Sign in to use this feature.

Years

Between: -

Subjects

remove_circle_outline
remove_circle_outline
remove_circle_outline
remove_circle_outline
remove_circle_outline
remove_circle_outline
remove_circle_outline
remove_circle_outline
remove_circle_outline

Journals

remove_circle_outline
remove_circle_outline
remove_circle_outline
remove_circle_outline
remove_circle_outline
remove_circle_outline
remove_circle_outline
remove_circle_outline
remove_circle_outline
remove_circle_outline
remove_circle_outline

Article Types

Countries / Regions

remove_circle_outline
remove_circle_outline
remove_circle_outline
remove_circle_outline
remove_circle_outline
remove_circle_outline
remove_circle_outline
remove_circle_outline

Search Results (3,644)

Search Parameters:
Keywords = cracks and fractures

Order results
Result details
Results per page
Select all
Export citation of selected articles as:
22 pages, 42131 KB  
Article
Effect of Weld Surface Quality on the Fatigue Performance of Q420 Steel Used in Offshore Wind Tower Tube
by Jun Cao, Wubin Ren, Guodong Zhang, Shubiao Yin, Zhongzhu Liu and Xinjun Sun
Metals 2026, 16(2), 148; https://doi.org/10.3390/met16020148 (registering DOI) - 25 Jan 2026
Abstract
The size of offshore wind turbine towers is increasing, and they are subjected to larger and more complex loads, which imposes more stringent requirements on the fatigue performance of welded plates in new offshore wind turbine towers. This study investigated the axial fatigue [...] Read more.
The size of offshore wind turbine towers is increasing, and they are subjected to larger and more complex loads, which imposes more stringent requirements on the fatigue performance of welded plates in new offshore wind turbine towers. This study investigated the axial fatigue performance of 25 mm thick welded plates made of the new Q420 steel grade. Fractures in the Q420 welded plates occurred at the junction of the coarse-grained zone of the filler metal and the heat-affected zone. By analyzing the fatigue striation spacing across multiple regions, it was found that the proportion of cycles in the crack propagation stage within the total fatigue life did not exceed 11%, indicating that the crack initiation stage is the decisive factor in the fatigue life of the specimens. Removing surface quality defects at the weld toe significantly increased both the fatigue life and the fatigue strength limit of the Q420 welded plates. Full article
(This article belongs to the Special Issue Feature Papers in Metal Failure Analysis)
Show Figures

Figure 1

21 pages, 4150 KB  
Article
Multi-Scale Optimization of Volcanic Scoria Lightweight Aggregate Concrete via Synergistic Incorporation of Styrene-Acrylic Emulsion, Foaming Agent, and Straw Fibers
by Jinhong Zhang, Rong Li and Guihua Xu
Buildings 2026, 16(3), 492; https://doi.org/10.3390/buildings16030492 (registering DOI) - 25 Jan 2026
Abstract
Volcanic Scoria Lightweight Aggregate Concrete (VSLAC) has been identified as a material with considerable potential for use in carbon-neutral construction; however, its application is often hindered by two main issues. Firstly, the low density of scoria often results in aggregate segregation and stratification. [...] Read more.
Volcanic Scoria Lightweight Aggregate Concrete (VSLAC) has been identified as a material with considerable potential for use in carbon-neutral construction; however, its application is often hindered by two main issues. Firstly, the low density of scoria often results in aggregate segregation and stratification. Secondly, its high hygroscopicity can lead to shrinkage cracking. In order to address the aforementioned issues, this study proposes a multi-scale modification strategy. The cementitious matrix was first strengthened using a binary blend of Fly Ash and Ground Granulated Blast Furnace Slag (GGBS), followed by the incorporation of a ternary admixture system containing Styrene-Acrylic Emulsion (SAE), a foaming agent (FA), and alkali-treated Straw Fibres (SF) to enhance workability and durability. The findings of this study demonstrate that a mineral admixture comprising 10% Fly Ash and 10% GGBS results in a substantial enhancement of matrix compactness, culminating in a 20% increase in compressive strength. An orthogonal test was conducted to identify the optimal formulation (D13), which was found to contain 4% SAE, 0.1% FA, and 5% SF. This formulation yielded a compressive strength of 35.2 MPa, a flexural strength of 7.5 MPa, and reduced water absorption to 8.0%. A comparative analysis was conducted between the mineral admixture mix ratio (Control group) and the Optimal mix ratio (Optimization group). The results of this analysis reveal that the Optimization group exhibited superior durability and thermal characteristics. Specifically, the water penetration depth of the optimized composite was successfully restricted to within 3.18 mm, while its thermal insulation performance demonstrated a significant enhancement of 12.3%. In the context of freeze–thaw cycles, the modified concrete demonstrated notable durability, exhibiting a 51.4% reduction in strength loss and a marginal 0.64% restriction in mass loss. SEM analysis revealed that the interaction between SAE and the FA resulted in the densification of the Interfacial Transition Zone (ITZ). In addition, the 3D network formed by SF redistributed internal stresses, thereby shifting the failure mode from brittle fracture to ductile deformation. The findings demonstrate that modifying VSLAC at both micro- and macro-levels can effectively balance structural integrity with thermal efficiency for sustainable construction applications. Full article
(This article belongs to the Special Issue Sustainable Approaches to Building Repair)
Show Figures

