Raina Ijaz, Adel Hadifa, and Brandon J. Bethune. 2021. "Weed-Free Durations and Fertilization Regimes Boost Nutrient Uptake and Paddy Yield of Direct-Seeded Fine Rice (Oryza sativa L.)" Agronomy 11, no. 12: 2448. https://doi.org/10.3390/agronomy11122448
APA StyleAbbas, R. N., Iqbal, A., Iqbal, M. A., Ali, O. M., Ahmed, R., Ijaz, R., Hadifa, A., & Bethune, B. J. (2021). Weed-Free Durations and Fertilization Regimes Boost Nutrient Uptake and Paddy Yield of Direct-Seeded Fine Rice (Oryza sativa L.). Agronomy, 11(12), 2448. https://doi.org/10.3390/agronomy11122448