Figure 1

13 pages, 3467 KB  
Article
Study on the Influence of the Surface Altered Layer on Fracture Initiation and Load-Bearing Capacity of Gouged Pipelines
by Hui Yang, Can He, Enming Zhang, Fuxiang Wang, Yuguang Cao and Ying Zhen
Materials 2026, 19(3), 462; https://doi.org/10.3390/ma19030462 - 23 Jan 2026
Abstract
To clarify the influence of gouge-induced altered layers on fracture initiation and load-bearing capacity of pipelines, X70 pipeline steel is taken as the research object. The geometry and partition of the altered layer are first determined by means of a micro-Vickers hardness array [...] Read more.
To clarify the influence of gouge-induced altered layers on fracture initiation and load-bearing capacity of pipelines, X70 pipeline steel is taken as the research object. The geometry and partition of the altered layer are first determined by means of a micro-Vickers hardness array and a threshold criterion, and its mechanical parameters are then obtained from small-scale tensile tests. The altered layer is subsequently embedded into a finite element model of a gouged pipe as an independent material domain, and the Gurson–Tvergaard–Needleman (GTN) damage model is employed to simulate damage evolution and crack propagation under pure internal pressure and combined internal pressure and tensile loading. The results indicate that, compared with the base metal, the yield strength and ultimate tensile strength of the altered layer increase by about 39% and 47%, respectively, while the elongation to failure decreases from 16% to 1.8%, exhibiting a typical “high-strength–low-ductility” behavior. When the altered layer is considered, the fracture initiation location under pure internal pressure shifts from the base metal to the altered layer, and the burst pressure decreases from 19 MPa to 16.5 MPa. Under the combined internal pressure and tensile loading, the peak load changes little, whereas the ultimate displacement is reduced by about 26.5%, leading to a marked loss of pipeline ductility. These findings demonstrate that the gouge-induced altered layer has a significant effect on the fracture initiation pressure, failure mode, and load-bearing characteristics of gouged pipes. Modeling it as an independent material domain in finite element analysis can more realistically capture the failure behavior and safety margin of gouged pipelines, thereby providing a more reliable theoretical basis for improving integrity assessment criteria for externally damaged pipelines. Full article
Show Figures

Figure 1

23 pages, 3262 KB  
Article
Designing Bio-Hybrid Sandwich Composites: Charpy Impact Performance of Polyester/Glass Systems Reinforced with Musa paradisiaca Fibres
by Aldo Castillo-Chung, Luis Aguilar-Rodríguez, Ismael Purizaga-Fernández and Alexander Yushepy Vega Anticona
J. Compos. Sci. 2026, 10(2), 59; https://doi.org/10.3390/jcs10020059 (registering DOI) - 23 Jan 2026
Viewed by 58
Abstract
This study investigates the design of bio-hybrid sandwich composites by combining polyester/glass skins with cores reinforced by continuous Musa paradisiaca fibres. The aim is to quantify how fibre weight fraction and alkaline surface treatment control the Charpy impact performance of these systems. Sandwich [...] Read more.
This study investigates the design of bio-hybrid sandwich composites by combining polyester/glass skins with cores reinforced by continuous Musa paradisiaca fibres. The aim is to quantify how fibre weight fraction and alkaline surface treatment control the Charpy impact performance of these systems. Sandwich laminates were manufactured with three fibre loadings in the core (20, 25 and 30 wt.%), using fibres in the as-received condition and after alkaline treatment in NaOH solution. Charpy impact specimens were machined from the laminates and tested according to ISO 179-1. Fibre morphology and fracture surfaces were examined by scanning electron microscopy, while Fourier-transform infrared spectroscopy was used to monitor changes in surface chemistry after alkaline treatment. The combined effect of fibre content and treatment on absorbed energy was assessed through a two-way analysis of variance. Increasing Musa paradisiaca fibre content up to 30 wt.% enhanced the impact energy of the sandwich composites, and alkaline treatment further improved performance by strengthening fibre–matrix adhesion and promoting fibre pull-out, crack deflection and bridging mechanisms. The best Charpy impact response was obtained for cores containing 30 wt.% NaOH-treated fibres, demonstrating that surface modification and optimised fibre loading are effective design parameters for toughening polyester/glass bio-hybrid sandwich composites. Full article
(This article belongs to the Section Composites Manufacturing and Processing)
Show Figures

Figure 1

26 pages, 1165 KB  
Article
Improved Dual-Module YOLOv8 Algorithm for Building Crack Detection
by Xinyu Zuo, Ahmed D. D. Almutairi, Muneer K. K. Saeed and Yiqing Dai
Buildings 2026, 16(2), 461; https://doi.org/10.3390/buildings16020461 - 22 Jan 2026
Viewed by 15
Abstract
Building cracks are significant indicators of structural integrity. Conventional fracture detection methodologies, however, are characterized by extended durations, significant labor requirements, and limitations in both precision and operational effectiveness. Findings are also subject to subjective and technical constraints inherent in manual assessments. To [...] Read more.
Building cracks are significant indicators of structural integrity. Conventional fracture detection methodologies, however, are characterized by extended durations, significant labor requirements, and limitations in both precision and operational effectiveness. Findings are also subject to subjective and technical constraints inherent in manual assessments. To overcome these challenges, this paper introduces an enhanced YOLOv8-based methodology for developing a building crack detection system, thereby achieving high precision, operational efficiency, and cost-effectiveness. Initially, classified and segmented datasets of building fractures were obtained from field photography, online image aggregation, and open-source databases, thereby providing the basis for training the experimental model. Subsequently, the Swin Transformer window multi-head self-attention mechanism was implemented to augment small-object recognition capabilities and reduce computational demands, thereby enabling the development of an enhanced image segmentation module. Utilizing the U-Net’s segmentation capabilities, a rotated split method was implemented to quantify fracture width and derive geometric parameters from the segmented crack regions. In order to evaluate the effectiveness of the model, two experiments were conducted: one to demonstrate the performance of the classification category and the other to show the capabilities of the segmentation category. The result is that the proposed model has high accuracy and efficiency in the frac detection task. This approach effectively enhances fracture detection in structural safety evaluations of these buildings, providing technical support for relevant management decisions. Full article
(This article belongs to the Special Issue Automation and Intelligence in the Construction Industry)
35 pages, 10558 KB  
Article
Cave of Altamira (Spain): UAV-Based SLAM Mapping, Digital Twin and Segmentation-Driven Crack Detection for Preventive Conservation in Paleolithic Rock-Art Environments
by Jorge Angás, Manuel Bea, Carlos Valladares, Cristian Iranzo, Gonzalo Ruiz, Pilar Fatás, Carmen de las Heras, Miguel Ángel Sánchez-Carro, Viola Bruschi, Alfredo Prada and Lucía M. Díaz-González
Drones 2026, 10(1), 73; https://doi.org/10.3390/drones10010073 (registering DOI) - 22 Jan 2026
Viewed by 16
Abstract
The Cave of Altamira (Spain), a UNESCO World Heritage site, contains one of the most fragile and inaccessible Paleolithic rock-art environments in Europe, where geomatics documentation is constrained not only by severe spatial, lighting and safety limitations but also by conservation-driven restrictions on [...] Read more.
The Cave of Altamira (Spain), a UNESCO World Heritage site, contains one of the most fragile and inaccessible Paleolithic rock-art environments in Europe, where geomatics documentation is constrained not only by severe spatial, lighting and safety limitations but also by conservation-driven restrictions on time, access and operational procedures. This study applies a confined-space UAV equipped with LiDAR-based SLAM navigation to document and assess the stability of the vertical rock wall leading to “La Hoya” Hall, a structurally sensitive sector of the cave. Twelve autonomous and assisted flights were conducted, generating dense LiDAR point clouds and video sequences processed through videogrammetry to produce high-resolution 3D meshes. A Mask R-CNN deep learning model was trained on manually segmented images to explore automated crack detection under variable illumination and viewing conditions. The results reveal active fractures, overhanging blocks and sediment accumulations located on inaccessible ledges, demonstrating the capacity of UAV-SLAM workflows to overcome the limitations of traditional surveys in confined subterranean environments. All datasets were integrated into the DiGHER digital twin platform, enabling traceable storage, multitemporal comparison, and collaborative annotation. Overall, the study demonstrates the feasibility of combining UAV-based SLAM mapping, videogrammetry and deep learning segmentation as a reproducible baseline workflow to inform preventive conservation and future multitemporal monitoring in Paleolithic caves and similarly constrained cultural heritage contexts. Full article
(This article belongs to the Topic 3D Documentation of Natural and Cultural Heritage)
Show Figures

Figure 1

16 pages, 5786 KB  
Article
Advancing Circular Composite Strategies by Vitrimer-Enabled Reuse of Unidirectional Laminates
by Jannick Fuchs, Nico Schuhmann, Jonathan Alms and Christian Hopmann
Polymers 2026, 18(2), 300; https://doi.org/10.3390/polym18020300 - 22 Jan 2026
Viewed by 24
Abstract
To efficiently reuse endless fibre-reinforced composites after their life cycle, the recovery of endless fibres including matrix material with subsequent reprocessing in their original state is desirable. Thanks to their covalent adaptive networks, vitrimers offer ideal properties for enabling new repair and circular [...] Read more.
To efficiently reuse endless fibre-reinforced composites after their life cycle, the recovery of endless fibres including matrix material with subsequent reprocessing in their original state is desirable. Thanks to their covalent adaptive networks, vitrimers offer ideal properties for enabling new repair and circular strategies for composites. In order to evaluate the detachability—meaning the separation of single laminate layers—and recycling potential for continuous fibre reinforcement, process routes and quality parameters must be established. In this study, the double cantilever beam test is used to test the adhesion based on the detachment of continuous fibre layers, and the interlaminare fracture toughness of mode I (GIC) is measured as a parameter for the required energy for detachment. It was shown that GIC increases above the vitrimer transition temperature and is higher than for reference specimens with an epoxy matrix. Surface roughness is measured to determine the mechanical and thermal degradation of the chemical network structure and additionally shows fibre cracking and defects in fibre–matrix interfaces. This allows the recycling process to be evaluated up to the production of a second generation, with the aim of identifying the recycling potential of the vitrimer matrix and implementing it for industrial processes. An efficient recycling strategy of the continuous fibre-reinforced vitrimers was thus demonstrated by hot pressing at 190 °C for 45 min, giving vitrimer samples a second life. Full article
(This article belongs to the Section Innovation of Polymer Science and Technology)
Show Figures

Graphical abstract

15 pages, 5220 KB  
Article
Feasibility of CaZr4(PO4)6 as Radome TBC Based on Thermophysical and Thermal Cycle Performance Research
by Yunwei Tu, Wenbo Chen, Wei Zhou, Li Liu, Longhui Deng, Jianing Jiang, Shujuan Dong and Xueqiang Cao
Coatings 2026, 16(1), 144; https://doi.org/10.3390/coatings16010144 - 22 Jan 2026
Viewed by 11
Abstract
This paper investigates the feasibility of CaZr4(PO4)6 as a novel thermal barrier coating for SiO2f/SiO2, serving as a radome at 1200 °C. Initially, CaZr4(PO4)6 powder undergoes TG-DSC testing across [...] Read more.
This paper investigates the feasibility of CaZr4(PO4)6 as a novel thermal barrier coating for SiO2f/SiO2, serving as a radome at 1200 °C. Initially, CaZr4(PO4)6 powder undergoes TG-DSC testing across a temperature range from room temperature to 1200 °C, demonstrating excellent phase stability within this range. Subsequently, the coating’s properties and the thermal cycling performance are examined. The results indicate that the thermal conductivity of CaZr4(PO4)6 falls within the range of 1.05 to 1.02 W·m−1·K−1 (RT ~ 1200 °C), with thermal expansion coefficients of the coating ranging from 2.07 to 5.55 × 10−6 K−1. Moreover, the thermal cycling lifetime of the CaZr4(PO4)6 coating is evaluated by performing 100 cycles (50 h) at 1200 °C. Mechanical properties are assessed through Vickers and Knoop hardness tests, revealing a fracture toughness of 1.4 Mpa·m1/2. The primary cause of coating failure and peeling is the excessive internal stress between the coating and the expansion of transverse cracks. Fracture toughness serves as a key performance indicator reflecting the material’s resistance to unstable crack expansion, so the failure of the coating is attributed to the limited fracture toughness and the thermal mismatch stress between the coating and the substrate. Based on the aforementioned research findings, CaZr4(PO4)6 might be the potential coating for SiO2f/SiO2 systems. Full article
(This article belongs to the Special Issue Advances in Surface and Coatings Technologies)
Show Figures

Figure 1

22 pages, 6340 KB  
Article
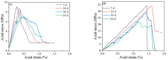
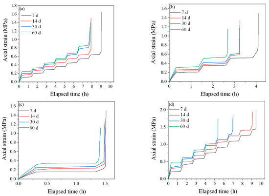
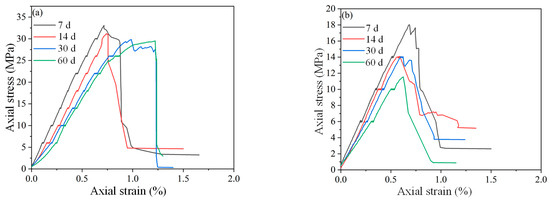
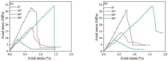
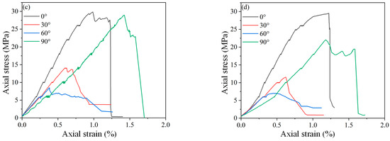
Creep Instability and Acoustic Emission Responses of Bedded Coal Subjected to Compressive Loads and Acidic Water Saturation
by Zhenhua Zhao, Lin Han, Hongjie Sun, Hongtao Li, Rui Zhang, Xinyu Bai and Yu Wang
Appl. Sci. 2026, 16(2), 1005; https://doi.org/10.3390/app16021005 - 19 Jan 2026
Viewed by 94
Abstract
This study investigates the creep behavior and acoustic emission (AE) characteristics of bedded coal samples under acidic water environments. Uniaxial graded creep tests coupled with AE monitoring were conducted on samples with bedding angles of 0°, 30°, 60°, and 90°, respectively. The anisotropic [...] Read more.
This study investigates the creep behavior and acoustic emission (AE) characteristics of bedded coal samples under acidic water environments. Uniaxial graded creep tests coupled with AE monitoring were conducted on samples with bedding angles of 0°, 30°, 60°, and 90°, respectively. The anisotropic mechanical behavior and acoustic emission characteristics in terms of stress–strain, deformation, AE count, AE energy, and spectrum characteristics were revealed. The experimental results show that the strength of the coal samples gradually decreases as the saturation duration increases. At the same axial stress level, the axial deformation of the coal samples becomes larger with increasing saturation duration. The mechanical strength exhibits a distinct “U-shaped” relationship with the bedding angle, initially decreasing and then increasing. Correspondingly, axial deformation at a given stress level first increases and then decreases as the bedding angle increases. AE activity, particularly the AE ring count and energy, peaks at specimen failure, indicating significant fracture development. Spectral analysis revealed that under conditions of severe strength degradation (e.g., 0° bedding after 60-day saturation or 60° bedding after 30-day saturation), high-frequency, high-amplitude AE signals were absent. This suggests a shift in the dominant fracture mechanism from small-scale cracking to larger-scale fracture propagation in weakened samples. These findings offer valuable theoretical insights for the prevention and early warning of coal mine disasters. Full article
(This article belongs to the Topic Failure Characteristics of Deep Rocks, 3rd Edition)
Show Figures

Figure 1

17 pages, 3894 KB  
Article
Experimental and Numerical Investigations on the Flexural Behavior of Reinforced Rubberized Concrete Beams with Different Longitudinal Reinforcement Ratios
by Fabian-Leonard Tiba, Ioana-Sorina Entuc, Kieran Ruane, Petru Mihai, Ioana Olteanu and Ionut-Ovidiu Toma
Buildings 2026, 16(2), 410; https://doi.org/10.3390/buildings16020410 - 19 Jan 2026
Viewed by 133
Abstract
The flexural behavior of reinforced rubberized concrete beams was assessed, and it was demonstrated that they exhibited a constant performance decline with an increase in rubber content. Numerical simulations are critically important in the study and engineering of concrete elements due to several [...] Read more.
The flexural behavior of reinforced rubberized concrete beams was assessed, and it was demonstrated that they exhibited a constant performance decline with an increase in rubber content. Numerical simulations are critically important in the study and engineering of concrete elements due to several key reasons, as follows: to allow engineers to anticipate the behavior of concrete components under diverse loads; to help elucidate intricate mechanisms such as crack initiation, propagation, and fracture processes; and to explore new materials, geometries, and reinforcement layouts without the need for extensive prototyping. This paper presents both experimental and numerical investigations on the flexural behavior of conventional and rubberized concrete reinforced beams. The parameters of the research included the percentage replacement of natural aggregates by rubber particles and the change in the longitudinal reinforcement ratio. The results showed an increase in the load-carrying capacity and a decrease in the midspan deflection with an increase in reinforcement ratio. Substituting natural aggregates with rubber particles resulted in a slight decrease in the load-carrying capacity but an increase in the midspan deflections. Numerical simulations using ATENA v5 software predicted the load-carrying capacity, failure mode, and cracking patterns of the reinforced concrete beams. Full article
(This article belongs to the Section Building Materials, and Repair & Renovation)
Show Figures

Figure 1

14 pages, 1394 KB  
Article
Fracture Behavior of Fiber-Reinforced Concrete Assessed Using a High-Speed Camera
by Xianzhang Wang, Ting Wang, Yu Qin, Weina Wang, Di Wang and Yong Zheng
Buildings 2026, 16(2), 413; https://doi.org/10.3390/buildings16020413 - 19 Jan 2026
Viewed by 101
Abstract
The brittle characteristics of fiber-reinforced concrete make it difficult to capture the time-varying properties during its flexural failure. This study employed high-speed imaging to investigate the effects of polypropylene fiber, polyvinyl alcohol fiber (PVA), and basalt fiber on the fracture behavior of concrete. [...] Read more.
The brittle characteristics of fiber-reinforced concrete make it difficult to capture the time-varying properties during its flexural failure. This study employed high-speed imaging to investigate the effects of polypropylene fiber, polyvinyl alcohol fiber (PVA), and basalt fiber on the fracture behavior of concrete. The influence mechanisms of fibers on concrete fracture performance were thoroughly revealed by analyzing failure time, crack growth rate, fracture development process, and flexural strength. The results show that fibers significantly extend the time to flexural failure in concrete. At a fiber volume fraction (FVF) of 0.3%, the fracture times of PVA-reinforced concrete and basalt fiber-reinforced concrete increased by 23% and 17%, respectively, compared to plain concrete. Their average crack growth rates were 27.0 m/s and 28.6 m/s, respectively, which are lower than the 33.3 m/s observed in plain concrete. In the initial frame capturing crack initiation, the average crack growth rate was 35.7 m/s for fiber-reinforced concrete and 31.5 m/s for plain concrete. By the second frame, these rates increased to 67.8 m/s and 63.1 m/s, respectively. The cracking process in both plain and fiber-reinforced concrete specimens exhibited a “fast-to-slow” pattern. At approximately 1.5 ms, the crack shown in the second frame had propagated to about two-thirds of the specimen height. Compared to plain concrete, the flexural strengths of polypropylene fiber-reinforced concrete increased by 39.2%, 22.9%, and 26.2%; basalt fiber-reinforced concrete increased by 10.0%, 0.2%, and 9.3%; and PVA-reinforced concrete increased by 9.0%, 7.0%, and 10.6% at FVFs of 0.1%, 0.2%, and 0.3%, respectively. Full article
(This article belongs to the Section Building Materials, and Repair & Renovation)
Show Figures

Figure 1

31 pages, 38692 KB  
Article
Stability and Dynamics Analysis of Rainfall-Induced Rock Mass Blocks in the Three Gorges Reservoir Area: A Multidimensional Approach for the Bijiashan WD1 Cliff Belt
by Hao Zhou, Longgang Chen, Yigen Qin, Zhihua Zhang, Changming Yang and Jin Xie
Water 2026, 18(2), 257; https://doi.org/10.3390/w18020257 - 18 Jan 2026
Viewed by 189
Abstract
Accurately assessing collapse risks of high-elevation, concealed rock mass blocks within the steep cliffs of Bijiashan, Three Gorges Reservoir Area, is challenging. This study employed a multidimensional approach—integrating airborne Light Detection and Ranging (LiDAR), the transient electromagnetic method (TEM), close-range photogrammetry, horizontal drilling, [...] Read more.
Accurately assessing collapse risks of high-elevation, concealed rock mass blocks within the steep cliffs of Bijiashan, Three Gorges Reservoir Area, is challenging. This study employed a multidimensional approach—integrating airborne Light Detection and Ranging (LiDAR), the transient electromagnetic method (TEM), close-range photogrammetry, horizontal drilling, and borehole optical imaging—to characterize the rock mass structure of the WD1 cliff belt and delineate 52 individual blocks. Stability analysis incorporated stereographic projection for macro-scale assessment and employed mechanical models specific to three primary failure modes (toppling, sliding, falling). Finite element strength reduction quantified the stress–strain response of a representative block under natural and rainstorm conditions. Particle Flow Code (PFC) simulated dynamic instability of the exceptionally large block W1-37. Results indicate the WD1 rock mass is highly fractured, with base sections prone to weakness. Toppling failure dominates (90.4%). Under rainstorm conditions, the average Factor of Safety (FOS) decreased by 14.7%, and 73.1% of the blocks that were stable under natural conditions were destabilized—specifically transitioning to marginally stable or substable states—often triggering chain-reaction instability characterized by “crack propagation—base buckling”. W1-37 exhibited staged failure under rainstorm: “strain localization at fissure tips—penetration of basal cracks—overturning of the upper rock mass”. Its frontal rock reached a peak sliding velocity of 15.17 m/s, indicative of base-breaking toppling. The integrated “multi-technology survey—multi-method evaluation—multi-scale simulation” framework provides a quantitative basis for risk assessment of rock mass disasters in the Three Gorges Reservoir Area and offers a technical paradigm for similar high-steep canyon regions. Full article
Show Figures

Figure 1

28 pages, 4099 KB  
Article
Fatigue Crack Length Estimation Using Acoustic Emissions Technique-Based Convolutional Neural Networks
by Asaad Migot, Ahmed Saaudi, Roshan Joseph and Victor Giurgiutiu
Sensors 2026, 26(2), 650; https://doi.org/10.3390/s26020650 - 18 Jan 2026
Viewed by 206
Abstract
Fatigue crack propagation is a critical failure mechanism in engineering structures, requiring meticulous monitoring for timely maintenance. This research introduces a deep learning framework for estimating fatigue fracture length in metallic plates through acoustic emission (AE) signals. AE waveforms recorded during crack growth [...] Read more.
Fatigue crack propagation is a critical failure mechanism in engineering structures, requiring meticulous monitoring for timely maintenance. This research introduces a deep learning framework for estimating fatigue fracture length in metallic plates through acoustic emission (AE) signals. AE waveforms recorded during crack growth are transformed into time-frequency images using the Choi–Williams distribution. First, a clustering system is developed to analyze the distribution of the AE image-based dataset. This system employs a CNN-based model to extract features from the input images. The AE dataset is then divided into three categories according to fatigue lengths using the K-means algorithm. Principal Component Analysis (PCA) is used to reduce the feature vectors to two dimensions for display. The results show how close together the data points are in the clusters. Second, convolutional neural network (CNN) models are trained using the AE dataset to categorize fracture lengths into three separate ranges. Using the pre-trained models ResNet50V2 and VGG16, we compare the performance of a bespoke CNN using transfer learning. It is clear from the data that transfer learning models outperform the custom CNN by a wide margin, with an accuracy of approximately 99% compared to 93%. This research confirms that convolutional neural networks (CNNs), particularly when trained with transfer learning, are highly successful at understanding AE data for data-driven structural health monitoring. Full article
Show Figures

Figure 1

21 pages, 3501 KB  
Article
Subsurface Fracture Mapping in Adhesive Interfaces Using Terahertz Spectroscopy
by Mahavir Singh, Sushrut Karmarkar, Marco Herbsommer, Seongmin Yoon and Vikas Tomar
Materials 2026, 19(2), 388; https://doi.org/10.3390/ma19020388 - 18 Jan 2026
Viewed by 192
Abstract
Adhesive fracture in layered structures is governed by subsurface crack evolution that cannot be accessed using surface-based diagnostics. Methods such as digital image correlation and optical spectroscopy measure surface deformation but implicitly assume a straight and uniform crack front, an assumption that becomes [...] Read more.
Adhesive fracture in layered structures is governed by subsurface crack evolution that cannot be accessed using surface-based diagnostics. Methods such as digital image correlation and optical spectroscopy measure surface deformation but implicitly assume a straight and uniform crack front, an assumption that becomes invalid for interfacial fracture with wide crack openings and asymmetric propagation. In this work, terahertz time-domain spectroscopy (THz-TDS) is combined with double-cantilever beam testing to directly map subsurface crack-front geometry in opaque adhesive joints. A strontium titanate-doped epoxy is used to enhance dielectric contrast. Multilayer refractive index extraction, pulse deconvolution, and diffusion-based image enhancement are employed to separate overlapping terahertz echoes and reconstruct two-dimensional delay maps of interfacial separation. The measured crack geometry is coupled with load–displacement data and augmented beam theory to compute spatially averaged stresses and energy release rates. The measurements resolve crack openings down to approximately 100 μm and reveal pronounced width-wise non-uniform crack advance and crack-front curvature during stable growth. These observations demonstrate that surface-based crack-length measurements can either underpredict or overpredict fracture toughness depending on the measurement location. Fracture toughness values derived from width-averaged subsurface crack fronts agree with J-integral estimates obtained from surface digital image correlation. Signal-to-noise limitations near the crack tip define the primary resolution limit. The results establish THz-TDS as a quantitative tool for subsurface fracture mechanics and provide a framework for physically representative toughness measurements in layered and bonded structures. Full article
Show Figures

Graphical abstract

30 pages, 10980 KB  
Article
Fatigue Assessment of Weathering Steel Welded Joints Based on Fracture Mechanics and Machine Learning
by Jianxing Du, Han Su and Jinsheng Du
Buildings 2026, 16(2), 399; https://doi.org/10.3390/buildings16020399 - 18 Jan 2026
Viewed by 143
Abstract
To improve the computational efficiency of complex fatigue assessments, this study proposes a framework that integrates high-fidelity finite element analysis (FEA)with ensemble learning for evaluating the fatigue performance of weathering steel welded joints. First, a three-dimensional crack propagation model for cruciform fillet welds [...] Read more.
To improve the computational efficiency of complex fatigue assessments, this study proposes a framework that integrates high-fidelity finite element analysis (FEA)with ensemble learning for evaluating the fatigue performance of weathering steel welded joints. First, a three-dimensional crack propagation model for cruciform fillet welds was developed on the ABAQUS-FRANC3D platform, with a validation error of less than 20%. Subsequently, a large-scale parametric analysis was conducted. The results indicate that as the stress amplitude increases from 67.5 MPa to 99 MPa, the fatigue life decreases to 40.29% of the baseline value. When the stress amplitude reaches 180 MPa, the fatigue life drops sharply to 14.28% of the baseline. Within the stress ratio range of 0.1 to 0.7, increasing the initial crack size from 0.075 mm to 0.5 mm reduces the fatigue life to between 85.78% and 86.48% of the baseline. Edge cracks, influenced by stress concentration, exhibit approximately 15.2% shorter fatigue life compared to central cracks, while the maximum variation in fatigue life due to crack geometry is only 10.25%. Second, an Extremely Randomized Trees surrogate model constructed based on the simulation data demonstrates excellent performance. Finally, by integrating this model with Paris’s law, the developed prediction framework achieves high consistency with numerical simulation results, with all predicted values falling within the two-standard-deviation interval. This data-driven approach can effectively replace computationally intensive finite element analysis, enabling efficient structural safety assessments. Full article
Show Figures

Figure 1

Back to TopTop